Next Article in Journal
Prediction of Freezing Time During Hydrogen Fueling Using Machine Learning
Previous Article in Journal
The Impact of Green Finance and Technological Innovation on Corporate Environmental Performance: Driving Sustainable Energy Transitions
 
 
Font Type:
Arial Georgia Verdana
Font Size:
Aa Aa Aa
Line Spacing:
Column Width:
Background:
Article

Research of Heat Transfer Characteristics of Supercritical CO2 in Spiral Tube Heat Exchangers

1
School of Energy Science and Engineering, Harbin Institute of Technology, Harbin 150006, China
2
Strategic Assessments and Consultation Institute of AMS, Beijing 100000, China
*
Author to whom correspondence should be addressed.
Energies 2024, 17(23), 5960; https://doi.org/10.3390/en17235960
Submission received: 27 October 2024 / Revised: 21 November 2024 / Accepted: 22 November 2024 / Published: 27 November 2024
(This article belongs to the Section J1: Heat and Mass Transfer)

Abstract

The spiral tube heat exchanger has the advantages of stable structure, high space utilization rate, and strong heat transfer ability. Supercritical carbon dioxide (s-CO2) has the advantages of high thermal conductivity, high specific heat capacity, and low viscosity. When the spiral tube heat exchanger uses supercritical carbon dioxide as the heat transfer medium, the two complement each other’s advantages and can further improve the heat transfer efficiency and optimize the space utilization rate. However, under the coupling influence of factors such as centrifugal force and buoyancy force, the heat transfer process of s-CO2 in the spiral tube is extremely complex. At present, there is no design criterion or empirical correlation with strong universality in the industrial field. Based on this, this paper mainly uses ANSYS FLUENT, a numerical simulation software suitable for numerical simulation, to study the influence of internal vortex field and secondary flow intensity on the thickness of thermal boundary layers through a combination of numerical simulation and theoretical analysis. At the same time, by changing various operating and structural parameters, the heat transfer characteristics of supercritical s-CO2 in the spiral tube heat exchanger are analyzed and summarized. In addition, we also established a new buoyancy factor, Fu, and tested that when Fu < 1.6 × 10−5, the effect of the buoyancy lift in the pipeline disappeared. At the same time, a correlation formula for predicting the heat transfer performance of spiral tube heat exchangers with a Nu number error less than 20% is established in this paper, which can provide solid theoretical guidance for industrial application.

1. Introduction

Energy is a fundamental pillar for human survival and development. The global energy shortage and environmental issues caused by energy consumption are becoming increasingly severe. Among these challenges, heat exchangers play a crucial role in energy transfer processes by facilitating heat exchange between two or more fluids, ensuring that fluid temperatures meet process specifications and requirements. They are indispensable in various industries, including chemical, petroleum, power generation, and food production. For instance, in thermal or nuclear power plants, heat exchangers are used for circulating water cooling and ammonia production. In chemical production, heat exchangers function as heaters, coolers, condensers, evaporators, and reboilers.
With the deepening of industrialization and the growing scarcity of energy resources, heat exchangers must possess higher efficiency, compactness, and lower pressure drop. Therefore, improving the heat transfer performance of heat exchangers is a critical component of global efforts to reduce energy consumption and emissions. Helical tube heat exchangers, a new type of heat exchanger emerging in the 21st century, offer several advantages such as structural stability, high spatial utilization, and strong heat transfer capabilities. These attributes perfectly meet the structural requirements of modern industrial production, making them widely adopted in contemporary industrial applications. However, traditional heat transfer media, such as refrigerants and water, have limitations due to their inherent properties, restricting their application scope. Consequently, helical tube heat exchangers using supercritical carbon dioxide (s-CO2) as the heat transfer medium have become a key focus of current research. The heat transfer processes in these exchangers are extremely complex and are influenced by multiple factors, including heat flux density, pressure, and buoyancy forces [1]. Therefore, a thorough understanding of their heat transfer characteristics is essential.
In recent years, significant progress has been made in the study of heat transfer characteristics of helical tube heat exchangers. Early studies by Smith [2] and Hall [3] provided detailed comparisons of heat transfer characteristics under supercritical conditions. Bourke et al. [4] conducted research on convective heat transfer, examining factors such as heat flux density, flow direction, mass flow rate, and pressure. Their experimental results indicated that changes in flow direction have a limited impact on heat transfer coefficients when heat flux density is low; however, as heat flux density increases, the inner wall temperature rises, leading to a decrease in heat transfer efficiency. Additionally, local peaks in heat transfer efficiency were observed near the pseudo-critical region. When the mass flow rate is low, two local peaks in inner wall temperature can occur, but this phenomenon diminishes with increasing pressure, especially at moderate heat flux densities.
Dang et al. [5,6] conducted experiments in horizontal tubes with diameters ranging from 1 mm to 6 mm, studying the cooling process of supercritical CO2. Their results showed that the impact of heat flux density on the heat transfer coefficient becomes more significant when the temperature exceeds the pseudo-critical temperature. Lee et al. [7] investigated the heat transfer characteristics of supercritical CO2 in vertical cylindrical tubes, highlighting the relationship between fluid turbulence energy and temperature. Wang et al. [8] analyzed the influence of buoyancy forces on heat transfer coefficients, simulating the cooling flow process of supercritical CO2 within the tubes. Their findings indicated that structural parameters also significantly affect the heat transfer characteristics of supercritical CO2 in practical applications.
Zhang et al. [9], Wang et al. [10], and Liu et al. [11] studied the effects of changing diameter, pitch, and curvature of the tubes on the centrifugal and buoyancy forces in the heat transfer process of supercritical CO2 in helical tubes. Li et al. [12] explored the optimal structural parameters for helical tube heat exchangers. Zhu et al. [13] conducted experimental studies on heat transfer coefficients of supercritical CO2 in both straight and helical tubes. Hua et al. [14] performed experimental and numerical simulations to study the velocity and heat transfer characteristics of helical coils under uniform turbulent heating, revealing the mechanism by which secondary flow intensity affects heat transfer. Mao et al. [15] investigated the heat transfer process of supercritical water in helical tubes under high Reynolds number conditions. They found that convective heat transfer weakens the effect of secondary flows as the Reynolds number increases and that heat transfer correlations for straight tubes can predict fluid behavior in helical tubes when the heat transfer coefficient is sufficiently high.
Kang [16] conducted experimental and numerical simulations to study the effects of heat flux, inlet temperature, and other factors on wall temperature and heat transfer coefficients in the upward flow of supercritical nitrogen. Their research indicated that as heat flux increases, the heat transfer rate decreases in the first half of the helical tube and increases in the second half. The wall temperature sharply increases when the heat flux reaches a certain level. Zhang et al. [17] conducted experiments on heat transfer in helical tubes during the upward flow of supercritical CO2 under three different pressures. Their results showed that the outer side of the helical tube is significantly cooler than the inner side, and there is an enhanced heat transfer region in the upstream section of the tube. Xu et al. [18] performed experimental and numerical simulations to study the heat transfer process of supercritical CO2 in helical tubes, revealing the relationship between axial angle, turbulent kinetic energy, and effective viscosity. They also found that the effect of buoyancy forces diminishes as the fluid approaches the pseudo-critical region. Xu Xiao Xiao et al. [19] studied the cooling heat transfer process of supercritical CO2 in helical tubes. Li Hongrui et al. [20] conducted in-depth research on the heat transfer and pressure drop changes of supercritical CO2 in helical tubes under different flow directions.
In recent years, in the study of heat exchange characteristics of heat exchangers, Azher M. bed et al. [21] evaluated the effects of arc-shaped fins on the melting capability of a triplex-tube confinement system filled with phase-change materials (PCMs); Nidhal Ben Khedher et al. [22] studied the thermal behavior of tree-optimized fins and plate fins in radiators, both of which provided inspiration for the numerical analysis of heat exchangers in this paper. Additionally, Nidhal Ben Khedher et al. [23] studied the effect of a helical coiled-wire turbulator on hydrothermal parameters, making the heat transfer of the turbulence iup to 5.45 times times of a plain tube. Another study by Nidhal Ben Khedher et al. [24] presented a 3D numerical analysis of the melting behavior of a phase-changing material (PCM) in a helix-shaped coil-tube heat exchanger, a critical component in latent heat storage (LHS) systems. Specifically, 5000 s after the melting began, the top inlet design had a melting rate 16.5% higher than the bottom inlet. At the same time, configurations with a central return pipe on top increased by 18.8%, 13.1%, and 1.9%, respectively, over 1000, 5000, and 10,000 run times compared to conventional systems. This study fully reveals the advantages of a central return pipe with an optimized inlet location in improving the melting efficiency of LHS systems.
Through the analysis of the existing research on heat exchangers, it can be found that although excellent scholars around the world have conducted extensive research on their heat exchange characteristics, due to the complexity of the heat transfer mechanism of spiral tube heat exchangers, the existing research has not fully revealed their heat exchange characteristics. For example, the floating lift determination method applicable to spiral tube heat exchangers has not given a unified conclusion. Therefore, this study combined numerical simulation with theoretical analysis to comprehensively analyze the heat transfer characteristics of supercritical CO2 in spiral tube heat exchangers by changing the three most typical operating parameters, namely, operating pressure, inlet velocity, and heat flux, and the three typical structural parameters, namely, pipe pitch, winding diameter, and thermal conductivity. We also established a new buoyancy factor, Fu, and tested that when Fu < 1.6 × 10−5, the effect of the buoyancy lift in the pipeline disappeared. At the same time, a correlation formula for predicting the heat transfer performance of spiral tube heat exchangers with a Nu number error less than 20% is established in this paper, which can provide solid theoretical guidance for industrial application.

2. Numerical Calculation Method

2.1. Research Object

The structural parameters of the simplified model design of the spiral tube heat exchanger selected in this study and the operating parameters of the basic heat transfer characteristics are shown in Table 1. Unless otherwise specified below, the boundary conditions used are the same as those studied in the basic heat transfer characteristics group.
The helical tube heat exchanger’s tube wall material is steel with a thermal conductivity of 20 W/(m·K). The flow condition is upward flow. To avoid inlet and outlet effects, different boundary surfaces are used for the adiabatic and heating sections, with adiabatic lengths of 550 mm at both the inlet and outlet. The inlet is set as a velocity inlet, and the outlet is set as a pressure outlet. The outer wall of the pipe is uniformly heated. To characterize the cross-sectional positions, a phase angle φ (0~2160°) is used, and the circumferential angle of the tube cross-section is denoted by θ (0~360°).

2.2. Physical Model

The simple model of the spiral tube heat exchanger is shown in Figure 1, where D is the winding diameter, P is the pitch, and g is the acceleration of gravity. Four detection points are selected on the inner wall of the pipeline section as in, out, up, down, and the average value of the four monitoring points is used to represent the circumferential average value.

2.3. Meshing and Irrelevance Verification

In this paper, O-shaped mesh is used to divide the fluid domain and the solid domain of the spiral pipeline, respectively. The specific method is the sweep method, the fluid domain unit size is set to 0.001 m, and the solid domain unit size is set to the default value. In addition, the boundary layer is set near the wall and encrypted, and the mesh division effect is shown in Figure 2.
Then, the exit temperature and exit velocity were selected as the criteria to verify the grid independence. As shown in Figure 3, the selected boundary conditions are the same as those in Table 1. It can be clearly seen that when the number of grids is 2025 × 1050, with the increase in the number of grids, the exit temperature and exit velocity do not change significantly, which proves that the calculation result is relatively accurate at this time. If the number of grids continues to increase and the calculation time increases, the accuracy of the result is not significantly improved, and the corresponding number of grids is reduced. There is a large deviation between the exit temperature and the exit velocity, which can prove that the grid independence requirements can be met when the grid number is 2025 × 1050, so we choose this scheme for grid division.

2.4. Governing Equations and Computational Models

When performing the numerical simulation and solving the equations, it is necessary to select the appropriate control equations. For this study, the control equations applicable to steady-state flow [25] are as follows:
Continuity Equation:
( ρ u i ) x i = 0
Equation for conservation of momentum:
( ρ u i u j ) x j = x j [ μ e ( u i x j + u j x i ) 2 3 μ e u k x k ] p x i + ρ g i
Equation for conservation of energy:
( ρ u i c p T ) x i = x j ( K T x j ) + u i x j [ μ e ( u i x j + u j x i ) 2 3 μ u k x k δ i j ]
Symbols and definitions:
u: Fluid velocity, m/s;
μ: Dynamic viscosity of the fluid, Pa·s;
g: Gravitational acceleration, m/s2;
cp: Specific heat capacity at constant pressure, J/(kg·K);
k: Thermal conductivity, W/(m·K);
δij: Kronecker delta.
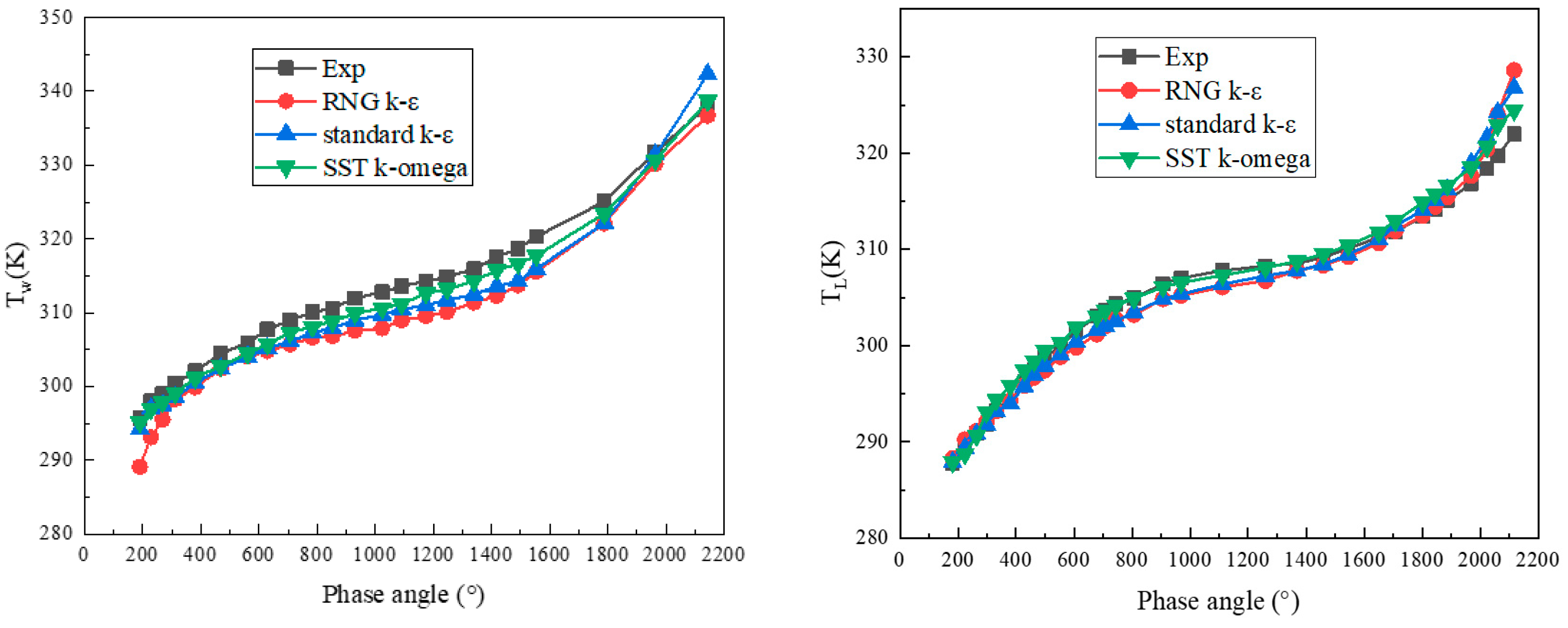
To perform the numerical simulation, this study selected three turbulence models: the SST k-ω model, the RNG k-ε model, and the standard k-ε model. By comparing the numerical simulation data from different models with experimental data [18], the model with the smallest deviation was chosen as the more effective turbulence model.
Spiral tube parameters: outer diameter do is 12 mm, inner diameter di is 9 mm, winding diameter D is 283 mm, pitch P is 32 mm in heating section length. The degree L is 5338 mm, with a total of 6 turns. Operating parameters: G = 97.8 kg· m−2 · s−1, Tin = 288 K, p = 8 MPa, q = 9.03 kW · m−2, upward flow. As shown in Figure 4, the horizontal coordinate phase angle is used to represent the position of the inner section of the pipe, and the average circumferential temperature of the inner wall of the pipe and the average temperature of the fluid in the pipe are selected as measurement indexes. The data from the SST k-ω model have the smallest deviation, indicating that this numerical model is more effective.
Thermal conductivity equation:
x i ( K T x i ) = 0
Symbols and definitions:
K: Thermal conductivity, W/(m2·K).
During the simulation of supercritical CO2 in the helical tube heat exchanger, the convergence of the supercritical CO2 case within the helical tube is poor due to the combined effects of the special structure of the helical tube and the dramatic changes in the properties of CO2 as it transitions from the pseudo-critical region to the supercritical region. Therefore, it is necessary to adjust the convergence factors. The specific under-relaxation factor settings are provided in Table 2.
During the calculation process, the average temperature at the outlet cross-section is considered as the observation data. The pipeline is deemed stable when the change in the average outlet temperature is less than 0.1%.

2.5. CO2 Thermal Physical Treatment

The critical temperature of carbon dioxide is very low, only 303.05 K, and the critical pressure is 7.38 MPa. When using the property parameters of CO2 from Fluent’s built-in database, the computation time significantly increases. Therefore, this study utilizes the property parameters of CO2 from the NIST database, incorporating them into Fluent through linear interpolation. As shown in Figure 5, the property parameters of CO2 clearly demonstrate their variation with temperature at different pressures.

2.6. The Method of Expressing the Intensity of the Secondary Flow

When analyzing the strength distribution of secondary flows within the vorticity field inside the pipe, to avoid the interference of secondary flow intensity generated by shear near the pipe walls, as shown in Figure 6, this study employs a Liutex vector method [26] to separate the vorticity produced by shear. By observing the distribution of the Liutex vectors, the strength of the secondary flows generated by the relative motion of the internal fluid can be determined. This allows for the analysis of the trends in the effects of buoyancy and centrifugal forces under various conditions, thereby evaluating the impact of buoyancy and centrifugal forces on the heat transfer characteristics of supercritical CO2 in the helical tube heat exchanger.

3. Research and Analysis of Heat Transfer Characteristics

To investigate the heat transfer characteristics of supercritical CO2 in a helical tube heat exchanger, the operating parameters and structural parameters are chosen as the research subjects. Specifically, the operating pressure, operating velocity, heat flux density, pitch of the helical tube, coil diameter, and pipe thermal conductivity are varied. The heat transfer characteristics of the helical tube heat exchanger are analyzed by observing the temperature distribution of the fluid and the wall, as well as the velocity, density, and secondary flow distribution within the pipe. This approach allows for a detailed examination of how these parameters affect the heat transfer performance, ultimately leading to a comprehensive understanding of the heat transfer characteristics of the helical tube heat exchanger.

3.1. Basic Heat Transfer Law

To study the heat transfer characteristics of supercritical CO2 in a helical tube heat exchanger, it is necessary to first investigate the basic heat transfer patterns. In this study, the inner wall temperature (Twi), inner wall heat flux density (qi), and heat transfer coefficient (hi) are selected as observation parameters to monitor their variations along the flow direction. The selected boundary conditions are the same as those in Table 1. The results are shown in Figure 7.
From the figure, it can be observed that in the upstream section of the pipe, the circumferential temperature difference is primarily between the upper and lower sides of the pipe wall. As the flow progresses downstream, the temperature difference between the upper and lower walls decreases, while the temperature difference between the inner and outer walls increases. Additionally, the inner wall heat flux density is higher in the upstream section and lower in the downstream section. The heat flux density on the upper side of the inner wall increases from low to high and eventually becomes equal to that on the lower side. The heat flux density on the outer and lower sides remains relatively constant.
The inner wall heat transfer coefficient at the four observation points initially increases and then decreases in the upstream section, indicating the presence of a pseudo-critical region where property changes enhance the effects of buoyancy and centrifugal forces. This leads to an increase in the intensity of secondary flows in the upstream section, which weakens the thermal boundary layer and improves heat transfer efficiency. Ultimately, the heat transfer coefficients on the upper and lower sides become similar, while those on the inner and outer sides show significant differences, with the outer side having a much higher heat transfer coefficient than the inner side.
Through theoretical analysis, it can be determined that the intensity of secondary flows is a crucial factor affecting the heat transfer efficiency of helical tube heat exchangers. The secondary flows within the helical tube are primarily caused by the coupled effects of buoyancy and centrifugal forces: buoyancy causes the fluid to flow from the bottom to the top due to temperature and density gradients, while centrifugal force concentrates the fluid on the outer side through centrifugal acceleration, creating a density gradient. This, combined with non-uniform heat transfer between the inner and outer sides, generates secondary flows. The secondary flows in helical tube heat exchangers play a significant role in enhancing heat transfer. As shown in Figure 8, both mechanisms are present in the helical tube heat exchanger, and the magnitude and distribution of secondary flows within the pipe are influenced by the coupled effects of buoyancy and centrifugal forces.
To further investigate the coupling relationship between buoyancy and centrifugal forces, an additional helical tube heat exchanger with zero gravitational acceleration but otherwise identical parameters was selected for comparison. Figure 9 shows the differences in the Liutex distribution at the cross-sections of the upstream and downstream sections of the two helical tube heat exchangers. From the figure, the following can be observed: in the upstream section of the pipe, the removal of buoyancy has a significant impact on both the intensity and distribution of the secondary flows within the pipe; in the downstream section, the removal of buoyancy does not affect the distribution of the secondary flows, and it has only a minor effect on the intensity of the secondary flows. From these observations, it can be concluded that the effect of buoyancy within the helical tube is primarily present in the upstream section.
Finally, to validate the relationship between the intensity of secondary flows and the heat transfer characteristics of the pipe as derived from the theoretical analysis, a qualitative analysis is conducted in this study. The secondary flow intensity Se [27] is defined to describe the strength of the secondary flow effects, and its expression is given as follows:
S e = ρ b d i 2 A μ b A u y x u x y d A
Symbols and definitions:
A: Cross-sectional area of the fluid domain in the pipe, m2;
b: Mainstream value;
ρ: Fluid density;
μ: Viscosity.
Figure 10 illustrates the variations of the secondary flow intensity Se, the temperature difference between the upper and lower sides of the inner wall, the temperature difference between the inner and outer sides, and the average heat transfer coefficient along the inner wall, all along the flow direction. From the figure, the following can be observed: The peak value of Se occurs in the upstream section of the pipe, indicating that the secondary flow intensity is highest at this location. Analysis reveals that the intensity of the secondary flows is primarily influenced by the coupled effects of buoyancy and centrifugal forces, highlighting that the interaction between buoyancy and centrifugal forces is a significant factor affecting the heat transfer characteristics of the helical tube heat exchanger. The peak values of Se and the heat transfer coefficient occur in the same region, indicating that the secondary flows within the helical tube heat exchanger play a promoting role in enhancing the heat transfer efficiency. These observations confirm that the coupled effects of buoyancy and centrifugal forces are crucial in determining the heat transfer performance of the helical tube heat exchanger and that the secondary flows significantly contribute to improving heat transfer efficiency.
Through the analysis of the previous research content, we have gained an understanding of the basic heat transfer characteristics of supercritical CO2 in a helical tube heat exchanger. Next, this study will focus on the vorticity of secondary flows within the pipe, summarizing the effects of parameter changes on heat transfer characteristics from two main aspects: heat transfer efficiency and temperature stratification in the downstream section of the pipe.

3.2. Influence of Operating Parameters on Heat Transfer Characteristics

This section focuses on three primary operating parameters: operating pressure, inlet velocity, and heat flux density. The observation sections are all located at the outlet to investigate the relationship between heat transfer characteristics and the variations in these operating parameters.

3.2.1. Influence of Operating Pressure on Heat Transfer Characteristics

The selection of other boundary conditions except pressure is the same as that in Table 1. Pressure is selected as 8 Mpa, 9 Mpa, and 10 Mpa, respectively. The results are shown in Figure 11. By observing the changes in the average inner wall temperature (Tiav) and the average heat transfer coefficient (hiav) of the helical tube heat exchanger under different pressures, it can be found that the average inner wall temperature at various observation sections in the upstream part of the helical tube increases with the increase in pressure. Starting from the downstream section, the increase in pressure significantly reduces the rate of increase in the average inner wall temperature. Ultimately, near the outlet section, the average inner wall temperature decreases with the increase in pressure. The average heat transfer coefficient at various observation sections in the upstream part of the helical tube decreases with the increase in pressure, while the changes in the downstream section are opposite to those in the upstream section. This proves that the increase in pressure has an inhibitory effect on heat transfer in the upstream part of the helical tube and a promoting effect on heat transfer in the downstream part.
By observing Figure 12, Figure 13 and Figure 14, it can be found that the influence of pressure changes on the heat transfer characteristics of spiral tube heat exchangers is complex. On the one hand, the increase in operating pressure will lead to the mainstream velocity of fluid in the pipeline, which will have an adverse effect on heat transfer. On the other hand, as the temperature of the fluid in the pipeline rises sharply with the flow, for the heat exchange medium of carbon dioxide, the rise of pressure will increase its specific heat capacity when the temperature is high, improve the heat exchange capacity, reduce the wall temperature, and weaken the thickness of the thermal boundary layer. In general, when the wall temperature is low, the increase in operating pressure inhibits heat transfer, while when the wall temperature is high, the increase in operating pressure promotes heat transfer.

3.2.2. Influence of Inlet Velocity on Heat Transfer Characteristics

The selection of other boundary conditions except the inlet velocity is the same as that in Table 1. The inlet velocity is selected as 1.2 m/s, 1.4 m/s, and 1.6 m/s, respectively. The result is shown in Figure 15 where the changes in the average inner wall temperature (Tiav) and the average heat transfer coefficient (hiav) of the helical tube heat exchanger with varying inlet velocities can be analyzed. From the figure, the following can be observed: As the inlet velocity increases, the average inner wall temperature (Tiav) of the helical tube heat exchanger at sections with the same phase angle significantly decreases. The average heat transfer coefficient (hiav) of the inner wall of the pipe increases substantially, indicating an overall enhancement in heat transfer. Theoretical analysis reveals that the primary reason for this phenomenon is that, under operating conditions with higher inlet velocities, the mainstream velocity increases, leading to a significant reduction in the thickness of the thermal boundary layer near the pipe wall. Therefore, increasing the operating velocity can simultaneously enhance the heat transfer capability and efficiency of the helical tube heat exchanger, resulting in an overall strengthening of the heat transfer performance.
Similarly, the outlet section is selected as the observation section to compare the temperature distribution, density distribution, and velocity distribution at this section under different inlet velocities. In this section, we also select the exit cross-section to observe and compare the differences in temperature, density, and velocity distributions on it and then translate the influence mechanism of inlet velocity on heat transfer characteristics. First of all, it can be found by observing Figure 16 that the temperature of the tube wall at the outlet significantly decreases with the increase in the inlet velocity. It can be concluded that the increase in the inlet velocity can significantly improve the heat transfer capacity of the spiral tube heat exchanger. Through analysis, it can be seen that this is mainly due to the fact that the velocity in the main flow zone plays a positive role in weakening the thickness of the thermal boundary layer.
To investigate the mechanism by which inlet velocity affects the heat transfer characteristics of a helical tube heat exchanger, Figure 17 and Figure 18, respectively, show the density distribution and velocity distribution at the outlet position of the helical tube under different inlet velocities. From Figure 17, it can be seen that an increase in the inlet velocity of the helical tube heat exchanger does not significantly affect the outlet velocity; from Figure 18, it can be observed that an increase in the inlet velocity has a significant impact on the density distribution at the outlet section of the helical tube heat exchanger, with the density gradient between the outer low-temperature region and the inner high-temperature region increasing substantially, leading to an increase in the intensity of secondary flows within the pipe, which enhances the heat transfer capability of the helical tube heat exchanger. Additionally, the decrease in temperature at the outlet helps to weaken the thermal boundary layer on the inner wall of the pipe, further improving its heat transfer efficiency.

3.2.3. Influence of Heat Flux Density on Heat Transfer Characteristics

The relationship between heat flux density and heat transfer characteristics is shown in Figure 19. In addition to the heat flux, the selection of the rest of the boundary conditions is the same as in Table 1, and the heat flux is selected as q = 25 KW/m2, q = 50 KW/m2, and q = 75 KW/m2, respectively. By analyzing the changes in the average inner wall temperature and the average heat transfer coefficient of the helical tube heat exchanger, the following can be observed: As the heat flux density increases, the average inner wall temperature at sections with the same phase angle of the helical tube heat exchanger significantly increases. The average heat transfer coefficient of the inner wall of the pipe decreases substantially, overall leading to a weakening of heat transfer. Through theoretical analysis, it is known that the main reason for this phenomenon is that, under operating conditions with a higher heat flux density, there is a significant accumulation of heat near the pipe wall, which increases the demand for heat transfer efficiency. The limited cooling capacity of the fluid causes the thickness of the thermal boundary layer near the pipe wall to increase rapidly, greatly reducing the heat transfer efficiency of the heat exchanger.
Figure 20 shows the temperature distribution at the outlet section when the heat flux density changes. From the figure, the following can be observed: The temperature of the spiral pipe wall increases sharply with the increase in heat flux density. The temperature gradient of the spiral pipe wall gradually increases. The abnormal temperature stratification between the pipe wall and the fluid becomes more severe.
To continue investigating the mechanism by which the magnitude of heat flux density affects the heat transfer characteristics of the helical tube and the phenomenon of heat transfer deterioration downstream, Figure 21 and Figure 22, respectively, show the velocity distribution and density distribution at the outlet position of the helical tube under different heat flux densities. From the figures, the following can be observed: The increase in heat flux density has a significant impact on the velocity magnitude and distribution at the outlet section of the helical tube heat exchanger. When the heat flux density is too high, the non-uniformity of the velocity distribution in the fluid domain increases substantially. The velocity increase in the inner high-temperature region is much smaller compared to the outer low-temperature region. Although the intensity of secondary flows within the pipe is relatively high under these conditions, the effect of reducing the thermal boundary layer thickness is far less than the increase in thermal boundary layer thickness caused by the temperature rise, which has an adverse effect on heat transfer.
Comprehensive analysis shows that under high heat flux density operating conditions, the heat transfer capability of the fluid cannot meet the cooling demand of the wall, leading to a sharp increase in the inner wall temperature. Although the temperature increase can enhance natural convection and thereby strengthen the effect of centrifugal force, the large amount of heat accumulated at the wall cannot be transferred in time, causing a significant increase in the thickness of the thermal boundary layer. The downstream temperature stratification phenomenon is dominated by the large amount of heat accumulated on the pipe wall.

3.3. Establishment of Buoyancy Determination Criteria

Given the relationship between the centrifugal force and buoyancy force in supercritical CO2 within a helical tube, and based on extensive numerical simulation results presented earlier, a new buoyancy force criterion has been established. The specific criterion is as follows:
F u = G r 1 + γ 2 1.35 D e 2.7 Pr 0.4 δ 1.2 ( μ w μ b ) ( ρ b ρ w ) 0.3
To determine the critical range of the buoyancy factor Fu, this study employs numerical simulations to compare the buoyancy factor Fu with the factor reported in [28]. The relationship between the buoyancy factor Fu and the factor from [28] is established, as shown in Figure 23.
As can be seen from Figure 23, the critical value of the Fu number of the buoyancy lift factor is 1.6 × 10−5. Only when the Fu number of the pipeline part is greater than the critical value of 1.6 × 10−5, the effect of the buoyancy lift effect inside the pipeline can be reflected.
In order to verify the buoyancy criterion, a set of basic heat transfer conditions were selected for testing, as shown in Figure 24. It can be seen from the figure that when the phase angle is greater than 560 degrees, the buoyancy coefficient Fu is less than the critical value. By comparing the changes of heat transfer characteristics at each phase angle in Figure 7, it can be found that the effect of buoyancy force almost disappears when the phase angle is greater than 560 degrees, which is consistent with the Fu number judgment result, proving the validity of the buoyancy criterion.

3.4. Influence of Structural Parameters on Heat Transfer Characteristics

To investigate the changes in the heat transfer characteristics of supercritical CO2 in helical tube heat exchangers under different pipe parameters, the pipe parameters selected for this section include the structural parameters of the helical tube and the thermal conductivity of the pipe. The structural parameters of the helical tube include the pitch and the coil diameter, and their respective impacts on the heat transfer characteristics of the helical tube heat exchanger are observed.

3.4.1. Influence of Heat Flux Density on Heat Transfer Characteristics

The boundary conditions of the spiral tube heat exchanger studied in this section are the same as those in Table 1, and only the structural parameter, pitch P, is changed. The pipe structural parameters selected for this section are listed in Table 3.
To analyze the effects of pitch on the heat transfer characteristics within a helical tube heat exchanger, cross-sections are taken at different phase angles along the flow direction from the inlet section. The average inner wall temperature (Tiav) and the average heat transfer coefficient (hiav) at each cross-section are chosen as the comparison parameters, as shown in Figure 25. By analyzing the changes in the average inner wall temperature and the average heat transfer coefficient along the flow direction in helical tube heat exchangers with different pitches, this study demonstrates that the pitch has a minimal impact on the heat transfer characteristics. This finding provides valuable insights for the design and optimization of helical tube heat exchangers, suggesting that other parameters should be prioritized for performance improvement.
Figure 26 and Figure 27, respectively, show the density distribution and velocity distribution at the outlet position of the helical tube under different pitch conditions. Through comprehensive analysis, it can be observed that when the pitch of the helical tube heat exchanger increases, the mass flow rate distribution of the fluid changes, leading to a slight increase in the effect of buoyancy. This results in a slight increase in the intensity of secondary flows, which in turn slightly reduces the thickness of the thermal boundary layer. However, due to the very small magnitude of these changes, the influence is very limited. As the pitch of the helical tube heat exchanger increases, the originally compact structure of the heat exchanger is compromised; therefore, it is not possible to enhance the heat transfer efficiency of the helical tube heat exchanger by increasing the pitch.

3.4.2. Influence of Coil Diameter on Heat Transfer Characteristics

The boundary conditions of the spiral tube heat exchanger studied in this section are the same as those in Table 1, and only the structural parameter of winding diameter D is changed. To investigate the impact of changes in the coil diameter on the heat transfer characteristics of supercritical CO2 in a helical tube heat exchanger, the pipe structural parameters are listed in Table 4
Figure 28 shows the changes in the average inner wall temperature (Tiav) and the average heat transfer coefficient (hiav) at different cross-sections of the helical tube when the coil diameter changes. By examining the changes in the average inner wall temperature and the average heat transfer coefficient along the flow direction in helical tube heat exchangers with different pitches, it can be observed that the impact of changes in the coil diameter on the inner wall temperature and the inner wall heat transfer coefficient follows the same pattern: at the same phase angle, the temperature of the helical tube heat exchanger with a larger coil diameter is higher than that with a smaller coil diameter, and the heat transfer coefficient of the helical tube heat exchanger with a larger coil diameter is also lower than that with a smaller coil diameter. This is because an increase in the coil diameter results in different heating lengths of the helical tube heat exchanger even at the same phase angle. Therefore, in this section, the method of selecting comparison sections is changed, and the cross-sections corresponding to a heating segment length of 4396 mm for each coil diameter of the helical tube heat exchanger are chosen as the comparison observation sections.
Figure 29 shows the temperature distribution at the outlet section of helical tube heat exchangers with different coil diameters. By analyzing Figure 29, it can be observed that as the coil diameter of the helical tube increases, the temperature distribution of the fluid at the same heating segment length position in each cross-section shows a trend of decreasing temperatures in both the inner high-temperature region and the outer low-temperature region. This results in a reduction in the overall temperature gradient of the helical tube, which tends to weaken the abnormal temperature stratification phenomenon in the pipe. At the same time, the temperature change trend of the pipe wall at the observation cross-section shows a slight increase in the temperature of the inner high-temperature region, while the temperature of the outer low-temperature region remains unchanged. Overall, this results in an increase in the temperature gradient. Under these conditions, the heat transfer characteristics exhibit a potential trend of further deterioration, which may be detrimental to the stability of the downstream wall.
To further investigate the mechanism by which changes in the coil diameter affect the performance of helical tube heat exchangers, it is necessary to continue studying the velocity and density distributions of the fluid at the observation cross-sections. Figure 30 and Figure 31, respectively, show the density distribution and velocity distribution at the outlet cross-sections of helical tubes with different coil diameters for supercritical CO2. From these figures, it can be observed that as the coil diameter of the helical tube increases, the velocity and density distribution in the inner high-temperature region of the pipe remain almost unchanged, while the density in the outer low-temperature region on the right side increases, and the velocity in this region decreases. At this point, the overall mass flow rate distribution within the pipe remains almost unchanged, but a significant density gradient forms from the low-temperature side to the high-temperature side due to the increased centrifugal force. This significant density gradient leads to the formation of secondary flow vortices, which simultaneously reduce the thickness of the thermal boundary layer and enhance heat transfer.
For a helical tube heat exchanger with a coil diameter of 333 mm, the cross-section at a heating segment length of 4396 mm is located in the midstream position of the pipe, which raises questions about the practicality of the conclusion. As shown in Figure 32, by observing the temperature distribution at the outlet cross-sections of helical tubes with different coil diameters, it can be seen that when the coil diameter increases, the heating segment length also increases, leading to a greater temperature gradient in the fluid domain at the outlet cross-section and an increase in the non-uniform heat transfer region.

3.4.3. Influence of Thermal Conductivity on Heat Transfer Characteristics

This section primarily investigates the impact of changes in the thermal conductivity of the helical tube on the heat transfer characteristics of supercritical CO2 in the helical tube heat exchanger. The boundary conditions selected for the spiral tube heat exchanger studied in this section are the same as those in Table 1, and only the structural parameter K of the pipe thermal conductivity is changed. As shown in Figure 33, by examining the changes in the average inner wall temperature (Tiav) and the average heat transfer coefficient (hiav) along the flow direction in helical tube heat exchangers with different pitches, it can be analyzed that the thermal conductivity of the pipe has a minimal effect on the heat transfer coefficient of the inner wall surface. The inner wall temperature of the helical tube heat exchanger with higher thermal conductivity is lower. Through theoretical analysis, it can be understood that the primary reason for this phenomenon is that changes in the thermal conductivity of the helical tube do not affect the operating parameters of the pipe. The inlet velocity, operating pressure, and heat flux density remain unchanged. Higher thermal conductivity pipes require less heat transfer capacity from the fluid, resulting in slightly lower wall temperatures in heat exchangers with higher thermal conductivity.
Figure 34 shows the temperature distribution at the outlet cross-sections of helical tube heat exchangers with different pitches. From the figure, it can be observed that, despite the unchanged thermal capacity of the pipe, the non-uniform heat transfer phenomenon downstream of the heat exchanger is reduced. This is mainly because when the thermal conductivity of the pipe increases, the temperature in the inner high-temperature region of the outlet cross-section of the spiral pipe decreases, while the temperature in the outer low-temperature region remains almost unchanged. This indicates that the increased thermal conductivity of the spiral tube heat exchanger reduces the demand for heat transfer capacity from the fluid.
Figure 35 and Figure 36, respectively, show the density distribution and velocity distribution at the outlet cross-sections of helical tubes with different thermal conductivities for supercritical CO2. From these figures, it can be observed that when the thermal conductivity of the helical tube heat exchanger’s pipe wall increases, the velocity of the fluid within the pipe does not change, and the flow distribution of the fluid also remains unchanged. Therefore, changes in the thermal conductivity of the pipe do not affect the heat transfer capability of the heat exchanger. However, due to the smaller temperature gradient on the inner wall of the helical tube with higher thermal conductivity, the natural convection phenomenon within the pipe is weakened, which reduces the effects of buoyancy and centrifugal force. This further suppresses the non-uniform heat transfer phenomenon in the helical tube heat exchanger.

3.5. Performance Prediction of Helical Tube Heat Exchangers

The Nusselt number (Nu) is a critical dimensionless number in heat transfer used to characterize the intensity of convective heat transfer processes. In the previous sections, we have thoroughly investigated the effects of various parameters, including operating parameters, pipe parameters, buoyancy, and centrifugal forces, on the heat transfer characteristics of supercritical CO2 in helical tube heat exchangers. To better understand and quantitatively analyze the heat transfer characteristics of supercritical CO2 in these exchangers, and to predict their performance during the design phase, it is essential to develop a more comprehensive correlation for the Nusselt number.
In existing studies, the correlations for the Nusselt number in helical tube heat exchangers containing supercritical CO2 have several limitations:
  • The curvature of the helical tube has not been considered.
  • The pitch of the helical tube has not been considered.
  • Buoyancy forces have not been considered.
To address these issues, we have performed extensive numerical simulations and re-fitted the Nusselt number correlation. The final expression for the Nusselt number (Nu) correlation, considering the curvature, pitch, and buoyancy forces, is given by the following equation:
N u = 0.0233 Re 0.855 Pr 0.4 δ 0.003 ρ w ρ s 0.56 c ¯ p c p = 0 0.32 F u 0.037
To validate the effectiveness of the Nusselt number (Nu) correlation established in this study, it is necessary to compare the calculated values from the correlation with the simulated values. The results of this comparison are shown in Figure 37.
As shown in Figure 37, most of the calculated values from the Nusselt number (Nu) correlation fall within the error margin of 20% compared to the simulated values. This demonstrates the effectiveness and reliability of the proposed heat transfer correlation. With this correlation, the performance of helical tube heat exchangers can be predicted at the design stage, providing valuable guidance for practical engineering applications.

4. Conclusions

This study primarily investigates the basic heat transfer characteristics of supercritical CO2 in helical tube heat exchangers and the effects of operating parameters and pipe parameters on the overall heat transfer performance. It proposes a buoyancy factor and a buoyancy criterion based on the unique structure of helical tubes and fits a Nusselt number (Nu) correlation with an error margin of less than 20%. The main conclusions drawn from this study are as follows:
  • In the upstream section of the helical tube, the heat transfer is enhanced due to buoyancy and centrifugal forces acting on the supercritical CO2. As the fluid moves downstream, the buoyancy force weakens, and the flow is dominated by centrifugal force. In the downstream section, the outer side of the pipe experiences higher flow velocities, leading to a low-temperature region, while the inner side has lower flow velocities, forming a high-temperature region. This results in an increase in wall temperature and a decrease in heat transfer, ultimately leading to a region of deteriorated heat transfer.
  • Increasing the operating pressure and inlet velocity enhances the heat transfer capability of the helical tube heat exchanger. An increase in inlet velocity also improves heat transfer efficiency and reduces temperature stratification in the downstream section. An increase in heat flux density slightly enhances the heat transfer capability but significantly reduces heat transfer efficiency, leading to more severe temperature stratification in the downstream section. Changes in pipe parameters (such as thermal conductivity and pitch) have a minor impact on heat transfer capability and efficiency. Increasing thermal conductivity and pitch reduces buoyancy and centrifugal forces, mitigating temperature stratification. Increasing the coil diameter enhances centrifugal forces, similarly reducing temperature stratification.
  • Based on extensive numerical simulation results, a buoyancy criterion suitable for helical tube heat exchangers has been established. A new heat transfer correlation has been developed, incorporating the buoyancy factor (Fu), changes in the thermophysical properties of CO2, and the unique geometric structure of helical tubes. The fitted correlation has an error margin of less than 20%, making it suitable for predicting the heat transfer performance of supercritical CO2 in helical tube heat exchangers. This correlation provides a theoretical basis for the design of helical tube heat exchangers.
  • Finally, although this paper has made a detailed study of the heat transfer characteristics of supercritical carbon dioxide in the spiral tube heat exchanger, due to the complexity of its heat transfer process and the particularity of the supercritical heat transfer medium, the study of its heat transfer characteristics will never end. In the future, we plan to conduct more in-depth research from the following aspects:
  • In the part of the study on the influence of various parameter changes on heat exchange characteristics, this paper only studied the influence of a single parameter change on its heat exchange characteristics. In the future, multiple parameters can be changed at the same time to analyze the coupling effect of multiple parameters on the heat exchange characteristics of spiral tube heat exchanger so as to make the research conclusion more complete.
  • For supercritical fluid, phase transition exists in its pseudo-critical region, and physical properties will undergo drastic changes, which may produce a large number of secondary flow vortices, which have favorable effects on heat transfer and pipeline stability. Therefore, the study of pseudo-critical region needs to be more detailed.

Summary

Heat Transfer Mechanisms:
Buoyancy and centrifugal forces play significant roles in the heat transfer characteristics of supercritical CO2 in helical tube heat exchangers.
The upstream section benefits from enhanced heat transfer due to these forces, while the downstream section faces challenges such as temperature stratification and heat transfer deterioration.
Operating Parameters:
Increasing operating pressure and inlet velocity improves heat transfer performance and reduces temperature stratification.
Higher heat flux density enhances heat transfer but reduces efficiency and increases temperature stratification.
Pipe Parameters:
Changes in thermal conductivity and pitch have minor effects on heat transfer but help to mitigate temperature stratification.
Increasing the coil diameter enhances centrifugal forces, further reducing temperature stratification.
New Correlation:
The proposed Nusselt number correlation, validated with numerical simulations, accurately predicts the heat transfer performance of supercritical CO2 in helical tube heat exchangers.
This correlation serves as a valuable tool for the design and optimization of helical tube heat exchangers, providing a solid theoretical foundation for practical engineering applications.

Author Contributions

Conceptualization, J.C.; Methodology, J.C.; Software, W.W. and H.J.; Validation, W.W.; Data curation, W.W. and J.Y.; Writing—original draft, W.W.; Project administration, J.G. and D.X. All authors have read and agreed to the published version of the manuscript.

Funding

This research funded by the National Natural Science Foundation of China (Grant No. 52476027) and the 2022 Heilongjiang Province’s “Emission and carbon neutrality” open competition mechanism to select the best candidates project (adsorption-type compression of carbon dioxide energy storage key technology research and demonstration: 2022ZXJ09C01). We would like to thank all those who reviewed and contributed to this paper for their valuable assistance.

Data Availability Statement

Data will be made available on request.

Conflicts of Interest

The authors declare that they have no known competing financial interests or personal relationships that could have appeared to influence the work reported in this paper.

References

  1. Lu, Y.N. Study on Non-Uniform Heat Transfer Characteristics of Supercritical Carbon Dioxide in Helical Tubes; Northeast Elecric Power University: Jilin, China, 2022. [Google Scholar] [CrossRef]
  2. Bringer, R.P.; Smith, J.M. Heat transfer in the critical region. AIChE J. 1957, 3, 49–55. [Google Scholar] [CrossRef]
  3. Hall, W.B. Heat transfer near the critical point. Adv. Heat Transf. 1971, 7, 1–86. [Google Scholar]
  4. Bourke, P.J.; Pulling, D.J.; Gill, L.E.; Denton, W.H. Forced convective heat transfer to turbulent CO2 in the supercritical region. Int. J. Heat Mass Transf. 1970, 13, 1339–1348. [Google Scholar] [CrossRef]
  5. Dang, C.B.; Hihara, E. In-tube cooling heat transfer of supercritical carbon dioxide, part 1: Experimental measurement. Int. J. Refrig. 2004, 27, 736–747. [Google Scholar] [CrossRef]
  6. Dang, C.B.; Hihara, E. In-tube cooling heat transfer of supercritical carbon dioxide, part 2: Comparison of numerical calculation with different turbulence models. Int. J. Refrig. 2004, 27, 748–760. [Google Scholar] [CrossRef]
  7. Lee, S.H.; Howell, J.R. Turbulent developing convective heat transfer in a tube for fluids near the critical point. Int. J. Heat Mass Transf. 1998, 41, 1205–1218. [Google Scholar] [CrossRef]
  8. Wang, J.; Guan, Z.; Gurgenci, H.; Veeraragavan, A.; Kang, X.; Sun, Y.; Hooman, K. Numerical study on cooling heat transfer of turbulent supercritical CO2 in large horizontal tubes. Int. J. Heat Mass Transf. 2018, 126, 1002–1019. [Google Scholar] [CrossRef]
  9. Zhang, S.; Xu, X.; Liu, C.; Zhang, Y.; Dang, C. The buoyancy force and flow acceleration effects of supercritical CO2 on the turbulent heat transfer characteristics in heated vertical helically coiled tubes. Int. J. Heat Mass Transf. 2018, 125, 274–289. [Google Scholar] [CrossRef]
  10. Wang, K.-Z.; Xu, X.-X.; Liu, C.; Bai, W.-J.; Dang, C.-B. Experimental and numerical investigation on heat transfer characteristics of supercritical CO2 in the cooled helically coiled tube. Int. J. Heat Mass Transf. 2017, 108, 1645–1655. [Google Scholar] [CrossRef]
  11. Liu, X.; Xu, X.; Liu, C.; Ye, J.; Li, H.; Bai, W.; Dang, C. Numerical study of the effect of buoyancy force and centrifugal force on heat transfer characteristics of supercritical CO2 in helically coiled tubes at various inclination angles. Appl. Therm. Eng. 2017, 116, 500–515. [Google Scholar] [CrossRef]
  12. Li, Y.; Sun, F.; Xie, G.; Sunden, B.; Qin, J. Numerical investigation on flow and thermal performance of supercritical CO2 in horizontal cylindrically concaved tubes. Appl. Therm. Eng. 2019, 153, 655–668. [Google Scholar] [CrossRef]
  13. Zhu, Y.; Huang, Y.; Lin, S.; Li, C.; Jiang, P. Study of convection heat transfer of CO2 at supercritical pressures during cooling in fluted tube-in-tube heat exchangers. Int. J. Refrig. 2019, 104, 161–170. [Google Scholar] [CrossRef]
  14. Hua, Z.; Wang, X.Y. Study on secondary flow heat transfer characteristics in helical tubes affected by secondary flow. J. Chongqing Univ. Technol. (Nat. Sci.) 2023, 04, 339–347. [Google Scholar]
  15. Mao, Y.; Guo, L.; Bai, B.; Zhang, X. Convective heat transfer in helical coils for constant-property and variable-property flows with high Reynolds numbers. Front. Energy Power Eng. China 2010, 4, 546–552. [Google Scholar] [CrossRef]
  16. Kang, A.F. Study on Flow and Heat Transfer Characteristics of Supercritical Nitrogen in Helical Tubes; Shanghai Jiao Tong University: Shanghai, China, 2012. [Google Scholar]
  17. Zhang, W.; Wang, S.; Li, C.; Xu, J. Mixed convective heat transfer of CO2 at supercritical pressures flowing upward through a vertical helically coiled tube. Appl. Therm. Eng. 2015, 88, 61–70. [Google Scholar] [CrossRef]
  18. Xu, J.; Yang, C.; Zhang, W.; Sun, D. Turbulent convective heat transfer of CO2 in a helical tube at near-critical pressure. Int. J. Heat Mass Transf. 2015, 80, 748–758. [Google Scholar] [CrossRef]
  19. Xu, X.X.; Wu, Y.Y.; Liu, C. Numerical simulation of heat transfer of supercritical CO2 in horizontal helical tubes. Acta Phys. Sin. 2015, 64, 258–264. [Google Scholar]
  20. Li, H.R.; Xu, X.X.; Liu, C.; Liu, X.X. Effect of flow direction on heat transfer in helical tubes with supercritical CO2. Acta Aeronaut. Astronaut. Sin. 2016, 37, 2123–2131. [Google Scholar]
  21. Ben Khedher, N.; Ghalambaz, M.; Alghawli, A.S.; Hajjar, A.; Sheremet, M.; Mehryan, S. Study of tree-shaped optimized fins in a heat sink filled by solid-solid nanocomposite phase change material. Int. Commun. Heat Mass Transf. 2022, 136, 106195. [Google Scholar] [CrossRef]
  22. Abed, A.M.; Mouziraji, H.R.; Bakhshi, J.; Dulaimi, A.; Mohammed, H.I.; Ibrahem, R.K.; Ben Khedher, N.; Yaïci, W.; Mahdi, J.M. Numerical analysis of the energy-storage performance of a PCM-based triplex-tube containment system equipped with arc-shaped fins. Front. Chem. 2022, 10, 1057196. [Google Scholar] [CrossRef]
  23. Ben Khedher, N.; Mehryan, S.; Medani, M.; Selim, M.M.; Elbashir, N.B.; Boujelbene, M. Enhancing the efficiency of a double tube heat exchanger via a novel vibrating woven wire turbulator combined with a helical coiled wire; an experimental study. Appl. Therm. Eng. 2024, 248, 123121. [Google Scholar] [CrossRef]
  24. Ben Khedher, N.; Hosseinzadeh, K.; Abed, A.M.; Khosravi, K.; Mahdi, J.M.; Sultan, H.S.; Mohammed, H.I.; Talebizadehsardari, P. Accelerated charging of PCM in coil heat exchangers via central return tube and inlet positioning: A 3D analysis. Int. Commun. Heat Mass Transf. 2024, 152, 107275. [Google Scholar] [CrossRef]
  25. Bai, W.; Zhang, S.; Li, H.; Xu, X. Effects of abnormal gravity on heat transfer of supercritical CO2 in heated helically coiled tube. Appl. Therm. Eng. 2019, 159, 113833. [Google Scholar] [CrossRef]
  26. Xu, W.Q. Liutex Vortex Identification Method and Transition Study of Flow Around Airfoils; Zhejiang Sci-Tech University: Hangzhou, China, 2020. [Google Scholar] [CrossRef]
  27. Tao, Z.; Li, L.; Zhu, J.; Hu, X.; Wang, L.; Qiu, L. Numerical investigation on flow and heat transfer characteristics of supercritical RP-3 in inclined pipes. Chin. J. Aeronaut. 2019, 32, 1885–1894. [Google Scholar] [CrossRef]
  28. Zhang, S.; Xu, X.; Liu, C.; Wu, C.; Sun, P.; Dang, C. Experimental investigation of the heat transfer behaviors of CO2, propane, and their binary non-azeotropic mixtures above critical pressure in helically coiled tubes. Appl. Therm. Eng. 2020, 180, 115842. [Google Scholar] [CrossRef]
Figure 1. Model of the helical tube heat exchanger and selection of observation points.
Figure 1. Model of the helical tube heat exchanger and selection of observation points.
Energies 17 05960 g001
Figure 2. Schematic illustration of meshing effectiveness.
Figure 2. Schematic illustration of meshing effectiveness.
Energies 17 05960 g002
Figure 3. Results of grid independence verification.
Figure 3. Results of grid independence verification.
Energies 17 05960 g003
Figure 4. Validation results of the turbulence model.
Figure 4. Validation results of the turbulence model.
Energies 17 05960 g004
Figure 5. Schematic of CO2 properties. (a) Density; (b) constant pressure specific heat capacity; (c) thermal conductivity; and (d) dynamic viscosity.
Figure 5. Schematic of CO2 properties. (a) Density; (b) constant pressure specific heat capacity; (c) thermal conductivity; and (d) dynamic viscosity.
Energies 17 05960 g005
Figure 6. Schematic diagram of Liutex method for processing shear vorticity at the boundary of vorticity field. (a) Liutex vortex identification; (b) conventional vortex identification.
Figure 6. Schematic diagram of Liutex method for processing shear vorticity at the boundary of vorticity field. (a) Liutex vortex identification; (b) conventional vortex identification.
Energies 17 05960 g006
Figure 7. Variation of wall temperature, heat flux density, and heat transfer coefficient in the helical tube. (a) Changes in the Twi; (b) changes in the qi; (c) changes in the hi.
Figure 7. Variation of wall temperature, heat flux density, and heat transfer coefficient in the helical tube. (a) Changes in the Twi; (b) changes in the qi; (c) changes in the hi.
Energies 17 05960 g007
Figure 8. Distribution of vorticity in the upstream, midstream, and downstream regions.
Figure 8. Distribution of vorticity in the upstream, midstream, and downstream regions.
Energies 17 05960 g008
Figure 9. Variation of Liutex distribution. (a) Schematic diagram of the upstream section; (b) schematic diagram of the downstream section.
Figure 9. Variation of Liutex distribution. (a) Schematic diagram of the upstream section; (b) schematic diagram of the downstream section.
Energies 17 05960 g009
Figure 10. Impact of secondary flow intensity on heat transfer.
Figure 10. Impact of secondary flow intensity on heat transfer.
Energies 17 05960 g010
Figure 11. Variation of helical tube wall parameters with operating pressure.
Figure 11. Variation of helical tube wall parameters with operating pressure.
Energies 17 05960 g011
Figure 12. Distribution of wall temperature at the outlet section of the helical tube.
Figure 12. Distribution of wall temperature at the outlet section of the helical tube.
Energies 17 05960 g012
Figure 13. Distribution of fluid velocity at the outlet section of the helical tube.
Figure 13. Distribution of fluid velocity at the outlet section of the helical tube.
Energies 17 05960 g013
Figure 14. Distribution of fluid density at the outlet section of the helical tube.
Figure 14. Distribution of fluid density at the outlet section of the helical tube.
Energies 17 05960 g014
Figure 15. Variation of helical tube wall parameters with inlet velocity.
Figure 15. Variation of helical tube wall parameters with inlet velocity.
Energies 17 05960 g015
Figure 16. Distribution of wall temperature of the helical tube with inlet velocity changes.
Figure 16. Distribution of wall temperature of the helical tube with inlet velocity changes.
Energies 17 05960 g016
Figure 17. Distribution of fluid velocity in the helical tube with inlet velocity changes.
Figure 17. Distribution of fluid velocity in the helical tube with inlet velocity changes.
Energies 17 05960 g017
Figure 18. Distribution of fluid density in the helical tube with inlet velocity changes.
Figure 18. Distribution of fluid density in the helical tube with inlet velocity changes.
Energies 17 05960 g018
Figure 19. Variation of helical tube wall parameters with heat flux density changes.
Figure 19. Variation of helical tube wall parameters with heat flux density changes.
Energies 17 05960 g019
Figure 20. Distribution of wall temperature of the helical tube with heat flux density changes.
Figure 20. Distribution of wall temperature of the helical tube with heat flux density changes.
Energies 17 05960 g020
Figure 21. Distribution of fluid velocity in the helical tube with heat flux density changes.
Figure 21. Distribution of fluid velocity in the helical tube with heat flux density changes.
Energies 17 05960 g021
Figure 22. Distribution of fluid density in the helical tube with heat flux density changes.
Figure 22. Distribution of fluid density in the helical tube with heat flux density changes.
Energies 17 05960 g022
Figure 23. Relationship between Fu and Ri*.
Figure 23. Relationship between Fu and Ri*.
Energies 17 05960 g023
Figure 24. Variation of Fu along the flow direction.
Figure 24. Variation of Fu along the flow direction.
Energies 17 05960 g024
Figure 25. Variation of helical tube wall parameters with changes in pipe pitch.
Figure 25. Variation of helical tube wall parameters with changes in pipe pitch.
Energies 17 05960 g025
Figure 26. Distribution of fluid density in helical tubes with different pitches.
Figure 26. Distribution of fluid density in helical tubes with different pitches.
Energies 17 05960 g026
Figure 27. Distribution of fluid velocity in helical tubes with different pitches.
Figure 27. Distribution of fluid velocity in helical tubes with different pitches.
Energies 17 05960 g027
Figure 28. Variation of helical tube wall parameters with changes in coil diameter.
Figure 28. Variation of helical tube wall parameters with changes in coil diameter.
Energies 17 05960 g028
Figure 29. Distribution of wall temperature in helical tubes with different coil diameters.
Figure 29. Distribution of wall temperature in helical tubes with different coil diameters.
Energies 17 05960 g029
Figure 30. Distribution of fluid velocity in helical tubes with different coil diameters.
Figure 30. Distribution of fluid velocity in helical tubes with different coil diameters.
Energies 17 05960 g030
Figure 31. Distribution of fluid density in helical tubes with different coil diameters.
Figure 31. Distribution of fluid density in helical tubes with different coil diameters.
Energies 17 05960 g031
Figure 32. Distribution of fluid temperature at the outlet section of helical tubes with different coil diameters.
Figure 32. Distribution of fluid temperature at the outlet section of helical tubes with different coil diameters.
Energies 17 05960 g032
Figure 33. Variation of helical tube parameters with changes in thermal conductivity.
Figure 33. Variation of helical tube parameters with changes in thermal conductivity.
Energies 17 05960 g033
Figure 34. Distribution of wall temperature in helical tubes with different thermal conductivities.
Figure 34. Distribution of wall temperature in helical tubes with different thermal conductivities.
Energies 17 05960 g034
Figure 35. Distribution of fluid velocity in helical tubes with different thermal conductivities.
Figure 35. Distribution of fluid velocity in helical tubes with different thermal conductivities.
Energies 17 05960 g035
Figure 36. Distribution of fluid density in helical tubes with different thermal conductivities.
Figure 36. Distribution of fluid density in helical tubes with different thermal conductivities.
Energies 17 05960 g036
Figure 37. Accuracy evaluation of heat transfer correlation for Nusselt number.
Figure 37. Accuracy evaluation of heat transfer correlation for Nusselt number.
Energies 17 05960 g037
Table 1. Design parameters.
Table 1. Design parameters.
ParameterSymbolValue Unit
Structural ParametersOuter Diameterdo12mm
Inner Diameterdi9mm
Coil DiameterD283mm
PitchP32mm
Number of Turnsn6
Heating Section LengthL5338mm
Run
Parameter
Inlet TemperatureTin300K
Operating Pressurep9MPa
Heat Flux Densityq50KW/m2
Gravitational Accelerationg9.81m/s2
Table 2. Sub relaxation factor set value.
Table 2. Sub relaxation factor set value.
Under-Relaxation FactorSettingUnder-Relaxation FactorSetting
Pressure0.3Turbulent Kinetic Energy0.8
Density1Specific Dissipation Rate0.8
Body Force1Turbulent Viscosity1
Momentum0.7Energy1
Table 3. Helical tube structural parameters.
Table 3. Helical tube structural parameters.
CaseD/(mm)P/(mm)L/(mm)ndodi
12832253366129
22833253386129
32834253406129
Table 4. Helical Tube Structural Parameters.
Table 4. Helical Tube Structural Parameters.
CaseD/(mm)P/(mm)L/(mm)ndodi
12333243966129
22833253386129
33333262796129
Disclaimer/Publisher’s Note: The statements, opinions and data contained in all publications are solely those of the individual author(s) and contributor(s) and not of MDPI and/or the editor(s). MDPI and/or the editor(s) disclaim responsibility for any injury to people or property resulting from any ideas, methods, instructions or products referred to in the content.

Share and Cite

MDPI and ACS Style

Cheng, J.; Wang, W.; Yu, J.; Jiang, H.; Gao, J.; Xu, D. Research of Heat Transfer Characteristics of Supercritical CO2 in Spiral Tube Heat Exchangers. Energies 2024, 17, 5960. https://doi.org/10.3390/en17235960

AMA Style

Cheng J, Wang W, Yu J, Jiang H, Gao J, Xu D. Research of Heat Transfer Characteristics of Supercritical CO2 in Spiral Tube Heat Exchangers. Energies. 2024; 17(23):5960. https://doi.org/10.3390/en17235960

Chicago/Turabian Style

Cheng, Jian, Wendong Wang, Jianyang Yu, Huadong Jiang, Jianmin Gao, and Dan Xu. 2024. "Research of Heat Transfer Characteristics of Supercritical CO2 in Spiral Tube Heat Exchangers" Energies 17, no. 23: 5960. https://doi.org/10.3390/en17235960

APA Style

Cheng, J., Wang, W., Yu, J., Jiang, H., Gao, J., & Xu, D. (2024). Research of Heat Transfer Characteristics of Supercritical CO2 in Spiral Tube Heat Exchangers. Energies, 17(23), 5960. https://doi.org/10.3390/en17235960

Note that from the first issue of 2016, this journal uses article numbers instead of page numbers. See further details here.

Article Metrics

Back to TopTop