Abstract
Raising the efficiency of triple-junction cells such as (GaInP/GaInAs/Ge) is an important goal for designing high-concentration photovoltaic systems. This purpose can be achieved by facing cell obstacles and acting on their configurations to sustain under highly concentrated sunlight and high operating temperatures. In this paper, a prediction performance study of triple-junction solar cells with four types of structures is proposed under variable conditions. The results show that the series structure is well-validated with experimental data under standard test conditions and is presented against those under variable conditions. Then, the triple-junction cells are compared and discussed in terms of photovoltaic cell open circuit voltage, photovoltaic cell electrical efficiency, fill factor, and temperature coefficients. Consequently, the results show that the cells can be separated into two categories that are useful for Low Concentration Systems and High Concentration Systems. The Low Concentration Systems present high efficiency at 20 suns. For the High Concentration Systems, the Hybrid 2 type demonstrates an optimal efficiency of 38.48% at 118 suns with a high FF (0.873) and shows a lower temperature coefficient than the series type. So, Hybrid 2 presents a good candidate for high-concentration systems with a performance better than the conventional triple-junction cells.
1. Introduction
There has been a significant increase in energy consumption, in particular, in fossil fuels such as natural oil, natural gas, coal, etc. However, our planet has a finite amount of fossil resources based on an initial quantity, and this quantity is limited and does not allow for the durability of our system. So, solar energy presents a renewable, clean, and efficient source that is capable of holding human needs in large quantities in the long term. Sunlight energy can be converted into electricity by several advanced technologies, such as photovoltaic PV, which is primarily constructed of semiconductor materials.
Nowadays, the widely available semiconductor consists of a single PN junction. At this junction, only photons that have an energy equal to or greater than the material band gap energy (denoted Eg in ev) are capable of creating pairs of electrons–holes. The low efficiencies of single-junction solar cells explain the limited exploited solar spectrum. In the aim of exploiting the total incident sunlight, a multi-junction solar cell has been proposed with n number of PN junctions from different materials, stacked on top of each other. Thus, the popular triple-junction solar cell with a combination of (GaInP/GaInAs/Ge) absorbs the quasi-totality of the solar spectrum and has achieved over 40% efficiency since 2006 [1,2,3,4]. This technology has been motivated primarily for spatial applications and secondly for terrestrial requirements, which have been used on concentration photovoltaic (CPV) systems [5,6]. At present, the conventional triple-junction cells designed by a lattice matched structure of (GaInP/GaInAs/Ge) sub-cells on germanium substrate are produced by several companies [7,8,9].
As research progresses, photovoltaic (PV) cells are continually advancing toward higher performance levels by addressing multiple factors. These factors include the selection of materials, which significantly influence the efficiency and longevity of the cells. Additionally, the number of junctions within the cells plays a crucial role in improving energy conversion by enabling more efficient electron transport and reducing energy losses. The arrangement of the devices, such as the stacking of layers or the integration of different semiconductor materials, further enhances the overall performance. Innovations in these areas, as well as other optimization techniques, have led to significant strides in increasing the efficiency of PV cells in recent years [10,11,12,13]. Therefore, many scientists focus on advancing layers of architecture and materials. D. C. Law et al. [14] reported the preliminary results of two technical approaches; the first is the multi-junction cells on the new procedure of wafer-bonded and layers transferred epitaxial templates. The second is a metamorphic 1ev GaInAs sub-cells in conjunction with inverted growth. They used these techniques to achieve high efficiency, to reduce the cost of PV system components such as glass, encapsulation materials, and metal support structures, and to open the opening wide market areas for CPV systems.
R. R. King et al. [15] predicted the development of future multi-junction solar cell architectures by increasing the superimposed junctions up to six. They obtained optimal efficiency by using empirical models based on the electrical characteristics of solar cell materials. In the previous papers [14,15], they consider limited conditions, such as the variable solar spectrum, during day illumination, and concentration factors at a fixed operating temperature (25 °C). But none of them consider the temperature variation effect on the performance of multi-junction solar cells.
P. T. Chiu et al. [16] realized and performed an experimental evaluation of five junctions’ cells (2.2/1.7/1.4/1.05/0.73 eV) with an efficiency of 35.1% for 1 sun and AM 0. Here, “1 Sun” refers to the standard solar irradiance of 1000 watts per square meter (W/m2), representing the intensity of sunlight under ideal conditions at noon on a clear day. It is commonly used to test and compare the performance of solar panels. In their work, Chiu and colleagues employed a novel and expensive technology known as Semiconductor Wafer Bonding (SWB). They detailed the bonding process and presented the performance of the SWB cells under concentrated light conditions. However, the cells were found to withstand no more than 10 suns, making them unsuitable for high-concentration systems.
In the case of cell arrangement, it constitutes one of the main underlying factors limiting its efficiencies because the conventional triple-junction solar cell is based on serial sub-cell connections [7,17,18]. This allows many drawbacks, including the dependency of the tunnel junction, the lattice mismatching between materials band gap, and the current mismatching produced by the sub-cells [19,20] To minimize these obstacles, the challenge associated is the optimal arrangement choice under conditions of CPV systems. So, various solar cell structures have been cited in the literature [21,22]. T. W. Hsiech et al. [23] utilized a series-parallel solar cell arrangement with diverse bandgaps under different spectrum and concentration factors to improve the current matching restrictions. The performance results are compared to those of conventional triple cells. Y. Ahn et al. [24] presented a theoretical efficiency and the optimum band gap combination of a new structure called the Hybrid Connected Triple Junction (HCTJ) under high illumination at a fixed operating temperature. Unfortunately, these papers that consider the arrangement of solar cells are only developed by the theoretical method of Shockley.
So, the modeling of triple-junction cells requires an electrical model based on single- or/and double-diode equivalent circuits that describe J-V solar cell characteristics. In fact, many papers developed these electrical models for PN junction solar cells [24], but few of them treated the case of triple-junction solar cells [25].
In this work, two models are developed to predict the electrical performance produced by concentrator solar cells with varying concentration intensities and high temperatures. The models are applied to a comparative study of the single- and double-diode for four proposed solar cell structures, such as series, Hybrid 1, Hybrid 2, and parallel. The four TJC structures comprise the same materials (GaInP/GaInAs/Ge) and the same thickness. Then, the J-V and P-V characteristics are determined using MATLAB/Simulink software (version9.0.0.341360 (R2016a)) through the cells’ input parameters. The series structures are well-validated with experimental data under variable conditions of standard, high concentration, and temperatures. Then, the four TJC are compared and discussed in terms of open circuit voltage Voc, efficiency η, fill factor FF, and temperature coefficient. Based on the current results, a new structure will be adopted and can be indicated as a promising direction for further creation of the cell performance model. This paper is organized as follows: Section 1 provides the introduction, while Section 2 covers the modeling of single- and double-diode sub-cells. Section 3 discusses the development of various structures and electrical models. The implementation of triple-junction cells using MATLAB/Simulink is presented in Section 4. Section 5 presents the results and discussion. Finally, Section 6 concludes this paper with the main findings and observations.
2. Triple-Junction Cell Models
To examine the performance of different triple-junction cell structures, two electrical models are selected, which are based firstly on the single-diode model and secondly on the double-diode model for each sub-cell. The single-diode model, frequently referenced in photovoltaic literature, is chosen for its simplicity and capacity to capture the fundamental electrical characteristics of photovoltaic cells. However, under non-standard conditions such as high concentrations or elevated temperatures, the double-diode model proves superior, offering enhanced sensitivity to resistive and recombination losses that are significant in TJC systems. This model is particularly effective in representing efficiency trends in high-concentration environments, where the single-diode model often falls short due to its limited capacity to capture these losses.
2.1. Single-Diode Model of Triple-Junction Cell
The Ji-Vi and Pi-Vi characteristics of each junction of a triple-junction cell are determined by the single-diode model because it is the most used in the literature [26,27]. Figure 1 presents the equivalent single-diode circuit model of each sub-cell.
Figure 1.
The single-diode equivalent circuit sub-cell model.
Based on Figure 1 and by applying the Kirchhoff law, the sub-cell output current density is described by Equation (1):
The photocurrent density of the sub-cell is proportional to the absorbed concentration factor. It is defined by Equation (2):
where
The sub-cell diode current density is given by Equation (4) [28]:
The diode reverse current density of each sub-cell is highly dependent on the operating cell temperature. It is given by Equation (5) [29]:
where and γ are constants, and is the sub-cell diode ideality factor (typically between 1 and 2).
The sub-cell band gap energy is inversely proportional to the cell operating temperature. It is obtained by Equation (6) using the Varshni relation [30]:
where is the sub-cell band gap energy at 0 K, and , are constants parameters of Varshni.
When the sub-cell in a triple-junction cell is made from an alloy composition selected by the manufacturer (e.g., GaInP, GaInAs). The sub-cell band gap energy is expressed by Vergad’s law [31]:
where A1−xBx represents the semiconductors’ alloy composition, and Pi is an alloy-dependent parameter that accounts for the deviation from linear approximation.
The thermal voltage of the cell can be defined by Equation (8) [32]:
The sub-cell shunt current density Jsh,i is given by Equation (9):
Then, the sub-cell output current, resulting from Equations (1), (4) and (9), is given by Equation (10):
2.2. Double-Diode Model of Triple-Junction Cell
The single-diode model, although widely used in the photovoltaic literature for its simplicity, only captures the basic electrical characteristics of photovoltaic cells, making it suitable for standard test conditions (STCs). However, it is less accurate when modeling advanced structures like triple-junction cells (TJCs) under high concentration or elevated temperature conditions, where more complex phenomena such as recombination losses become more significant. To overcome these limitations, the double-diode model is often employed, as it introduces a second parallel diode that improves the model’s sensitivity to resistive and recombination losses, particularly in high-concentration environments.
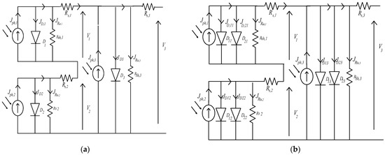
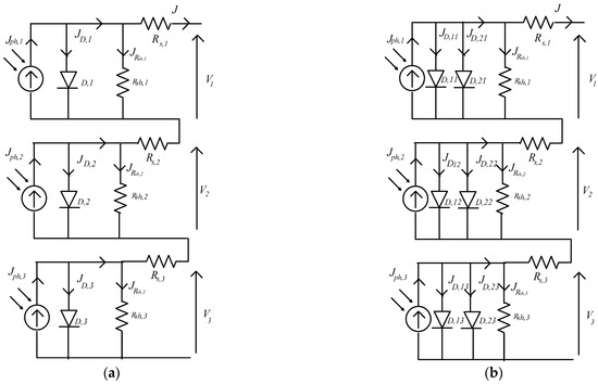
The double-diode model is particularly advantageous for TJCs because it provides a more detailed representation of the internal phenomena occurring in each sub-cell of the triple-junction structure. By adding a second diode, this model accounts for recombination in the space charge region, which is crucial for accurately capturing the behavior of these cells under varying conditions [33,34]. As illustrated in Figure 2 and by applying Kirchhoff’s law, the output current density for each sub-cell in the double-diode model is given by Equation (11):
Figure 2.
The double-diode equivalent circuit sub-cell model.
The double-diode current density can be written as [35]:
where the idealities factors n1 and n2 are fixed at values of 1 and 2, respectively.
The two-diode saturation current densities as a function of operating triple-junction cell temperature are given as follows [36,37]:
where and are constants.
Finally, the current density equation of each sub-cell of the triple-junction cell, resulting in Equations (9) and (11)–(13), is given by Equation (16):
3. Structures of Triple-Junction Cells
For comparison purposes, we have designed four types of triple-junction cells with different arrangements that are based on series, Hybrid 1, Hybrid 2, and parallel structure, as shown in Figure 3, Figure 4, Figure 5 and Figure 6, respectively.
Figure 3.
Schematic structure of a series TJC.
Figure 4.
Schematic structure of a Hybrid 1 TJC.
Figure 5.
Schematic structure of a Hybrid 2 TJC.
Figure 6.
Schematic structure of a parallel TJC.
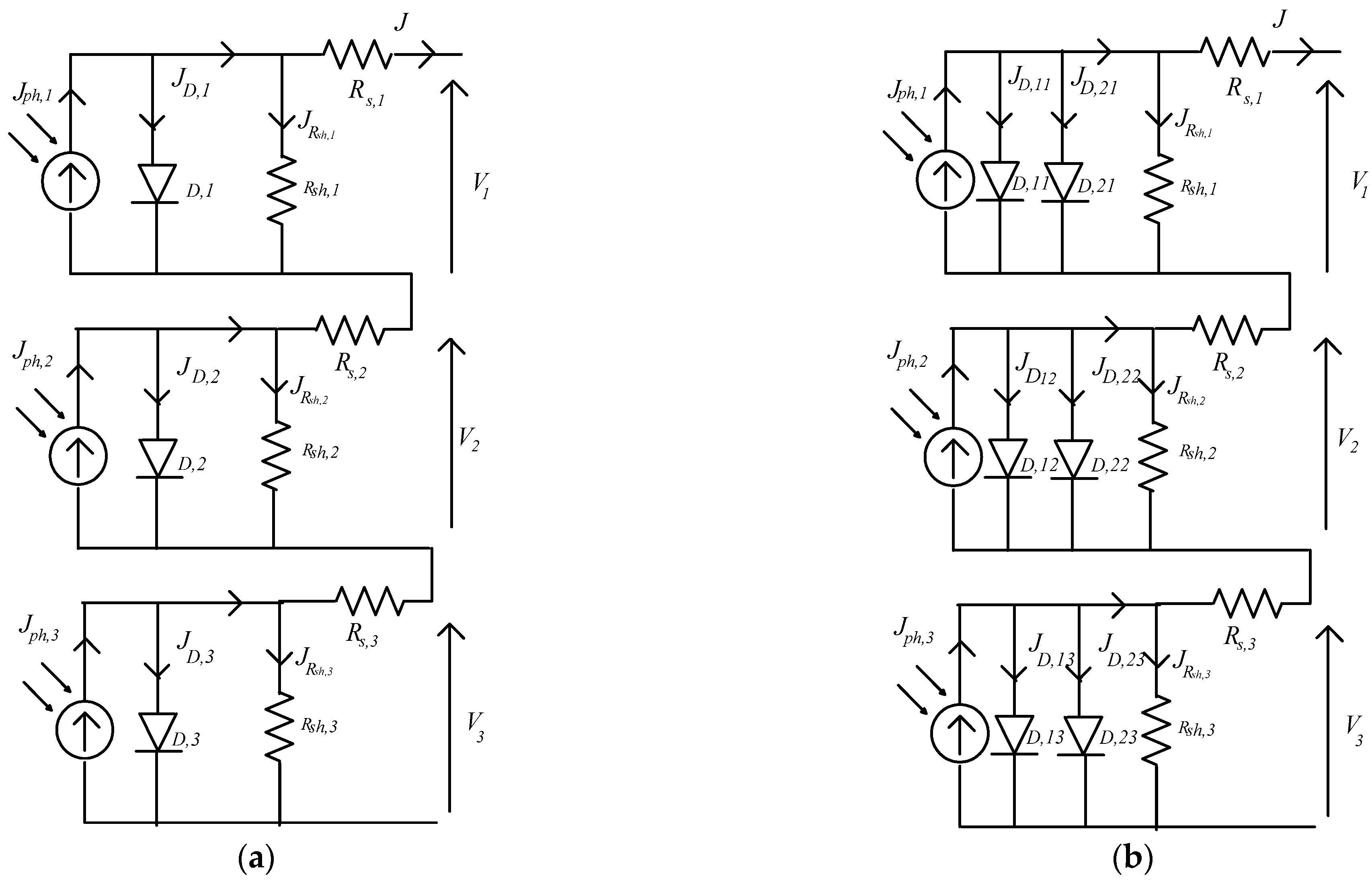
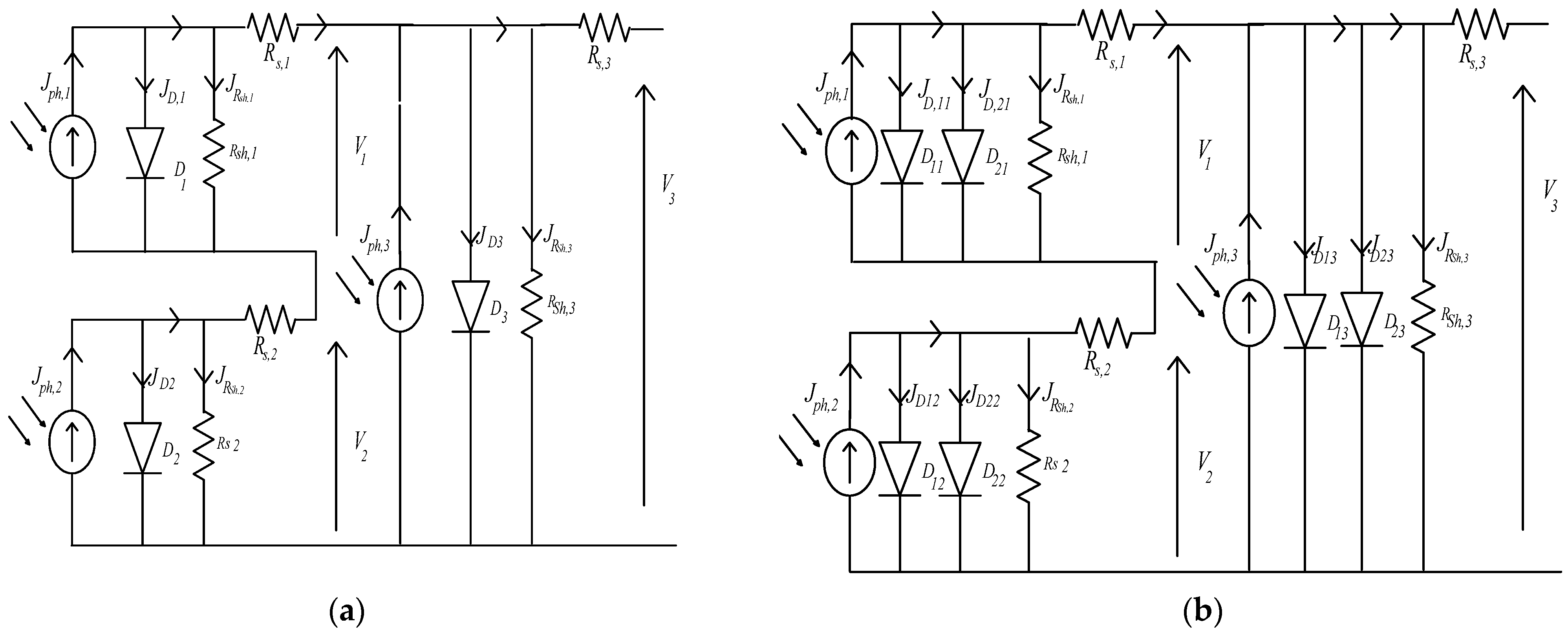
Therefore, each type is described by electrical models of single and double equivalent circuits in Figure 7, Figure 8, Figure 9 and Figure 10.
Figure 7.
Electrical equivalent circuits of a series TJC. (a) Single equivalent circuit of a series TJC; (b) double equivalent circuit of a series TJC.
Figure 8.
Electrical equivalent circuits of a Hybrid 1 TJC. (a) Single equivalent circuit of a Hybrid 1 TJC; (b) double equivalent circuit of a Hybrid 1 TJC.
Figure 9.
Electrical equivalent circuits of a Hybrid 2 TJC. (a) Single equivalent circuit of a Hybrid 2 TJC; (b) double equivalent circuit of a Hybrid 2 TJC.
Figure 10.
Electrical equivalent circuits of a parallel TJC. (a) Single equivalent circuit of a parallel TJC; (b) double equivalent circuit of a parallel TJC.
The first type of triple-junction cell denoted “series” is presented in Figure 3 and described by the single and double equivalent circuit, as shown in Figure 7, respectively. The series TJC consists of a series of connected sub-cells in order to obtain high conversion efficiency. Each layer is separated by a special junction called a tunnel junction. From experiment [18], this series structure presents a conventional type of TJC that is composed of three sub-cells (In0.49Ga0.51P/In0.01Ga0.99As/Ge) with a matching lattice. Two tunnel junctions consist of p-AlGaAs/n-InGaP, and p-GaAs/n-GaAs placed between InGaP/InGaAs and InGaAs/Ge, respectively, which are modeled by series resistors as part of .
The second type defined as “Hybrid 1” is composed of series and parallel sub-cells, which are presented in Figure 4. In this structure, the top sub-cell (InGaAs) is electrically connected in parallel to the middle (InGaP) and the bottom (Ge) sub-cells by changing the current matching to voltage matching and the replacement of the tunnel junction to a simple transparent layer. Thus, only one tunnel junction is presented for the carrier path through the middle and bottom sub-cells. Two Transparent Conducting Oxide (TCO) layers for the electrode between the (InGaAs) and (InGaP) sub-cells are separated by a transparent insulating layer. Figure 8 presents the electrical circuit of this structure.
The third type defined as “hybrid 2” is also established by series and parallel sub-cells, which are presented in Figure 5, and electrically modeled by single- and double-diode models, as shown in Figure 9. The arrangement indicates that the bottom sub-cell (Ge) is electrically connected in parallel to the middle (InGaP) and the top (InGaAs) sub-cells. In this case, the junction replacement was inverse to that affected in Hybrid 1.
The fourth type is considered a parallel junction, as presented in Figure 6. The sub-cells are laterally aligned to eliminate the requirement of current matching. In this structure, tunnel junctions are replaced by simple, transparent conducting layers, and the voltage matching rule is followed. In two TCO layers, transparent insulating layers are placed to be electrically isolated from each other, each receiving a certain part of the solar spectrum. Consequently, this structure is electrically modeled by three parallel circuits as illustrated in Figure 10.
4. Implantation of Triple-Junction Cells on MATLAB/ Simulink
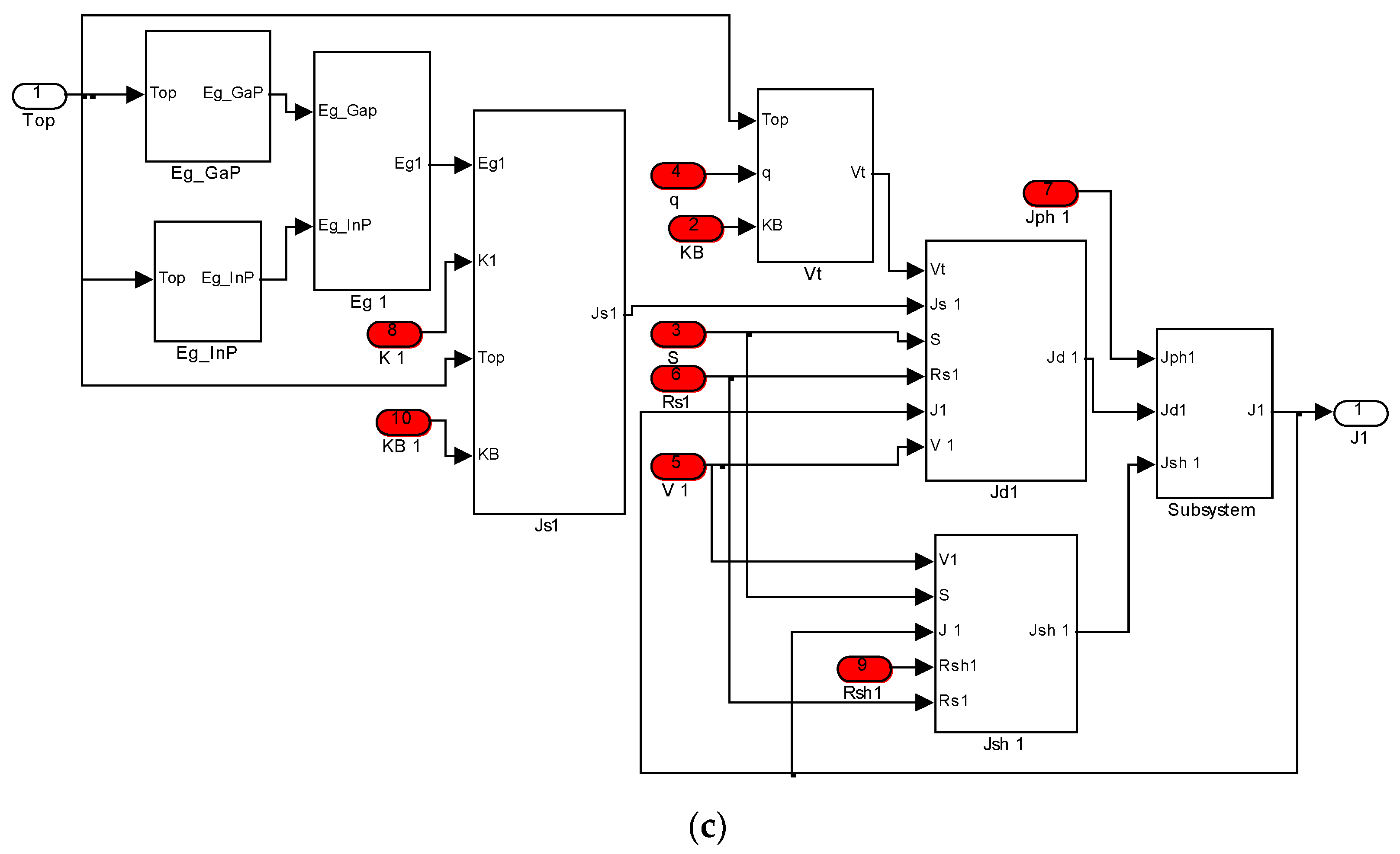
The behavior of different structures of triple-junction cells under various conditions, such as concentration factors and a high temperature, were investigated and compared. MATLAB/Simulink are accurate and accessible simulation research tools based on modeling and providing consistent results with a simple structure such as a single-junction solar cell [37,38]. They are suited for investigating triple-junction cell structures. Thus, we created numerical simulation models for the four types of triple-junction cells based on the theories and equations cited in the previous section. The Simulink models considered single- and double-diode equivalent circuits.
To keep consistency with the reference publication, the values of standard test conditions (STCs) of conventional triple-junction cells are considered where 1 sun, temperature, and spectral irradiance are defined, respectively, at 1 KW/m2, 25 °C, and AM = 1.5. The main parameters of triple-junction cell for single- and double-diode models are indicated in Table 1.
Table 1.
Cell input parameters.
The TJC structures with single- and double-diode models have been implanted in Simulink to generate the J-V and P-V electrical characteristics at different values of STCs, concentration factors, and high temperatures. Founded on the simulation results, performance parameters can be determined in terms of open circuits voltages Voc, efficiencies η, fill factors FF, and temperature coefficients as a function of the variable conditions treated with the aim of investigating the behavior of TJC structures.
So, we have adopted from the available experimental data [17,18] the range of temperature and concentration factors, which are, respectively, 25 < T < 125 °C and 1 < C < 300.
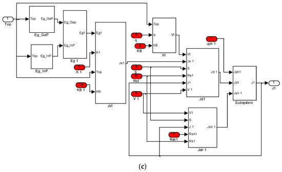
Figure 11 shows the Simulink model of the top sub-cell (GaInP) using a single diode. In particular, (a) the band gap energy Eg calculation, (b) the reverse saturation current density J1 calculation, and (c) the basic model of a (GaInP) sub-cell. This model presents one sub-system that can join the others to create a series TJC Simulink model.

Figure 11.
Simulink models of series TJC (GaInP) sub-cell with (a) Eg calculation, (b) J1 calculation, (c) basic model of (GaInP) sub-cell.
5. Results and Discussion
5.1. Single-Diode Model
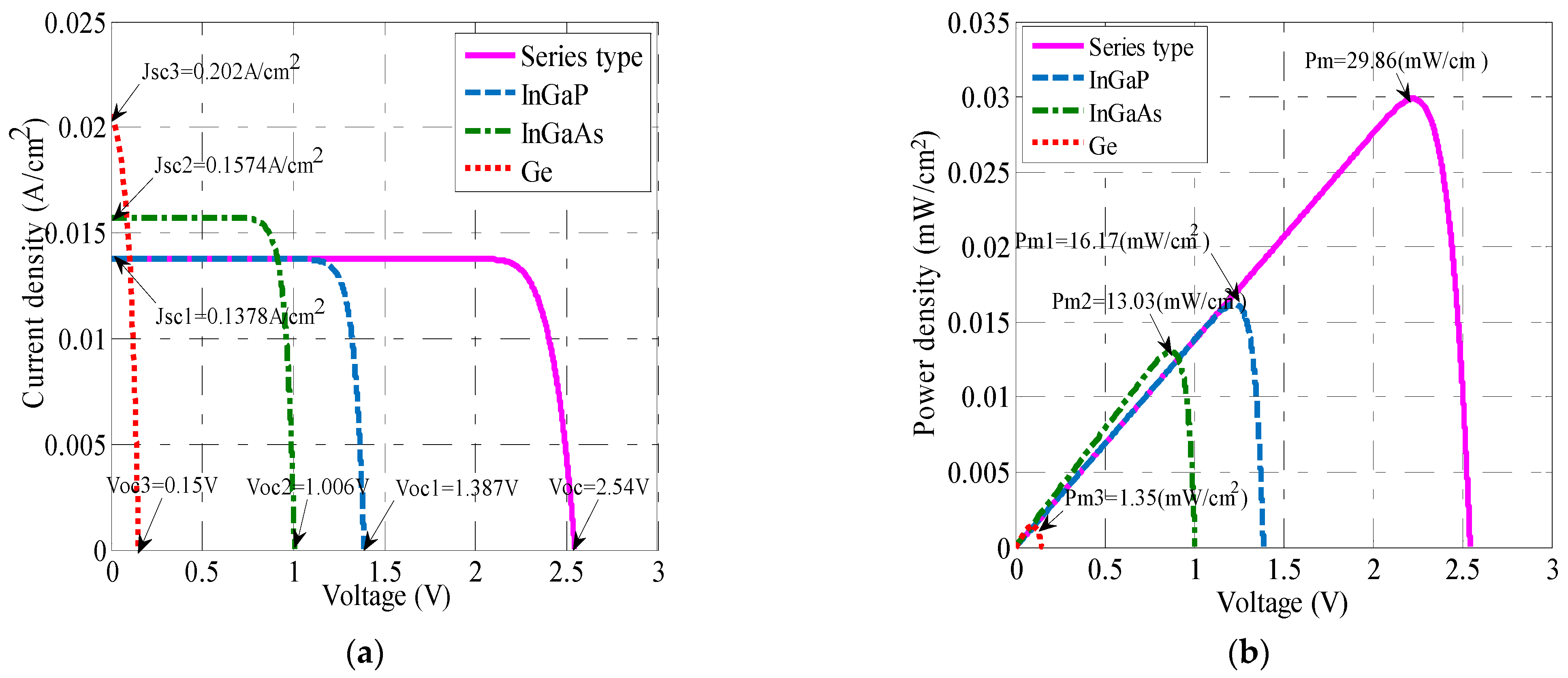
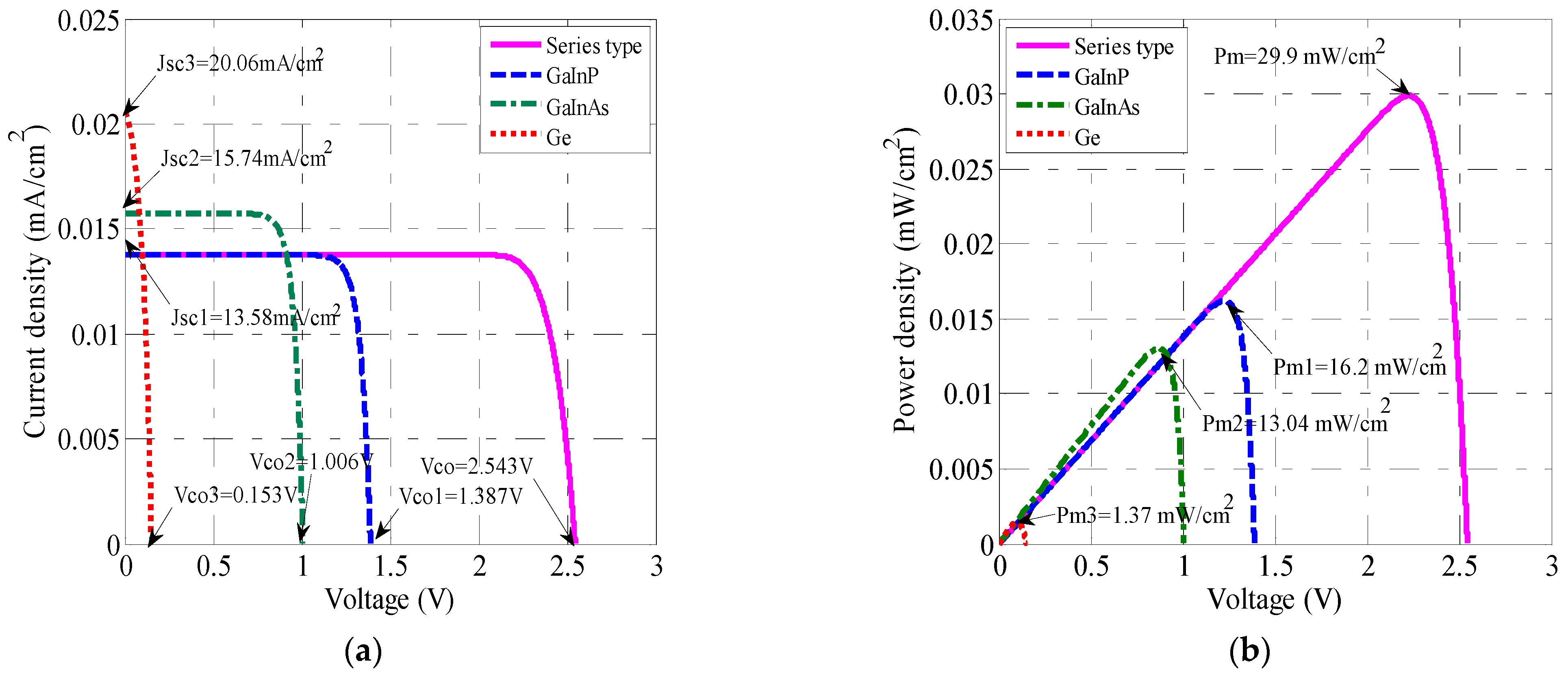
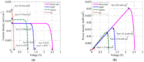
Based on Simulink models, we have plotted the current density–voltage (J-V) and the power density–voltage (P-V) characteristics of the series TJC under STCs. The numerical results are indicated below in Figure 12.
Figure 12.
Electrical characteristics of series TJC at STC (C = 1, T = 25 °C, and AM = 1.5). (a) J-V characteristics of series TJC and its sub-cells at STCs; (b) P-V characteristics of series TJC and its sub-cells at STCs; by using the single-diode model.
After obtaining the electrical characteristics, it was noted that the current density output due to the series connection is given by the minimum sub-cell current density (J = min (J1, J2, J3)). For the voltage output V, it is the sum of the sub-cell voltage (V ≈ V1 + V2 + V3).
In the aim of extracting and calculating the performance parameters from their J-V and P-V characteristics indicated in Figure 12, we defined these parameters by short circuit density output Jsc, open circuit voltage output Voc, fill factor FF, and cell efficiency η.
The fill factor FF is a parameter that indicates the quality of the solar cell. It is defined by the maximum power density Pm divided by the Voc and Jsc:
The efficiency cell η is defined using the following equation:
Therefore, the model of the series TJC is validated by an experimental study by [18] and cited in Table 2. The comparison study shows good correlations between our results and those found in the literature [18] in terms of Isc, Voc, FF, and η under STCs.
Table 2.
Performances parameters of series TJC–single-diode model.
5.1.1. Concentration Effect
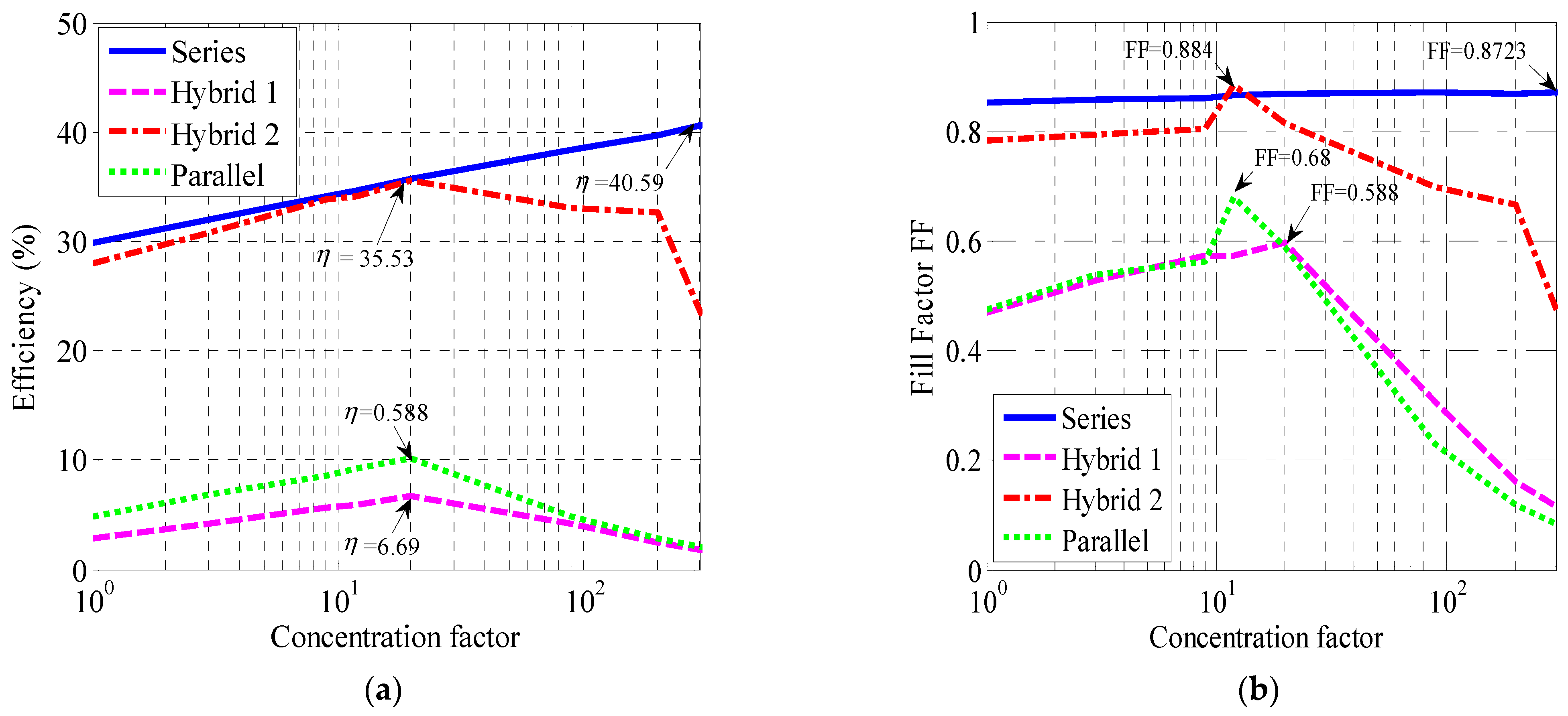
As presented in Equation (18), the performance parameters are strongly influenced by the concentration factors. Consequently, the J-V and P-V are affected by the illumination level. The effect of concentration factor variation from 1 to 300 suns is shown in Figure 13 for the series TJC and in Figure 14 and Figure 15 for different TJC structures.
Figure 13.
η prediction of series TJC against experimental data under variable concentration factors at T = 25 °C; by using the single-diode model.
Figure 14.
Performance parameters variation of different TJC structures under variable concentration factors at T = 25 °C: (a) efficiency η and (b) fill factor FF; by using the single-diode model.
Figure 15.
Voc prediction of series TJC against experimental data under variable temperatures at C = 1; by using the single-diode model.
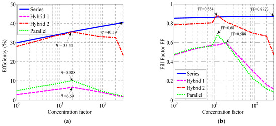
Figure 13 presents the variation of predicted electrical efficiency using a single-diode model compared with the experimental data [7,39] under variable concentration factors at a fixed temperature of 25 °C. We remarked that the predicted efficiency is higher and more perfect than the experimental data. The η of the series TJC increased linearly with the concentration factor and reached a maximal value of 40.59% at 300 suns compared to experimental data which achieved 36.44% and 38.78% for 206 and 210 suns, respectively. This can be explained by the logarithmic (weakly) and linear increase of Voc and Jsc correspondingly with the increase in concentration factors.
Figure 14a depicts the η of the predicted variations of different TJC structures under variable concentration factors at T = 25 °C using a single-diode model. We noticed that the TJC structures can be divided into two categories; the first is the TJC with high efficiency (series and Hybrid 1), and the second is the TJC with low efficiency (Hybrid 2 and parallel). We observed that the series TJC achieves the highest efficiency with a maximum suns number compared to the other TJC structures. This structure increased to a maximal value of 40.59% at 300 suns compared to Hybrid 1, Hybrid 2, and the parallel type, which achieved 6.69%, 35.53%, and 10.17% at 20 suns, respectively.
Figure 14b shows the FF-predicted variations of different TJC structures under variable concentration factors using a single-diode model. The series TJC obtained the higher FF with a maximum suns number compared to the other TJC structures. The series TJC increased to a maximal value of 0.87 at 300 suns compared to Hybrid 1, Hybrid 2, and parallel, which achieved 0.59, 0.68, and 0.58 at 20, 12, and 12 suns, respectively. We concluded that Hybrid 2 can hold a good performance under a high concentration factor, and its FF values are in the range of [0.6–0.8].
5.1.2. Operating Temperature Effect
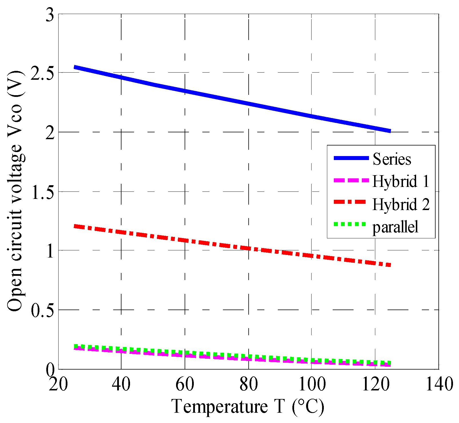
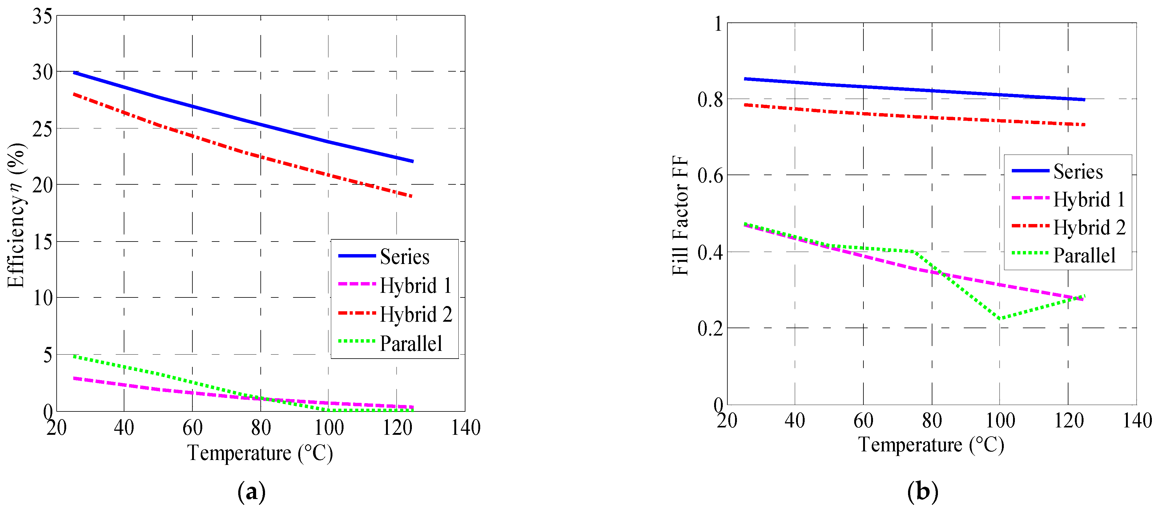
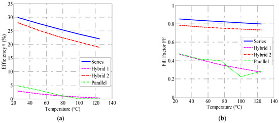
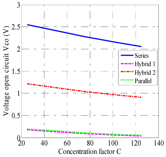
As we know, the operating temperature is considered an important factor that affects all kinds of solar cells. In our case, we remarked that the operating temperature of a TJC has a dominant effect on the J-V and P-V characteristics as well as their performances. From these results, firstly, we have plotted and compared the Voc predicted values of the series type against those of the experimental conditions [18], as presented in Figure 15. Secondly, we have determined the various parameters of the four types in terms of their open-circuit voltages Voc, cell efficiency η, and fill factors FF, as shown in Figure 16 and Figure 17.
Figure 16.
Voc variation of different TJC under variable temperatures at C = 1; by using the single-diode model.
Figure 17.
Performance parameters variation of different TJC structures under variable temperature at C = 1: (a) efficiency η and (b) fill factor FF; by using the single-diode model.
Figure 15 presents the variation of Voc predicted electrical open circuit voltage of conventional TJC (series type) using a single-diode model compared with the experimental data [18] under variable temperature at a concentration factor of 1 sun. We noted that the experimental and the predicted values of Voc have a linear decrease with an increase in cell operating temperature. Also, we considered that the Voc predicted values are nearly estimated for low operating temperatures (lower than 80 °C) and overestimated for high temperatures. We observed that the predicted Voc temperature coefficient dVoc/dt is −0.049 V/°C compared to the measured data 0.06 V/°C [18].
Figure 16 illustrates the Voc variation of different TJC structures under variable temperatures and at C = 1 using a single-diode model. We have observed that the Voc temperature coefficient of series TJC with operating cells temperature was higher than the other types. The voltage decreases with −5.4 × 10−3 V/°C compared to −1.4 × 10−3, −3.3 × 10−3, and −1.4 × 10−3 V/°C in Hybrid 1, Hybrid 2, and the parallel type, respectively.
Figure 17 shows the variation in the η and fill factors FF of different TJC structures as a function of their operating temperatures and at C = 1 using a single-diode model.
More explication is in the following:
- From Figure 17a, the increase in temperature has separated the structures into two categories as the effect of concentration factors. Therefore, the TJC with high performance decreased linearly in the range of [30–20%].
- From Figure 17b, the variation of FF decreased but it does not maintain 0.7. On the other hand, the TJCs with low performance presents poor efficiencies, which decreased less than 5%, and their FF shows a linear decrease in the range of [0.2, 0.5].
5.2. Double-Diode Model
After evaluating the single-diode model results of series TJCs, we have also investigated the variation of their electrical characteristics under STCs by using the double-diode model. The simulation results are presented in Figure 18.
Figure 18.
Electrical characteristics of series TJC at STCs (C = 1, T = 25 °C and AM = 1.5): (a) J–V characteristics of series TJC and its sub-cells at STCs; (b) P–V characteristics of series TJC and its sub-cells at STCs; by using the double-diode model.
In the aim of determining the performance parameters from their J-V and P-V characteristics indicated in Figure 18, the model of the series TJC was validated with the experimental study by [18] and cited in Table 3. The comparison study shows a good correlation between our results and those found in the literature [18] in terms of Isc, Voc, FF, and η under STCs.
Table 3.
Performances parameters of series TJC–double-diode model.
5.2.1. Concentration Effect
Figure 19 presents the predicted η variation of series TJC using a double-diode model compared with the experimental data [7] under variable concentration factors at a fixed temperature of 25 °C. We remarked that the predicted efficiency is under the limits of experimental variation [7]. Hence, the model overestimated the efficiency for low concentration (lower than 20). Then, it followed the experimental trend and reached a maximal value of 36.46% at 90 suns compared to experimental data which achieved 36.44% and 38.78% for 206 and 210 suns respectively, after that it decreased. This decrease is explained by power density losses (J2 × Rs) which increase rapidly with concentration intensities.
Figure 19.
η prediction of series TJC against experimental data under variable concentration factors at T = 25 °C; by using the double-diode model.
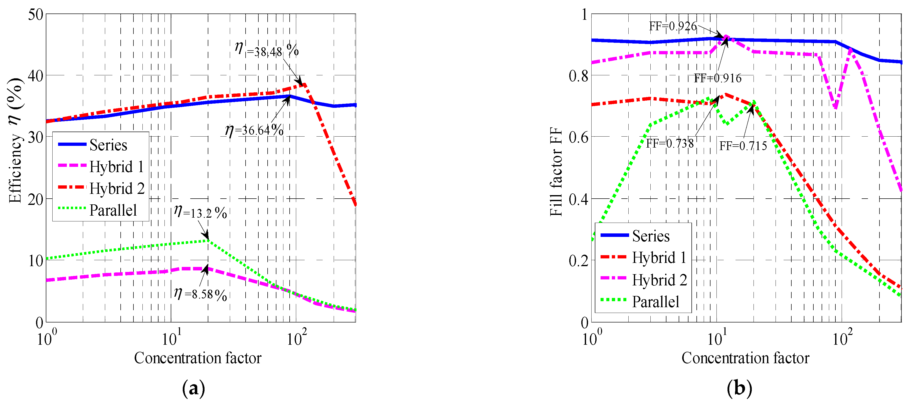
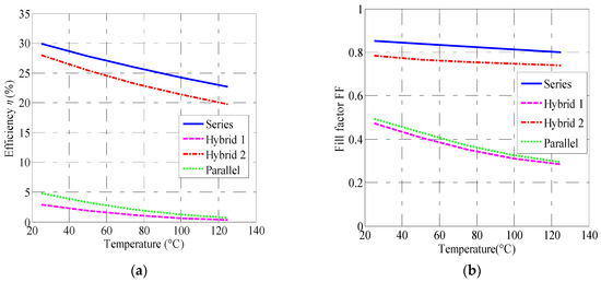
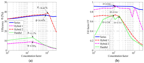
Figure 20a depicts the η predicted variations of different TJC structures under variable concentration factors using a double-diode model. As in the previous case of the single-diode model, we remarked that the TJC structures can be divided into two categories; the first is the TJC with high efficiency (series and Hybrid 1), and the second is the TJC with low efficiency (Hybrid 2 and parallel). In this model, we observed that the Hybrid 2 of the TJC obtained higher efficiency with a maximum suns number compared to the other TJC structures. This structure increased to a maximal value of 38.48% at 118 suns compared to the series, Hybrid 1, and parallel types, which achieved 36.64%, 13.2%, and 8.58% at 90, 20, and 20 suns, respectively.
Figure 20.
Performance parameters variation of different TJC structures under variable concentration factors at T = 25 °C: (a) efficiency η and (b) fill factor FF; by using the double-diode model.
Figure 20b shows the FF-predicted variations of different TJC structures under variable concentration factors using a double-diode model. The Hybrid 2 of the TJC obtains a higher FF with a maximum number of suns compared to the other TJC structures. The Hybrid 2 of the TJC increased to a maximal value of 0.926 at 12 suns compared to the series, Hybrid 1, and parallel types, which achieved 0.916, 0.738, and 0.715 at 12, 12, and 20 suns, respectively. As a result, we concluded from the second model that the Hybrid 2 can offer a high η under a high concentration factor, and its FF values are in the range of [0.6–0.8], which is an optimal performance quality.
5.2.2. Operating Temperature Effect
From the simulation results, we have first plotted and compared the Voc predicted values of the series type against those of the experimental conditions, as presented in Figure 21. Secondly, we have determined the various parameters of the four types in terms of their open-circuit voltage Voc, cell efficiency η, and fill factor FF, as shown in Figure 22 and Figure 23.
Figure 21.
Voc prediction of series TJC against experimental data under variable temperatures at C = 1; by using the double-diode model.
Figure 22.
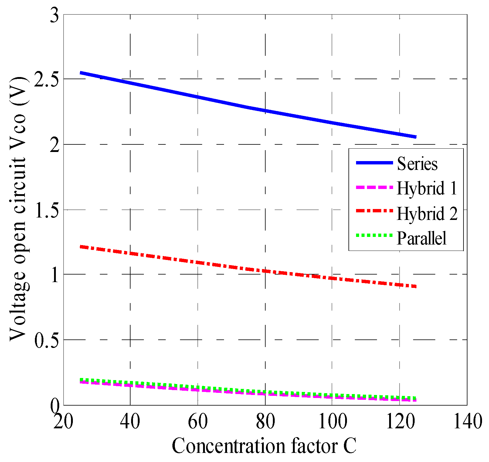
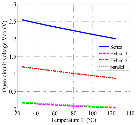
Voc variation of different TJC under variable temperatures at C = 1; by using the double-diode model.
Figure 23.
Performance parameters variation of different TJC structures under variable temperature at C = 1: (a) efficiency η and (b) fill factor FF; by using the double-diode model.
Figure 21 presents the variation in the predicted electrical open-circuit voltage Voc of the conventional TJC (series type) using a double-diode model compared with the experimental data [18] under variable temperature at a concentration factor of 1 sun. We noted that the experimental and the predicted values of Voc have a linear decrease with an increase in cell operating temperature. Also, we considered that the Voc predicted values are nearly estimated for low operating temperatures (lower than 80 °C) and overestimated for high temperatures. We observed that the predicted Voc temperature coefficient dVoc/dt is −0.055 V/°C compared to the −0.0049 V/°C calculated with the single-diode model (the measured datum is −0.06 V/°C [18]).
Figure 22 illustrates the Voc variation of different TJC structures under variable temperatures and at C = 1 using a double-diode model. We have observed that the Voc temperature coefficient of series TJC with operating cells temperature was higher than the other types. The voltage decreases with −5.4 × 10−3 V/°C compared to −1.4 × 10−3, −3.1 × 10−3, and −1.5 × 10−3 V/°C in Hybrid 1, Hybrid 2, and the parallel type, respectively.
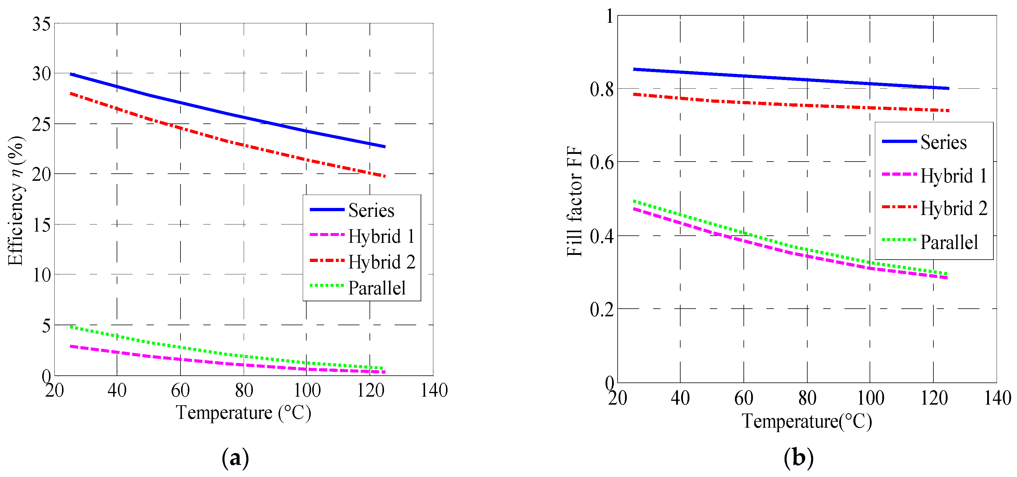
Figure 23 shows the variation of the η and fill factors FFs of different TJC structures as a function of their operating temperatures and at C = 1 using a double-diode model.
For Figure 23a, the predicted efficiency temperature coefficient of the series TJC is −0.072%/°C compared to −0.077%/°C by the single-diode model (the measured is 0.073%/°C [18]). Again, the trend in the double-diode model follows the trend in the single-diode model. The increase in temperature has separated the structures into two categories as the effect of concentration factors. Therefore, the TJC with high performance decreased linearly in the range of [30–20%].
For Figure 23b, the predicted FF temperature coefficient of type 1 is −0.00055/°C compared to −0.005/°C by the single-diode model (the measured is 0.0006/°C [19]). In the case of the high-performance TJC, the FF decreased, but it does not maintain 0.7. On the other hand, the TJCs with the low-performance TJC present poor efficiencies, which decreased less than 5%, and their FF shows a linear decrease in the range of [0.2, 0.5].
5.3. Comparison of Single- and Double-Diode Model Results
This study utilizes both single- and double-diode models to simulate the behavior of triple-junction cells (TJCs) in MATLAB Simulink, offering valuable insights into TJC performance under varying concentration factors and temperature conditions. Selecting the appropriate diode model is essential, as each model provides distinct advantages in terms of simplicity, accuracy, and computational efficiency, which facilitate effective simulations within the MATLAB/Simulink environment.
We developed equivalent circuit models for four TJC configurations using both single- and double-diode models, analyzing their electrical performance across different temperature and concentration intensities. To compare the impact of each model on TJC performance, Figure 24 illustrates the predicted efficiency of the series TJC under various concentration factors at a fixed temperature. This comparison highlights the double-diode model’s improved alignment with observed efficiency trends, especially at higher concentration levels where resistive losses are more pronounced.
Figure 24.
Efficiency prediction of series TJC under variable concentration factors.
As shown in Figure 24, the results from both models align well with experimental data trends [7]. However, the double-diode model demonstrates greater sensitivity, especially near the optimal concentration efficiency, and accurately reflects a decline in efficiency beyond 200 suns—a behavior not captured by the single-diode model. This decline is primarily due to a series of resistive losses, which represent cumulative power losses in the contact and neutral regions of the semiconductor.
In photovoltaic cell modeling, particularly for triple-junction cells (TJCs), the Shockley–Queisser limit defines a theoretical efficiency cap based on detailed balance principles for single-junction cells. Initially set at 33.7% under one sun illumination, this limit can be exceeded in multi-junction architectures like TJCs, where layered structures capture a broader range of the solar spectrum. However, surpassing this limit in practical applications relies on advanced material properties and quantum effects—such as photon absorption in photoactive layers—especially in designs incorporating quantum dots or plasmonic enhancements.
This study employs a simplified MATLAB Simulink model to simulate TJCs under varying concentration and temperature conditions. While effective for modeling general performance trends, this model does not incorporate quantum mechanical effects, limiting its ability to capture certain quantum efficiency characteristics seen in more complex designs. Consequently, while our model accurately reflects general trends, it does not account for phenomena such as photon recycling, multi-exciton generation, or photon management via plasmonic structures. These aspects represent potential areas for enhancement in future modeling efforts.
This context defines the current model’s limitations and places it within the Shockley–Queisser framework, highlighting its computational simplicity. The model is well-suited for studies under standard conditions, but it has limitations when applied to advanced photovoltaic architectures.
The observed lower efficiencies of the Hybrid 1 and parallel configurations, compared to the series and Hybrid 2 configurations in both the single- and double-diode models, can be attributed to several factors:
- Electrical Configuration Differences: The series and Hybrid 2 configurations allow for efficient current matching across the sub-cells, optimizing energy conversion. However, the Hybrid 1 and parallel configurations encounter current mismatches, especially in high-concentration scenarios, which leads to greater resistive losses and subsequently lower efficiencies.
- Temperature Coefficients: The series and Hybrid 2 configurations exhibit lower temperature coefficients for Voc, FF, and efficiency, which enables them to sustain higher performance under varying concentration and temperature conditions. By contrast, the Hybrid 1 and parallel configurations are more sensitive to temperature changes, resulting in performance degradation, particularly under high-concentration conditions.
- Limitations in Current Matching: Effective current balancing across sub-cells is crucial for maintaining high efficiency across different diode models. The series and Hybrid 2 configurations achieve this balance more effectively, while the Hybrid 1 and parallel configurations face inherent limitations in current matching, resulting in efficiency losses, as observed in Figure 14a and Figure 20a.
Moreover, the efficiency of conventional TJCs (series type) is highly dependent on the series resistance (Rs) of the solar cell, particularly under high-concentration intensities. Thus, the efficiency parameter can be expressed in relation to Rs, as shown in the following equation:
The calculated temperature coefficients of the series type are compared to the experimental parameters in Table 4. In both diode models, we remarked a good agreement between the predicted values and the experimental data [18] in terms of Voc, FF, and η, whereas the double-diode model results are close to the experimental values.
Table 4.
Series temperature coefficient: experiment and models.
Also, the temperature coefficients of the TJCs, such as Voc, FF, and η, are calculated using single- and double-diode models and compared in Table 4. In both diode models, we observed that all the temperature coefficients are converged. Moreover, we have remarked that dVoc/dT and dη/dT have a similar dependency. This can be explained by the approximation shown in Equation (20):
However, it should be noted that this approximation may not be valid with an increase in concentration factors due to the strong decrease in dVoc/dT, as discussed in the literature.
As can be seen from Table 5, the Hybrid 2 type has lower temperature coefficients in terms of Voc, FF, and η than the series type. Therefore, we concluded that this type can be a good candidate for triple-junction cells under a high variation in operating temperature. We also encourage elaborating on this type because the Hybrid 2 type demonstrates optimal efficiency under a high concentration factor with a high quality of performance (fill factor).
Table 5.
TJC temperature coefficients: single- and double-diode models.
In this study, relative errors for performance parameters such as open-circuit voltage Voc, fill factor FF, and efficiency η were computed and compared to experimental results to validate the single- and double-diode models, as seen in Equation (21).
The low relative errors obtained (mostly below 5%), seen in Table 6, confirm the validity of the models, although larger discrepancies were observed under certain conditions, such as at high temperatures or extreme concentration factors. This analysis not only quantifies the robustness of the models but also highlights areas for improvement to better reflect cell performance under varying conditions.
Table 6.
Comparison of experimental and simulated values with relative errors.
However, while the relative errors provide a strong indication of model accuracy under standard and moderate conditions, they also point to certain limitations of the MATLAB/Simulink simulation method when applied to high-concentration environments. In these scenarios, resistive and recombination losses become significant, with the single-diode model underestimating power losses and the double-diode model offering limited accuracy under extreme thermal variations. Furthermore, the models do not fully account for complexities such as non-uniform current effects or rapid junction temperature increases, which restrict their ability to faithfully reflect TJC behavior in extreme conditions. Thus, while robust for low to moderate concentrations, these models require further refinement to enhance their applicability under high-concentration scenarios.
6. Conclusions
In this work, we presented single- and double-diode equivalent circuit models for four triple-junction cell structures—series, Hybrid 1, Hybrid 2, and parallel—under varying conditions of high concentration and high temperature. These structures, composed of identical materials with realistic parameters, were evaluated using both models. Validation of the series structure’s performance against experimental data [7,19,39] confirmed that both models yield consistent results, with the double-diode model offering slightly higher accuracy. Importantly, the results revealed that these configurations can be categorized into two performance groups: low efficiency (Hybrid 1 and parallel) and high efficiency (series and Hybrid 2). The low-efficiency group demonstrates relatively high efficiency at 20 suns, making these configurations suitable for low-concentration systems. In contrast, Hybrid 2 shows optimal performance, achieving an efficiency of 38.48% at 118 suns with a high fill factor (FF = 0.873) and lower temperature coefficients for Voc, FF, and efficiency η compared to the series type. This makes Hybrid 2 a strong candidate for high-concentration systems, with a performance surpassing that of the conventional series configuration.
Furthermore, our study observed that both Hybrid 2 and series configurations demonstrate superior efficiency, especially in high-concentration conditions, as illustrated in Figure 14 and Figure 20. While Hybrid 1 and parallel configurations may be effective in low-concentration applications, series and Hybrid 2 consistently deliver enhanced efficiency across both low- and high-concentration levels. This distinction provides valuable guidance for selecting configurations based on specific concentration requirements, with Hybrid 1 and parallel suited for low-concentration applications and series and Hybrid 2 performing well at higher concentrations.
Author Contributions
O.B.H.B.K.: methodology, original draft, conceptualization, editing—final draft, methodology, investigation, formal analysis; H.S.: project administration, visualization, writing—supervision, and editing. All authors have read and agreed to the published version of the manuscript.
Funding
This research received no external funding.
Data Availability Statement
The original contributions presented in the study are included in the article, further inquiries can be directed to the corresponding author.
Acknowledgments
This research project was supported by the Tunisian Ministry of Higher Education and Scientific Research under Grant LabEM—ESSTHSousse—LR11ES34—University of Sousse.
Conflicts of Interest
The authors declare no conflict of interest.
Nomenclature
| C | Concentration factor |
| TJC | Triple-junction cell |
| i | Sub-cell number |
| Eg | Band gap energy (ev) |
| FF | Fill factor |
| G | Incident flux irradiance on the cell area (W/cm2) |
| Gref | Reference flux irradiance on the cell area (=10 W/cm2) |
| J | PV cell ouput current density (mA/cm2) |
| Jph | Photocurrent density (mA/cm2) |
| JD | Diode current density (mA/cm2) |
| Js | Diode reverse saturation current density (mA/cm2) |
| Jsc,ref | Short circuit current density of PV cell (mA/cm2) |
| Ji | Sub-cell current density (mA/cm2) |
| KB | Boltzmann constant (1.38 × 10−23 J/K) |
| S | PV cell area (cm2) |
| n | Diode ideality factor |
| Pm | Maximum power density (W/cm2) |
| Pi | Sub-cell power density (W/cm2) |
| Rs | Cell series resistor (Ω) |
| Rsh | Cell shunt resistor (Ω) |
| STCs | Standard test conditions |
| T | Cell operating temperature (K) |
| Tref | Cell temperature at STCs (=298.18 K) |
| V | PV cell output voltage (V) |
| Voc | PV cell open circuit voltage (V) |
| Vth | Thermal voltage of the cell (V) |
| Vi | Sub-cell voltage (V) |
| x | Suns number |
| q | Electronic charge |
| η | PV cell electrical efficiency (%) |
References
- Schygulla, P.; Müller, R.; Lackner, D.; Höhn, O.; Hauser, H.; Bläsi, B.; Predan, F.; Benick, J.; Hermle, M.; Glunz, S.W.; et al. Two-terminal III–V//Si triple-junction solar cell with power conversion efficiency of 35.9% at AM1.5g. Prog. Photovolt. Res. Appl. 2022, 30, 869–879. [Google Scholar] [CrossRef]
- Barrutia, L.; Garcia, I.; Barrigón, E.; Ochoa, M.; Lombardero, I.; Hinojosa, M.; Cano, P.; Bautista, J.; Cifuentes, L.; Rey-Stolle, I.; et al. Development of the Lattice Matched GaInP/GaInAs/Ge Triple Junction Solar Cell with an Efficiency Over 40%. In Proceedings of the 2018 12th Spanish Conference on Electron Devices (CDE), Salamanca, Spain, 14–16 November 2018; pp. 1–4. [Google Scholar] [CrossRef]
- King, R.R.; Law, D.C.; Edmondson, K.M.; Fetzer, C.M.; Kinsey, G.; Yoon, H.; Sherif, R.A.; Karam, N.H. 40% efficient metamorphic GaInP∕GaInAs∕Ge multijunction solar cells. Appl. Phys. Lett. 2007, 90, 183516. [Google Scholar] [CrossRef]
- Mousa, M.; Amer, F.Z.; Mubarak, R.I.; Saeed, A. Simulation of Optimized High-Current Tandem Solar-Cells With Efficiency Beyond 41%. IEEE Access 2021, 9, 49724–49737. [Google Scholar] [CrossRef]
- Gomez-San-Juan, A.M.; Cubas, J.; Pindado, S. On the Thermo-Electrical Modeling of Small Satellite’s Solar Panels. IEEE Trans. Aerosp. Electron. Syst. 2021, 57, 1672–1684. [Google Scholar] [CrossRef]
- Kuo, M.-T.; Lo, W.-Y. A Combination of concentrator photovoltaics and water cooling system to improve solar energy utilization. IEEE Trans. Ind. Appl. 2014, 50, 2818–2827. [Google Scholar] [CrossRef]
- Kinsey, G.S.; Edmondson, K.M. Spectral response and energy output of concentrator multijunction solar cells. Prog. Photovolt. Res. Appl. 2009, 17, 279–288. [Google Scholar] [CrossRef]
- Hassan, S. Four-Terminal Mechanically Stacked GaAs/Si Tandem Solar Cells; Univesity of Michigan: Ann Arbor, MI, USA, 2015; pp. 2–5. [Google Scholar]
- Essig, S.; Allebé, C.; Geisz, J.F.; Steiner, M.A.; Barraud, L.; Descoeudres, A.; Ward, J.S.; Schnabel, M.; Young, D.L.; Despeisse, M.; et al. Mechanically stacked 4-terminal III-V/Si tandem solar cells. In Proceedings of the 2017 IEEE 44th Photovoltaic Specialist Conference (PVSC), Washington, DC, USA, 25–30 June 2017; pp. 25–30. [Google Scholar]
- Wang, Y.; Wang, Y.; Gao, F.; Yang, D. Efficient Monolithic Perovskite/Silicon Tandem Photovoltaics. Energy Environ. Mater. 2023, 7, e12639. [Google Scholar] [CrossRef]
- France, R.M.; Geisz, J.F.; Garcia, I.; Steiner, M.A.; McMahon, W.E.; Friedman, D.J.; Moriarty, T.E.; Osterwald, C.; Ward, J.S.; Duda, A.; et al. Quadruple-Junction Inverted Metamorphic Concentrator Devices. IEEE J. Photovolt. 2015, 5, 432–437. [Google Scholar] [CrossRef]
- Dimroth, F.; Grave, M.; Beutel, P.; Fiedeler, U.; Karcher, C.; Tibbits, T.N.; Oliva, E.; Siefer, G.; Schachtner, M.; Wekkeli, A.; et al. Wafer bonded four-junction GaInP/GaAs//GaInAsP/GaInAs concentrator solar cells with 44.7% efficiency. Prog. Photovolt. Res. Appl. 2014, 22, 277–282. [Google Scholar] [CrossRef]
- Trupke, T.; Würfel, P. Improved spectral robustness of triple tandem solar cells by combined series/parallel interconnection. J. Appl. Phys. 2004, 96, 2347–2351. [Google Scholar] [CrossRef]
- Law, D.C.; King, R.; Yoon, H.; Archer, M.; Boca, A.; Fetzer, C.; Mesropian, S.; Isshiki, T.; Haddad, M.; Edmondson, K.; et al. Future technology pathways of terrestrial III–V multijunction solar cells for concentrator photovoltaic systems. Sol. Energy Mater. Sol. Cells 2010, 94, 1314–1318. [Google Scholar] [CrossRef]
- King, R.R.; Bhusari, D.; Larrabee, D.; Liu, X.; Rehder, E.; Edmondson, K.; Cotal, H.; Jones, R.K.; Ermer, J.H.; Fetzer, C.M.; et al. Solar cell generations over 40% efficiency. Prog. Photovolt. Res. Appl. 2012, 20, 801–815. [Google Scholar] [CrossRef]
- Chiu, P.T.; Law, D.C.; Woo, R.L.; Singer, S.B.; Bhusari, D.; Hong, W.D.; Zakaria, A.; Boisvert, J.; Mesropian, S.; King, R.R.; et al. Direct semiconductor bonded 5J cell for space and terrestrial applications. IEEE J. Photovolt. 2014, 4, 493–497. [Google Scholar] [CrossRef]
- Nishioka, K.; Takamoto, T.; Agui, T.; Kaneiwa, M.; Uraoka, Y.; Fuyuki, T. Evaluation of temperature characteristics of high-efficiency InGaP/InGaAs/Ge triple-junction solar cells under concentration. Sol. Energy Mater. Sol. Cells 2005, 85, 429–436. [Google Scholar] [CrossRef]
- Nishioka, K.; Takamoto, T.; Agui, T.; Kaneiwa, M.; Uraoka, Y.; Fuyuki, T. Annual output estimation of concentrator photovoltaic systems using high-efficiency InGaP/InGaAs/Ge triple-junction solar cells based on experimental solar cell’s characteristics and field-test meteorological data. Sol. Energy Mater. Sol. Cells 2006, 90, 57–67. [Google Scholar] [CrossRef]
- Paulauskas, T.; Pačebutas, V.; Strazdienė, V.; Geižutis, A.; Devenson, J.; Kamarauskas, M.; Skapas, M.; Kondrotas, R.; Drazdys, M.; Rudzikas, M.; et al. Performance assessment of a triple-junction solar cell with 1.0 eV GaAsBi absorber. Discov. Nano 2023, 18, 86. [Google Scholar] [CrossRef]
- Das, N.; Wongsodihardjo, H.; Islam, S. Modeling of multi-junction photovoltaic cell using MATLAB/Simulink to improve the conversion efficiency. Renew. Energy 2015, 74, 917–924. [Google Scholar] [CrossRef]
- Xing, Y.; Han, P.; Wang, S.; Fan, Y.; Liang, P.; Ye, Z.; Li, X.; Hu, S.; Lou, S.; Zhao, C.; et al. Performance analysis of vertical multi-junction solar cell with front surface diffusion for high concentration. Sol. Energy 2013, 94, 8–18. [Google Scholar] [CrossRef]
- Ahn, Y.; Kim, Y.-H.; Kim, S.-I. Detailed balance calculation of a novel triple-junction solar cell structure. IEEE J. Photovolt. 2013, 3, 1403–1408. [Google Scholar] [CrossRef]
- Hsieh, T.W.; Yu, P. Design optimization of series-parallel triple-junction solar cells. In Proceedings of the 2010 35th IEEE Photovoltaic Specialists Conference (PVSC), Honolulu, HI, USA, 20–25 June 2010; pp. 002924–002927. [Google Scholar]
- Hamza, M.; Kechiche, O.B.H.B.; Sammouda, H. Dependence of Novel Triple Junction Solar Cell Parameters on Cell’s Temperature. In Proceedings of the 2019 10th International Renewable Energy Congress (IREC), Sousse, Tunisia, 26–28 March 2019; pp. 1–6. [Google Scholar]
- Houssein, E.H.; Nassef, A.M.; Fathy, A.; Mahdy, M.A.; Rezk, H. Modified search and rescue optimization algorithm for identifying the optimal parameters of high efficiency triple-junction solar cell/module. Int. J. Energy Res. 2022, 46, 13961–13985. [Google Scholar] [CrossRef]
- Hamza, M.; Sammouda, H. Modeling and optimizing of non-imaging disc concentrator (NIDC) photovoltaic system performance under non-uniform illumination. Optik Int. J. Light Electron Opt. 2020, 203, 163906. [Google Scholar] [CrossRef]
- Vinod; Kumar, R.; Singh, S. Solar photovoltaic modeling and simulation: As a renewable energy solution. Energy Rep. 2018, 4, 701–712. [Google Scholar] [CrossRef]
- Bellia, H.; Youcef, R.; Fatima, M. A detailed modeling of photovoltaic module using MATLAB. NRIAG J. Astron. Geophys. 2014, 3, 53–61. [Google Scholar] [CrossRef]
- Richard, O.; Jaouad, A.; Bouzazi, B.; Arès, R.; Fafard, S.; Aimez, V. Simulation of a through cell via contacts architecture for HCPV multi-junction solar cells. Sol. Energy Mater. Sol. Cells 2016, 144, 173–180. [Google Scholar] [CrossRef]
- O’donnell, K.P.; Chen, X. Temperature dependence of semiconductor band gaps. Appl. Phys. Lett. 1991, 58, 2924–2926. [Google Scholar] [CrossRef]
- Nahory, R.E.; Pollack, M.A.; Johnston, W.D.; Barns, R.L. Band gap versus composition and demonstration of Vegard’s law for In 1−xGaxAsyP1−y lattice matched to InP. Appl. Phys. Lett. 1978, 33, 659–661. [Google Scholar] [CrossRef]
- Kechiche, O.B.H.B.; Hamza, M. Enhancement of a commercial PV module performance under Low Concentrated Photovoltaic (LCPV) conditions: A numerical study. Renew. Energy Focus 2022, 41, 258–267. [Google Scholar] [CrossRef]
- Yadav, D.; Singh, N.; Bhadoria, V.S.; Vita, V.; Fotis, G.; Tsampasis, E.G.; Maris, T.I. Analysis of the Factors Influencing the Performance of Single- and Multi-Diode PV Solar Modules. IEEE Access 2023, 11, 95507–95525. [Google Scholar] [CrossRef]
- Aidoud, M.; Feraga, C.-E.; Bechouat, M.; Sedraoui, M.; Kahla, S. Development of photovoltaic cell models using fundamental modeling approaches. Energy Procedia 2019, 162, 263–274. [Google Scholar] [CrossRef]
- Elbaset, A.A.; Ali, H.; Sattar, M.A.-E. Novel seven-parameter model for photovoltaic modules. Sol. Energy Mater. Sol. Cells 2014, 130, 442–455. [Google Scholar] [CrossRef]
- Lv, H.; Sheng, F.; Dai, J.; Liu, W.; Cheng, C.; Zhang, J. Temperature-dependent model of concentrator photovoltaic modules combining optical elements and III–V multi-junction solar cells. Sol. Energy 2015, 112, 351–360. [Google Scholar] [CrossRef]
- Badi, N.; Khasim, S.; Al-Ghamdi, S.A.; Alatawi, A.S.; Ignatiev, A. Accurate modeling and simulation of solar photovoltaic panels with simulink-MATLAB. J. Comput. Electron. 2021, 20, 974–983. [Google Scholar] [CrossRef]
- Premkumar, M.; Kumar, C.; Sowmya, R. Mathematical modelling of solar photovoltaic cell/panel/array based on the physical parameters from the manufacturer’s datasheet. Int. J. Renew. Energy Dev. 2020, 9, 7–22. [Google Scholar] [CrossRef]
- Kinsey, G.S.; Hebert, P.; Barbour, K.E.; Krut, D.D.; Cotal, H.L.; Sherif, R.A. Concentrator multijunction solar cell characteristics under variable intensity and temperature. Prog. Photovolt. Res. Appl. 2008, 16, 503–508. [Google Scholar] [CrossRef]
Disclaimer/Publisher’s Note: The statements, opinions and data contained in all publications are solely those of the individual author(s) and contributor(s) and not of MDPI and/or the editor(s). MDPI and/or the editor(s) disclaim responsibility for any injury to people or property resulting from any ideas, methods, instructions or products referred to in the content. |
© 2024 by the authors. Licensee MDPI, Basel, Switzerland. This article is an open access article distributed under the terms and conditions of the Creative Commons Attribution (CC BY) license (https://creativecommons.org/licenses/by/4.0/).
























