Next Article in Journal
Application of the Analytic Hierarchy Process Method to Select the Final Solution for Multi-Criteria Optimization of the Structure of a Hybrid Generation System with Energy Storage
Previous Article in Journal
A High-Resolution Satellite-Based Solar Resource Assessment Method Enhanced with Site Adaptation in Arid and Cold Climate Conditions
 
 
Font Type:
Arial Georgia Verdana
Font Size:
Aa Aa Aa
Line Spacing:
Column Width:
Background:
Article

Attractive Space Evaluation Method for HVDC Transmission Lines

Department of Electric Power Engineering, Faculty of Electrical Engineering and Informatics, Budapest University of Technology and Economics, Műegyetem rkp. 3., H-1111 Budapest, Hungary
*
Author to whom correspondence should be addressed.
Energies 2024, 17(24), 6434; https://doi.org/10.3390/en17246434
Submission received: 19 November 2024 / Revised: 13 December 2024 / Accepted: 17 December 2024 / Published: 20 December 2024
(This article belongs to the Section F1: Electrical Power System)

Abstract

High-voltage direct current (HVDC) transmission lines are increasing in number and overall length. This means their lightning protection must be of higher importance as well. Probability-modulated attractive space (PMAS) theory is a proven geometry-based method for lightning protection calculations. However, it cannot accurately assess the number and parameters of direct lightning strikes to the phase conductor of HVDC lines, because the effect of pole voltage on lightning attachment cannot be considered. This effect can be taken into account with leader progression models, which feature lightning physics models that can quantify the effect of the electric field around the phase conductor, which can be quite complex compared to geometric models in general. In this paper, a novel method, called the attractive space matrix, is presented to examine the effect of the DC electric field around the conductor on the attractive space. The algorithm is based on the physical background of the self-consistent leader inception and propagation model. The results could lead to improved lightning protection of HVDC lines and reduce the outages caused by direct lightning strikes.

1. Introduction

To reliably meet electric power demands, the transmission and distribution grid must grow year by year and become more complex. As a result, more high-voltage direct current (HVDC) transmission lines are being built due to their advantages in lower overall transmission losses over the break-even distance (approx. 600–800 km) [1,2], especially in countries like Brazil, China, and the USA, where long distances must be covered more frequently [3,4,5]. Not only are new HVDC transmission lines being operated, but their maximum voltage level is also increasing, currently up to 1100 kV. The first one at this voltage level was built in China [4]. Currently, most of the lines are utilized at either 500 or 800 kV, and the longest is above 2000 km [5].
Considering that more and more transmission lines are in operation, the lightning protection (LP) of these structures is of higher importance, not only due to the longer overall length but also because higher voltage levels require higher structures to provide insulation levels and clearance, factors which contribute to a greater shielding failure rate (SFR) if neglected. Shielding failure (SF) describes the situation where lightning avoids the shield wire(s) and strikes the phase wire(s) directly. Since such strikes have a major role in power interruptions, reducing SFRs is key to improving the reliability of transmission line operations. To identify possible SF events with minimal error, precise methods are necessary to evaluate the effectiveness of LP systems.
Probability-modulated attractive space (PMAS) theory [6,7,8,9,10] is a geometry-based lightning protection evaluation method that can be utilized in SFR calculations for any structure. Due to its geometric principle, it cannot take into account the different evolutionary processes of upward leaders towards downward leaders, a factor which might be crucial for higher voltages, especially for HVDC transmission lines above 500 kV, because of the effect of pole voltage on upward leader development [11,12]. This relatively high DC voltage creates a space charge around the conductor [4], which facilitates successful upward leader inception [13]. Between 80 and 90% of interruptions of HVDC transmission lines are due to negative lightning strikes to the positive pole. The difference in the significance of pole voltage can be attributed to the observed polarity ratio, e.g., according to ALDIS measurements [14], indicating that over 80% of ground lightning strikes are negative in most areas. Former calculations, e.g., by He et al. [15], have resulted in an 8:1 ratio of positive vs. negative phase conductor lightning strikes. Currently, this phenomenon could be accurately assessed by leader progression models (LPMs) [11,12], the umbrella term for the other group of lightning evaluation methods next to the abovementioned geometry-based one.
In this paper, a new method is presented to more precisely quantify the influence of DC pole voltage on upward leader evolution. The calculations are carried out for an 800 kV HVDC transmission line. The method also utilizes the physical background of the self-consistent leader inception and propagation model (SLIM) [16,17], which is one of the most well-known LPMs.

2. Probability-Modulated Attractive Space Theory

PMAS theory was created by Prof. Tibor Horvath†. As was mentioned previously, it is a geometry-based approach for lightning protection calculations such as the electro-geometric model (EGM), first published by Armstrong et al. [18] for this application, and its updated numeric version, the dynamic electro-geometric model (DEGM) [19,20]. However, if these methods are on the same basis, PMAS theory has its own procedure that distinguishes it from the rest. Prof. Horvath worked out PMAS theory around 1972 and refined it until the 2010s; therefore, in this chapter, a complete summary is presented for fully comprehensive calculation and repeatability in the case of transmission lines.
During calculation, the examined volume is partitioned, meaning the space parts are assigned to the objects in focus. The points closer to a given object than to any other object construct the given attraction space. In the case of a transmission line, these objects are the phase wire, shield wire, tower structure, and the ground. This is similar to the EGM until this. However, Prof. Horvath proved that the attraction space depends on the lightning polarity [21]. According to the polarity factor, the border of an attraction space is not a fixed plane (nor an unchanging line in 2D). Note that most 3D problems can be simplified to 2D geometry during PMAS calculations with proper boundary conditions. PMAS theory accounts for the polarity dependence of the attraction space using the factor ε = z/h, where z represents the point in space under consideration and h is the height of the object relative to the plane. For negative polarity, ε < 1 with a typical value of 0.88 used in calculations, while for positive polarity, ε > 1 with a commonly used value of 1.06. This indicates that a given object in the same configuration has a smaller attraction space for positive lightning than for negative. The theory also defines the orientation point as the point in space where the downward leader triggers upward leaders from nearby objects, which is called the striking point in the scientific literature. Therefore, this name will be used from now on. Accordingly, the orientation distance, similarly striking distance henceforth, refers to the distance between the striking point and the actual strike point on the object. When ε = 1, meaning no polarity dependence is considered, PMAS borders are similar to the geometry boundaries designated by the EGM. The attraction spaces for different polarities are shown in Figure 1.
A crucial factor in geometry-based lightning protection calculations is the striking distance, which is given practically as a function of lightning current. There are several expressions which have been worked out since the first one was created by Golde for transmission tower applications [23,24]; some equations are collected, e.g., by Tavakoli et al. [25]. The parameterizable function can be seen in Equation (1), and Table 1 contains some of the striking distance expression parameters that will be used in later presented calculations.
r s = C × I n   m
in which rs is the striking distance in meters, C is a coefficient, I is the peak value of the lightning current in kA, and n is a dimensionless exponent.
Prof. Horvath transformed Equation (1) into Equation (2) for PMAS calculations due to the incorrect dimensions because the current at the power of n will be equal to meters.
I I m = r r m p ,
where p is equal to n−1 and Im and rm are the median values of lightning current and striking distance, respectively.
The above median values and their relation to each other are crucial for accurate calculations. Therefore, in the PMAS method, Im is a constant value between 24 and 35 kA for the negative return stroke median current depending on the location, and the corresponding median value of striking distance is based on geometric relations, since it is a function of the examined geometry and the polarity of lightning [6,23]. The calculation of rm can be carried out according to Equations (3) and (4):
r m = μ × h   m ,
μ = I m 20 n × ( 644 × h ) 0.1 + 32.5 h 0.7 ,
where h is the height of the object and the rest of the factors were worked out by Prof. Horvath during his research. Note that the values in Equation (4) are for negative polarity [6]. This is another significant difference from other geometric-based methods; the PMAS method is the only one that modifies the striking distance equations based on the investigated spatial relations. The density function of the orientation distances—or in other words, the probability of a striking distance; see Figure 2—is given by Equation (5):
d P d r = p s   2   π 1 r   e 1 2   p s   l n r r m 2   1 m ,
where s is a parameter based on lightning polarity and r is the investigated striking distance, whose examined range is based on the results of Equation (2) and the geometric relations.
In Figure 2, factor β represents the probability of a direct lightning strike and equals 1 for all dV parts of the examined geometry for which a direct lightning strike to the given object is expected. Otherwise, β equals 0.
In summary, after completing the calculations according to the former equations, the expected number of direct strikes to a given object in a year, i.e., direct strike frequency, can be calculated according to Equation (6).
N F = N G V A d P d r d V   strike year
N G = T D 10   ground   flash   km 2   year
in which NG is the ground flash density, TD is the thunderstorm days annually, and VA is the attraction space of the designated object. Note that there are other equations for the ground flash density, e.g., those used by Mohammadi et al. [11]. Since Equation (6) depends on polarity, the calculations must be carried out for both negative and positive lightning strikes. In this paper, calculations are performed only for negative return stroke polarity. Moreover, Equation (6) does not include factor β, since only for a given object, the phase wire will be examined for direct lightning strikes. Therefore, β = 1 in the equation.

3. Theoretical Background of the Modified SLIM Model

To fully describe the attachment of a descending leader to connecting leaders initiating from structures, it is essential to analyze not only the inception of the upward leader but also its propagation and final connection to the downward-stepped leader. LPM models aim to simulate the dynamics involved in this process. Given the LPM physical approach, other factors can be considered more precisely than in the case of most geometry-based models, e.g., height differences in the examined geometry, the shape of the object etc., and evidently, the effect of the space charge around HVDC transmission line conductors. There are several LPMs; in this paper, a modified version of SLIM is adapted as mentioned in the introduction section. An in-depth review of different LPMs can be found in [12].
Based on the work of Gallimberti [27] and Rizk [28], Becerra and Cooray formulated SLIM to characterize the inception of connecting leaders from grounded structures. There are three main steps in the calculation [16]:
  • Corona inception phase: formation of corona discharge on the grounded object
  • Unstable leader inception phase: transition between streamer and leader
  • Stable leader inception phase: self-sustained propagation of the leader
Consequently, the criterion for identifying the inception of a stable upward leader has a crucial role in analyzing the lightning protection of transmission lines as well. Since SLIM was originally created for grounded structures, modifications must be carried out to assess the effect of the pole voltage of HVDC lines on upward leader inception. The modification applied in this paper is adapted from [11], which can be seen in Figure 3 for positive electrode voltage.
In Figure 3, UE is the positive pole voltage; U0 is the theoretical starting value of U1 geometrical potential distribution, which can be calculated with either charge simulation (CSM) or the finite element method (FEM); U2 is the potential distribution after corona formation; ΔQ is the charge of the corona zone at each iteration; Utip is the potential of the leader tip; and ls and lL are the streamer and leader length, respectively. Calculation of the initial length of the streamer and total corona charge can be carried out with Equations (8) and (9):
l s 0 = U 0 U E E s t r E b   m ,
Δ Q 0 = K Q × l s 0 2 2 × E s t r E b   C ,
where the previously not-defined parameters are Eb, background electric field; Estr, the constant electric field of the streamer; and KQ, a geometric parameter, which has an important role in the calculations. Further details regarding its value for different geometries can be found in [16].
The requirement for the transition between the abovementioned SLIM phases I and II is to fulfil the ΔQ0 ≥ 1 μC criterion. If it is true, calculations are made to ensure that an adequate leader can evolve from the object. These are carried out according to Equations (10)–(15).
U t i p i = U e l L i × E + x 0 × E × l n E s t r E E s t r E E × e l L i x 0   kV
x 0 = v × θ   m
l s i = l s 0 + E s t r × l L i U t i p i E s t r E b   m
Δ Q i K Q × l s i 1 l L i × E s t r × l L i l L i 1 + U t i p i 1 U t i p i   C
Δ l L i = Δ Q i q L   m
l L i + 1 = l L i + Δ l L i   m
where l s 0 is the initial length of the corona zone calculated by the crossing point of the simulated background potential distribution and U 2 0 as it is visible in Figure 3  E is the final quasi-stationary leader gradient, x0 is a constant given by v ascending positive leader speed, and θ is the leader time constant. The values of important parameters used for the SLIM calculations are listed in Table 2.
At each iteration, a calculation of the leader length increase is carried out. If the charge difference is negative, meaning leader length decreases, then no stable leader inception is assumed. Otherwise, if the leader length is higher than a given threshold, the stable leader inception criterion is met. This threshold value in the original paper by Becerra and Cooray [16] is 2 m; however, as a result of subsequent research, this and other significant parameters were refined for the application when electrode voltage is present [29]. Therefore, maximum leader length used in the iteration for 0, 500, and 800 kV electrode potential cases can be 0.903, 1.281, and 1.503 m, respectively.
For striking distance calculations, which ultimately lead to the value of expected strike frequency, that can be compared with the PMAS results, the downward-stepped leader channel charge distribution must be considered in LPMs. In this paper, calculations are based on the expression worked out by Cooray et al. [26], which is the following:
ρ ξ = a 0 × 1 ξ H z 0 × G z 0 × I p + I p × a + b × ξ 1 + c × ξ + d × ξ 2 × H z 0   C m
G z 0 = 1 z 0 H
H z 0 = 0.3 α + 0.7 G z 0
α = e z 0 10 75
where z0 is the height of the leader tip above ground in meters, H is the height of the cloud in meters, ρ ξ is the charge per unit length, ξ is the length along the stepped leader channel, and Ip is the return stroke peak current in kA; a 0 = 1.476 × 10−5, a   = 4.857 × 10−5, b = 3.9097 × 10−6, c = 0.522 and d = 3.73 × 10−3.
The LPM theoretical concepts covered in this chapter provide an overall basis for lightning protection calculations.

4. Investigation of Attractive Space with a Novel Method for HVDC Transmission Lines

For transmission lines, per Tavakoli et al. [25], and for HVDC lines in focus, per Mohammadi et al. [11], as detailed earlier, a SLIM-based algorithm was created to assess the shielding failure ratio. In that method, downward leader progression is implemented, as it is in other LPMs due to their basis, naturally.
As for the proposed method, an electrostatic model is constructed for FEM calculation to model the electric field during the process of lightning attachment. The phenomenon of leader propagation from both sides is a highly dynamic process and cannot be considered electrostatic; see, e.g., the discussion by Cooray et al. in [26]. However, with carefully created boundary conditions, selected steps in the process can be accurately modelled, which are exploited by LPM. Propagation of the stepped leader is mostly modeled by discrete jumps of pre-defined length in the examined geometry from the cloud toward the ground. This means the endpoint of each jump will be where the gradient of the electric field is the highest from the starting point, i.e., the highest potential difference.
Real-scenario electric field properties cannot be accurately modeled due to the complex charge distribution in the cloud, although with increasing distance, the superposition of the charges can be more precisely modelled with cloud models [30]; therefore, the gradient of the electric field will be influenced not only by thundercloud charges and grounded objects but weather and local medium qualities as well. This results in non-deterministic leader paths. This can be more accurately modelled with a fractal approach, summarized, e.g., in [12], which can lead to complicated calculations and may require extensive preparation for different geometries.
Considering the basis of attractive space selection from PMAS theory, the examined geometry for a given application can be refined for LPM calculations. This means that in the case of a transmission line, a lateral section can be selected with limits based on the applied LPM and PMAS attractive space allocation, where calculation must be carried out. This designation acts as a spatial magnifier for shielding efficiency examination which includes both lateral, lower, and higher limits. See Figure 4 for an example.
Since direct strikes to the phase wire are in focus, the spatial limits of the calculations are based on the examined return stroke current range. Identification of the highest and lowest current can be achieved with a properly fine designation in the investigated space. In Figure 4b, the difference between each evaluated point is 1 m. Once the area to be examined is selected, simulation must be carried out with a downward leader model for each point of interest selected in the volume section, which essentially forms a matrix, which shall be named the attractive space matrix (APM). As a result, potential distribution between the objects in the geometry, even with electrode voltage, and the given downward leader can be quantified. Using this, the attraction space of the phase wire can be examined based on the simulation results.
As can be seen in Figure 4b, some evaluated striking points seem impossible for a given lightning current or, to remain theoretically correct in the field of lightning physics, carry negligible probability for the last location of the downward tip. Note that exactly this is managed by several geometric-based models with striking distance equations, but those are general forms or, in the case of the PMAS model, cannot consider the effect of the space charge around the conductor. On the other hand, in existing LPM models, the step increment of the downward leader propagation, mostly between 100 m and 10 m as it grows closer to the object [11], causes attractive space points to be missed, i.e., jumped over, leading to an overall lower calculated attractive space of the object. However, it is crucial to assess the boundary of the attractive space with minimal error to quantify the enhancing effect of the HVDC pole voltage on it.
With the proposed APM method, the resolution of the calculation is much higher. Therefore, the abovementioned mistakes can be avoided, and the attractive space of the conductor can be precisely calculated.
In the algorithm, the downward leader tip is placed on each point of the APM in sequence. After this, calculations are carried out between the downward leader and both the phase and the shield wire, and the following criteria are applied:
  • Ground strike: If the distance from the ground is lower than or equal to the distance given in the Table 1 Cooray equation, then a ground strike is considered, similarly to [11].
  • Direct strike to a given object without algorithm: If the electric field between one of the wires and the leader tip is greater than the initial condition of the SLIM, i.e., a final jump condition, a direct strike to that wire is considered. If the electric field from both conductors meets this criterion, then the strike to the closer one is counted. This is based on the abovementioned impossibly low probability leader tip points; i.e., the evaluated leader charge is much closer than the associated striking distance. This means that in the simulation, the electric field was higher between the modeled downward leader and the given object than it can be in real life without triggering a discharge, leading to an intermediate conclusion: for the given lightning current, the boundary of the attractive space is further from the object.
  • Direct strike possibility to a given object: If a SLIM calculation is needed according to the algorithm, the connecting leader inception is evaluated. According to the work in [27] and the measurement results in [29], the upward leader propagates with a nearly constant velocity of 1–2 cm μ s . Therefore, a new condition is introduced into the leader evolution. To check if the calculated upward leader is in this propagation range, the iteration count can simply be limited between the starting leader length and the maximum expected length for successful inception. This limit is between 50 and 200 iterations based on the maximum length criteria and geometric factors. If both wires meet this criterion, the upward leader evolutions can be compared based on the detailed conditions and the strike point can be determined. This condition leads to examining the boundary of the attractive space of the given object: coming closer to the boundary, the attachment process will be longer and less intense. Note that in theory, if there are no errors in the simulation or the calculations, which is impossible due to the numeric methods, the exact boundary of an attractive space is between the first failed attachment coordinate and the last successful one.
  • No attachment in the current step: If none of the above are fulfilled for a given placement of the leader tip, then the height is decreased by one matrix unit, and a new inspection procedure starts. If the given lateral distance is completed, then the leader tip is placed on top of the next column.
Based on the geometry and PMAS calculations, the range of the evaluated currents can be designated logically. Due to the physical nature of lightning, a minimum 2 kA return stroke current is always considered [32]; for the maximum current, iteration is recommended to detect the highest possible number of direct strike currents. Figure 5 summarizes the proposed algorithm and criterion system in a flowchart. Following these steps, the attractive space of the conductor can be calculated with and without pole voltage, the difference in which appears during the simulation of the electric field. The result of the algorithm will be the attractive space of the phase conductor.

5. Calculations for an 800 kV HVDC Transmission Line

To demonstrate the algorithm and compare it with the PMAS results, a real transmission line is evaluated. The tower can be seen in Figure 4a; further details about the line parameters can be found in [31]. Note that calculations and results detailed in this chapter are only for negative polarity lightning and only for one side of the transmission line or for the positive pole.

5.1. Geometric-Based Calculation of SFR

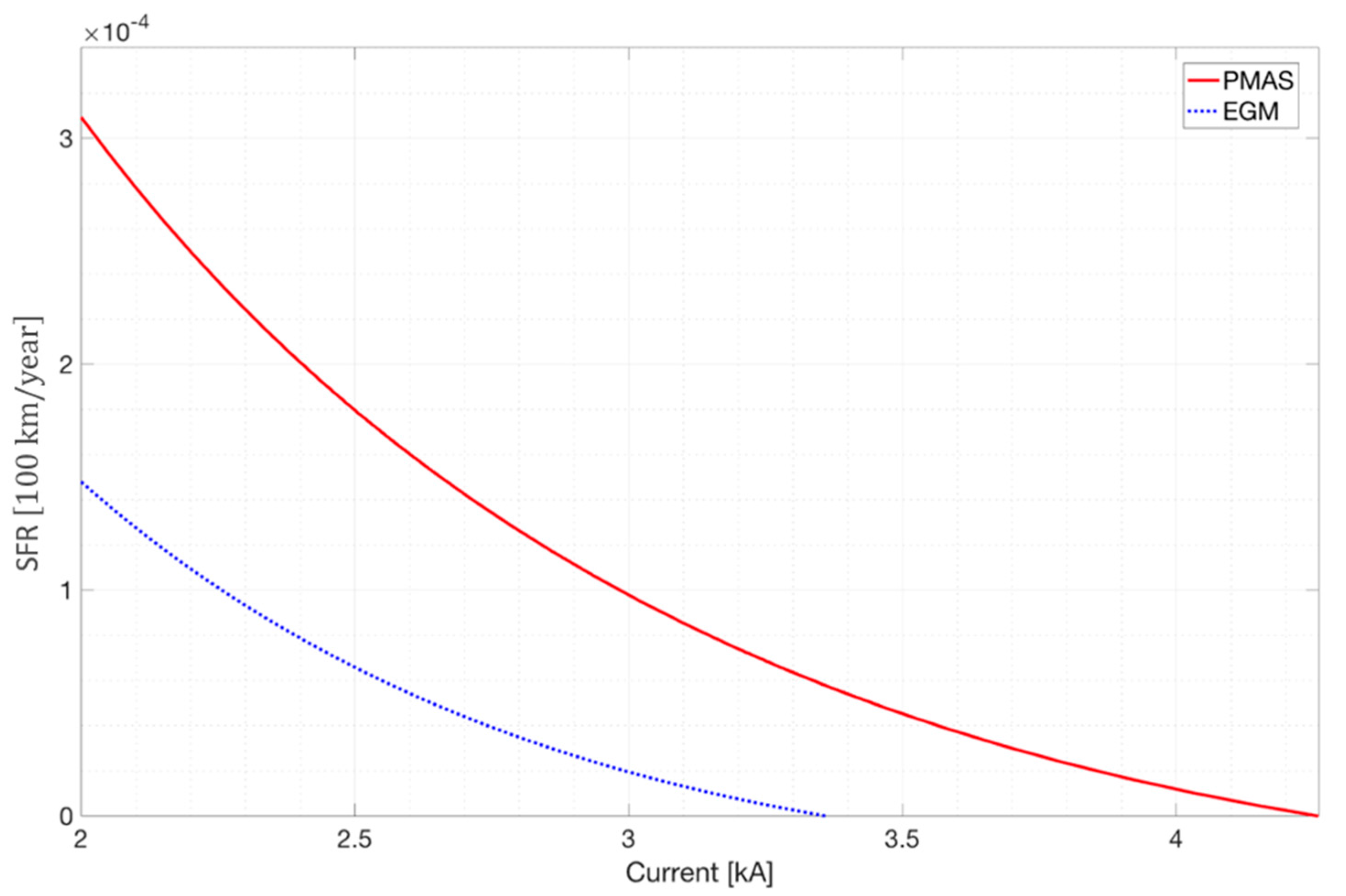
Based on the previous description of PMAS theory, the calculation can be carried out for the 800 kV HVDC transmission line. Figure 6a shows the designation of the attractive spaces in general, and Figure 6b visualizes the maximum attractive space of the phase wire and its borders in the examined geometry. Obtaining the SFR value can be carried out iteratively from the radius associated with the 2 kA minimum current up to the maximum current determined by the intersection visible in Figure 6b.
If downward leader polarity dependence is not taken into account, the calculation can be performed using the spatial limits defined by the EGM. The results of the SFR calculations for both the PMAS method and the EGM are visible in Figure 7. It can be clearly seen that the effect of negative polarity consideration for the number of expected strikes is significant. Moreover, the maximum current that can cause SF is also greater as a result of the PMAS calculation.

5.2. Attractive Space Matrix-Based Calculation of SFR

During the SFR calculation with the attractive space algorithm, the determination of the highest and lowest possible lightning current for each APM point can be evaluated. The SFR can be calculated, e.g., using the method detailed by Mohammadi et al. [11]. To achieve accurate results, a finite element simulation is carried out for the inspected geometry. Figure 8a shows the meshed transmission line geometry. The model of the insulator is based on the real 800 kV HVDC insulator presented in [33]. An example of a simulation arrangement can be seen in Figure 8b, with the leader tip at coordinates (40 m, 40 m). The electrostatic model features a background voltage at a 2 km height as a cloud charge simulation to reach a typical electric field value of around 10 kV m near the ground during thunderstorms. Further details on the model parameters can be found in [30], as it is similarly constructed.
To demonstrate the results, Figure 9 shows the marked points of the APM from which direct strikes to the phase wire were identified. The visualized scenario parameters are for the +800 kV pole voltage, and the lightning current ranges from 2 to 9 kA. Note that Figure 9 does not depict the layout from ground level.
Without considering the effect of voltage in the simulation, which implies a grounded electrode, it can be established that the larger the lightning current at a given lateral distance, the greater the probability of a direct strike to the shield wire. This is because the electric field strength between the shield wire and the descending discharge becomes sufficient to establish attachment before it can get closer to the phase conductor. In the case of smaller lightning currents, even at small distances, the effect may not be enough to form an attachment to either conductor, resulting in a ground strike.
If the effect of voltage is taken into account, the space charge around the phase conductor can facilitate the attachment process, enabling a sufficient upward leader to develop from greater distances for a given lightning current. Since the algorithm can precisely determine the attraction space, this phenomenon is reflected in the SFR value, which quantitatively represents the effect of the pole voltage.

6. Discussion

The SFR value and maximum current that can strike the phase conductor provide a proper basis for model comparison. The results are featured in Table 3.
As expected, the EGM SFR value is much lower than the PMAS and the APM result without pole voltage. The low value is also a consequence of a 0° shielding angle. As can be seen from the geometry in Figure 4a, the shield and phase wire are in the same plane. It is important to mention that a modified version of the EGM algorithm for transmission line calculations exists for better results [12].
On the other hand, the PMAS result is quite close to the APM method without pole voltage, because it designates a higher attraction space for the conductors than the EGM.
The maximum current determined by LPM with +800 kV pole voltage considered shielding failure is close to the results published by Rodrigues et al. [31] calculated with a different attachment model for the same geometry.
Significant enough to note that the accuracy of the introduced method due to its LPM basis, and therefore all LPM methods, is strongly dependent on the resolution of the starting points of the downward leader and the step size of the propagation. The latter factor is eliminated by the featured APM method. If the resolution is not high enough, some striking points might be missed from the calculation, which would lead to errors in the attractive space determination and, ultimately, the SFR value.
Although, in Table 3 the +500 kV pole voltage SFR value is theoretical, since the examined transmission line is built for 800 kV DC and operates only at this voltage level, however it creates the opportunity to assess the effect of the pole voltage amplitude on the attraction space for a given geometry. Consequently, it is evident that this effect becomes even more significant at higher voltages.
The effect of the DC voltage amplitude on the phase wire and the geometry cannot be examined independently of each other, since the electrode configuration, i.e., the spatial extent of grounded objects plus their distance from each other and the phase wire, will have an effect on the electric field.
It is clear that the higher the shielding angle, that is, the closer the shield wire is to the midplane of the tower, the higher the expected number of strikes to the phase conductor because the attractive space of the shield wire will be shifted as well with the physical location. Note that greater attractive space leads to higher maximum shielding failure currents as well. Summarizing these, it can be concluded that the smaller the protection angle, the greater the effect of the DC space charge on the attachment process because the DC electric field is spatially limited. In the presented model, the 0° shielding angle highlights this effect.
Considering the results, PMAS theory can be modified based on the ratio of the above SFR values to quantify the effect of HVDC pole voltage for this individual geometry. Since the APM results without and with the +800 kV pole voltage are calculated, their ratio (Tp) is able to exclusively represent the effect of the DC voltage on the attachment process, which is 2.51. By multiplying the PMAS result with this factor, the number of expected negative strikes to the positive conductor can be more accurately determined in the given geometry.
The presented APM method can contribute to improving the lightning protection of HVDC lines. With simulations for any geometry, the required spatial shift of the shield conductor or other geometry modification can be determined if needed, which is worked out for the featured geometry by Rodrigues et al. [31]. Note that in that paper, the whole shield wire support is moved. However, it might not be required to move the shield wire away from the negative pole, i.e., increasing the shielding angle on that side of the line, because it can lead to a higher number of direct strikes to the negative pole. It would be incorrect to think that the upward leader will not initiate from the negative pole toward the negative downward leader. Therefore, attachment cannot happen due to the negative corona present around the negative pole. This would mean that early streamer emission (ESE) devices and/or lightning-repellent techniques could work, but there is no scientific or observed proof supporting them so far. Becerra also examined the physical background [34], which led to the conclusion that the effect of these devices is insignificant during lightning attachment. Also note that if these devices work, then it would lead to the conclusion that protected volume exists and can be constructed, i.e., eliminate the probability of a direct lightning strike to a given object from that volume part, which contradicts the principles of lightning protection.

Author Contributions

Conceptualization, G.K. and I.K. Data curation, G.K. and B.N. Formal analysis, G.K., I.K. and B.N. Investigation, G.K., I.K. and B.N. Methodology, G.K. and I.K. Project administration, B.N. Resources, G.K. and B.N. Software, G.K. and I.K. Supervision, B.N. Validation, G.K. and I.K. Visualization, G.K. Writing—original draft, G.K. Writing—review and editing, G.K., I.K. and B.N. All authors have read and agreed to the published version of the manuscript.

Funding

This research received no external funding.

Data Availability Statement

The data that support the findings of this study are available from the corresponding author upon reasonable request.

Conflicts of Interest

The authors declare no conflicts of interest.

References

  1. Barnes, M.; Van Hertem, D.; Teeuwsen, S.; Callavik, M. HVDC Systems in Smart Grids. Proc. IEEE 2017, 105, 2082–2098. [Google Scholar] [CrossRef]
  2. Meah, K.; Ula, S. Comparative Evaluation of HVDC and HVAC Transmission Systems. In Proceedings of the 2007 IEEE Power Engineering Society General Meeting, Tampa, FL, USA, 24–28 June 2007. [Google Scholar] [CrossRef]
  3. Electric Grid Supply Chain Review: Large Power Transformers and High Voltage Direct Current Systems Supply Chain Deep Dive Assessment U.S. Department of Energy Response to Executive Order 14017, America’s Supply Chains 24 February 2022. Available online: https://www.energy.gov/sites/default/files/2022-02/Electric%20Grid%20Supply%20Chain%20Report%20-%20Final.pdf (accessed on 13 November 2024).
  4. He, K.; Gu, J.; Huang, S.; Bian, K.; Ju, Y.; Chen, W.; Lu, J. The corona space charge distribution of Changji-Guquan ±1100kV UHVDC transmission line within the Thundercloud Electric Field. In Proceedings of the 2020 IEEE International Conference on High Voltage Engineering and Application, Beijing, China, 6–10 September 2020. [Google Scholar] [CrossRef]
  5. The World’s Longest Power Transmission Lines. Available online: https://www.power-technology.com/features/featurethe-worlds-longest-power-transmission-lines-4167964/ (accessed on 13 November 2024).
  6. Horvath, T. Computation of Lightning Protection, 1st ed.; John Wiley & Sons Inc.: New York, NY, USA, 1991. [Google Scholar]
  7. Horvath, T. Computation of the lightning stroke probability and the effectiveness of the air termination. J. Electrost. 1989, 23, 305–322. [Google Scholar] [CrossRef]
  8. Horvath, T. A new method for design of the air termination system of high voltage open air stations. In Proceedings of the International Conference on Electric Power Engineering, Budapest, Hungary, 29 August–2 September 1999. [Google Scholar] [CrossRef]
  9. Horvath, T. Estimation of interception efficiency using the probability modulated attraction volume. In Proceedings of the 2012 International Conference on Lightning Protection, Vienna, Austria, 2–7 September 2012. [Google Scholar] [CrossRef]
  10. Horvath, T. Interception Efficiency of Lightning Air Termination Systems Constructed with Rolling Sphere Method. In Proceedings of the International Conference on Lightning Protection, Kanazawa, Japan, 18–22 September 2006. [Google Scholar]
  11. Mohammadi, R.; Vahidi, B.; Rahiminejad, A. Estimation of HVDC transmission lines shielding failure using LPM method and an adapted SLIM model. IET Sci. Meas. Technol. 2019, 13, 1345–1351. [Google Scholar] [CrossRef]
  12. CIGRÉ Working Group C4.26 Evaluation of Lightning Shielding Analysis Methods for EHV and UHV DC and AC Transmission Lines. Available online: https://www.e-cigre.org/publications/detail/704-evaluation-of-lightning-shielding-analysis-methods-for-ehv-and-uhv-dc-and-ac-transmission-lines.html (accessed on 13 November 2024).
  13. He, J.; Tu, Y.; Zeng, R.; Lee, J.B.; Chang, S.H.; Guan, Z. Numeral analysis model for shielding failure of transmission line under lightning stroke. IEEE Trans. Power Deliv. 2005, 20, 815–822. [Google Scholar] [CrossRef]
  14. ALDIS, Polarity of Lightning Current. Available online: https://www.aldis.at/en/lightning-statistics/polarity/ (accessed on 13 November 2024).
  15. He, J.; Zhang, X.; Dong, L.; Zeng, R.; Liu, Z. Fractal model of lightning channel for simulating lightning strikes to transmission lines. Sci. China Ser. E Technol. Sci. 2009, 52, 3135–3141. [Google Scholar] [CrossRef]
  16. Becerra, M.; Cooray, V. A simplified physical model to determine the lightning upward connecting leader inception. IEEE Trans. Power Deliv. 2006, 21, 897–908. [Google Scholar] [CrossRef]
  17. Becerra, M.; Cooray, V. A self-consistent upward leader propagation model. J. Phys. D Appl. Phys. 2006, 39, 3708. [Google Scholar] [CrossRef]
  18. Armstrong, H.R.; Whitehead, E.R. Field and Analytical Studies of Transmission Line Shielding. IEEE Trans. Power Appar. Syst. 1968, PAS-87, 270–281. [Google Scholar] [CrossRef]
  19. Kern, A.; Schelthoff, C.; Mathieu, M. Calculation of interception efficiencies for mesh-type air-terminations according to IEC 62305-3 using a dynamic electro-geometrical model. In Proceedings of the 31st International Conference on Lightning Protection, Vienna, Austria, 2–7 September 2012. [Google Scholar] [CrossRef]
  20. Kern, A.; Brocke, R.; Raab, V.; Hannig, M.; Rock, M.; Beierl, O.; Zischank, W. Detailed calculation of interception efficiencies for air-termination systems using the dynamic electro-geometrical model—Practical applications. In Proceedings of the 33rd International Conference on Lightning Protection, Estoril, Portugal, 25–30 September 2016. [Google Scholar] [CrossRef]
  21. Horvath, T.; Pankasz, L. Ermittung der Wahrscheinlichkeiten von Nahe- und Seiteneinschläge bei Fernsehturm Moskau durch Modellversuche. In Proceedings of the 14. Internationale Blitzschutzkonferenz, Gdansk, Poland, 22–26 May 1978. [Google Scholar]
  22. Toth, Z.; Kiss, I.; Nemeth, B. Relation between the material of roof and the risk of lightning caused damage: The rolling sphere method in the use. Electr. Power Syst. Res. 2021, 196, 107286. [Google Scholar] [CrossRef]
  23. Golde, R.H. Lightning Protection, 1st ed.; Edward Arnold Ltd.: London, UK, 1973. [Google Scholar]
  24. Golde, R.H. The frequency of occurrence and their distribution of lightning flashes to transmission lines. Electr. Eng. 1945, 64, 902–910. [Google Scholar] [CrossRef]
  25. Tavakoli, M.R.B.; Vahidi, B. Transmission-Lines Shielding Failure-Rate Calculation by Means of 3-D Leader Progression Models. IEEE Trans. Power Deliv. 2011, 26, 507–516. [Google Scholar] [CrossRef]
  26. Cooray, V.; Rakov, V.; Theethayi, N. The lightning striking distance—Revisited. J. Electrostat. 2007, 65, 296–306. [Google Scholar] [CrossRef]
  27. Gallimberti, I. The mechanism of long spark formation. J. Phys. Coll. 1972, 40, 193–250. [Google Scholar] [CrossRef]
  28. Rizk, F.A.M. Modeling of transmission line exposure to direct lightning strokes. IEEE Trans. Power Deliv. 1990, 5, 1983–1997. [Google Scholar] [CrossRef]
  29. Zeng, R.; Li, Z.; Yu, Z.; Zhuang, C.; He, J. Study on the Influence of the DC Voltage on the Upward Leader Emerging from a Transmission Line. IEEE Trans. Power Deliv. 2013, 28, 1674–1681. [Google Scholar] [CrossRef]
  30. Kalecz, G.; Kiss, I.; Nemeth, B. Investigation of streamer-leader transition during upward lightning. In Proceedings of the 23rd International Symposium on High Voltage Engineering, Glasgow, UK, 28 August–1 September 2023. [Google Scholar] [CrossRef]
  31. Rodrigues, E.; Pontes, R.S.T.; Bandeira, J.; Aguiar, V.P.B. Analysis of the Incidence of Direct Lightning over a HVDC Transmission Line through EFD Model. Energies 2019, 12, 555. [Google Scholar] [CrossRef]
  32. Cooray, V. On the upper and lower limit of peak current in first return strokes of lightning flashes. In Proceedings of the 30th International Conference on Lightning Protection, Cagliari, Italy, 13–17 September 2010. [Google Scholar] [CrossRef]
  33. Bing, L.; Li, L.; Hong, R.; Li, X. Study on Characteristics of ±800kV DC Composite Insulators. In Proceedings of the International Conference on High Voltage Engineering and Application, Chongqing, China, 9–12 November 2008. [Google Scholar] [CrossRef]
  34. Becerra, M. Corona discharges and their effect on lightning attachment revisited: Upward leader initiation and downward leader interception. Atmos. Res. 2014, 149, 316–323. [Google Scholar] [CrossRef]
Figure 1. Attraction space of a single rod for different polarities [6,22].
Figure 1. Attraction space of a single rod for different polarities [6,22].
Energies 17 06434 g001
Figure 2. Probability of a direct lightning strike to “B” from a given striking distance based on [6].
Figure 2. Probability of a direct lightning strike to “B” from a given striking distance based on [6].
Energies 17 06434 g002
Figure 3. Modified SLIM calculation considering electrode voltage adapted from [11].
Figure 3. Modified SLIM calculation considering electrode voltage adapted from [11].
Energies 17 06434 g003
Figure 4. Attractive space matrix designation example (a) 800 kV HVDC tower parameters, reproduced from [31], MDPI: 2019. (b) Example of a selected attractive space matrix for a tower part.
Figure 4. Attractive space matrix designation example (a) 800 kV HVDC tower parameters, reproduced from [31], MDPI: 2019. (b) Example of a selected attractive space matrix for a tower part.
Energies 17 06434 g004
Figure 5. HVDC attractive space matrix calculation algorithm.
Figure 5. HVDC attractive space matrix calculation algorithm.
Energies 17 06434 g005
Figure 6. PMAS example for transmission lines (a) General PMAS boundaries based on [6]. (b) Maximum PMAS attraction space relations for examined geometry at mid-span.
Figure 6. PMAS example for transmission lines (a) General PMAS boundaries based on [6]. (b) Maximum PMAS attraction space relations for examined geometry at mid-span.
Energies 17 06434 g006
Figure 7. Number of expected strikes vs. lightning current over 100 km per year.
Figure 7. Number of expected strikes vs. lightning current over 100 km per year.
Energies 17 06434 g007
Figure 8. Simulation of electric field (a) FEM transmission line model. (b) Example simulation case.
Figure 8. Simulation of electric field (a) FEM transmission line model. (b) Example simulation case.
Energies 17 06434 g008
Figure 9. Identified phase wire striking points of an attractive space matrix for +800 kV electrode voltage.
Figure 9. Identified phase wire striking points of an attractive space matrix for +800 kV electrode voltage.
Energies 17 06434 g009
Table 1. Striking distance and lightning current relation factors.
Table 1. Striking distance and lightning current relation factors.
CnSource
5.250.75Derived from Golde (for tower) [24]
1.90.9Cooray (for ground) [26]
11.60.54Horvath (for tower, typical value) [6]
Table 2. Parameters of SLIM calculations.
Table 2. Parameters of SLIM calculations.
ParameterValueDimensionSource
KQ3.5 × 10−11 C V [16]
E3 × 104 V m [28]
Estr4.5 × 105 V m [16]
v1.5 × 104 m s [28]
θ5 × 10−5 s [28]
qL6.5 × 10−5 C m [16]
Table 3. Calculation results of SFR for comparison.
Table 3. Calculation results of SFR for comparison.
Method SFR   100   k m y e a r Maximum Shielding Failure Current [kA]
EGM0.0753.36
PMAS method0.23754.26
APM
without pole voltage
0.19953.42
APM
with +500 kV pole voltage
0.49686.43
APM
with +800 kV pole voltage
0.59549.4
Disclaimer/Publisher’s Note: The statements, opinions and data contained in all publications are solely those of the individual author(s) and contributor(s) and not of MDPI and/or the editor(s). MDPI and/or the editor(s) disclaim responsibility for any injury to people or property resulting from any ideas, methods, instructions or products referred to in the content.

Share and Cite

MDPI and ACS Style

Kálecz, G.; Kiss, I.; Németh, B. Attractive Space Evaluation Method for HVDC Transmission Lines. Energies 2024, 17, 6434. https://doi.org/10.3390/en17246434

AMA Style

Kálecz G, Kiss I, Németh B. Attractive Space Evaluation Method for HVDC Transmission Lines. Energies. 2024; 17(24):6434. https://doi.org/10.3390/en17246434

Chicago/Turabian Style

Kálecz, György, István Kiss, and Bálint Németh. 2024. "Attractive Space Evaluation Method for HVDC Transmission Lines" Energies 17, no. 24: 6434. https://doi.org/10.3390/en17246434

APA Style

Kálecz, G., Kiss, I., & Németh, B. (2024). Attractive Space Evaluation Method for HVDC Transmission Lines. Energies, 17(24), 6434. https://doi.org/10.3390/en17246434

Note that from the first issue of 2016, this journal uses article numbers instead of page numbers. See further details here.

Article Metrics

Back to TopTop