A Comprehensive Multi-Objective Optimization Study on the Thermodynamic Performance of a Supercritical CO2 Brayton Cycle Incorporating Multi-Stage Main Compressor Intermediate Cooling
Abstract
1. Introduction
2. System Description
3. Modeling and Model Validation
- (1)
- Irrespective of the surrounding conditions, the sCO2 can be heated to the desired high temperature in the heater.
- (2)
- The cycle operates under steady working conditions, with the one-dimensional steady flow of all the working substances.
- (3)
- All the components within the cycle are assumed to operate ideally, without losses from friction, heat conduction, or flow resistance.
3.1. Modeling Approach
3.1.1. Turbine
3.1.2. High-Temperature Recuperator and Low-Temperature Recuperator
3.1.3. Main Compressor and Re-Compressor
3.1.4. Pre-Cooler and Intermediate Cooler
3.1.5. Performance Indicators
3.1.6. Programming
3.2. Model Validation
4. Basic Thermodynamic Performance Study
4.1. Effect of Spilt Ratio
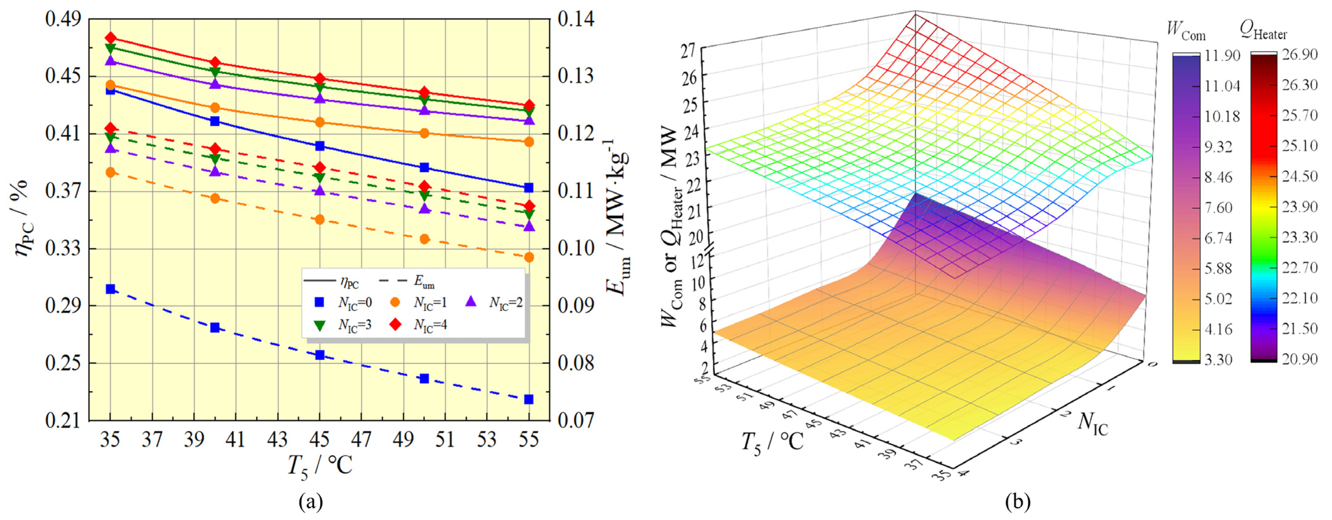
4.2. Effect of the Inlet Temperature on the First Stage Main Compressor
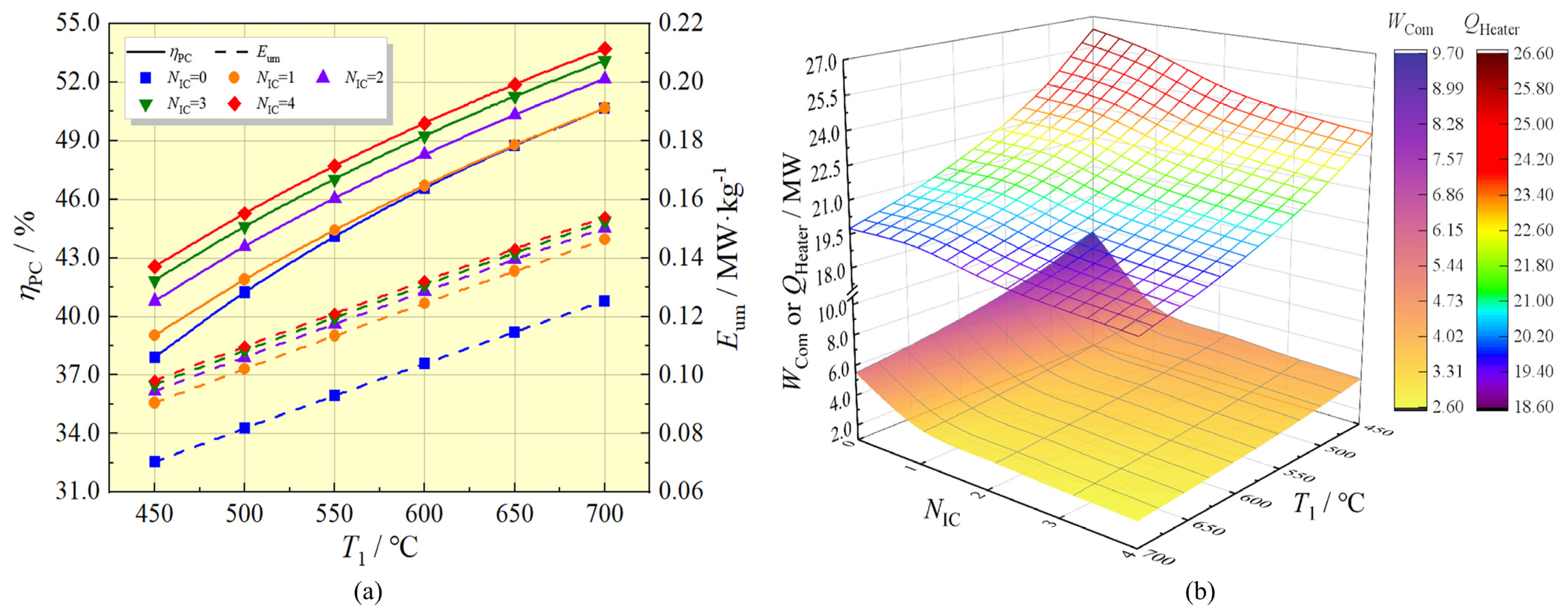
4.3. Effect of Turbine Inlet Temperature
4.4. Effect of Turbine Inlet Pressure
5. Muti-Objective Optimization Study
5.1. Optimization Results Analysis
5.2. Sensitive Analysis
6. Conclusions
- (1)
- Increasing the number of intermediate cooling stages of the MC significantly improves power cycle thermal efficiency and the specific net work by reducing total compression work and heater thermal load. The ‘compression–intermediate cooling’ configuration of MC also facilitates flexible compression work allocation under varying operational conditions.
- (2)
- When the MC 1 inlet temperature, turbine inlet temperature, and turbine inlet pressure are 35 °C, 550 °C, and 25 MPa, respectively, the optimal split ratio for cycles with 0~5 intermediate cooling stages ranges from 0.7 to 0.8. However, when increasing the turbine inlet pressure to 30 MPa while maintaining the turbine outlet pressure at 7.38 MPa, although the specific net work increases, the power cycle thermal efficiency decreases. This indicates that higher turbine inlet pressure does not invariably yield concurrent improvements in both metrics, necessitating simultaneous optimization of turbine outlet pressure.
- (3)
- Across all configurations, maximizing the specific net work corresponds to the minimal power cycle thermal efficiency with a low split ratio, and vice versa. Optimization achieves maximum improvements of 28.46% in power cycle thermal efficiency and 10.31% in specific net work. The four-stage intermediate cooling configuration demonstrates superior performance in both power cycle thermal efficiency and specific net work, while the two-stage and three-stage configurations also demonstrate relatively high levels of performance. Selection among these options should balance manufacturing cost and efficiency to achieve optimal trade-offs that meet practical application requirements.
- (4)
- At the turbine inlet temperature and pressure of 700 °C and 25 MPa, the maximum power cycle thermal efficiency and specific net work achieve 67.85% and 0.158 MW·kg−1, respectively. Increasing the turbine inlet pressure to 30 MPa rases the maximum specific net work to 0.177 MW·kg−1. Although there is only a slight variation in the peak power cycle thermal efficiency, its average value across each Pareto frontier is enhanced.
Author Contributions
Funding
Data Availability Statement
Acknowledgments
Conflicts of Interest
Glossary
| Enthalpy, J·kg−1 | |
| Mass flow rate, kg·s−1 | |
| Pressure, Pa | |
| Thermal load, J | |
| Split ratio | |
| Work, J | |
| Net work of the cycle, J | |
| Temperature, K | |
| Greek letters | |
| Effectiveness | |
| Efficiency | |
| Superscript | |
| Inlet | |
| Stage number of main compressor | |
| Outlet | |
| Subscript | |
| Compressor | |
| Heater | |
| High-temperature recuperator | |
| Intercooler | |
| Low-temperature recuperator | |
| Main compressor | |
| Net | |
| Power cycle | |
| Pitch point | |
| Pre-cooler | |
| Re-compressor | |
| Isentropic process | |
| Turbine | |
| Working fluid | |
| Abbreviation | |
| CW | Cooling water |
| HTF | Heat transfer fluid |
| HTR | High-temperature recuperator |
| IC | Intermediate cooler |
| LTR | Low-temperature recuperator |
| MC | Main compressor |
| MMCIC | Multi-stage main compressor intermediate cooling |
| RC | Re-compressor |
References
- Xu, D.D.; Liu, Y.T. The Impact of Environmental Information Disclosure in the “Carbon Trading Pilot” Project on the Financial Performance of Listed Enterprises in China. Sustainability 2024, 16, 8410. [Google Scholar] [CrossRef]
- Wu, X.; Zhang, Y.W.; Zhu, X.J.; Wei, Y.G.; Sun, D.X.; Xu, S.M. Experimental performance of a low-grade heat driven hydrogen production system by coupling the reverse electrodialysis and air gap diffusion distillation methods. Energy Convers. Manag. 2024, 301, 11. [Google Scholar] [CrossRef]
- Flaksman, A.S.; Mozgovoy, A.I.; Lopatkin, D.S.; Dikikh, V.A.; Shamsov, I.S.; Romanova, J.A.; Morkovkin, D.E.; Bovtrikova, E.V. Prospects for the development of alternative energy sources in the world energy. IOP Conf. Ser. Earth Environ. Sci. 2021, 723, 052040–052046. [Google Scholar] [CrossRef]
- Su, W.; Han, Y.H.; Liu, Z.Y.; Jin, X.; Liu, Z.Y.; Yang, D.; Zhang, X.S. Absorption heat pumps for low-grade heat utilization: A comprehensive review on working pairs, classification, system advances and applications. Energy Convers. Manag. 2024, 315, 50. [Google Scholar] [CrossRef]
- Xu, S.; Xu, L.; Wu, X.; Wang, P.; Jin, D.; Hu, J.; Zhang, S.; Leng, Q.; Wu, D. Air-gap diffusion distillation: Theory and experiment. Desalination 2019, 467, 64–78. [Google Scholar] [CrossRef]
- Mu, H.Y.; Wang, Y.Y.; Yang, C.A.L.; Teng, H.; Zhao, X.T.; Lu, H.Q.; Wang, D.C.; Hao, S.Y.; Zhang, X.L.; Jin, Y. Technical research on improving engine thermal efficiency. Adv. Mech. Eng. 2022, 14, 15. [Google Scholar] [CrossRef]
- Tamilarasan, S.K.; Jose, J.; Boopalan, V.; Chen, F.; Arumugam, S.K.; Ramachandran, J.C.; Parthasarathy, R.K.; Taler, D.; Sobota, T.; Taler, J. Recent Developments in Supercritical CO2-Based Sustainable Power Generation Technologies. Energies 2024, 17, 4019. [Google Scholar] [CrossRef]
- Mocanu, G.; Iosifescu, C.; Ion, I.V.; Popescu, F.; Fratita, M.; Chivu, R.M. Energy Analysis of Waste Heat Recovery Using Supercritical CO2 Brayton Cycle for Series Hybrid Electric Vehicles. Energies 2024, 17, 2494. [Google Scholar] [CrossRef]
- Su, W.; Li, J.R.; Lu, Z.F.; Jin, X.; Zhang, J.Y.; Liu, Z.Y.; Zhang, X.S. Performance analysis and optimization of a solar assisted heat pump-driven vacuum membrane distillation system for liquid desiccant regeneration. Energy Convers. Manag. 2024, 301, 27. [Google Scholar] [CrossRef]
- Shen, M.A.; Cheng, R.K.; Liu, D. Optimal Bidding Strategies for Wind-Thermal Power Generation Rights Trading: A Game-Theoretic Approach Integrating Carbon Trading and Green Certificate Trading. Sustainability 2024, 16, 6739. [Google Scholar] [CrossRef]
- Wei, X.H.; Yan, Z.; Jia, Y.B.; Feng, D.H. A generation dispatch model internalizing external costs of power plants. Eur. Trans. Electr. Power 2012, 22, 1027–1036. [Google Scholar] [CrossRef]
- Subires, A.J.; Rovira, A.; Munoz, M. Proposal and Study of a Pumped Thermal Energy Storage to Improve the Economic Results of a Concentrated Solar Power That Works with a Hybrid Rankine-Brayton Propane Cycle. Energies 2024, 17, 2005. [Google Scholar] [CrossRef]
- Zhu, M.; Zhou, J.; Su, S.; Xu, J.; Li, A.S.; Chen, L.; Wang, Y.; Hu, S.; Jiang, L.; Xiang, J. Study on supercritical CO2 coal-fired boiler based on improved genetic algorithm. Energy Convers. Manag. 2020, 221, 14. [Google Scholar] [CrossRef]
- He, Y.L.; Qiu, Y.; Wang, K.; Yuan, F.; Wang, W.Q.; Li, M.J.; Guo, J.Q. Perspective of concentrating solar power. Energy 2020, 198, 11. [Google Scholar] [CrossRef]
- Iverson, B.D.; Conboy, T.M.; Pasch, J.J.; Kruizenga, A.M. Supercritical CO2 Brayton cycles for solar-thermal energy. Appl. Energy 2013, 111, 957–970. [Google Scholar] [CrossRef]
- Yin, J.M.; Zheng, Q.Y.; Peng, Z.R.; Zhang, X.R. Review of supercritical CO2 power cycles integrated with CSP. Int. J. Energy Res. 2020, 44, 1337–1369. [Google Scholar] [CrossRef]
- Xu, J.L.; Wang, X.; Sun, E.H.; Li, M.J. Economic comparison between sCO2 power cycle and water-steam Rankine cycle for coal-fired power generation system. Energy Convers. Manag. 2021, 238, 13. [Google Scholar] [CrossRef]
- Ahmed, S.; Irshad, M.; Yoon, W.; Karanwal, N.; Sugiarto, J.R.; Khan, M.K.; Kim, S.K.; Kim, J. Evaluation of MgO as a promoter for the hydrogenation of CO2 to long-chain hydrocarbons over Fe-based catalysts. Appl. Catal. B-Environ. Energy 2023, 338, 14. [Google Scholar] [CrossRef]
- Siddiqui, M.E.; Almitani, K.H. Energy Analysis of the S-CO2 Brayton Cycle with Improved Heat Regeneration. Processes 2019, 7, 3. [Google Scholar] [CrossRef]
- Alsawy, T.; Elsayed, M.L.; Mohammed, R.H.; Mesalhy, O. Accuracy assessment of the turbomachinery performance maps correction models used in dynamic characteristics of supercritical CO2 Brayton power cycle. Energy 2024, 309, 19. [Google Scholar] [CrossRef]
- Haffejee, R.A.; Rousseau, P.; Laubscher, R. Part-Load Performance Analysis of a Modular Biomass Boiler With a Combined Heat and Power Industrial Rankine Cycle and Supplementary sCO2 Brayton Cycle. J. Therm. Sci. Eng. Appl. 2024, 17, 011010. [Google Scholar] [CrossRef]
- Wang, X.; Zhang, L.; Qi, J.; Fan, X.; Dai, Y. Performance Evaluation of a Direct Air-Cooled Supercritical Recompression Brayton Cycle Using CO2/n-Butane As the Working Fluid Operating Under Off-Design Conditions. In Proceedings of the ASME Turbo Expo 2024: Turbomachinery Technical Conference and Exposition, London, UK, 24–28 June 2024. [Google Scholar]
- Turja, A.I.; Sadat, K.N.; Hasan, M.M.; Khan, Y.; Ehsan, M.M. Waste Heat Recuperation in Advanced Supercritical CO2 Power Cycles with Organic Rankine Cycle Integration & Optimization Using Machine Learning Methods. Int. J. Thermofluids 2024, 22, 100612. [Google Scholar] [CrossRef]
- Wang, X.R.; Zhang, L.W.; Zhu, Z.H.; Hu, M.J.; Wang, J.; Fan, X.W. Performance Improvement Overview of the Supercritical Carbon Dioxide Brayton Cycle. Processes 2023, 11, 2795. [Google Scholar] [CrossRef]
- Liao, G.L.; Liu, L.J.; E, J.Q.; Zhang, F.; Chen, J.W.; Deng, Y.W.; Zhu, H. Effects of technical progress on performance and application of supercritical carbon dioxide power cycle: A review. Energy Convers. Manag. 2019, 199, 23. [Google Scholar] [CrossRef]
- Kumar, P.; Srinivasan, K. Carbon dioxide based power generation in renewable energy systems. Appl. Therm. Eng. 2016, 109, 831–840. [Google Scholar] [CrossRef]
- Wang, L.; Pan, L.M.; Wang, J.F.; Chen, D.Q.; Huang, Y.P.; Hu, L. Investigation on the temperature sensitivity of the S-CO2 Brayton cycle efficiency. Energy 2019, 178, 739–750. [Google Scholar] [CrossRef]
- Al-Sulaiman, F.A.; Atif, M. Performance comparison of different supercritical carbon dioxide Brayton cycles integrated with a solar power tower. Energy 2015, 82, 61–71. [Google Scholar] [CrossRef]
- Bian, X.Y.; Wang, X.; Wang, R.; Cai, J.W.; Tian, H.; Shu, G.Q. Optimal selection of supercritical CO2 Brayton cycle layouts based on part-load performance. Energy 2022, 256, 15. [Google Scholar] [CrossRef]
- Yang, J.Z.; Yang, Z.; Duan, Y.Y. Part-load performance analysis and comparison of supercritical CO2 Brayton cycles. Energy Convers. Manag. 2020, 214, 17. [Google Scholar] [CrossRef]
- Xie, L.T.; Yang, J.G.; Yang, X.; Qin, Z.; Sun, S.C. Design, optimisation and evaluation of the S-CO2 Brayton cycle for marine low-speed engine flue gas. Case Stud. Therm. Eng. 2024, 61, 19. [Google Scholar] [CrossRef]
- Ma, Y.G.; Liu, M.; Yan, J.J.; Liu, J.P. Thermodynamic study of main compression intercooling effects on supercritical CO2 recompression Brayton cycle. Energy 2017, 140, 746–756. [Google Scholar] [CrossRef]
- Syblik, J.; Vesely, L.; Entler, S.; Stepanek, J.; Dostal, V. Analysis of supercritical CO2 Brayton power cycles in nuclear and fusion energy. Fusion Eng. Des. 2019, 146, 1520–1523. [Google Scholar] [CrossRef]
- Vasquez Padilla, R.; Yen Chean Soo, T.; Benito, R.; McNaughton, R.; Stein, W. Multi-objective thermodynamic optimisation of supercritical CO2 Brayton cycles integrated with solar central receivers. Int. J. Sustain. Energy 2018, 37, 1–20. [Google Scholar] [CrossRef]
- Jin, Q.L.; Xia, S.J.; Xie, T.C. Ecological Function Analysis and Optimization of a Recompression S-CO2 Cycle for Gas Turbine Waste Heat Recovery. Entropy 2022, 24, 732. [Google Scholar] [CrossRef]
- Hu, Y.D.; Zhai, R.R.; Liu, L.T.; Yin, H.; Yang, L.Z. Capacity optimization and performance analysis of wind power-photovoltaic-concentrating solar power generation system integrating different S-CO2 Brayton cycle layouts. J. Clean. Prod. 2023, 433, 20. [Google Scholar] [CrossRef]
- Merchán, R.P.; Santos, M.J.; Medina, A.; Hernández, A.C. High temperature central tower plants for concentrated solar power: 2021 overview. Renew. Sust. Energy Rev. 2022, 155, 23. [Google Scholar] [CrossRef]
- Vignarooban, K.; Xu, X.H.; Arvay, A.; Hsu, K.; Kannan, A.M. Heat transfer fluids for concentrating solar power systems—A review. Appl. Energy 2015, 146, 383–396. [Google Scholar] [CrossRef]
- Zheng, M.G.; Zapata, J.; Asselineau, C.A.; Coventry, J.; Pye, J. Analysis of tubular receivers for concentrating solar tower systems with a range of working fluids, in exergy-optimised flow-path configurations. Sol. Energy 2020, 211, 999–1016. [Google Scholar] [CrossRef]
- Wang, K.; He, Y.L. Thermodynamic analysis and optimization of a molten salt solar power tower integrated with a recompression supercritical CO2 Brayton cycle based on integrated modeling. Energy Convers. Manag. 2017, 135, 336–350. [Google Scholar] [CrossRef]
- Sarkar, J.; Bhattacharyya, S. Optimization of recompression S-CO2 power cycle with reheating. Energy Convers. Manag. 2009, 50, 1939–1945. [Google Scholar] [CrossRef]
- Moisseytsev, A.; Sienicki, J.J. Investigation of alternative layouts for the supercritical carbon dioxide Brayton cycle for a sodium-cooled fast reactor. Nucl. Eng. Des. 2009, 239, 1362–1371. [Google Scholar] [CrossRef]
- Sienicki, J.J.; Moisseytsev, A.; Cho, D.H.; Momozaki, Y.; Farmer, M.T. Supercritical Carbon Dioxide Brayton Cycle Energy Conversion for Sodium-Cooled Fast Reactors/Advanced Burner Reactors; KAERI/TR-3500/2007; KAERI (Korea Atomic Energy Research Institute): Daejeon, Republic of Korea, 2007. [Google Scholar]
- Floyd, J.; Alpy, N.; Moisseytse, A.; Haubensack, D.; Rodriguez, G.; Sienicki, J.; Avakian, G. A numerical investigation of the sCO2 recompression cycle off-design behaviour, coupled to a sodium cooled fast reactor, for seasonal variation in the heat sink temperature. Nucl. Eng. Des. 2013, 260, 78–92. [Google Scholar] [CrossRef]
- Dostal, V. A Super Critical Carbon Dioxide Cycle for Next Generation Nuclear Reactors. Ph.D. Thesis, Massachusetts Institute of Technology, Center for Advanced Nuclear Energy Systems, Massachusetts Institute of Technology, Cambridge, MA, USA, March 2004; pp. 265–282. [Google Scholar]
- Kharrich, M.; Mohammed, O.H.; Alshammari, N.; Akherraz, M. Multi-objective optimization and the effect of the economic factors on the design of the microgrid hybrid system. Sust. Cities Soc. 2021, 65, 14. [Google Scholar] [CrossRef]
- Jain, A.; Lalwani, S.; Lalwani, M. A Comparative Analysis of MOPSO, NSGA-II, SPEA2 and PESA2 for Multi-Objective Optimal Power Flow. In Proceedings of the 2018 2nd International Conference on Power, Energy and Environment: Towards Smart Technology (ICEPE), Shillong, India, 1–2 June 2018; p. 6. [Google Scholar] [CrossRef]
- Hamdy, M.; Nguyen, A.T.; Hensen, J.L.M. A performance comparison of multi-objective optimization algorithms for solving nearly-zero-energy-building design problems. Energy Build. 2016, 121, 57–71. [Google Scholar] [CrossRef]
- Sadatsakkak, S.A.; Ahmadi, M.H.; Ahmadi, M.A. Thermodynamic and thermo-economic analysis and optimization of an irreversible regenerative closed Brayton cycle. Energy Convers. Manag. 2015, 94, 124–129. [Google Scholar] [CrossRef]
- Luo, Q.Q.; Li, X.C.; Luo, L.; Du, W.; Yan, H. Multi-objective performance analysis of different SCO 2 Brayton cycles on hypersonic vehicles. Energy 2024, 301, 15. [Google Scholar] [CrossRef]
- Keshavarzzadeh, A.H.; Ahmadi, P.; Rosen, M.A. Technoeconomic and environmental optimization of a solar tower integrated energy system for freshwater production. J. Clean. Prod. 2020, 270, 16. [Google Scholar] [CrossRef]
- Zhang, H.; Sui, X.; Sui, P.; Wei, L.L.; Huang, Y.C.; Yang, Z.L.; Yang, H.D. Coil Parameter Optimization Method for Wireless Power Transfer System Based on Crowding Distance Division and Adaptive Genetic Operators. Energies 2024, 17, 3289. [Google Scholar] [CrossRef]












| References | [42] | [43] | [44] | [45] |
|---|---|---|---|---|
| /°C | 472 | 508 | 515 | 550 |
| /MPa | 20 | 20 | 25.3 | 20 |
| /MPa | 7.62 | 7.40 | 8.36 | 7.69 |
| /°C | 32.8 | 31.2 | 35 | 32 |
| 0.71 | 0.71 | 0.66 | 0.59 | |
| /% | 93.4 | 93.4 | 93 | 90 |
| /% | 88.9 | 89.1 | 88 | 89 |
| /% | 87.9 | 87.5 | 87 | 89 |
| /% | 91.7 | 91.7 | 92.5 | 96.3 |
| /% | 94.5 | 94.6 | 92.5 | 92.1 |
| (References)/% | 39.1 | 42.8 | 43.9 | 45.3 |
| (Present work)/% | 42.04 | 44.17 | 44.72 | 46.05 |
| Deviations/% | 7.53 | 3.19 | 1.86 | 1.65 |
| Parameter | Symbol | Unit | Value |
|---|---|---|---|
| Net work | MW | 10 | |
| HTR or LTR pinch temperature | °C | 5 | |
| Compressor isentropic efficiency | or | — | 0.89 |
| Turbine isentropic efficiency | — | 0.93 | |
| Effectiveness of HTR or LTR | or | — | 0.95 |
| Split ratio | — | 0.40~0.95 | |
| Turbine inlet temperature | °C | 500~700 | |
| MC 1 inlet temperature | °C | 35~55 | |
| Turbine inlet pressure | MPa | 17.5~30 |
| Condition | /MPa | /MW | /MW | /% | /MW·kg−1 | ||
|---|---|---|---|---|---|---|---|
| 0 | Baseline | 7.38 | 0.75 | 6.69 | 22.27 | 44.90 | 0.097 |
| OS 1 | 13.47 | 0.975 | 2.24 | 18.01 | 55.54 | 0.071 | |
| OS 2 | 8.31 | 0.737 | 3.67 | 19.08 | 52.41 | 0.107 | |
| 1 | Baseline | 7.38 | 0.65 | 4.52 | 22.32 | 44.81 | 0.111 |
| OS 1 | 10.96 | 0.998 | 2.12 | 16.97 | 58.93 | 0.094 | |
| OS 2 | 8.28 | 0.824 | 2.65 | 21.00 | 47.61 | 0.117 | |
| 2 | Baseline | 7.38 | 0.70 | 3.75 | 21.71 | 46.06 | 0.117 |
| OS 1 | 11.04 | 0.997 | 2.05 | 16.90 | 59.17 | 0.093 | |
| OS 2 | 7.38 | 0.706 | 3.18 | 21.05 | 47.47 | 0.123 | |
| 3 | Baseline | 7.38 | 0.70 | 3.50 | 21.26 | 47.04 | 0.120 |
| OS 1 | 11.12 | 0.998 | 2.03 | 16.89 | 59.22 | 0.093 | |
| OS 2 | 7.40 | 0.711 | 2.98 | 20.79 | 48.11 | 0.124 | |
| 4 | Baseline | 7.38 | 0.70 | 3.34 | 20.96 | 47.71 | 0.121 |
| OS 1 | 11.18 | 0.997 | 2.03 | 16.91 | 59.15 | 0.092 | |
| OS 2 | 7.39 | 0.710 | 2.93 | 20.69 | 48.34 | 0.125 |
| Conditions | /°C | /°C | /MPa |
|---|---|---|---|
| 1 | 55 | 550 | 25 |
| 2 | 35 | 700 | 25 |
| 3 | 35 | 550 | 30 |
| 4 | 35 | 700 | 30 |
Disclaimer/Publisher’s Note: The statements, opinions and data contained in all publications are solely those of the individual author(s) and contributor(s) and not of MDPI and/or the editor(s). MDPI and/or the editor(s) disclaim responsibility for any injury to people or property resulting from any ideas, methods, instructions or products referred to in the content. |
© 2024 by the authors. Licensee MDPI, Basel, Switzerland. This article is an open access article distributed under the terms and conditions of the Creative Commons Attribution (CC BY) license (https://creativecommons.org/licenses/by/4.0/).
Share and Cite
Xu, L.; Niu, X.; Hong, W.; Su, W. A Comprehensive Multi-Objective Optimization Study on the Thermodynamic Performance of a Supercritical CO2 Brayton Cycle Incorporating Multi-Stage Main Compressor Intermediate Cooling. Energies 2024, 17, 6372. https://doi.org/10.3390/en17246372
Xu L, Niu X, Hong W, Su W. A Comprehensive Multi-Objective Optimization Study on the Thermodynamic Performance of a Supercritical CO2 Brayton Cycle Incorporating Multi-Stage Main Compressor Intermediate Cooling. Energies. 2024; 17(24):6372. https://doi.org/10.3390/en17246372
Chicago/Turabian StyleXu, Lin, Xiaojuan Niu, Wenpeng Hong, and Wei Su. 2024. "A Comprehensive Multi-Objective Optimization Study on the Thermodynamic Performance of a Supercritical CO2 Brayton Cycle Incorporating Multi-Stage Main Compressor Intermediate Cooling" Energies 17, no. 24: 6372. https://doi.org/10.3390/en17246372
APA StyleXu, L., Niu, X., Hong, W., & Su, W. (2024). A Comprehensive Multi-Objective Optimization Study on the Thermodynamic Performance of a Supercritical CO2 Brayton Cycle Incorporating Multi-Stage Main Compressor Intermediate Cooling. Energies, 17(24), 6372. https://doi.org/10.3390/en17246372

