Abstract
This paper describes the characteristics of a thermal response test and presents the results of the test conducted on a borehole at the freezing shaft in Poland. Freezing boreholes are temporary boreholes created to facilitate other geological work, especially for large-diameter mine shafts or other boreholes. Due to their nature, they are abandoned after the necessary work around the mine shaft is completed. The economical point of view suggests that, after their use as freezing boreholes, they should be used for heating if possible. In this paper, the authors aim to suggest that they can be utilized as borehole heat exchangers. Large numbers of freezing boreholes sit idle across the globe while they could be used as a renewable energy source, so creating a new way to obtain heating power in the future should be popularized. The paper includes a description of the implementation method of the thermal response test and the results of the test on a sample freezing borehole intended for abandonment. The test results were interpreted, and the key parameters of the borehole heat exchanger based on the freezing borehole were determined to be satisfactory. The possibilities of other borehole uses are also described.
1. Introduction
The development of civilization is accompanied by an increase in energy consumption. Despite the equally intense development of energy-efficient technologies, a continuous growth in demand is expected in the coming decades [1]. Conventional energy relies mainly on solid, liquid, and nuclear fuels [2]. However, in recent years, there has been an increased share of renewable energy in the overall energy balance. This trend is particularly noticeable in European Union countries, driven by new guidelines on energy matters outlined in the 2018 Directive of the European Parliament and the Council of the EU promoting the use of energy from renewable sources. This directive establishes a minimum 32% share of renewable energy in the total energy balance of the European Union by 2030. It emphasizes the need to reduce emissions associated with the combustion of fossil fuels and achieve other environmental goals [3].
Renewable energy sources include wind, solar, water, geothermal, and biomass energy [2]. Geothermal energy is a renewable source that can be utilized anywhere and anytime [4]. Among the fundamental methods of harnessing geothermal energy are the following sources of heat [5]:
- Geothermal from natural sources [6];
- Geothermal waters by using wells [7,8,9];
- Groundwaters [10], meaning waters that do not exceed 20 °C of temperature at the production wellhead;
- Rock-mass heat by using borehole heat exchangers [11] including those based on boreholes drilled for another purpose;
- Rock-mass heat by using energetics piles;
- Hot dry rocks (HDRs) and enhanced geothermal systems (EGSs);
- Salt domes;
- Waters from deflooding mines [12,13];
- Closed mines [14,15];
- Multi-phase hydrocarbon deposit exploitation;
- Deep borehole heat exchangers (DBHEs).
The most popular method of extracting heat from the Earth is through borehole heat exchanger (BHE) systems. The development of BHEs has become increasingly prominent in recent years [16]. This is evident not only in the growing number of installations but also in scientific works and publications related to this topic [17,18,19,20,21]. The topic of in situ tests with the analysis and optimization of BHEs is often discussed [22,23]. Properties such as borehole diameter, spacing between pipes, geological layers utilized, borehole depth, sealing grout applied, and many other parameters are subjected to analysis. Currently, modern 3D numerical models are also employed. These models enable the selection of optimal scenarios and parameter combinations for each specific case of an individual BHE [11,24], as well as for a significant number of them.
From the beginning of their commercial use, borehole heat exchangers have been the subject of many optimization processes. Due to the inability to directly measure their energy efficiency, procedures for measuring their effectiveness have been developed. Such research tasks are referred to as thermal response tests. Their purpose is to provide a detailed description of the energy characteristics of a given heat exchanger, aiming to improve the technology itself and provide a more accurate approximation of the heating power of the entire installation, including all designed and implemented borehole heat exchangers. The test involves creating a temperature difference using special equipment connected to the heat exchanger and then achieving thermal equilibrium over time. Individual measurements allow for the prediction of the energy characteristics of a particular borehole under specific geological conditions and a given construction.
The topic of DBHEs is increasingly being discussed, as they can be implemented in exploited or inactive wells [25,26]. From an economic standpoint, such a solution is most advantageous for investors due to the absence of the need to drill a new well, significantly reducing investment costs. The adaptation process itself does not pose technological challenges since there is no need for re-drilling; rather, it involves making appropriate changes to the well’s construction to convert it to closed or open-loop systems.
Research has shown that DBHEs perform better in heat production than electricity generation [26]. Due to the potential significant depth of such wells, it is essential to note that these described systems are DBHEs, which can be classified as a subcategory of BHEs [27]. In the case of the described closed-loop system, there are several different types of construction, differing in complexity, economic factors, and efficiency [28].
One of the major advantages of a closed-loop system is that the heat transfer fluid, responsible for transporting thermal energy from the subsurface to the surface, does not come into direct contact with the rock. This eliminates the environmental contamination risk associated with potential human error or surface infrastructure failure [29]. However, this solution also has disadvantages that may affect the decision to reuse an abandoned well for geothermal purposes for economic reasons.
In the design of wells intended for hydrocarbon reservoir access, adaptation for geothermal purposes is typically not anticipated. Therefore, the grout used may lack appropriate additives influencing thermal conductivity [30]. However, thermal conductivity is a crucial parameter for geothermal wells [31]. When planning the utilization of geothermal resources and adapting a well, it is important to consider that calculations related to thermal performance must account for the existing layer of solidified grout. It likely will not have the same heat conductivity capabilities as grout dedicated to this purpose, although currently, in the design and implementation of geothermal wells, proper sealing grouts for geothermal waters are not commonly used, which would enable a reduction in heat loss during water flow in the well. Similarly, a controllable thermal conductivity parameter in newly designed and executed DBHEs would provide better energy performance than using a well adapted from a different purpose.
One of the most important in situ tests conducted is the thermal response test (TRT). Through the TRT, it is possible to determine the thermal parameters of rock mass along with the thermal insulation of the well. In other words, in the geothermal sector, the TRT is the best-known measurement method for determining the thermal properties of subsurface rocks and the heat exchange characteristics. The TRT is the best way to measure BHE efficiency; better results are achieved only by distributed thermal response tests (DTRTs) and enhanced thermal response tests (ETRTs), but they are significantly more expensive and time-consuming [32]. This is crucial for accurately designing the structure, number, and placement of BHEs. One of the key advantages is the fact that the parameters are measured in situ, providing data specific to the location investigated by the TRT [11]. The evolution of the equipment used to perform the TRT, which is part of the equipment of the Laboratory of Geoenergetics at AGH University of Krakow, is presented in Figure 1.
Figure 1.
Equipment for conducting the TRT (partly based on [33]: (a) first version of the device in 2006; (b) second version of the device in 2008; (c) third version of the device in 2015; (d) fourth version of the device in 2016; (e) a new TRT set purchased in 2021.
The TRT for BHEs involves measuring changes in the temperature of the heat carrier during its circulation in a closed loop while supplying or extracting thermal energy at constant power. In the surface system, it is crucial to ensure that atmospheric conditions do not impact temperature measurements and to meet several requirements for the proper execution of the test.
The execution of the TRT is possible on a previously appropriately constructed and prepared BHE. The first step in installing the device is the correct connection of the pipes to the valve module. By using the BHE pipes connected to the valves, it is possible to induce the circulation of the heat carrier, which is most commonly water or a solution of monoethylene glycol in a concentration of 20–30%. The medium circulates inside the heat exchanger using a circulation pump. The TRT device is electrically powered, allowing for the heating of the working fluid through the use of an electrical heater. The measurement itself typically lasts a minimum of several tens of hours (maximum 100 h), and the data obtained during the entire test are then used for further analysis and interpretation of the test results [11]. Time intervals used for TRT interpretation are stated in Equation (11).
A simpler but less precise method for determining the thermal conductivity of rocks in a BHE is the analysis of temperature profiles, especially when there is no convection in the well. It is essential, however, to ensure that thermal conditions in the well are fully stabilized for accurate measurements, especially regarding relative temperature, and that the value of the Earth’s natural heat flow is known.
Freezing boreholes (FBs) are used for freezing groundwater surrounding a mineshaft, in order for the shaft casing to be installed. After this process, the coolant pumping is stopped, and the temperature returns to levels similar to those before the borehole was drilled. If certain steps are taken at the drilling stage, such as installing a U-pipe, the borehole can be later used as a BHE. In this paper, the authors present a study of the energy efficiency of such a BHE, which, to the authors’ knowledge, has not been conducted before.
There is a research gap regarding converting FBs to BHEs instead of leaving FBs abandoned. At this point, it should be stated that there are many studies on using abandoned oil, gas, and exploratory wells. However, their main focus is on adapting classic wells to either DBHEs or geothermal wells. FBs are abandoned regularly and routinely. The process of adapting FBs to BHEs is a relatively undiscovered area of geothermics. They can be used for either heating or cooling independently from the main shaft temperature, with a slight advantage when the shaft serves as an exhaust ventilation shaft due to the temperature being higher. The main innovation of the test lies not within its form, but within its application—BHEs adapted from FBs. The overall investment could potentially help the ecological outlook of the mine.
2. Research on Borehole Located Nearby Shaft X-1, Poland
The research was conducted on one of the FBs utilized in the drilling of a large-diameter shaft (approximately 8 m) in an underground mine in Poland. The purpose of an FB is to freeze the underground waters surrounding the deepened mine shaft. The operation of an FB is therefore identical to that of a BHE. It can even be stated that FBs are an example of BHEs due to the fact that both are used for energy transfer between the rock mass and the surface equipment. A chilled heat carrier with a temperature below 0 °C is introduced into the borehole, aiming to freeze the underground waters around the borehole. The number of FBs drilled around the circumference of the shaft was 40. The distance between the axles of the FBs had to be small to create an ice ring around the shaft, which was 1.25 m. Therefore, trajectory control methods were used during drilling to prevent collisions and ensure the proper freezing of underground waters.
The test was conducted after thawing the rock mass, which occurred after the large-diameter shaft had already been constructed and sealed. In such cases, FBs are abandoned as they have fulfilled their purpose. At the start of the test, the average temperature in the borehole was 13.86 °C (based on the heat carrier circulation test before the TRT). Each FB, including the one tested, was equipped with two centrally arranged columns of pipes (Figure 2). The depth of the FB prepared for the test was 300 m.
Figure 2.
Schematic of the co-axial BHE; 1—borehole wall, diameter of borehole 0.216 m (8½ in); 2—external tube (casing), steel DN139.7 × 8 mm (5½ in); 3—inner tubing, polyethylene PE DN85 × 5 mm.
All external columns of pipes (made of steel) were cemented to the surface. A cement plug was placed at the bottom, cutting off a portion of the total depth of the FB. The ceiling of the cement plug was at a depth of 300 m in both the 139.7 mm and 85 mm pipes. The 85 mm pipes were perforated in the interval between 299 and 300 m. An example of an FB is shown in Figure 3.
Figure 3.
Schematic of the freezing borehole, 1—concrete slab; 2—cement; 3—welded pipes 5½”; 4—cementing block; 5—support ring; 6—cement bottom.
The investor (mine owner) is considering the possibility of using all of the 40 FBs as a source of heat and/or cold for building structures near the shaft by employing ground-source heat pumps. The boreholes have different depths, with the deepest ones reaching 700 m. The small distance between them means that the potential total heating load of the boreholes is significantly less than what would result from loading a single heat exchanger. Additionally, the operation of potential BHEs adapted from FBs is influenced by the large-diameter shaft of the underground mine and the temperature prevailing in it.
3. Methodology
The primary data needed for interpreting the results of the TRT are as follows:
- Inlet fluid temperature of the BHE, Tin, °C;
- Outlet fluid temperature of the BHE, Tout, °C;
- Volume flow rate of the heat carrier, , m3/s;
- Heating power supplied to the BHE, P, W.
Temperature sensors record data every 60 s and save them on the measurement device (or in the cloud). These are data from a test performed on a BHE converted from an FB. The data at the beginning of the TRT show an increase in the temperature difference of the heat carrier and an increase in the heating power delivered to the rock mass.
The analysis of the TRT results begins with the creation of a file containing one-minute records with recorded temperatures at the inlet and outlet of the BHE. To proceed with the correct interpretation of the TRT results, the specified power (average) and flow rate (performance, flow rate) of the heat carrier must also be known. With constant power and a steady flow rate, only a computational temperature difference can be obtained, which should be almost constant, similar to power. The equipment has the capability to maintain constant power through temperature measurements and the regulation of turning on and off a set of several heaters. Most often, only one of the heaters is turned on and off, setting such an almost constant heating power. The control algorithm takes into account the variability of the heat carrier density with its temperature. However, these changes (in power and temperature difference) are so small that they are only noticeable on a very detailed chart. During interpretation, the average power during the test is assumed, which is determined using Formula (1) for instantaneous power and averaged over the entire test time interval.
where
—heat carrier flow rate, m3/s;
c(t)—specific heat of the carrier, J/(kg·K);
ρ(t)—heat carrier density, kg/m3;
Tout—BHE outlet temperature, °C;
Tin—BHE inlet temperature, °C.
The TRT conducted on a research BHE was divided into two phases: the flushing phase (circulation of the heat carrier) and the heating phase—the main TRT. During the heating phase, there was an increase in the temperature of the heat carrier over time. To calculate the thermal conductivity value in the BHE, referred to as effective thermal conductivity in the BHE (λeff), and the thermal resistance of the BHE (Rb), the increase in the temperature of the heat carrier over time was considered for both the supply and return temperatures from the BHE. The temperature increase was analyzed as a function of the logarithm of time (usually the return temperature or the average). An illustrative chart depicting the TRT results is presented in Figure 4, and the chart in a semilogarithmic system is shown in Figure 5. These are the exact TRT results that ensure that the BHE adapted from an FB will be working properly in the long term.
Figure 4.
Example of a temperature graph for a TRT.
Figure 5.
TRT semilogarithmic graph.
On the basis of such processed data at specific stages, one can calculate the effective thermal conductivity in the BHE (λeff) as well as thermal resistance. The λeff value is calculated using the following formula:
where
P—average heat power during a considered period, W;
H—depth of the BHE, m;
k—linear regression factor T = k·ln(t) + b calculated using the T = f(ln(t)) equation.
The entire methodology relies on the adopted measurement range of TRT. Throughout the entire heating phase, it is necessary to maintain a constant flow of the heat carrier and constant instantaneous heating power, and most importantly, to keep the temperature differences at the inlet and outlet of the BHE, with their temperature difference ranging from 3 to 5 °C.
Based on TRT data, it is also possible to determine the thermal resistance of the BHE. This parameter allows for the assessment of differences between BHEs due to their construction and the materials used; this difference (Rb) is calculated using the following formula:
where
q—unit power supplied during the TRT, W/m, determined as follows:
Tf (t)—average heat carrier temperature during a specific moment, °C;
T0—average static BHE temperature, °C;
λ—thermal conductivity of the surrounding rock mass, W/(mK);
α—thermal diffusivity of the surrounding rock mass, m2/s;
t—the starting time of the TRT, s;
rb—borehole radius, m;
γ—Euler constant = 0.5772156.
This is a relationship derived from the theory of Kelvin’s linear heat source [34]. It assumes variable parameters: thermal conductivity, depth, time, power, radius, thermal resistance, and average static borehole temperature. This theory was chosen due to the fact that it is the simplest approximation, and it is expressed with the following equation:
During the test, the following rule was considered:
which can be converted to
from which we can assume
where tn is the time of the n-th power pulse. The theoretical solution for temperature in the rock mass with the assumption of r = rb in Equations (6) and (7) allows us to calculate the average temperature by using the thermal resistance of the borehole:
To ensure that the TRT is as reliable as possible, standards should be developed to define the criteria for each interpreted result. Significant disparities in interpreting the test by two different individuals or institutions using the same method can lead to different results. The German standard VDI 4640 Part 5 [35] attempts to address this issue, as does [33]. Unfortunately, these standards do not provide many fine details, such as those related to the interpretation of test results.
The thermal resistance of the BHE and the effective thermal conductivity in the BHE are crucial parameters for the operation of a single vertical heat exchanger. As Rb decreases, the heat exchange between the rock formation and the heat carrier increases. It should be noted that constructions with lower Rb values are considered more favorable in terms of energy efficiency, i.e., the unit power exchanged between the rock formation and the heat carrier.
The TRT, along with conducting a multi-stage TRT, sometimes called the thermal conductivity test, should provide optimal operating conditions for a geothermal installation, with the most economically and energetically advantageous outcome referred to as the “lower source”.
4. Results
To obtain a complete picture of the TRT and for the interpretation of its results, it is necessary to have data on the borehole (Table 1) and the heat carrier (Table 2) used during the test. The data were obtained from the investor (mine owner) upon request from the Laboratory of Geoenergetics during a previous analysis study.
Table 1.
FB parameters.
Table 2.
Water as heat carrier data.
The effective thermal conductivity can be determined with theoretical accuracy based on the initial time tbeg in the analysis of TRT data. The theoretical minimum beginning time for TRT interpretation is given by the following inequality:
where
n—no unit factor, in the case of this TRT equal to either 5, 20, or 100 depending on the analyzed interval;
tbeg—time since TRT started, s.
If the initial time is determined from Equation (10) for n = 5, the theoretical error in TRT results will be 1.5%. When n = 20, the theoretical error decreases to 2.5%. For example, if n = 100, the theoretical error is 0.5%. Designating the time from the start of the test as t0 to t4, the characteristic points are as follows:
where
t0—time since the beginning of heating, s;
t1—time since test beggining with an inaccuracy level of 10.5%, s;
t2—time since test beggining with an inaccuracy level of 2.5%, s;
t3—time since test beggining with an inaccuracy level of 0.5%, s;
t4—time of the tests ending (turning off the heating, tend), s.
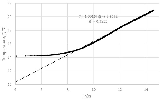
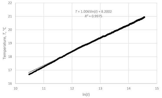
In Figure 6, the test progression is presented as the dependence of the heat carrier temperature over its duration. Figure 7, Figure 8, Figure 9 and Figure 10 depict the relationship between the return temperature and the logarithm of time, considering the four analyzed time intervals during the TRT. Additionally, straight-line regressions (their equations and correlation coefficients) are shown to approximate the measured dependencies.
Figure 6.
Temperature during the whole test.
Figure 7.
Relationship between outlet temperature and the logarithm of time for the t0-to-t4 interval.
Figure 8.
Relationship between outlet temperature and the logarithm of time for the t1-to-t4 interval.
Figure 9.
Relationship between outlet temperature and the logarithm of time for the t2-to-t4 interval.
Figure 10.
Relationship between outlet temperature and the logarithm of time for the t3-to-t4 interval.
Table 3 displays the values obtained from the interpretation of TRT results at various time intervals. The calculated characteristic times were as follows: t1 = 35,520 s (9.89 h); t2 = 142,680 s (39.63 h); t3 = 712,710 s (197.98 h); and t4 = 2,112,480 s (586 h). The chart in Figure 6 shows the complete TRT. The charts in Figure 7, Figure 8, Figure 9 and Figure 10 show temperatures versus the logarithm of time in four time intervals. Figure 7, Figure 8, Figure 9 and Figure 10 show linear regression. The slope of each line represents the k value from Equation (2). The results are shown in Table 3. These values are the basic results of the interpretation of TRT and enable further calculation of the most important parameters in the borehole, i.e., effective thermal conductivity; effective thermal diffusivity; and the construction quality of the borehole, which is represented by its thermal resistance. Due to laminar flow and no thermally insulated inner column, no temperature peak related to the geothermal gradient was observed. In the previously conducted analysis, the temperature profile exhibited linear regression with a high correlation factor, thus suggesting that no groundwater movement occurred.
Table 3.
Parameters calculated for different test intervals resulting in different accuracies.
In the t3 time point, the accuracy level was the highest (very small error of less than 0.5%). The efficiency (power), represented by effective thermal conductivity, is the most important parameter. It is necessary to perform more long-term TRTs to observe if it is accurate. Moreover, regarding the interpretation of the construction quality of the BHE in the most precise interval, the Rb value at this time point was low, thus proving the appropriate construction quality in comparison with other intervals. Based on many years of experience that the authors have with performing TRTs and observations of BHEs, it can be concluded that an Rb value of less than 0.1 m·K/W is the borderline value between well-constructed and poorly constructed BHEs.
By processing the data obtained from the TRT using the formulas described earlier, the average results for the four intervals were obtained and are presented in Table 4.
Table 4.
Results based on four time intervals.
In the graph in Figure 11, the relationship of effective thermal conductivity is presented between λeff and the time of the test, while Figure 12 shows the relationships between Rb and time.
Figure 11.
Relationship between effective thermal conductivity λeff and time of the test (in the t0-to-t4 interval).
Figure 12.
Relationship between Rb of the BHE and time of the test (in the t0-to-t4 interval).
The results obtained from this TRT show that, with an average thermal conductivity of above 2 W/(m⋅K), the BHE based on an old freezing borehole behaves similarly to a typical BHE.
5. Thermal Load Capacity Prognosis
Based on available computational and estimative methods, an analysis of the thermal load capacity of the BHEs was performed using an adapted FB with a depth of 300 m. For this purpose, the literature values of rock thermal conductivity (λ) and specific heat capacity (cv) were determined based on the lithological profile. Layers with identical λ and cv values were combined, and their thicknesses were summed to calculate the weighted averages of these parameters (Table 5).
Table 5.
Lithological profile of the FB.
The analysis utilized the method on which the EED4.1 program is based [36,37,38,39,40]. Calculations were performed for the power obtained from the well and the heating load lasting 31 days with that power. Water was assumed as the heat carrier, and it was assumed that it could be cooled to 0 °C. The water parameters used for the calculations are presented in Table 6.
Table 6.
Water parameters.
- (a)
- Thermal conductivity 0.58 W/(m·K);
- (b)
- Specific heat 4192 J/(kg·K);
- (c)
- Density 1000 kg/m3;
- (d)
- Viscosity 0.0013 kg/(m·s);
- (e)
- Water flow rate 0.5 dm3/s.
Based on the TRT data, the following parameters were assumed:
- (a)
- Effective thermal efficiency of λeff = 2.13 W/(m·K);
- (b)
- Thermal resistance Rb = 0.094.
Based on the literature data, we determined the following parameters:
- (c)
- Volumetric heat capacity cv = 1.26 MJ/(m3·K);and (for the city of Wrocław),
- (d)
- Average yearly air temperature Ta = 8.3 °C;
- (e)
- natural earth heat stream w = 0.06 W/m2.
Data on diameters and materials according to the descriptions in this work were assumed. The lack of resistance at the pipe/sealing contact was also assumed, i.e., the correct filling of the annular space between the well wall and the outer pipe.
Based on the calculations, a value of 7.88 MWh was obtained as the monthly load on the well’s heat exchanger, which does not cause the temperature of the heat carrier to drop below 0 °C. This corresponds to a heating power of 36.00 W/m or 10.8 kW for the entire heat exchanger.
Based on [41], the potential heating power exchange between the BHE and rock mass is determined using the following formula:
and
However, these values may be considered for a single BHE. With a greater number of them and very close distances between them, the unit power will be significantly lower, or it will only occur for short-term heating loads.
The average value of the unit heating power was 26.38 W/m considering the literature values of the thermal conductivity of rocks (according to Table 5), which were λ = 1.296 W/(m⋅K) and 40.13 W/m, and the effective thermal conductivity in the BHE (according to Table 4), determined as λeff = 2.129 W/(m⋅K). This is a calculated value of unit power for the operation of the heat pump for 2000 h per year, with the pump working only in heating mode. The determined value can only be used for small installations, up to 20 kW [41]. For a larger number of BHEs, specialized programs must be used to assess their long-term operation. The operation of the heat pump in bivalent mode (above 2000 h) requires the execution of a so-called geoenergetic analysis and is a characteristic of the BHE for the assumed load.
The unit thermal performance of a BHE with a single U-pipe, determined using the effective thermal conductivity measured during the TRT test, was assessed according to [42], and the results are shown in Table 7.
Table 7.
The unit power of the BHE depending on the effective thermal conductivity based on TRT [42].
Due to the analyzed case, especially in the context of very small distances between the FBs, the values shown above have only an illustrative character. They can be treated as short-term loads that do not take into account interference between the boreholes. To interpret the operation of the system of 40 FBs as BHEs, numerical tools should be used to determine the geoenergetic characteristics for different scenarios of their loads.
BHEs based on FBs are sometimes necessary during shaft construction. They are configured in a way that enables heat transfer between the heat carrier and surrounding rock-mass, in order to lower the temperature below the water-freezing temperature. Their use should take into consideration the interference phenomenon. FBs are drilled very close to each other as perfectly vertical boreholes. In order to achieve this, steerable drilling systems are used. In this paper, it has been demonstrated that a properly conducted TRT yields similar results regardless of its length. The longest test possible allows for high accuracy levels, with the error not exceeding 0.5%.
6. Conclusions
Harvesting low-temperature energy, with a particular focus on waste and renewable energy, is an important issue for Poland’s energy security. The research and the literature review described above lead to the following conclusions:
- Underground mines can serve as a source of thermal energy due to the possibility of utilizing heat from ventilation air, water drainage, and circulating waters through existing or abandoned workings in a doublet system. An innovative idea is to use freeze boreholes after adapting them as borehole heat exchangers.
- The rock mass is one of the best heat storage systems due to its widespread availability and high specific heat. Particularly favorable is water-saturated rock mass, where the heat capacity is enhanced by the specific heat of groundwater.
- Conducting a TRT leads to a reduction in the overall costs of a system consisting of multiple borehole heat exchangers. The test allows for obtaining precise values of effective thermal conductivity in the borehole and determining its thermal resistance. These parameters help determine the project specifics, including the number of boreholes, their distribution, and depths. In the case of existing boreholes, such as FBs, the TRT on a selected borehole can determine the thermal parameters for the entire set, i.e., the load with heating power and seasonal quantities of exchanged heat. In the case of BHEs based on FBs, in active mines, the heat exchange in the mine shaft must also be considered.
- The energetic characteristic of an FB located near one of the new shafts in a Polish mine was investigated. The obtained values include an effective thermal conductivity of 2.129 W/(m·K) and a thermal resistance of the exchanger equal to 0.0939 m·K/W. The heat load can be determined by various methods, but they are subject to the need for adopting various assumptions. For the assumptions made in this study, the unitary load capacity of the examined and analyzed BHE ranged from 36.00 to 40.13 W/m, proving that a BHE based on an old FB shows characteristics similar to a conventional BHE.
- To determine the seasonal load with heat and/or cold for buildings near the shaft, it is necessary to apply numerical methods for heat and mass flow, taking into account the operation of the mine shaft in its ventilation system and the demand for heat (central heating/heating of interiors, domestic hot water, and process heat) and/or cooling (air-conditioning).
- Research conducted and described in this study will serve as the backbone of numerical simulations in the future, mainly with the emphasis being put on the main shaft airflow influence on the efficiency of BHEs. The main shaft can either pump fresh air into the mine or pump used air out, with the presence of a temperature spike in the latter.
Author Contributions
Conceptualization, T.S.; methodology, T.S.; software, M.K.; validation, J.D.; formal analysis, T.S.; investigation, J.D.; resources, M.K.; data curation, T.S.; writing—original draft preparation, T.S.; writing—review and editing, J.D.; visualization, S.K.; supervision, T.S.; project administration, M.A.; funding acquisition, T.S. All authors have read and agreed to the published version of the manuscript.
Funding
The research leading to these results has received funding from the Norway Grants 2014–2021 via the National Centre for Research and Development in Warsaw (50%). The research project was also supported by the program “Excellence Initiative—Research University” for the AGH University of Science and Technology (50%). This research was partly funded by AGH University of Krakow, The Faculty of Drilling, Oil and Gas.
Data Availability Statement
The original contributions presented in the study are included in the article, further inquiries can be directed to the corresponding author.
Conflicts of Interest
Author Jakub Drosik was employed by the Prawtech Sp. z o. o., Stanisław Kotyła was employed by the SATOR Grzegorz Skowroński. The remaining authors declare that the research was conducted in the absence of any commercial or financial relationships that could be construed as a potential conflict of interest. All authors have read and agreed to the published version of the manuscript.
Nomenclature
| c(t) | Specific heat of the carrier, J/(kg·K) |
| cv | Specific heat, J/(kg·K) |
| Ei | Integrally exponential function |
| H | Depth, m |
| k | Linear regression factor |
| n | No unit factor |
| P | Heating power supplied to the borehole heat exchanger, W |
| p | Pressure, Pa |
| q | Unit power, W/m |
| rb | Borehole radius, m |
| Rb | Thermal resistance, (m·K)/W |
| T0 | Average static borehole heat exchanger temperature, °C |
| t0 | Time since the beginning of heating, s |
| t1 | Time since beginning with an inaccuracy level of 10.5%, s |
| t2 | Time since beginning with an inaccuracy level of 2.5%, s |
| t3 | Time since beginning with an inaccuracy level of 0.5%, s |
| t4 | Time of the tests ending (turning off the heating, tend), s |
| t | Beginning of the TRT, s |
| T(rb, t) | Rock mass temperature at the edge of the borehole, °C |
| Tav | The average fluid temperature of the borehole heat exchanger, °C |
| Tb | Uninterrupted rock mass temperature, °C |
| Tf(t) | Average fluid temperature, °C |
| Tin | Inlet fluid temperature of the borehole heat exchanger, °C |
| Tout | Outlet fluid temperature of the borehole heat exchanger, °C |
| u | Integration variable |
| V | Volume flow rate of the heat carrier, m3/s |
| α | Thermal diffusivity of the surrounding rock mass, m2/s |
| λ | Thermal conductivity of the surrounding rock mass, W/(m·K) |
| λeff | Effective thermal conductivity, W/(m·K) |
| γ | Euler constant = 0.5772156. |
| ρ(t) | Heat carrier density, kg/m3 |
References
- Ahmed, A.A.; Assadi, M.; Kalantar, A.; Sapińska-Śliwa, A.; Sliwa, T.; Ahmed, N.; Rogozik, S. Evaluating the techno-economic impact of decarbonizing buildings by using borehole heat exchangers in comparison to fuel-based systems. Energy Sustain. Dev. 2023, 76, 101262. [Google Scholar] [CrossRef]
- Jastrzębska, G. Odnawialne Źródła Energii i Pojazdy Proekologiczne (Renewable Energy Sources and Environmentally Friendly Vehicles); Wydawnictwa Naukowo-Techniczne: Warszawa, Poland, 2007. [Google Scholar]
- Dyrektywa Parlamentu EuropejskiegoIRady (UE) 2018/2001 z dnia 11 grudnia 2018 r. w sprawie promowania stosowania energii ze źródeł odnawialnych (Directive (EU) 2018/2001 of the European Parliament and of the Council of 11 December 2018 on the Promotion of the Use of Energy from Renewable Sources). Available online: https://eur-lex.europa.eu/eli/dir/2018/2001/oj (accessed on 21 October 2024).
- Ahmed, A.A.; Assadi, M.; Kalantar, A.; Sliwa, T.; Sapińska-Śliwa, A. A critical review on the use of shallow geothermal energy systems for heating and cooling purposes. Energies 2022, 15, 4281. [Google Scholar] [CrossRef]
- Sliwa, T.; Kowalski, T.; Cekus, D.; Sapińska-Śliwa, A. Research on fresh and hardened sealing slurries with the addition of magnesium regarding thermal conductivity for energy piles and borehole heat exchangers. Energies 2021, 14, 5119. [Google Scholar] [CrossRef]
- Sala, K. Przemysłowe wykorzystanie energii geotermalnej w Polsce na przykładzie geotermalnego zakładu ciepłowniczego w Bańskiej Niżnej. Stud. Ind. Geogr. Comm. Pol. Geogr. Soc. 2018, 32, 73–82. [Google Scholar] [CrossRef]
- Bujakowski, W.; Bielec, B.; Miecznik, M.; Pająk, L. Reconstruction of geothermal boreholes in Poland. Geoth. Energ. 2020, 8, 10. [Google Scholar] [CrossRef]
- Sapińska-Śliwa, A.; Sliwa, T.; Wiśniowski, R. Grafit i diatomit jako dodatki do zaczynów uszczelniających otwory w geotermii (Graphite and diatomite as additives for grouts for boreholes in geothermics). Przemysł Chem. 2017, 96, 1723–1725. (In Polish) [Google Scholar]
- Sliwa, T.; Sapińska-Śliwa, A.; Gonet, A.; Kowalski, T.; Sojczyńska, A. Geothermal boreholes in Poland—Overview of the current state of knowledge. Energies 2021, 14, 3251. [Google Scholar] [CrossRef]
- Mazurkiewicz, J.; Kmiecnik, E.; Tomaszewska, B. Analiza możliwości wykorzystania wód podziemnych z utworów czwartorzędowych w systemach geotermii niskotemperaturowej na obszarze Małopolski. Część I, Analysis of the possibility to use the quaternary groundwater in the low-temperature geothermal systems in Małopolska. Part I. Prz. Geol. 2015, 63, 926–930. [Google Scholar]
- Sliwa, T.; Sapińska-Śliwa, A.; Knez, D.; Bieda, A.; Kowalski, T.; Złotkowski, A. Borehole Heat Exchangers: Production and Storage of Heat in the Rock Mass, 1st ed.; Laboratory of Geoenergetics Book Series vol. 2; Drilling, Oil and Gas Foundation: Krakow, Poland, 2016. (In Polish) [Google Scholar]
- Namysłowska-Wilczyńska, B.; Wilczyński, A.; Wojciechowski, H. Możliwości wykorzystania zasobów wodnych i energetycznych w podziemnych kopalniach surowców mineralnych (Possibilities of the utilization of water and Energy in undeground mineral resources mines). Zesz. Nauk. Inst. Gospod. Surowcami Miner. I Energią Pol. Akad. Nauk. 2016, 95, 47–58. [Google Scholar]
- Solik-Heliasz, E.; Małolepszy, Z. Możliwości wykorzystania energii geotermalnej z wód kopalnianych w Górnośląskim Zagłębiu Węglowym (The possibilities of utilisation of geothermal energy from mine waters in the Upper Silesian Coal Basin). In Proceedings of the International Scientific Conference “Geothermal Energy in Underground Mines”, Ustroń, Poland, 21–23 November 2001; pp. 81–88. [Google Scholar]
- Kępińska, B. Geothermal Enregy Use in Europe. In Proceedings of the GEOTHERMAL TRAINING PROGRAMME 30th Anniversary WorkshopOrkustofnun, Grensásvegur 9, Reykjavík, Iceland, 26–27 August 2008. [Google Scholar]
- Małolepszy, Z. Man-made, low-temperature geothermal reservoirs in abandoned workings of underground mines on example of coal mines, Poland. In Proceedings of the IGC2003 Conference “Multiple Integrated Uses of Geothermal Resources”, Reykjavik, Iceland, 14–17 September 2003. [Google Scholar]
- Lund, J.W.; Toth, A.N. Direct Utilization of Geothermal Energy 2020 Worldwide Review. In Proceedings of the World Geothermal Congress 2020, Reykjavik, Iceland, 26 April–2 May 2020. [Google Scholar]
- Alimonti, C. Technical Performance Comparison between U-Shaped and Deep Borehole Heat Exchangers. Energies 2023, 16, 1351. [Google Scholar] [CrossRef]
- Asal Bidarmaghz, D.; Narsilio, G.A. Is natural convection within an aquifer a critical phenomenon in deep borehole heat exchangers’ efficiency? Appl. Therm. Eng. 2022, 212, 118450. [Google Scholar] [CrossRef]
- Chen, A.; Tomac, H.I. Technical review on coaxial deep borehole heat exchanger. Geomech. Geophys. Geo-Energ. Geo-Resour. 2023, 9, 120. [Google Scholar] [CrossRef]
- Deng, J.; Peng, C.; Su, Y.; Qiang, W.; Wei, Q. Research on the long-term operation performance of deep borehole heat exchangers array: Thermal attenuation and maximum heat extraction capacity. Energy Build. 2023, 298, 113511. [Google Scholar] [CrossRef]
- Zhang, Y.; Ye, C.; Kong, Y.; Gong, Y.; Zhang, D.; Yao, Y. Thermal attenuation and heat supplementary analysis of medium-deep coaxial borehole system-based on a practical project. Energy 2023, 270, 126805. [Google Scholar] [CrossRef]
- Kumar, S.; Murugesan, K. Optimization of geothermal interaction of a double U-tube borehole heat exchanger for space heating and cooling applications using Taguchi method and utility concept. Geothermics 2020, 83, 101723. [Google Scholar] [CrossRef]
- Li, P.; Guan, P.; Zheng, J.; Dou, B.; Tian, H.; Duan, X.; Liu, H. Field Test and Numerical Simulation on Heat Transfer Performance of Coaxial Borehole Heat Exchanger. Energies 2020, 13, 5471. [Google Scholar] [CrossRef]
- Gultekin, A.; Aydin, M.; Sisman, A. Effects of arrangement geometry and number of boreholes on thermal interaction coefficient of multi-borehole heat exchangers. Appl. Energy 2019, 237, 163–170. [Google Scholar] [CrossRef]
- Sapińska-Śliwa, A.; Rosen, M.A.; Gonet, A.; Sliwa, T. Deep borehole heat exchangers—A conceptual and comparative review. Int. J. Air-Cond. Refrig. 2016, 24, 1630001. [Google Scholar] [CrossRef]
- Renaud, T.; Verdin, P.G.; Falcone, G. Conjugated Numerical Approach for Modelling DBHE in High Geothermal Gradient Environments. Energies 2020, 13, 6107. [Google Scholar] [CrossRef]
- Boban, L.; Miše, D.; Herceg, S.; Soldo, V. Application and Design Aspects of Ground Heat Exchangers. Energies 2021, 14, 2134. [Google Scholar] [CrossRef]
- Song, X.; Wang, G.; Shi, Y.; Li, R.; Xu, Z.; Zheng, R.; Wang, Y.; Li, J. Numerical analysis of heat extraction performance of a deep coaxial borehole heat exchanger geothermal system. Energy 2018, 164, 1298–1310. [Google Scholar] [CrossRef]
- Dai, J.; Li, G.; Li, J.; Song, X.; Huang, Z.; Yu, C. Economic Evaluation of the Coaxial Borehole Heat Exchanger. In Proceedings of the World Geothermal Congress 2020+1, Reykjavik, Iceland, 24–27 October 2021. [Google Scholar]
- Pujol, M.; Aymard, D. Workflow for Optimizing the Design of Close-Loop Deep Borehole Heat Exchangers. In Proceedings of the World Geothermal Congress 2020+1, Reykjavik, Iceland, 24–27 October 2021. [Google Scholar]
- Deng, J.; Wei, Q.; He, S.; Liang, M.; Zhang, H. Simulation Analysis on the Heat Performance of Deep Borehole Heat Exchangers in Medium-Depth Geothermal Heat Pump Systems. Energies 2020, 13, 754. [Google Scholar] [CrossRef]
- Wilke, S.; Menberg, K.; Steger, H.; Blum, P. Advanced thermal response tests: A review. Renew. Sustain. Energy Rev. 2020, 119, 109575. [Google Scholar] [CrossRef]
- ISO 17628:2015(E); Geotechnical Investigation and Testing—Geothermal Testing—Determination of Thermal Conductivity of Soil and Rock Using A Borehole Heat Exchanger. ISO: Geneva, Switzerland, 2015.
- Ingersoll, L.R.; Plass, H.J. Theory of the ground pipe heat source for the heat pump. ASHRAE Trans. 1948, 47, 339–348. [Google Scholar]
- Verein Deutscher Ingenieure. VDI 4640 Blatt 5, Termische Nutzung des Untergrunds (Thermal Response Test); Verein Deutscher Ingenieure: Düsseldorf, Germany, 2016. [Google Scholar]
- Claesson, J. Computer Models for and analysis of thermal processes in the ground. In Proceedings of the WS on GSHP Albany, Rep. HPC-WR-2, Karlsruhe, Germany, 29 October–1 November 1986; pp. 201–204. [Google Scholar]
- Eskilson, P. Thermal Analysis of Heat Extraction Boreholes. Doctoral Thesis, Lund University, Lund, Sweden, 1987. [Google Scholar]
- Hellström, G. Ground Heat Storage, Thermal Analyses of Duct Storage Systems. Ph.D. Thesis, Lund Institute of Technology, Lund, Sweden, 1991. [Google Scholar]
- Eskilson, P.; Claesson, J. Simulation model for thermally interacting heat extraction boreholes. Numer. Heat Transf. 1988, 13, 149–165. [Google Scholar] [CrossRef]
- Claesson, J.; Eskilson, P. PC Design Model for Heat Extraction Boreholes. In Proceedings of the 4th International Conference Energy Storage JIGASTOCK 88, Paris, France, 18–21 October 1988; pp. 135–137. [Google Scholar]
- Barthel, P. Grundsätliche Überlegungen zur regionalenhydrogeologischen Beurteilung von Standorten für den Eisatz von Erdwärmepumpen, Hydrogeologie und Umwelt Heft (Basic considerations for the re-gional hydrogeological assessment of sites for the use of geothermal heat pumps). Hydrogeol. Und Umw. Heft (Hydrogeol. Environ. Issue) 2005, 33, 1–25. [Google Scholar]
- Huber, A.; Ochs, M. Hydraulische Auslegung von Erdwärmesondenkreisläuf mit der Software „EWSdruck” Vers.2.0 (Hydraulic Design of Geothermal Probe Circuits with the Software "EWSdruck" Version 2.0); Huber Energietechnik AG: Zurich, Switzerland, 2007. [Google Scholar]
Disclaimer/Publisher’s Note: The statements, opinions and data contained in all publications are solely those of the individual author(s) and contributor(s) and not of MDPI and/or the editor(s). MDPI and/or the editor(s) disclaim responsibility for any injury to people or property resulting from any ideas, methods, instructions or products referred to in the content. |
© 2024 by the authors. Licensee MDPI, Basel, Switzerland. This article is an open access article distributed under the terms and conditions of the Creative Commons Attribution (CC BY) license (https://creativecommons.org/licenses/by/4.0/).











