A Refined DER-Level Transient Stability Prediction Method Considering Time-Varying Spatial–Temporal Correlations in Microgrids
Abstract
1. Introduction
2. Proposed Problem Description
2.1. Studied Microgrid Architecture
2.2. DER-Level TSP in Microgrids
- (1)
- Unstable DER Identification
- (2)
- DER’s Instability Severity Trends Prediction
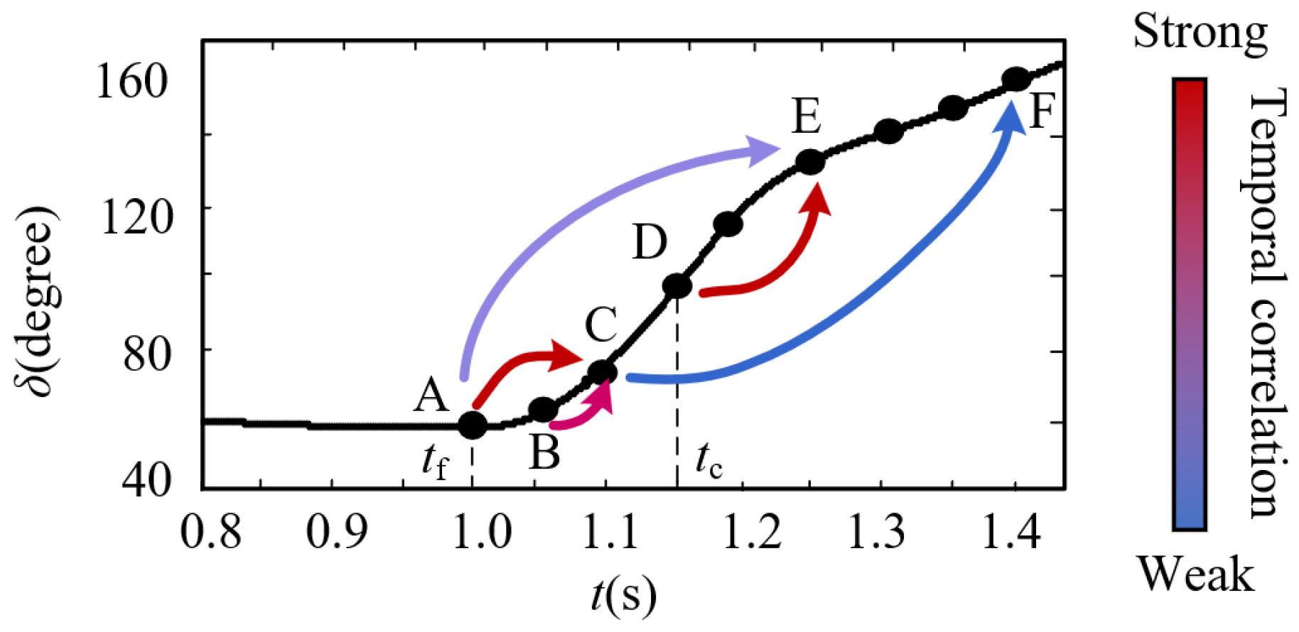
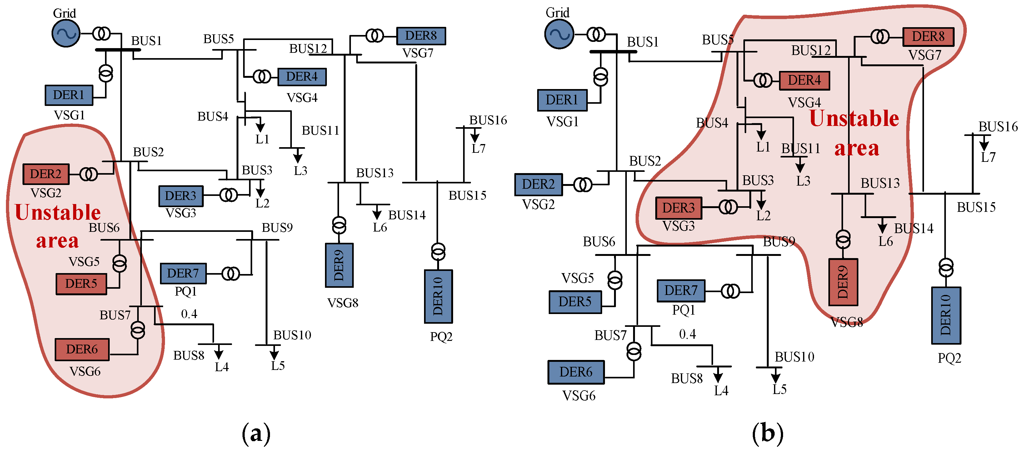
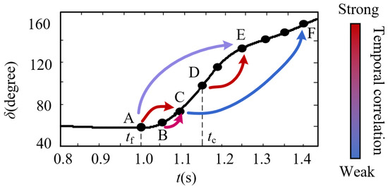
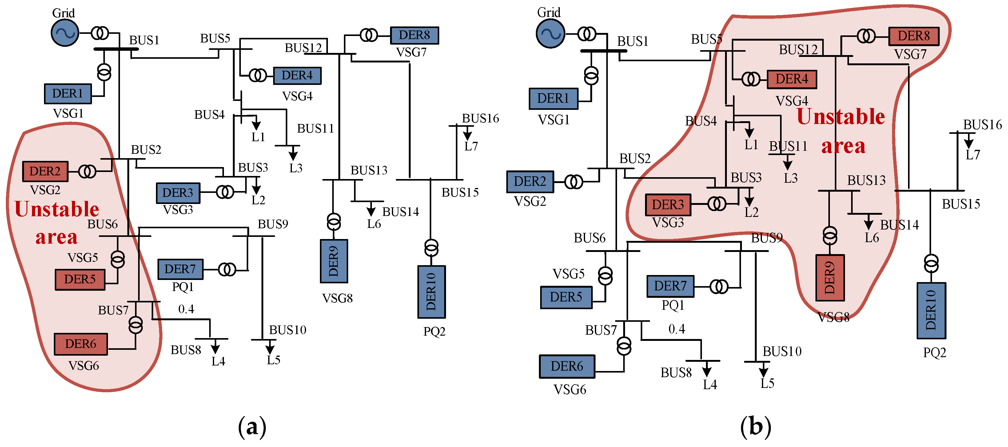
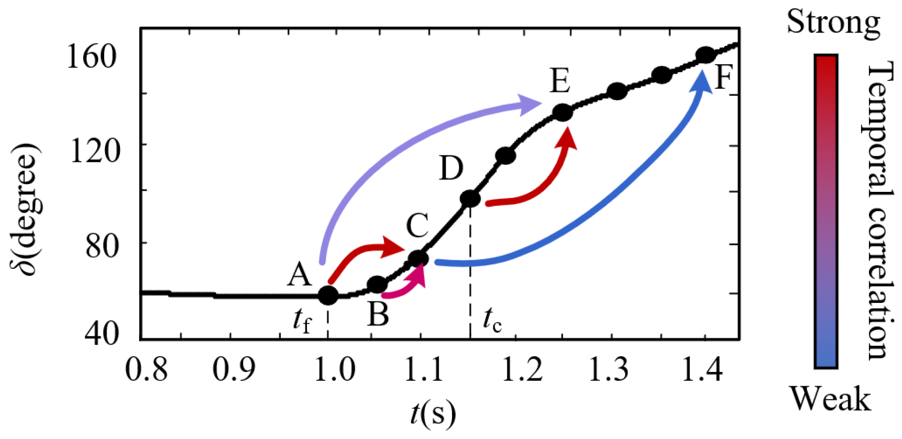
2.3. Time-Varying Spatial–Temporal Dynamic Correlations
- (1)
- Spatial Dynamic Correlations
- (2)
- Temporal Dynamic Correlations
3. Overall Framework of the Proposed DER-Level TSP Method
3.1. STCM Architecture and Implementation Process
- (1)
- Time-Varying Spatial–Temporal Correlation Extraction Layer
- (a)
- Time-Varying Spatial Correlation Extraction
- (b)
- Time-Varying Temporal Correlation Extraction
- (2)
- Spatial Convolutional Layer
- (3)
- Temporal Convolutional Layer
- (4)
- Residential Layer
3.2. UDIM Architecture and the Implementation Process
3.3. ISTPM Architecture and the Implementation Process
4. Case Study
4.1. Simulation Setup and Dataset Generation
- (1)
- Simulation Setup
- (2)
- Dataset Generation
4.2. Unstable DER Identification Performance
4.3. Performance of the Instability Severity Trend Prediction
4.4. Effectiveness of Time-Varying Spatial–Temporal Correlations Extraction
- (1)
- Time-Varying Spatial Correlation Extraction
- (2)
- Time-Varying Temporal Correlation Extraction
4.5. Effectiveness of the Spatial–Temporal Convolution Module
4.6. Adaptive Testing in an Unknown Scenario
5. Conclusions
Author Contributions
Funding
Data Availability Statement
Conflicts of Interest
References
- Kabalan, M.; Singh, P.; Niebur, D. Large Signal Lyapunov-Based Stability Studies in Microgrids: A Review. IEEE Trans. Smart Grid 2017, 8, 2287–2295. [Google Scholar] [CrossRef]
- Shen, C.; Shuai, Z.; Shen, Y.; Peng, Y.; Liu, X.; Li, Z.; Shen, Z.J. Transient Stability and Current Injection Design of Paralleled Current-Controlled VSCs and Virtual Synchronous Generators. IEEE Trans. Smart Grid 2021, 12, 1118–1134. [Google Scholar] [CrossRef]
- Huang, T.; Gao, S.; Xie, L. A Neural Lyapunov Approach to Transient Stability Assessment of Power Electronics-Interfaced Networked Microgrids. IEEE Trans. Smart Grid 2022, 13, 106–118. [Google Scholar] [CrossRef]
- Li, F.; Wang, Q.; Tang, Y.; Xu, Y.; Dang, J. Hybrid analytical and data-driven modeling based instance-transfer method for power system online transient stability assessment. CSEE J. Power Energy Syst. 2021; early access. [Google Scholar] [CrossRef]
- Li, X.; Yang, Z.; Guo, P.; Cheng, J. An Intelligent Transient Stability Assessment Framework with Continual Learning Ability. IEEE Trans. Industr. Inform. 2021, 17, 8131–8141. [Google Scholar] [CrossRef]
- Zhao, T.; Wang, J.; Lu, X.; Du, Y. Neural Lyapunov Control for Power System Transient Stability: A Deep Learning-Based Approach. IEEE Trans. Power Syst. 2022, 37, 955–966. [Google Scholar] [CrossRef]
- Pico, H.N.V.; Johnson, B.B. Transient Stability Assessment of Multi-Machine Multi-Converter Power Systems. IEEE Trans. Power Syst. 2019, 34, 3504–3514. [Google Scholar] [CrossRef]
- La Scala, M.; Sbrizzai, R.; Torelli, F.; Scarpellini, P. A tracking time domain simulator for real-time transient stability analysis. IEEE Trans. Power Syst. 1998, 13, 992–998. [Google Scholar] [CrossRef]
- Zhang, Y.; Xie, L. A Transient Stability Assessment Framework in Power Electronic-Interfaced Distribution Systems. IEEE Trans. Power Syst. 2016, 31, 5106–5114. [Google Scholar] [CrossRef]
- Alipoor, J.; Miura, Y.; Ise, T. Stability Assessment and Optimization Methods for Microgrid with Multiple VSG Units. IEEE Trans. Smart Grid 2018, 9, 1462–1471. [Google Scholar] [CrossRef]
- Zhao, H.; Peng, Y.; Shuai, Z.; Zhao, F.; Shen, X. Online transient stability prediction method of microgrid considering different distributed energy resources’ interaction under current saturation. CSEE J. Power Energy Syst. 2023; early access. [Google Scholar] [CrossRef]
- Wang, B.; Fang, B.; Wang, Y.; Liu, H.; Liu, Y. Power System Transient Stability Assessment Based on Big Data and the Core Vector Machine. IEEE Trans. Smart Grid 2016, 7, 2561–2570. [Google Scholar] [CrossRef]
- You, D.; Wang, K.; Ye, L.; Wu, J.; Huang, R. Transient stability assessment of power system using support vector machine with generator combinatorial trajectories inputs. Int. J. Electr. Power Energy Syst. 2013, 44, 318–325. [Google Scholar] [CrossRef]
- Moulin, L.S.; da Silva, A.P.A.; El-Sharkawi, M.A.; Marks, R.J. Support vector machines for transient stability analysis of large-scale power systems. IEEE Trans. Power Syst. 2004, 19, 818–825. [Google Scholar] [CrossRef]
- Gomez, F.R.; Rajapakse, A.D.; Annakkage, U.D.; Fernando, I.T. Support Vector Machine-Based Algorithm for Post-Fault Transient Stability Status Prediction Using Synchronized Measurements. IEEE Trans. Power Syst. 2011, 26, 1474–1483. [Google Scholar] [CrossRef]
- Amraee, T.; Ranjbar, S. Transient Instability Prediction Using Decision Tree Technique. IEEE Trans. Power Syst. 2013, 28, 3028–3037. [Google Scholar] [CrossRef]
- Sun, K.; Likhate, S.; Vittal, V.; Kolluri, V.S.; Mandal, S. An Online Dynamic Security Assessment Scheme Using Phasor Measurements and Decision Trees. IEEE Trans. Power Syst. 2007, 22, 1935–1943. [Google Scholar] [CrossRef]
- He, M.; Zhang, J.; Vittal, V. Robust Online Dynamic Security Assessment Using Adaptive Ensemble Decision-Tree Learning. IEEE Trans. Power Syst. 2013, 28, 4089–4098. [Google Scholar] [CrossRef]
- Xu, Y.; Dong, Z.Y.; Zhao, J.H.; Zhang, P.; Wong, K.P. A Reliable Intelligent System for Real-Time Dynamic Security Assessment of Power Systems. IEEE Trans. Power Syst. 2012, 27, 1253–1263. [Google Scholar] [CrossRef]
- Zhang, R.; Xu, Y.; Dong, Z.; Wong, K. Post-disturbance transient stability assessment of power systems by a self-adaptive intelligent system. IET Gener. Trasm. Dis. 2015, 9, 296–305. [Google Scholar] [CrossRef]
- Guo, S.; Lin, Y.; Feng, N.; Song, C.; Wan, H. Attention Based Spatial-Temporal Graph Convolutional Networks for Traffic Flow Forecasting. In Proceedings of the AAAI Conference on Artificial Intelligence, Honolulu, HI, USA, 27 January–1 February 2019; Volume 33, pp. 922–929. [Google Scholar]
- Yu, X.; Gao, F.; Ding, G. Deep Learning Based Transient Stability Assessment for Grid-Connected Inverter. In Proceedings of the 2018 IEEE International Power Electronics and Application Conference and Exposition (PEAC), Shenzhen, China, 4–7 November 2018; pp. 1–5. [Google Scholar]
- Zhu, L.; Hill, D.J.; Lu, C. Hierarchical Deep Learning Machine for Power System Online Transient Stability Prediction. IEEE Trans. Power Syst. 2020, 35, 2399–2411. [Google Scholar] [CrossRef]
- Bahbah, A.G.; Girgis, A.A. New method for generators’ angles and angular velocities prediction for transient stability assessment of multimachine power systems using recurrent artificial neural network. IEEE Trans. Power Syst. 2004, 19, 1015–1022. [Google Scholar] [CrossRef]
- Li, B.; Wu, J.; Hao, L.; Shao, M.; Zhang, R.; Zhao, W. Anti-Jitter and Refined Power System Transient Stability Assessment Based on Long-Short Term Memory Network. IEEE Access 2020, 8, 35231–35244. [Google Scholar] [CrossRef]
- Shen, Y.; Peng, Y.; Shuai, Z.; Zhou, Q.; Zhu, L.; Shen, Z.J. Hierarchical Time-Series Assessment and Control for Transient Stability Enhancement in Islanded Microgrids. IEEE Trans. Smart Grid 2023, 14, 3362–3374. [Google Scholar] [CrossRef]
- Yan, R.; Geng, G.; Jiang, Q.; Li, Y. Fast transient stability batch assessment using cascaded convolutional neural networks. IEEE Trans. Power Syst. 2019, 33, 3510–3520. [Google Scholar] [CrossRef]
- Huang, J.; Guan, L.; Su, Y.; Yao, H.; Guo, M.; Zhong, Z. Recurrent Graph Convolutional Network-Based Multi-Task Transient Stability Assessment Framework in Power System. IEEE Access 2020, 8, 93283–93296. [Google Scholar] [CrossRef]
- Seo, Y.; Michael, D.; Pierre, V.; Bresson, X. Structured sequence modeling with graph convolutional recurrent networks. arXiv 2016, arXiv:1612.07659. [Google Scholar]
- Yu, B.; Yin, H.; Zhu, Z. Spatio-Temporal Graph Convolutional Networks: A Deep Learning Framework for Traffic Forecasting. arXiv 2018, arXiv:1709.04875. [Google Scholar]
- Luo, Y.; Lu, C.; Zhu, L.; Song, J. Data-driven short-term voltage stability assessment based on spatial-temporal graph convolutional network. Int. J. Electr. Power Energy Syst. 2021, 130, 106753. [Google Scholar] [CrossRef]
- Zhu, L.; Wen, W.; Li, J.; Hu, Y. Integrated Data-Driven Power System Transient Stability Monitoring and Enhancement. IEEE Trans. Power Syst. 2023; early access. [Google Scholar] [CrossRef]
- Zhao, Z.; Yang, P.; Guerrero, J.M.; Xu, Z.; Green, T.C. Multiple-Time-Scales Hierarchical Frequency Stability Control Strategy of Medium-Voltage Isolated Microgrid. IEEE Trans. Power Electron. 2016, 31, 5974–5991. [Google Scholar] [CrossRef]
- Abdelgayed, T.S.; Morsi, W.G.; Sidhu, T.S. A New Approach for Fault Classification in Microgrids Using Optimal Wavelet Functions Matching Pursuit. IEEE Trans. Smart Grid 2018, 9, 4838–4846. [Google Scholar] [CrossRef]
- Chanda, S.; Srivastava, A.K. Defining and Enabling Resiliency of Electric Distribution Systems with Multiple Microgrids. IEEE Trans. Smart Grid 2016, 7, 2859–2868. [Google Scholar] [CrossRef]
- Kaur, A.; Kaushal, J.; Basak, P. A review on microgrid central controller. Renew. Sust. Energ. Rev. 2016, 55, 338–345. [Google Scholar] [CrossRef]
- Zhu, L.; Hill, D.J. Networked Time Series Shapelet Learning for Power System Transient Stability Assessment. IEEE Trans. Power Syst. 2022, 37, 416–428. [Google Scholar] [CrossRef]
- Feng, X.; Guo, J.; Qin, B.; Liu, T.; Liu, Y. Effective deep memory networks for distant supervised relation extraction. In Proceedings of the International Joint Conference on Artificial Intelligence (IJCAI), Melbourne, Australia, 19–25 August 2017; Volume 17, pp. 19–25. [Google Scholar]
- Díaz, N.L.; Luna, A.C.; Vasquez, J.C.; Guerrero, J.M. Centralized Control Architecture for Coordination of Distributed Renewable Generation and Energy Storage in Islanded AC Microgrids. IEEE Trans. Power Electron. 2017, 32, 5202–5213. [Google Scholar] [CrossRef]
- Utkarsh, K.; Srinivasan, D.; Trivedi, A.; Zhang, W.; Reindl, T. Distributed Model-Predictive Real-Time Optimal Operation of a Network of Smart Microgrids. IEEE Trans. Smart Grid 2019, 10, 2833–2845. [Google Scholar] [CrossRef]
- Setiawan, M.A.; Shahnia, F.; Rajakaruna, S.; Ghosh, A. ZigBee-Based Communication System for Data Transfer Within Future Microgrids. IEEE Trans. Smart Grid 2015, 6, 2343–2355. [Google Scholar] [CrossRef]















| Model | Microgrid Stability Prediction Accuracy | Unstable DER Identification Accuracy |
|---|---|---|
| SVM | 83.2% | 59.2% |
| NB | 85.9% | 70.0% |
| DBN | 92.0% | 82.8% |
| STGCN | 99.4% | 96.3% |
| Proposed model | 99.6% | 99.0% |
| Model | MAE | RMSE | MAPE | Max MAE | Max RMSE | Max MAPE |
|---|---|---|---|---|---|---|
| LSTM | 2.36 | 11.09 | 0.0529 | 4.05 | 18.70 | 0.2544 |
| GRU | 1.54 | 6.93 | 0.0417 | 3.17 | 8.53 | 0.2012 |
| STGCN | 1.67 | 2.98 | 0.0360 | 1.86 | 3.75 | 0.0496 |
| Proposed model | 0.42 | 1.65 | 0.0137 | 0.76 | 2.73 | 0.0183 |
| Model | Microgrid Stability Prediction Accuracy | Unstable VSG Identification Accuracy |
|---|---|---|
| Proposed model | 99.48% | 99.48% |
| Model | MAE | RMSE | MAPE | Max MAE | Max RMSE | Max MAPE |
|---|---|---|---|---|---|---|
| Proposed model | 0.61 | 1.43 | 0.0187 | 0.98 | 2.03 | 0.0303 |
Disclaimer/Publisher’s Note: The statements, opinions and data contained in all publications are solely those of the individual author(s) and contributor(s) and not of MDPI and/or the editor(s). MDPI and/or the editor(s) disclaim responsibility for any injury to people or property resulting from any ideas, methods, instructions or products referred to in the content. |
© 2024 by the authors. Licensee MDPI, Basel, Switzerland. This article is an open access article distributed under the terms and conditions of the Creative Commons Attribution (CC BY) license (https://creativecommons.org/licenses/by/4.0/).
Share and Cite
Zhao, H.; He, L.; Peng, Y.; Shuai, Z.; Zhang, Z.; Hu, L. A Refined DER-Level Transient Stability Prediction Method Considering Time-Varying Spatial–Temporal Correlations in Microgrids. Energies 2024, 17, 636. https://doi.org/10.3390/en17030636
Zhao H, He L, Peng Y, Shuai Z, Zhang Z, Hu L. A Refined DER-Level Transient Stability Prediction Method Considering Time-Varying Spatial–Temporal Correlations in Microgrids. Energies. 2024; 17(3):636. https://doi.org/10.3390/en17030636
Chicago/Turabian StyleZhao, Huimin, Lili He, Yelun Peng, Zhikang Shuai, Zhixue Zhang, and Liang Hu. 2024. "A Refined DER-Level Transient Stability Prediction Method Considering Time-Varying Spatial–Temporal Correlations in Microgrids" Energies 17, no. 3: 636. https://doi.org/10.3390/en17030636
APA StyleZhao, H., He, L., Peng, Y., Shuai, Z., Zhang, Z., & Hu, L. (2024). A Refined DER-Level Transient Stability Prediction Method Considering Time-Varying Spatial–Temporal Correlations in Microgrids. Energies, 17(3), 636. https://doi.org/10.3390/en17030636
