Next Article in Journal
Research and Application of Characteristic Curve Correction Method for Cascade Hydropower Stations Considering Runoff Inconsistency
Next Article in Special Issue
Performance Evaluation of a Combined Heat and Power Generation System with Borehole Thermal Energy Storage: A Feasibility Study of a Combined Heat Pump and Organic Rankine Cycle System
Previous Article in Journal
A Novel LCLC Parallel Resonant Circuit for High-Frequency Induction Heating Application
 
 
Font Type:
Arial Georgia Verdana
Font Size:
Aa Aa Aa
Line Spacing:
Column Width:
Background:
Article

Energy, Exergy, and Economic Performance Comparison and Parametric Optimization of Organic Rankine Cycles Using Isobutane, Isopentane, and Their Mixtures for Waste Heat Recovery

1
School of Environment and Energy Engineering, Anhui Jianzhu University, Hefei 230601, China
2
School of Metallurgy, Northeastern University, Shenyang 110819, China
*
Authors to whom correspondence should be addressed.
Energies 2024, 17(23), 5893; https://doi.org/10.3390/en17235893
Submission received: 4 October 2024 / Revised: 15 November 2024 / Accepted: 22 November 2024 / Published: 24 November 2024

Abstract

The possibility of applying the organic Rankine cycle (ORC) to further recycle the low-grade waste heat efficiently is studied in the present work. The energy, exergy, and economic models of the ORC system are established, and the isobutane, isopentane, and their mixtures are selected as the organic working mediums (OWMs). Due to the slip characteristics of mixed OWM, four operational conditions of the ORC system are proposed, and then the contrastive analysis of energy, exergy, and economic performances under the four operational conditions are conducted. Finally, the optimal mixture mass fraction and crucial parameters of the ORC system are separately determined through the bi-objective optimization. The results show that the ORC system using the mixed OWM can achieve a larger net power output and exergy efficiency by comparing the pure OWM when the condensing temperature is set as the saturated vapor temperature during the condensation process. The electricity production cost first rises and then decreases with the rising mass fraction of isobutane in mixed OWM, and the ORC system using the isopentane can achieve the smallest electricity production cost. By taking the low-grade flue gas of 433.15 K as the ORC heat source, four operational conditions have the same optimal ORC crucial parameters, namely the evaporating temperature of 393.15 K, condensing temperature of 308.15 K, and superheat degree of 0 K. The pure OWM of isobutane can achieve better overall performance by setting the condensing temperature as the saturated liquid temperature.

1. Introduction

Industrial waste heat recovery (WHR) can effectively improve energy efficiency, reduce greenhouse gas emissions, and play an important role in promoting sustainable development and resource recycling [1]. As the world’s largest steel producer and carbon emitter, China is also actively promoting the realization of the “dual carbon” goal [2]. Academician Yin pointed out that the carbon reduction potential of sinter WHR accounted for about 15% of the carbon reduction potential of total WHR in China’s steel enterprises [3]. At present, China’s iron and steel industry contains abundant sintering low-temperature waste heat resources, but the flue gas waste heat below 200 °C in the sinter waste heat recovery process will be directly discharged into the atmosphere, resulting in a low WHR rate [4]. Strengthening the WHR has been proven to be one of the critical ways for enhancing energy utilization efficiency, which is incorporated into the “14th Five-Year Plan for Industrial Green Development”. Therefore, improving the WHR rate of low-grade flue gas (LFG) has a far-reaching impact on realizing the green transformation of the steel industry and promoting resource recycling.
With the continuous improvement of energy efficiency and environmental protection requirements, novel technologies for power generation through WHR from LFG, such as the organic Rankine cycle (ORC) [5], trilateral flash cycle [6], and Karina cycle [7], have broad application prospects in the industrial field. Among them, the ORC has attracted considerable attention due to its simple structure, wide temperature adaptability, and the flexibility in configuring unit capacity [8,9,10,11,12]. In recent years, numerous experts, both domestically and internationally, have carried out extensive research on the ORC system for WHR, and the related research mainly focused on the selection of organic working medium (OWM), energy, exergy, and economic performance analysis, as well as the multi-objective optimization of ORC systems using pure OWM [13,14,15,16,17,18,19]. Wang et al. [13] employed exergy analysis to assess exergy destruction across various heat source temperatures and pure OWMs, discovering that those with higher vaporization latent heat, lower critical temperatures, and lower specific liquid heat were particularly well-suited for use in ORC systems. Fergani et al. [16] carried out the exergy, economic, and environmental analyses of the ORC system with three pure OWMs and performed the parameter optimization to achieve the system’s optimal operating conditions. Mohammadkhani and Yari [18] and Ping et al. [19] utilized a dual-loop ORC system to examine the temperature distributions and pinch point locations in heat exchangers and analyzed the influences of engine speed and other crucial parameters on the system performance under different pure OWMs. Furthermore, the ORC systems assisted with the Brayton cycle, heat pump, and Kalina cycle for the WHR under different pure OWMs were also investigated [20,21,22].
The mixed OWMs are created by blending two or more pure OWMs in different mass fractions, allowing for better thermal performance matching and thus improving the thermal efficiency of the system. With the continuous development of ORC power generation technology, researchers both domestically and internationally have begun to explore the use of OWMs in ORC power generation systems [23,24,25,26,27,28,29,30,31]. Among them, Li et al. [25] studied the combined cooling, heating, and power system using R245fa/R134a as the circulating OWM, and the performance coefficients of the mixed OWM reached 1.35 and 1.39 in the combined cooling and heating mode and the combined cooling, heating, and power mode, respectively, which were significantly higher than those of the pure OWM. Pang et al. [26] and Feng et al. [27] examined the energy, exergy, and economic performances of ORC systems that employed R245fa, R123, and their mixtures while also analyzing how different mass fractions influenced the performance of the system. Dong et al. [29] performed a comprehensive evaluation of the thermodynamic and economic performances of ORC systems using various pure OWMs and their zeotropic mixtures. Miao et al. [31] constructed an optimization index for the physical properties of OWMs coupled with cold and heat source boundary conditions and zeotropic mixtures, so as to avoid the heavy work caused by a large number of system performance calculations. Additionally, researchers have focused on the ORC power generation system using zeotropic mixed OWM, conducting relevant studies on mixture selection, performance analysis, and parameter optimization [32,33,34,35,36,37].
It can be inferred from the above literature that the flow rate and temperature of the heat source have a significant impact on the energy, exergy, and economic performance of the ORC system [38], resulting in considerable limitations in the applicability of previous research findings to the current ORC system. Moreover, the mixed OWM exhibits temperature glide characteristics during the evaporation and condensation processes. The state location selection of evaporating temperature (ET) and condensing temperature (CT) of OWM had four operational conditions, but the current research of the ORC system utilizing mixed OWM mainly set the saturated liquid temperature during the evaporation and condensation processes as the ET and CT of OWM without considering the saturated vapor temperature, and the effect of state location variation under four operational conditions on the system performance was not analyzed. At present, the ORC system driven by the LFG in the WHR process of sinter only focused on the study of pure OWMs [39,40,41]. To the authors’ knowledge, there have been no studies conducted on ORC systems utilizing mixed OWM for WHR from sintering processes.
In essence, the LFG in the WHR process of sinter is the air of 120–200 °C, and there is no dew point corrosion even if the flue gas temperature is lower, which can be used again for power generation. Therefore, the LFG emitted from the sinter waste heat boiler has been selected as the heat source for the ORC in this study, and four operational conditions of the ORC system using mixed OWM are determined by considering the state location variation of ET and CT of OWM. In addition, then, the energy, exergy, and economic models of the ORC system under four operational conditions are established, and the effects of mixture mass fraction and ORC crucial parameters on the energy, exergy, and economic performances under four operational conditions are analyzed and compared. Finally, the optimal mixture mass fraction and key ORC parameters under the four operational conditions are identified through bi-objective optimization, using exergy and economic performance as the evaluation indexes. The above investigation results have very important guiding significance for using ORC to carry out the WHR of LFG efficiently in the steel industry.

2. System Modeling

2.1. System Description

The ORC power generation system consists of an evaporator, a condenser, an expander, and a working fluid pump, as shown in Figure 1. The OWM absorbs heat in the evaporator to become superheated vapor, which performs work in the expander, then the exhaust vapor is cooled into a liquid in the condenser, and after being pressurized by the working fluid pump, it is sent back to the evaporator, completing the cycle. In the order of 5–1–2–4–5, the ORC system will realize the recovery of low-temperature flue gas and the generation of electricity.
The temperature entropy (T-s) diagrams of the subcritical ORC system with pure OWM and zeotropic mixed OWM are shown in Figure 2a,b, the red and blue lines represent the LFG and cooling water, respectively, and each state point in the figure corresponds to the inlet and outlet positions in Figure 1. As can be seen in Figure 2, the ORC system is composed of four thermal processes: constant pressure heating process (5–1), adiabatic expansion process (1–2), constant pressure cooling process (2–4), and adiabatic pressurization process (4–5). In addition, the process (1–2 s) represents the isentropic expansion of the OWM within the expander, while the process (4–5 s) corresponds to the isentropic compression of the OWM in the pump. Due to the irreversible losses present in both the expander and the pump, the isentropic efficiency of the expander (ηe) and the isentropic efficiency of the pump (ηp) have been predefined. When the superheat degree (SD) of the OWM (ΔTsup) is zero, the OWM at the outlet of the evaporator is in a saturated vapor state. Furthermore, the temperature difference between point 10 and point 6 (ΔT6-10) represents the minimum heat exchanging temperature difference in the evaporator, while the temperature difference between point 3 and point 13 (ΔT3-13) indicates the minimum heat exchanging temperature difference in the condenser.
As can be seen in Figure 2a, the evaporation process and condensation process of pure OWM are isothermal, and in order to avoid crossover of temperature distribution in the heat transfer process, it is necessary to apply a limit on the temperature difference between the pinch points, resulting in the temperature difference between the cold and hot ends of the heat exchanger being limited. The zeotropic mixed OWM exhibits a temperature glide phenomenon during the phase change process, which can improve the heat transfer matching between the hot and cold fluids on both sides of the heat exchanger, thereby reducing the irreversibility losses in the heat transfer process, as shown in Figure 2b.
It is due to that the saturated liquid temperature of the ORC system using mixed OWM is not the same as the saturated vapor temperature during the evaporation and condensation processes, which leads to the ORC system using mixed OWM having four operational conditions due to various state locations of ET (Teva) and CT (Tcon), which are shown in Figure 3.
As shown in Figure 3, Condition 1 is that the ET and CT of the OWM correspond to the saturated liquid temperatures during the evaporation and condensation processes, respectively. Condition 2 is that the ET of OWM is the saturated vapor temperature during the evaporation process, and the CT of OWM is the saturated liquid temperature during the condensation process. Condition 3 is that the ET of OWM is the saturated liquid temperature during the evaporation process, and the CT of OWM is the saturated vapor temperature during the condensation process. Condition 4 is that the ET and CT of OWM are the saturated vapor temperatures during the evaporation and condensation processes, respectively. Furthermore, due to the effect of slip temperature of mixed OWM, the energy, exergy, and economic performances of the ORC system under four operational conditions are also entirely different for the given ORC crucial parameters.

2.2. Energy and Exergy Models

The calculation of the heat exchange quantity (Qeva) in the evaporator of the ORC system utilizing both pure and mixed OWMs is presented as follows.
Q eva = m f h 1 h 5 = m g h 8 h 11
The practical power output in the expander (We) is determined below.
W e = m f h 1 h 2 = m f h 1 h 2 s η e
where h2s is the specific enthalpy of OWM at condensing pressure after isentropic expansion.
OWM releases heat to the cooling water, and the calculation of the condensing heat release of the ORC system (Qcon) is as follows.
Q con = m f h 2 h 4 = m w h 14 h 12
The practical power consumption in the pump (Wp) is determined below.
W p = m f h 5 h 4 = m f h 5 s h 4 / η p
where h4s is the specific enthalpy of OWM at evaporating pressure after isentropic compression.
In accordance with the first and second laws of thermodynamics [41], the net power output (Wnet) and system exergy efficiency (ηex) of the ORC system can be determined below.
W net = W e W p
η ex = W net m g c g T 8 T 11 T 0 ln T 8 T 11 × 100 %
where T8 and T11 are the inlet and outlet temperatures of LFG, respectively.

2.3. Determination of Heat Exchanging Area

The total heat exchange area (THA) of the ORC system encompasses the heat exchange areas of both the evaporator and the condenser. Taking the evaporator preheating process (Apreh) as an example, the heat exchange area is calculated as follows [42].
Q preh = m f h 6 h 5
Δ T m , preh = T 11 T 5 T 10 T 6 ln T 11 T 5 T 10 T 6
A preh = Q preh U preh Δ T m , preh
where ΔTm,preh is the logarithmic mean temperature difference (LMTD) in the preheating process, and Upreh is the overall heat transfer coefficient of OWM with the heat source.
The heat exchange area for the evaporation process and the superheating process is calculated in the same way as above.
A evap = Q evap U evap Δ T m , evap
A suph = Q suph U suph Δ T m , suph
The THA in the evaporator (Aeva) is determined below.
A eva = A preh + A evap + A suph
Based on the findings from previous literature [42,43], the total heat transfer coefficients for the preheating, evaporating, and superheating processes are shown in Table 1.
The heat exchange areas for the precooling and condensing processes in the condenser are also calculated below.
A prec = Q prec U prec Δ T m , prec
A cond = Q cond U cond Δ T m , cond
The THA in the condenser (Acon) is determined below.
A con = A prec + A cond
The overall heat transfer coefficients for both the precooling and condensing processes are also presented in Table 1, according to Ref. [42].
According to the above calculation results of Aeva and Acon, the THA of the ORC system (Atot) is calculated below.
A tot = A eva + A con

2.4. Economic Model

The electricity production cost (EPC) is the whole investment cost (WIC) of Wnet of 1 kWh [44], which is one of the most important indicators of economic performance. Therefore, this study chooses to use EPC to evaluate the economic performance of the ORC system.
The WIC of the whole system includes the investment cost of the evaporator, condenser, expander, and pump, and the investment amount of each component equipment of the system is calculated as follows [45].
lg C b , i = K 1 + K 2 lg Z + K 3 lg Z 2
where Cb,i is the calculated investment cost of each component on the basis of dollar value at 1996. K1, K2, and K3 represent the coefficients for each component, with their values provided in Table 2 [30,45]. Z represents the heat exchange area for the heat exchanger, the expansion power for the expander, and the power consumption for the pump.
Based on the material and pressure conditions of each component, the investment cost for each component must be adjusted, and the revised investment cost of each component (Ci) is calculated below.
lg F p , i = C 1 + C 2 lg P + C 3 lg P 2
C i = C b , i F bm = C b , i B 1 + B 2 F m F p , i
where Fp,i is the pressure correction factor. C1, C2 and C3 are the coefficients of each component. P is the average pressure at the inlet and outlet of the corresponding component. Ci is the corrected investment cost of each component. For the expander, Fbm is a constant value, while B1, B2, and Fm represent the coefficients for each component, with their respective values shown in Table 2 [30,45].
In conclusion, the equation for calculating the WIC (Ctot,1996) is determined below.
C tot , 1996 = C i
Based on the time value of money, the WIC from 1996 needs to be adjusted to reflect the WIC of 2021, and the calculation formula for Ctot,2021 is as follows.
C tot , 2021 = C tot , 1996 C E P C I 2021 C E P C I 1996
where CEPCI is the Chemical Engineering Plant Cost Index, and the values of CEPCI1996 and CEPCI2021 are 382 [46] and 708 [47], respectively.
The equation for calculating the cost recovery factor (CRF) is provided below [30].
C R F = j 1 + j PL 1 + j PL 1
where j is the annual interest rate and set to be 5%, and PL is the system effective service time and set to be 20 years [48].
Therefore, the EPC is simplified by ignoring the field capital cost and the field O and M cost and is calculated below [44].
E P C = C F R · C tot , 2021 + O M C t op · W net
where OMC represents the operation and maintenance costs of the ORC system and is set to be 1.5% of WIC in 2021, and the top represents the effective operation time of the ORC system with a setting value of 8000 h.

2.5. Bi-Objective Optimization Model

This study employs ηex and EPC as evaluation indicators for bi-objective optimization of key ORC parameters, with the specific evaluation indices outlined below.
The first evaluation index F1(ηex):
Max: F1(ηex) = ηex/ηex,max
The second evaluation index F2(EPC):
Max: F2(EPC) = EPCmin/EPC
where ηex,max is the largest ηex in the variation range of the crucial parameter, and EPCmin is the smallest EPC.
It is important to highlight that the first and second evaluation indices mentioned above should achieve either the best or maximum value within the range of critical parameters. In this study, the bi-objective optimization model incorporating these two evaluation indices is solved using the linear weighted evaluation function approach.
The bi-objective function F(ηex, EPC) is calculated below.
F(ηex, EPC) = αF1(ηex) + βF2(EPC)
where α and β are the weighting coefficients of the above two evaluation indexes, respectively, the calculation methods of which are elaborated in the previous literature [49], and the specific equations are shown below.
α = F 2 1 F 2 2 / F 1 2 F 1 1 + F 2 1 F 2 2
β = F 1 2 F 1 1 / F 1 2 F 1 1 + F 2 1 F 2 2
where F11 is the minimum value of F1(ηex), F12 is the value of F1(ηex) when the value of F2(EPC) is minimized, F22 is the minimum value of F2(EPC), and F21 is the value of F2(EPC) when the value of F1(ηex) is minimized.

2.6. Selection of Mixed OWM

Choosing the appropriate OWM can effectively enhance the power generation efficiency of the ORC system and reduce operational costs, making the selection of OWM crucial. According to the selection criteria for OWM [14], the research findings suggest that both isobutane (R600a) and isopentane (R601a) are classified as dry OWM and can deliver superior system performance compared to other options when evaluated based on thermal, economic, and environmental criteria [41,50]. Therefore, according to the temperature characteristics of LFG, this study selects R600a, R601a, and their mixtures in different proportions as the OWMs for the ORC system. Table 3 presents the physical property parameters of R600a and R601a, while Table 4 displays the corresponding parameters of the mixed OWM (MR600a) at different mass fractions of R600a. Figure 4 displays the T-s diagrams for R600a, R601a, and their mixtures, derived from the relationship between temperature and entropy of the OWM.

2.7. Model Validation

To verify the accuracy of the calculation model used in this paper, the calculated results of the ORC system using R600, R601a, and their different mixture ratios are compared with the results from the literature [51], as shown in Table 5. The Wnet and cycle thermal efficiency (ηcycle) are selected as the comparative performance index, and the calculation equation of ηcycle is determined below.
η cycle = W net Q eva × 100 %
As can be seen from Table 5, the calculated results of Wnet and ηcycle under different mass fractions of R601a in the mixed OWM are generally consistent with the findings in the literature [51], with relative errors all being less than 0.5%. Therefore, the comparison results validate the feasibility and reliability of the calculation model established in this paper.

3. Results and Discussion

In the current study, the calculations for the energy, exergy, and economic models mentioned above are conducted using Matlab and Refprop software. The MR600a and ORC crucial parameters, including the ET, CT, and SD of OWM, are set as the variable parameters, and the changes of Wnet, ηex, system THA and EPC with the MR600a, ET, CT, and SD of OWM under four operational conditions are investigated in detail. Then, the contrastive analysis of energy, exergy, and economic performances under four operational conditions are also conducted. Finally, the MR600a, ET, CT, and SD of OWM under four operational conditions are separately optimized by taking the ηex and EPC as the evaluation indexes of parameter optimization. The initial calculation parameters for the ORC system using pure OWM and mixed OWM are shown in Table 6. Taking into account the slip temperature of mixed OWM, as well as the inlet temperatures of the heat source and heat sink, Table 7 lists the upper and lower limit settings for the four variable parameters.

3.1. Effect of Mass Fraction on System Performance

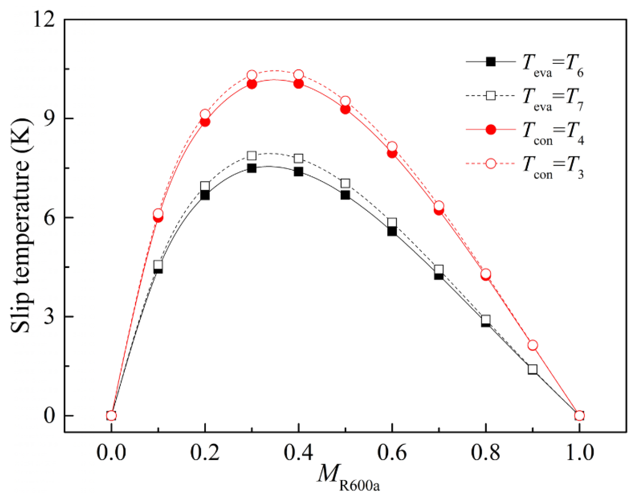
The MR600a has a significant impact on the physical performance parameters of mixed OWM, as illustrated in Table 3 and Figure 4. When the ET, CT, and SD of OWM are 383.15 K, 313.15 K, and 10 K, respectively, the change of slip temperature with the MR600a under various state locations of ET and CT is displayed in Figure 5. Figure 5 shows that the slip temperatures of mixed OWM during both the evaporation and condensation processes first rise and then reduce as the MR600a rises, and when the MR600a is 0.3, the slip temperature of mixed OWM reaches the maximum value under various conditions. Furthermore, the slip temperatures of mixed OWM under various state locations of ET and CT are also different, and when the saturated vapor temperatures during the evaporation and condensation processes are set as the ET and CT, the slip temperatures of mixed OWM are relatively larger. Moreover, the slip temperature of mixed OWM during the condensation process is greater than that during the evaporation process for a fixed MR600a.
Based on the specified values of the variable parameters mentioned above, the changes of Wnet and ηex with the MR600a under four operational conditions are displayed in Figure 6. As seen in Figure 6, the Wnet and ηex under four operational conditions vary greatly with rising MR600a, and the Wnet and ηex of condition 3 and condition 4 first rise and then reduce, while the Wnet and ηex of condition 1 and condition 2 first reduce and then rise. Furthermore, compared with the pure OWM, the ORC system of condition 4 using the mixed OWM can achieve the larger Wnet in four operational conditions, while the ηex of the mixed OWM in condition 3 is relatively larger. This is attributed to the fact that, when the saturated liquid temperatures during the evaporation and condensation processes are set as the ET and CT, both the mf and Wnet per unit mf first reduce and then rise as the MR600a rises due to the existence of slip temperature. On the contrary, the mf and Wnet per unit mf first rise and then reduce when the saturated vapor temperatures during the evaporation and condensation processes are set as the ET and CT. However, the variation amplitude of Wnet per unit mf is larger than that of mf under four operational conditions, so the Wnet of four operational conditions occurs in the above variation trend. Moreover, the variations of mf under four operational conditions makes it so that the heat source outlet temperatures (T11) of condition 1 and condition 3 steadily reduce as the MR600a rises based on the first law of thermodynamics in the preheating process, while the T11 of condition 2 and condition 4 first reduce and then rise, and the T11 of condition 1 and condition 3 are greater than that of condition 2 and condition 4 for a fixed MR600a. It is due to the fact that the variation amplitudes of T11 in the range of MR600a under four operational conditions are relatively smaller, which leads to the fact that the variation trend of ηex is the same as that of Wnet for a given operational condition based on Equation (6).
As also seen in Figure 6, the Wnet of condition 4 and the ηex of condition 3 are the maximum in four operational conditions for a fixed MR600a, while the Wnet of condition 1 and the ηex of condition 2 are the minimum. This is attributed to the fact that, when the saturated vapor temperature during the evaporation process is set as the ET of OWM for condition 2 and condition 4, the heat source temperature drop during the evaporation process becomes larger accordingly due to the existence of slip temperature by comparing with the other conditions, and the Qeva also becomes larger, which leads to the ORC system being able to achieve the larger mf and lower T11. Meanwhile, when the saturated liquid temperature during the condensation process is set as the CT of OWM for condition 1 and condition 2, the specific enthalpy of OWM at the expander outlet is relatively larger due to the existence of slip temperature during the condensation process, so the ORC system can achieve the smaller Wnet per unit mf. Compared with condition 3, condition 4 has the larger mf and the smaller Wnet per unit mf, and it is due to the fact that the specific value of Wnet per unit mf is greater than that of mf in four operational conditions, so the Wnet of condition 4 is relatively larger. In a similar way, the condition 1 has the smaller mf and the larger Wnet per unit mf by comparing with condition 2, so the Wnet of condition 1 is relatively smaller. Furthermore, it is due to the fact that the T11 of conditions 2 and 4 are separately less than that of conditions 1 and 3 for a fixed MR600a, which leads to the heat source exergy drops in the evaporator of conditions 2 and 4 being separately greater than that of conditions 1 and 3, so the ηex of conditions 2 and 4 are separately less than that of conditions 1 and 3 based on Equation (6). Moreover, the Wnet of condition 4 with the MR600a of 0.4 reaches the maximum value, which is 11% higher than the Wnet of R600a, and the ηex of condition 3 with the MR600a of 0.5 also reaches the maximum value, which is 8.8% higher than the ηex of R601a, showing the better energy and exergy performances.
Figure 7 shows the changes of system THA and EPC with the MR600a. As seen in Figure 7a, the system THA of condition 1 steadily rises with rising MR600a, while the system THA of the other three conditions first rises and then reduces. This is attributed to the fact that, when the saturated liquid temperature during the condensation process is set as the CT of OWM for condition 1 and condition 2, the LMTD in the condenser changes a little with the rise of MR600a due to the fixed ΔT3-13. In condition 1, the rise of MR600a makes the rise of mf and reduction of T11, the Qeva and Qcon also rise accordingly, and the LMTD in the evaporator steadily reduces, which leads to the rise of system THA. In condition 2, the mf first rises and then reduces with rising MR600a, while the T11 first reduces and then rises as the MR600a rises, so both the Qeva and Qcon first rise and then reduce. Furthermore, the LMTD in the condenser also changes marginally due to the fixed ΔT6-10, which leads to the THA of condition 2 first rising and then reducing. Moreover, when the saturated vapor temperature during the condensation process is set as the CT of OWM for condition 3 and condition 4, the LMTD in the condenser first reduces and then rises with the rise of MR600a due to the existence of slip temperature. In condition 3, the change of mf is the same as that in condition 1, and the T11 also reduces as the MR600a rises, which leads to the rise of Qeva and Qcon and reduction of LMTD in the evaporator, so the system THA also first rises and then reduces with rising MR600a. In condition 4, the change trends of mf, T11, Qeva, and Qcon are the same as those in condition 2, and the LMTD in the condenser also changes a little due to the fixed ΔT6-10, so the system THA also first rises and then reduces.
As also seen in Figure 7a, the system THA of condition 4 is the maximum in four operational conditions for a fixed MR600a, while the system THA of condition 1 is the minimum. This is attributed to the fact that, when the MR600a is constant, the mf of conditions 2 and 4 are greater than that of conditions 1 and 3, and it is due to that the T11 of conditions 1 and 4 are the highest and the lowest in the four operational conditions, respectively, so conditions 1 and 4 have the smallest Qeva and the largest Qcon, which leads to the maximum system THA for condition 4 and the minimum system THA for condition 1. Furthermore, although the T11 of condition 2 is lower than that of condition 3, the Qeva and Qcon of condition 2 are also greater than that of condition 3. However, due to the lower LMTDs in the evaporator and condenser, the system THA of condition 3 is greater than that of condition 2.
It can be concluded in Figure 7b that the EPC first rises and then reduces with the rising of the MR600a for a given condition. This is attributed to the fact that the larger the system THA is, the greater the WIC is. In condition 3 and condition 4, the rise amplitude of WIC shown in Figure 7a is greater than that of Wnet shown in Figure 6a at the smaller MR600a, while the reduction amplitude of WIC is also greater than that of Wnet at the larger MR600a, which leads to the EPC first rising and then reducing. Moreover, the WIC of condition 2 also first rises and then reduces with rising MR600a based on the variation of system THA shown in Figure 7a, and it is due to the fact that the variation trend of Wnet is in the opposite direction to that of WIC, so the EPC of condition 2 first rises and then reduces as the MR600a rises. In condition 1, the Wnet first reduces and then rises with rising MR600a, and the rise amplitude of WIC is less than that of Wnet at the larger MR600a, so the EPC first rises and then reduces.
As also seen in Figure 7b, the EPC of condition 2 is the maximum in four operational conditions for a fixed MR600a, while the EPC of condition 3 is the minimum. Furthermore, the EPC of mixed OWM is greater than that of pure OWM for a fixed operational condition, and when the MR600a is 0.4, the EPC is the maximum in four operational conditions. Moreover, the R601a has the smallest EPC in the variation range of the MR600a, which is 1.8% lower than the EPC of the R600a, showing the better economic performance.

3.2. Effect of ET on System Performance

When the MR600a, CT, and SD of OWM are 0.6, 313.15 K, and 10 K, respectively, the change of slip temperature with the ET of OWM under various state locations of ET is displayed in Figure 8. As concluded from Figure 8, the slip temperature of mixed OWM steadily reduces with rising the ET of OWM, and the slip temperature at the saturated vapor temperature is greater than that at the saturated liquid temperature for a fixed ET of OWM, while the reduction amplitude of slip temperature at the saturated vapor temperature is basically the same as that at the saturated liquid temperature. Moreover, as the ET of OWM rises by 2 K, the slip temperature reduces the average of 0.09 K.
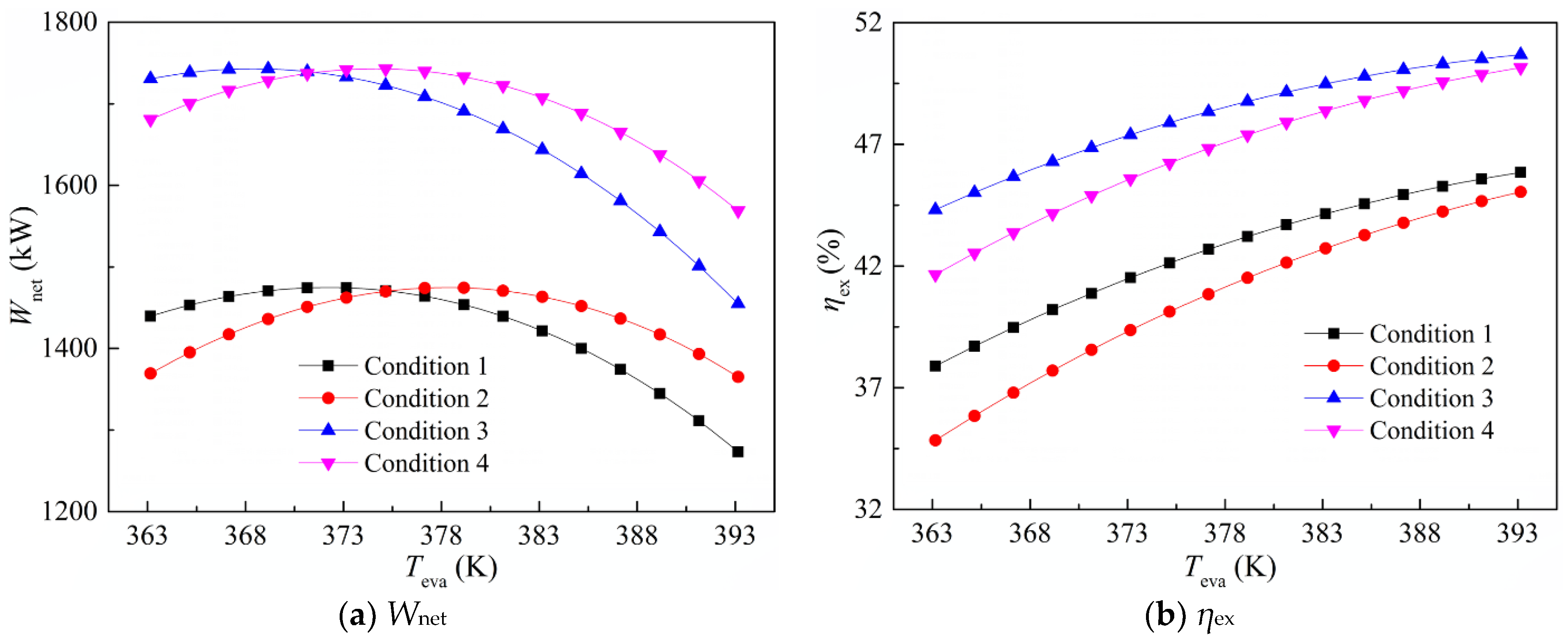
Figure 9 shows the changes of Wnet and ηex with the ET of OWM. As concluded from Figure 9, the Wnet first rises and then reduces with raising the ET of the OWM for a certain condition, while the ηex steadily rises. This can be attributed to the rise in the ET of OWM, which causes T11 to increase, while both Qeva and mf decrease accordingly. Meanwhile, raising the ET of OWM also makes the specific enthalpy of OWM at the evaporator outlet the Wnet per unit mf, and this steadily rises. When the ET of OWM is lower, the increase in Wnet per unit of mf is greater than the decrease in mf, so it can be seen from Equation (5) that Wnet increases steadily. However, the reduction amplitude of mf gradually becomes larger with raising the ET of OWM, which is greater than the rise amplitude of Wnet per unit mf when the ET of OWM is higher, so the Wnet steadily reduces. Furthermore, it is due to that the T11 rises with raising the ET of OWM, which leads to the denominator value in Equation (6) reducing accordingly, and the reduction amplitude of the denominator value in Equation (6) is larger than that of Wnet when the ET of OWM is higher, so the ηex rises based on Equation (6).
As seen in Figure 9, when the ET of OWM is lower than 371.15 K, the Wnet of condition 3 is the maximum in four operational conditions for a given ET of OWM, while the Wnet of condition 2 is the minimum. When the ET of OWM is lower than 375.15 K, condition 4 and condition 1 can achieve the maximum and minimum Wnet, respectively. Furthermore, the ηex of condition 3 is the maximum in four conditions with the rise of ET of OWM, while the ηex of condition 2 is the minimum, which are consistent with the results in Figure 6b. Compared with the other two conditions, condition 3 and condition 4 can achieve better energy and exergy performances in the variation range of ET of OWM.
Figure 10 shows the changes of system THA and EPC with the ET of OWM. As concluded from Figure 10, both the system THA and EPC steadily reduce with raising the ET of OWM for a certain condition. This is attributed to the fact that raising the ET of OWM makes the reduction of Qeva and mf, and the Qcon also reduces, which leads to the THA reducing accordingly. Furthermore, the reduction of system THA also makes the reduction of WIC, and the reduction amplitude of WIC is larger than that of Wnet when the ET of OWM is higher, so the EPC reduces as the ET of OWM rises based on Equation (23). Moreover, the reduction amplitude of WIC basically remains unchanged with raising the ET of OWM, while the reduction amplitude of Wnet gradually becomes larger, which leads to the smaller reduction amplitude of EPC at the higher ET of OWM.
As also seen in Figure 10, the system THA of condition 4 and the EPC of condition 2 are the maximum in four operational conditions for a fixed ET of OWM, while the system THA of condition 1 and EPC of condition 3 are the minimum, which are consistent with the results in Figure 7. The above results mean that compared with the other three conditions, condition 3 can achieve better economic performance in the variation range of ET of OWM.

3.3. Effect of CT on System Performance

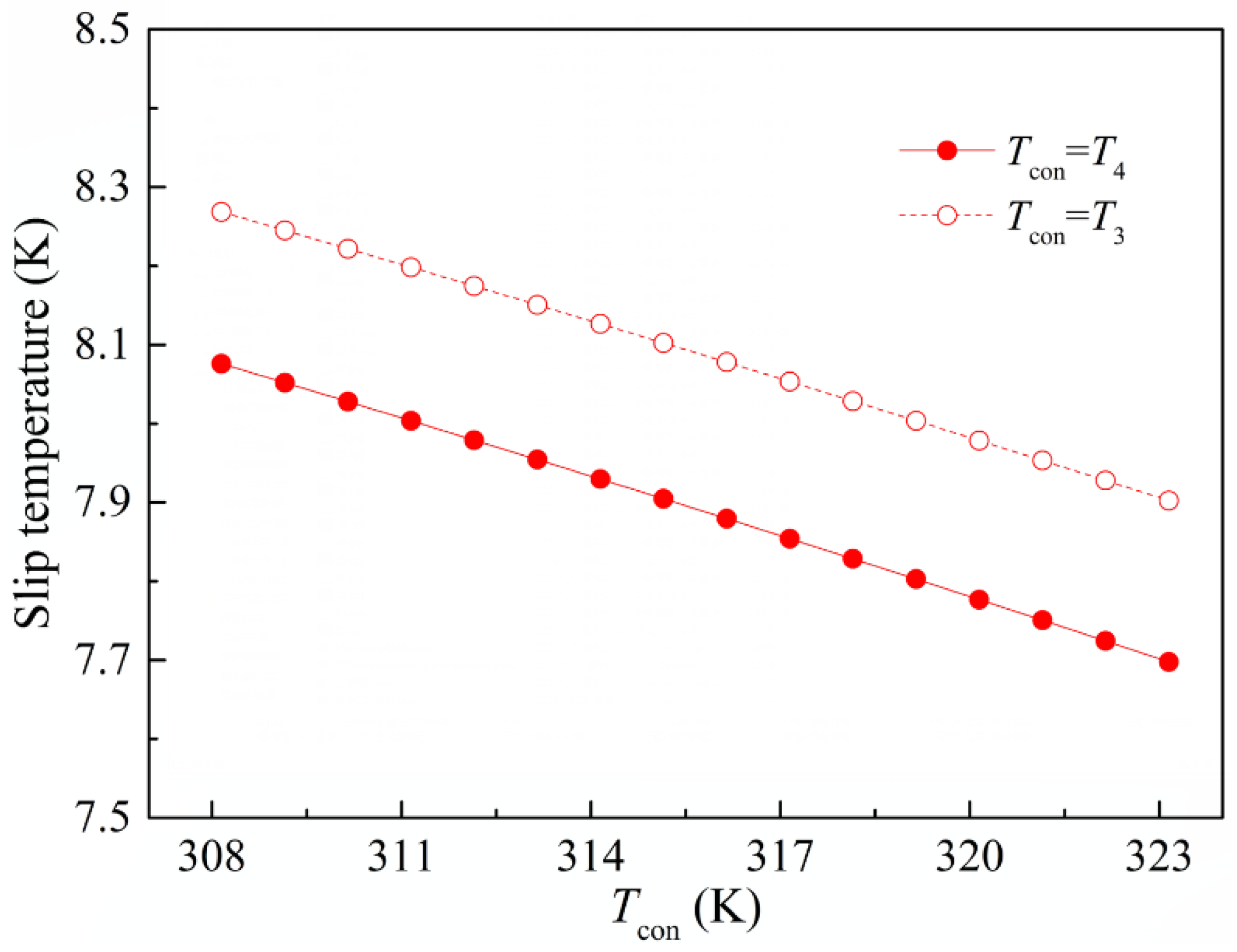
When the MR600a, ET, and SD of OWM are 0.6, 383.15 K, and 10 K, respectively, the change of slip temperature with the CT of OWM under various state locations of CT is displayed in Figure 11. As concluded from Figure 11, the higher the CT of the OWM is, the smaller the slip temperature of mixed OWM during the condensation process is, and when the CT of OWM is set as the saturated liquid temperature, the slip temperature of mixed OWM is relatively smaller for a fixed CT of OWM. Furthermore, as the CT of OWM rises by 2 K, the slip temperature reduces the average of 0.05 K.
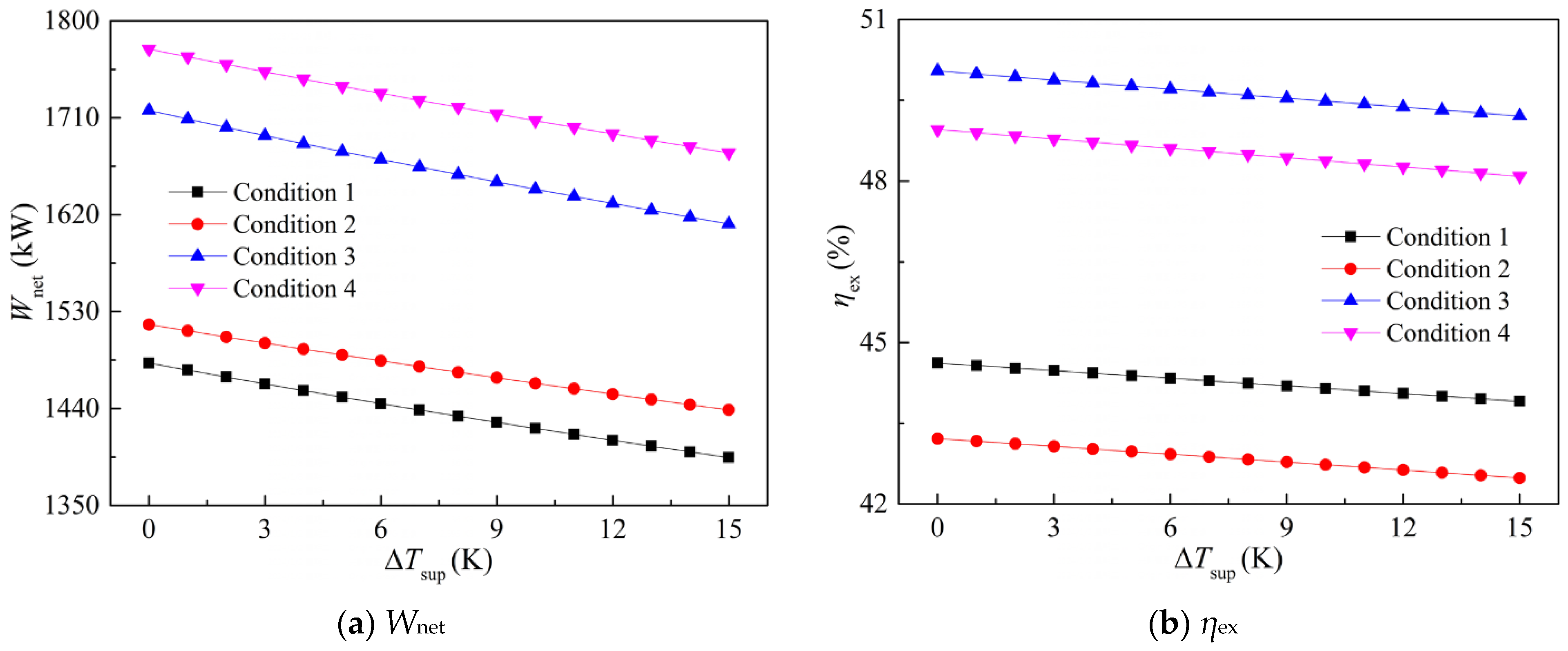
Figure 12 shows the changes of Wnet and ηex with the CT of OWM. As concluded from Figure 12, both the Wnet and ηex steadily reduce with raising the CT of OWM for a certain condition. This is attributed to the fact that raising the CT of OWM makes the rise of specific enthalpy of OWM at the expander outlet and has no effect on the variation of mf, which leads to the fact that the Wnet per unit mf reduces, so the Wnet also reduces accordingly. Moreover, raising the CT of OWM also makes the rise of specific enthalpy of OWM at the pump outlet, which leads to the rise of T11 and the reduction of heat exchanging quantity in the preheating process; the denominator value in Equation (6) reduces accordingly. However, the reduction amplitude of Wnet is greater than that of the denominator value in Equation (6), so the ηex also steadily reduces. Furthermore, the Wnet of condition 4 and ηex of condition 3 are the largest in the variation range of CT, while the Wnet of condition 1 and ηex of condition 2 are the smallest, which are consistent with the results in Figure 6. As the CT of OWM rises by 1 K, the Wnet of condition 4 and ηex of condition 3 reduce the average of 31 kW and 0.67%, respectively.
Figure 13 shows the changes of system THA and EPC with the CT of OWM. As concluded from Figure 13a, the system THA reduces with rising the CT of OWM for a certain condition, and the reduction amplitudes of system THA in condition 3 and in condition 4 are relatively larger. This is attributed to the fact that raising the CT of OWM makes the rise of T11 and the reduction of specific latent heat of OWM, as well as the rise of LMTD in the condenser, which leads to both the Qeva and Qcon reducing due to the constant mf, so the system THA reduces. Furthermore, when the saturated vapor temperature during the condensation process is set as the CT of OWM for condition 3 and condition 4, the rise amplitude of LMTD in the condensing section gradually becomes smaller as the CT of OWM rises due to the existence of slip temperature, which leads to the reduction amplitudes of system THA in condition 3 and in condition 4 being greater those that in condition 1 and in condition 2.
As seen in Figure 13b, the EPCs of condition 1 and in condition 2 steadily rise with raising the CT of OWM, while the EPCs of condition 3 and in condition 4 first reduce and then rise. This is attributed to the fact that the reduction of system THA also makes the reduction of WIC. In condition 1 and in condition 2, the reduction amplitude of WIC is less than that of Wnet in the variation range of CT, so the EPC steadily rises as the CT of OWM rises based on Equation (23). In condition 3 and in condition 4, due to the larger reduction amplitude of system THA at the lower CT of OWM, the reduction amplitude of WIC is greater than that of Wnet with raising the CT of OWM, which leads to the reduction of EPC. However, when the CT of OWM is higher, the reduction amplitude of WIC gradually becomes smaller, which is less than that of Wnet with raising the CT of OWM, so the EPC steadily rises. Moreover, when the CT of OWM is lower than 309.15 K, condition 1 can achieve the minimum EPC in four operational conditions, and on the contrary, the EPC of condition 3 is the smallest.

3.4. Effect of SD on System Performance

The SD of OWM has no effect on the slip temperature of mixed OWM. When the MR600a, ET, and CT of OWM are 0.6, 383.15 K, and 313.15 K, respectively, the changes of Wnet and ηex with the SD of OWM are displayed in Figure 14. As concluded from Figure 14, both the Wnet and ηex reduces as the SD of OWM rises for a certain condition. This is attributed to the fact that, rising the SD of OWM makes the rise of specific enthalpy of OWM at the evaporator outlet, the Wnet per unit mf also rises accordingly. It is due to that the heat source temperature drops during the evaporation process and the superheating process remains unchanged, the mf steadily reduces with rising the SD of OWM based on the energy conservation law, and the reduction amplitude of mf is greater than the rise amplitude of Wnet per unit mf, so the Wnet steadily reduces. Furthermore, the specific enthalpy of OWM at the evaporator inlet also remains unchanged in the variation range of SD; the reduction of mf makes the reduction of heat exchanging quantity in the preheating process, which leads to the rise of T11 as the SD of OWM rises, and the denominator value in Equation (6) reduces accordingly. However, the reduction amplitude of Wnet is greater than that of the denominator value in Equation (6), so the ηex steadily reduces. Moreover, when the SD of OWM is constant, condition 4 and condition 3 also achieve the maximum Wnet and ηex in four operational conditions, respectively, which are consistent with the results in Figure 6 and Figure 12.
Figure 15 shows the changes of system THA and EPC with the SD of OWM. As concluded from Figure 15a, the system THA reduces with rising the SD of OWM for a certain condition. This is attributed to the fact that the rise of SD makes the reduction of mf and the rise of T11, the Qeva and Qcon steadily reduces accordingly, and it is due to that the LMTDs in the evaporator and condenser change a little with raising the SD of OWM, so the system THA also steadily reduces. Furthermore, condition 1 has the smallest system THA in four operational conditions for a fixed SD of OWM, and as the SD of OWM rises by 1 K, the system THA of condition 1 reduces the average of 16.4 m2.
As concluded from Figure 15b, the EPC of condition 1 rises as the SD of OWM rises, while the EPCs of the other three conditions first reduce and then rise. This is attributed to the fact that the reduction of system THA also makes the reduction of WIC. In condition 1, the reduction amplitude of WIC is less than that of Wnet in the variation range of SD, so the EPC steadily rises. For the other three conditions, the reduction amplitude of WIC is greater than that of Wnet when the SD is lower, so there is a situation of reducing instead of rising for the EPC with rising the SD of OWM. Moreover, when the SD of OWM is constant, the EPC of condition 2 is also the largest in four operational conditions, while the EPC of condition 3 is the smallest, which are consistent with the results in Figure 7 and Figure 10.

3.5. Bi-Objective Optimization Analysis

In the current study, the linear weighted evaluation function method is utilized for bi-objective optimization to determine the optimal MR600a among the key parameters of the mixed OWM and ORC across four operational conditions, using ηex and EPC as the selected evaluation indices for parameter optimization.
Based on the results of ηex and EPC shown in the above figures, the change of F(ηex, EPC) calculated through Equation (26) with the MR600a under four operational conditions is displayed in Figure 16. As demonstrated in Figure 16, the change trends of F(ηex, EPC) for condition 1 and condition 2 are different from that for condition 3 and condition 4, and the F(ηex, EPC) can achieve the maximum value for a certain condition in the variation range of MR600a. Based on the result analysis of Figure 16, when the MR600a in mixed OWM is 0.7, the F(ηex, EPC) of condition 3 and condition 4 reach the maximum value, while the F(ηex, EPC) of condition 1 and condition 2 using the pure OWM of R600a also reach the maximum value, which denotes that the OWMs required to achieve the system’s better overall performance under four operational conditions are also different.
Figure 17 shows the changes of F(ηex, EPC) with ORC crucial parameters under four operational conditions when the MR600a is 0.6. As shown in Figure 17, the F(ηex, EPC) steadily rises with the rise of ET of OWM for a certain condition and reduces with the rise of CT and SD of OWM, which denotes that the higher the ET of OWM is, and the lower the CT and SD of OWM are, the better the overall performance of the ORC system is. Based on the result analysis of Figure 17, when the ET and CT of OWM are 393.15 K and 308.15 K, respectively, and the state of OWM at the evaporator outlet is the saturated vapor, the F(ηex, EPC) under four operational conditions can reach the maximum value, which denotes that the ORC crucial parameters required to achieve the better overall performance under four operational conditions are the same.
As known from the above results, the initial values of MR600a and ORC crucial parameters under four operational conditions are not the same as the optimal values obtained from Figure 16 and Figure 17, and to verify the reliability of the above optimal values, the MR600a is reset as the variable parameter to calculate the F(ηex, EPC) under four operational conditions when the ET, CT, and SD of OWM are set to be the optimal values mentioned above, and the calculation result of F(ηex, EPC) under various MR600a for four operational conditions is displayed in Figure 18. As concluded from Figure 18, the F(ηex, EPC) of condition 3 and condition 4 still reach the maximum value when the MR600a are 0.7, and the F(ηex, EPC) of condition 1 and condition 2 using the pure OWM of R600a also reach the maximum value. Moreover, the specific values of T11, Wnet, ηex, system THA, and EPC under the above optimal MR600a and ORC crucial parameters for four operational conditions are summarized in Table 8.
As demonstrated in Table 8, condition 4 has the lowest T11 and the largest Wnet in four operational conditions, which denotes that the WHR rate of condition 4 is the maximum at a respectable 49.14%, showing the better energy-saving effect. Compared with condition 3 and condition 4, condition 1 and condition 2 using the pure OWM of R600a have the smallest EPC, showing the better economic performance. Furthermore, the condition 3 has the largest ηex, but the T11 of condition 3 is the highest in four operational conditions, which leads to the conclusion that the WHR rate of condition 3 is 3.5% lower than that of condition 4. In addition, the Wnet, ηex, and EPC of conditions 3 and 4 are significantly greater than those of conditions 1 and 2, which denotes that the ORC system using the mixed OWM can achieve better energy and exergy performances by setting the saturated vapor temperature during the condensation process as the CT of OWM, while the ORC system using the pure OWM can achieve better economic performance.

4. Conclusions

Based on the goal of recycling low-grade waste heat efficiently, the LFG emitted from the sinter waste heat boiler is taken as the ORC heat source in the current study, and the energy, exergy, and economic models of the ORC system under four operational conditions are established. Then, the effects of MR600a and ORC crucial parameters on the energy, exergy, and economic performances under four operational conditions are investigated, and the optimal variable parameters under four operational conditions are determined. The major findings are given below.
(1) The slip temperature of mixed OWM first rises and then reduces in both the evaporating and condensing processes as the MR600a rises and steadily reduces as the ET and CT of OWM rise, while the SD of OWM has no effect on the slip temperature of mixed OWM. For a fixed MR600a, the slip temperature of mixed OWM during the condensation process is greater than that during the evaporation process, and the slip temperature at the saturated liquid temperature is less than that at the saturated vapor temperature.
(2) As the MR600a rises, the Wnet and ηex first rise and then reduce for the CT of the OWM set as the saturated vapor temperature during the condensation process, and first reduce and then rise for the CT of the OWM set as the saturated liquid temperature during the condensation process. When the MR600a is constant, the Wnet first rises and then reduces with raising the ET of OWM for a certain condition, while the ηex steadily rises. As the CT and SD of OWM rise, both the Wnet and ηex steadily reduce. Compared with the pure OWM, the ORC system using the mixed OWM can achieve the larger Wnet and ηex for the CT of the OWM set as the saturated vapor temperature during the condensation process. The Wnet of condition 4 and the ηex of condition 3 are the maximum in four operational conditions, showing better energy and exergy performances.
(3) The EPC first rises and then reduces as the MR600a rises for a certain condition and steadily reduces with rising the ET of OWM. The EPCs of condition 1 and condition 2 rises with raising the CT of OWM, while the EPCs of condition 3 and condition 4 first rises and then reduces. As the SD of OWM rises, the EPC of condition 1 steadily rises, while the EPCs of the other three operational conditions first reduce and then rise. Compared with the other three conditions, the EPC of condition 3 is the minimum in four operational conditions when the CT of OWM is greater than 309.15 K, and the ORC system using the pure OWM of R601a can achieve the smallest EPC in four operational conditions, showing better economic performance.
(4) By taking the LFG of 453.15 K as the heat source of the ORC system, the optimal MR600a in mixed OWM for both condition 3 and condition 4 is 0.7, and condition 1 and condition 2 using the pure OWM of R600a can achieve better overall performance. When the ET and CT of OWM are 393.15 K and 308.15 K, respectively, and the state of OWM at the evaporator outlet is the saturated vapor, the ORC systems of four operational conditions can achieve better overall performance. In four operational conditions, condition 4 has the largest Wnet, and the WHR rate is 49.14%, which is also the maximum, showing the better energy-saving effect, while condition 3 has the largest ηex, showing the better energy and exergy performances. Furthermore, condition 1 and condition 2 have the smallest EPC, showing the better economic performance.

Author Contributions

All authors contributed to this research in collaboration. J.F. and Y.Y. established the calculation model and finished the writing of the original draft; L.Z. conducted the data management and analysis; and H.D. provided substantial help with the paper schedule. All authors have read and agreed to the published version of the manuscript.

Funding

The authors gratefully acknowledge the financial support for this work provided by the National Natural Science Foundation of China (51974087), Anhui Provincial Natural Science Foundation (1908085QE203), and University Natural Science Research Foundation of Anhui Province (2022AH050262).

Institutional Review Board Statement

Not applicable.

Informed Consent Statement

Not applicable.

Data Availability Statement

The data presented in this study are available on request from the corresponding author.

Conflicts of Interest

The authors declare no conflicts of interest.

Nomenclature

AHeat exchanging area (m2)
cspecific heat (J/(kg·K))
hspecific enthalpy (kJ/kg)
mmass flow rate (kg/s)
Mmass fraction
QHeat exchanging quantity (kW)
Uoverall heat transfer coefficient (W/(m2·K))
Wepower output in expander (kW)
Wnetsystem net power output (kW)
Wppower consumption in pump (kW)
Ttemperature (K)
T0ambient temperature (K)
Greek symbols
α, βweighted coefficient
ηpisentropic pump efficiency
ηeisentropic expander efficiency
ηexexergy efficiency
ΔTmlogarithmic mean temperature difference (K)
ΔTsupsuperheat degree (K)
Abbreviations
CTcondensing temperature
EPCelectricity production cost
ETevaporating temperature
LMTDlogarithmic mean temperature difference
LFGlow-grade flue gas
ORCorganic Rankine cycle
OWMorganic working medium
SDsuperheat degree
THAtotal heat exchanging area
WICwhole investment cost
WHRwaste heat recovery
Subscripts
1, 2, 3, …., 14state points shown in Figure 1 and Figure 2
concondenser
condcondensing process
evaevaporator
evapevaporating process
fworking fluid
gflue gas
precprecooling process
prehpreheating process
suphsuperheating process
tottotal
wcooling water

References

  1. Chen, W.D.; Huang, Z.F.; Chua, K.J. Sustainable energy recovery from thermal processes: A review. Energy Sustain. Soc. 2022, 12, 46. [Google Scholar] [CrossRef]
  2. Ren, M.; Lu, P.T.; Liu, X.R.; Hossain, M.S.; Fang, Y.R.; Hanaoka, T.; O’Gallachoir, B.; Glynn, J.; Dai, H.C. Decarbonizing China’s iron and steel industry from the supply and demand sides for carbon neutrality. Appl. Energy 2021, 298, 117209. [Google Scholar] [CrossRef]
  3. Yin, R.Y.; Liu, Z.D.; Shangguan, F.Q. Thoughts on the implementation path to a carbon peak and carbon neutrality in China’s steel industry. Engineering 2021, 7, 1680–1683. [Google Scholar] [CrossRef]
  4. Ja’fari, M.; Khan, M.I.; Al-Ghamdi, S.G.; Jaworski, A.J.; Asfand, F. Waste heat recovery in iron and steel industry using organic Rankine cycles. Chem. Eng. J. 2023, 477, 146925. [Google Scholar] [CrossRef]
  5. Köse, Ö.; Koç, Y.; Yağlı, H. Is Kalina cycle or organic Rankine cycle for industrial waste heat recovery applications? A detailed performance, economic and environment based comprehensive analysis. Process Saf. Environ. 2022, 163, 421–437. [Google Scholar] [CrossRef]
  6. Daniarta, S.; Kolasiński, P.; Imre, A.R. Thermodynamic efficiency of trilateral flash cycle, organic Rankine cycle and partially evaporated organic Rankine cycle. Energy Convers. Manag. 2021, 249, 114731. [Google Scholar] [CrossRef]
  7. Akimoto, R.; Yamaki, T.; Nakaiwa, M.; Matsuda, K. Evaluation of a power generation system that integrates multiple Kalina cycles and absorption heat pumps. Case Stud. Therm. Eng. 2021, 28, 101363. [Google Scholar] [CrossRef]
  8. Garcia, S.I.; Garcia, R.F.; Carril, J.C.; Garciac, D.I. A review of thermodynamic cycles used in low temperature recovery systems over the last two years. Renew. Sustain. Energy Rev. 2018, 81, 760–767. [Google Scholar] [CrossRef]
  9. Moreira, L.F.; Arrieta, F.R.P. Thermal and economic assessment of organic Rankine cycles for waste heat recovery in cement plants. Renew. Sustain. Energy Rev. 2019, 114, 109315. [Google Scholar] [CrossRef]
  10. Pilia, R.; García Martíneza, L.; Wielandab, C.; Spliethoff, H. Techno-economic potential of waste heat recovery from German energy intensive industry with organic Rankine cycle technology. Renew. Sustain. Energy Rev. 2020, 134, 110324. [Google Scholar] [CrossRef]
  11. Loni, R.; Najafi, G.; Bellos, E.; Rajaee, F.; Said, Z.; Mazlan, M. A review of industrial waste heat recovery system for power generation with Organic Rankine Cycle: Recent challenges and future outlook. J. Clean. Prod. 2021, 287, 125070. [Google Scholar] [CrossRef]
  12. Li, P.C.; Cao, Q.; Li, J.; Lin, H.W.; Wang, Y.D.; Gao, G.T.; Pei, G.; Jie, D.S.; Liu, X.F. An innovative approach to recovery of fluctuating industrial exhaust heat sources using cascade Rankine cycle and two-stage accumulators. Energy 2021, 228, 120587. [Google Scholar] [CrossRef]
  13. Wang, D.X.; Ling, X.; Peng, H.; Liu, L.; Tao, L.L. Efficiency and optimal performance evaluation of organic Rankine cycle for low grade waste heat power generation. Energy 2013, 50, 343–352. [Google Scholar] [CrossRef]
  14. Cataldo, F.; Mastrullo, R.; Mauro, A.W.; Vanoli, G.P. Fluid selection of Organic Rankine Cycle for low-temperature waste heat recovery based on thermal optimization. Energy 2014, 72, 159–167. [Google Scholar] [CrossRef]
  15. Xu, H.; Gao, N.P.; Zhu, T. Investigation on the fluid selection and evaporation parametric optimization for sub- and supercritical organic Rankine cycle. Energy 2016, 96, 59–68. [Google Scholar] [CrossRef]
  16. Fergani, Z.; Touil, D.; Morosuk, T. Multi-criteria exergy based optimization of an Organic Rankine Cycle for waste heat recovery in the cement industry. Energy Convers. Manag. 2016, 112, 81–90. [Google Scholar] [CrossRef]
  17. Li, J.; Liu, Q.; Ge, Z.; Duan, Y.Y.; Yang, Z. Thermodynamic performance analyses and optimization of subcritical and transcritical organic Rankine cycles using R1234ze(E) for 100–200 °C heat sources. Energy Convers. Manag. 2017, 14, 140–154. [Google Scholar] [CrossRef]
  18. Mohammadkhani, F.; Yari, M. A 0D model for diesel engine simulation and employing a transcritical dual loop Organic Rankine Cycle (ORC) for waste heat recovery from its exhaust and coolant: Thermodynamic and economic analysis. Appl. Therm. Eng. 2019, 150, 329–347. [Google Scholar] [CrossRef]
  19. Ping, X.; Yao, B.F.; Zhang, H.G.; Yang, F.B. Thermodynamic, economic, and environmental analysis and multi-objective optimization of a dual loop organic Rankine cycle for CNG engine waste heat recovery. Appl. Therm. Eng. 2021, 193, 116980. [Google Scholar] [CrossRef]
  20. Liang, Y.C.; Bian, X.Y.; Qian, W.W.; Pan, M.Z.; Ban, Z.B.; Yu, Z.B. Theoretical analysis of a regenerative supercritical carbon dioxide Brayton cycle/organic Rankine cycle dual loop for waste heat recovery of a diesel/natural gas dual-fuel engine. Energy Convers. Manag. 2019, 197, 111845. [Google Scholar] [CrossRef]
  21. Yang, A.; Su, Y.; Shen, W.F.; Chien, I.L.; Ren, J.Z. Multi-objective optimization of organic Rankine cycle system for the waste heat recovery in the heat pump assisted reactive dividing wall column. Energy Convers. Manag. 2019, 199, 112041. [Google Scholar] [CrossRef]
  22. Wang, Y.L.; Yang, H.D.; Xu, K.K. Comparative environmental impacts and emission reductions of introducing the novel organic Rankine & Kalina cycles to recover waste heat for a roller kiln. Appl. Therm. Eng. 2021, 190, 116821. [Google Scholar]
  23. Feng, Y.Q.; Hung, T.C.; Zhang, Y.N.; Li, B.X.; Yang, J.F.; Shi, Y. Performance comparison of low-grade ORCs (organic Rankine cycles) using R245fa, pentane and their mixtures based on the thermo-economic multi-objective optimization and decision makings. Energy 2015, 93, 2018–2029. [Google Scholar] [CrossRef]
  24. Liu, Q.; Shen, A.J.; Duan, Y.Y. Parametric optimization and performance analyses of geothermal organic Rankine cycles using R600a/R601a mixtures as working fluids. Appl. Energy 2015, 148, 410–420. [Google Scholar] [CrossRef]
  25. Li, Z.S.; Li, W.Y.; Xu, B.R.; Jia, X.D.; Jiang, J. Performance research of combined cooling heat and power-organic Rankine cycle system installed with heat pump using mixtures. Proc. CSEE 2015, 35, 4972–4980. [Google Scholar]
  26. Pang, K.C.; Chen, S.C.; Hung, T.C.; Feng, Y.Q.; Yang, S.C.; Wong, K.W.; Lin, J.R. Experimental study on organic Rankine cycle utilizing R245fa, R123 and their mixtures to investigate the maximum power generation from low-grade heat. Energy 2017, 133, 636–651. [Google Scholar] [CrossRef]
  27. Feng, Y.Q.; Hung, T.C.; He, Y.L.; Wang, Q.; Wang, S.; Li, B.X.; Lin, J.R.; Zhang, W.P. Operation characteristic and performance comparison of organic Rankine cycle (ORC) for low-grade waste heat using R245fa, R123 and their mixtures. Energy Convers. Manag. 2017, 144, 153–163. [Google Scholar] [CrossRef]
  28. Su, W.; Hwang, Y.H.; Deng, S.; Zhao, L.; Zhao, D.P. Thermodynamic performance comparison of organic Rankine cycle between zeotropic mixtures and pure fluids under open heat source. Energy Convers. Manag. 2018, 165, 720–737. [Google Scholar] [CrossRef]
  29. Dong, B.S.; Xu, G.Q.; Li, T.T.; Quan, Y.K.; Wen, J. Thermodynamic and economic analysis of zeotropic mixtures as working fluids in low temperature organic Rankine cycles. Appl. Therm. Eng. 2018, 132, 545–553. [Google Scholar] [CrossRef]
  30. Fang, Y.W.; Yang, F.B.; Zhang, H.G. Comparative analysis and multi-objective optimization of organic Rankine cycle (ORC) using pure working fluids and their zeotropic mixtures for diesel engine waste heat recovery. Appl. Therm. Eng. 2019, 157, 113704. [Google Scholar] [CrossRef]
  31. Miao, Z.; Li, Z.H.; Zhang, K.; Xu, J.L.; Cheng, Y.P. Selection criteria of zeotropic mixtures for subcritical organic Rankine cycle based on thermodynamic and economic analysis. Appl. Therm. Eng. 2020, 180, 115837. [Google Scholar] [CrossRef]
  32. Xi, H.; Li, M.J.; He, Y.L.; Zhang, Y.W. Economical evaluation and optimization of organic Rankine cycle with mixture working fluids using R245fa as flame retardant. Appl. Therm. Eng. 2017, 113, 1056–1070. [Google Scholar] [CrossRef]
  33. Zhi, L.H.; Hu, P.; Chen, L.X.; Zhao, G. Performance analysis and optimization of engine waste heat recovery with an improved transcritical-subcritical parallel organic Rankine cycle based on zeotropic mixtures. Appl. Therm. Eng. 2020, 181, 115991. [Google Scholar] [CrossRef]
  34. Li, J.; Yang, Z.; Hu, S.Z.; Yang, F.B.; Duan, Y.Y. Economic performance improvement of butane/isopentane mixtures in organic Rankine cycles by liquid-separated condensation method. Appl. Therm. Eng. 2020, 181, 115941. [Google Scholar] [CrossRef]
  35. Tian, Z.; Zeng, W.J.; Gu, B.; Zhang, Y.; Yuan, X. Energy, exergy, and economic (3E) analysis of an organic Rankine cycle using zeotropic mixtures based on marine engine waste heat and LNG cold energy. Energy Convers. Manag. 2021, 228, 113657. [Google Scholar] [CrossRef]
  36. Andreasen, J.G.; Baldasso, E.; Kærn, M.R.; Weith, T.; Heberle, F.; Brüggemann, D.; Haglind, F. Techno-economic feasibility analysis of zeotropic mixtures and pure fluids for organic Rankine cycle systems. Appl. Therm. Eng. 2021, 192, 116791. [Google Scholar] [CrossRef]
  37. Wang, E.H.; Zhang, M.R.; Meng, F.X.; Zhang, H.G. Zeotropic working fluid selection for an organic Rankine cycle bottoming with a marine engine. Energy 2022, 243, 123097. [Google Scholar] [CrossRef]
  38. Ma, W.W.; Liu, T.; Min, R.; Li, M. Effects of physical and chemical properties of working fluids on thermodynamic performances of medium-low temperature organic Rankine cycles (ORCs). Energy Convers. Manag. 2018, 171, 742–749. [Google Scholar] [CrossRef]
  39. Feng, J.S.; Pei, G.; Dong, H.; Zhang, S. Performance analysis of organic Rankine cycle power generation system with sinter cooling gas waste heat. J. Cent. South Univ. (Sci. Technol.) 2019, 50, 466–473. [Google Scholar]
  40. Feng, J.S.; Gao, G.T.; Dabwan, Y.N.; Pei, G.; Dong, H. Thermal performance evaluation of subcritical organic Rankine cycle for waste heat recovery from sinter annular cooler. J. Iron Steel Res. Int. 2020, 27, 248–258. [Google Scholar] [CrossRef]
  41. Feng, J.S.; Cheng, X.N.; Wang, H.H.; Zhao, L.; Dong, H. Effect of flue gas outlet temperature in evaporator on thermal economic performance of organic Rankine cycle system for sinter waste heat recovery. J. Iron Steel Res. Int. 2023, 30, 2378–2390. [Google Scholar] [CrossRef]
  42. Chen, W.J.; Feng, H.J.; Chen, L.G.; Xia, S.J. Optimal performance characteristics of subcritical simple irreversible organic Rankine cycle. J. Therm. Sci. 2018, 27, 555–562. [Google Scholar] [CrossRef]
  43. Liu, Y.L.; Zhang, C.; Zou, Y.P.; Chen, J.; Liu, C. Thermal-economic evaluation of using organic Rankine cycle system to recover flue gas waste heat of a 30t/h industrial boiler. J. Chongqing Univ. 2018, 41, 91–99. [Google Scholar]
  44. Li, T.L.; Gao, R.Z.; Gao, X. Energy, exergy, economic, and environment (4E) assessment of trans-critical organic Rankine cycle for combined heating and power in wastewater treatment plant. Energy Convers. Manag. 2022, 267, 115932. [Google Scholar] [CrossRef]
  45. Wang, Q.L.; Wang, J.Q.; Li, T.L.; Meng, N. Techno-economic performance of two-stage series evaporation organic Rankine cycle with dual-level heat sources. Appl. Therm. Eng. 2020, 171, 115078. [Google Scholar] [CrossRef]
  46. Mignard, D. Correlating the chemical engineering plant cost index with macro-economic indicators. Chem. Eng. Res. Des. 2014, 92, 285–294. [Google Scholar] [CrossRef]
  47. Wang, J.Y.; Wang, W.B. Comprehensive analysis and multi-objective optimization of organic rankine cycle power generation system based on waste heat utilization between compressor stages. J. Shanxi Univ. Sci. Technol. 2023, 41, 165–171. [Google Scholar]
  48. Nafey, A.S.; Sharaf, M.A. Combined solar organic Rankine cycle with reverse osmosis desalination process: Energy, exergy, and cost evaluations. Renew. Energy 2010, 35, 2571–2580. [Google Scholar] [CrossRef]
  49. Samadi, F.; Kazemi, N. Exergoeconomic analysis of zeotropic mixture on the new proposed organic Rankine cycle for energy production from geothermal resources. Renew. Energy 2020, 152, 1250–1265. [Google Scholar] [CrossRef]
  50. Liao, G.L.; E, J.Q.; Zhang, F.; Chen, J.W.; Leng, E.W. Advanced exergy analysis for Organic Rankine Cycle-based layout to recover waste heat of flue gas. Appl. Energy 2020, 266, 114891. [Google Scholar] [CrossRef]
  51. Lu, J.L.; Zhang, J.; Chen, S.L.; Pu, Y.M. Analysis of organic Rankine cycles using zeotropic mixtures as working fluids under different restrictive conditions. Energy Convers. Manag. 2016, 126, 704–716. [Google Scholar] [CrossRef]
Figure 1. Schematic diagram of ORC system for WHR.
Figure 1. Schematic diagram of ORC system for WHR.
Energies 17 05893 g001
Figure 2. T-s diagrams of ORC system using pure and mixed OWMs.
Figure 2. T-s diagrams of ORC system using pure and mixed OWMs.
Energies 17 05893 g002
Figure 3. T-s diagrams of four operational conditions for the ORC system using mixed OWM.
Figure 3. T-s diagrams of four operational conditions for the ORC system using mixed OWM.
Energies 17 05893 g003
Figure 4. T-s diagrams of R600a, R601a, and their mixtures.
Figure 4. T-s diagrams of R600a, R601a, and their mixtures.
Energies 17 05893 g004
Figure 5. Change of slip temperature with MR600a under various state locations of ET and CT.
Figure 5. Change of slip temperature with MR600a under various state locations of ET and CT.
Energies 17 05893 g005
Figure 6. Changes of Wnet and ηex with MR600a.
Figure 6. Changes of Wnet and ηex with MR600a.
Energies 17 05893 g006
Figure 7. Changes of system THA and EPC with MR600a.
Figure 7. Changes of system THA and EPC with MR600a.
Energies 17 05893 g007
Figure 8. Change of slip temperature with ET of OWM.
Figure 8. Change of slip temperature with ET of OWM.
Energies 17 05893 g008
Figure 9. Changes of Wnet and ηex with ET of OWM.
Figure 9. Changes of Wnet and ηex with ET of OWM.
Energies 17 05893 g009
Figure 10. Changes of system THA and EPC with ET of OWM.
Figure 10. Changes of system THA and EPC with ET of OWM.
Energies 17 05893 g010
Figure 11. Change of slip temperature with CT of OWM.
Figure 11. Change of slip temperature with CT of OWM.
Energies 17 05893 g011
Figure 12. Changes of Wnet and ηex with CT of OWM.
Figure 12. Changes of Wnet and ηex with CT of OWM.
Energies 17 05893 g012
Figure 13. Changes of system THA and EPC with CT of OWM.
Figure 13. Changes of system THA and EPC with CT of OWM.
Energies 17 05893 g013
Figure 14. Changes of Wnet and ηex with SD of OWM.
Figure 14. Changes of Wnet and ηex with SD of OWM.
Energies 17 05893 g014
Figure 15. Changes of system THA and EPC with SD of OWM.
Figure 15. Changes of system THA and EPC with SD of OWM.
Energies 17 05893 g015
Figure 16. Change of F(ηex, EPC) with MR600a.
Figure 16. Change of F(ηex, EPC) with MR600a.
Energies 17 05893 g016
Figure 17. Changes of F(ηex, EPC) with ORC crucial parameters.
Figure 17. Changes of F(ηex, EPC) with ORC crucial parameters.
Energies 17 05893 g017
Figure 18. Change of F(ηex, EPC) with MR600a under optimal crucial parameters.
Figure 18. Change of F(ηex, EPC) with MR600a under optimal crucial parameters.
Energies 17 05893 g018
Table 1. Overall heat transfer coefficients in the evaporator and condenser.
Table 1. Overall heat transfer coefficients in the evaporator and condenser.
Coefficients (W/(m2·K))UprehUevapUsuphUprecUcond
Value17014090600900
Table 2. Cost coefficients of each system component.
Table 2. Cost coefficients of each system component.
ComponentsK1K2K3C1C2C3B1B2FmFbm
Expander3.5140.5890//////3.5
Pump3.389−0.0540.1540001.891.351.5/
Exchanger4.666−0.1560.1550000.961.212.45/
Table 3. Physical property parameters of R600a and R601a.
Table 3. Physical property parameters of R600a and R601a.
SubstanceIsobutane (R600a)Isopentane (R601a)
TypeDryDry
Molar mass (g/mol)58.1272.15
Boiling point temperature (K)261.41300.98
Critical temperature (K)407.85460.35
Critical pressure (MPa)3.633.378
Ozone depletion potential00
Global warming potential204
Table 4. Related parameters of mixed OWM under various MR600a.
Table 4. Related parameters of mixed OWM under various MR600a.
MR600aMolar Mass (g/mol)Critical Temperature (K)Critical Pressure (MPa)
0.170.45455.63.491
0.268.83450.73.583
0.367.28445.673.654
0.465.8440.513.705
0.564.38435.273.738
0.663.02429.943.752
0.761.72424.543.749
0.860.47419.073.728
0.959.28413.53.689
Table 5. Comparison between current study and Ref. [51].
Table 5. Comparison between current study and Ref. [51].
MR601aWnet in Ref. [51]/kWWnet in Current Study/kWRelative Deviation/%ηcycle in Ref. [51]ηcycle in Current StudyRelative Deviation/%
034.6934.570.3511.1511.130.18
0.134.1934.080.3211.03110.27
0.233.7433.610.3910.9210.890.27
0.333.3533.250.310.8210.80.18
0.433.0332.890.4210.7310.710.19
0.532.7932.670.3710.6810.660.19
0.632.6532.510.4310.6410.610.28
0.732.6432.530.3410.6510.620.28
0.832.8232.710.3410.710.680.19
0.933.2633.170.2710.8310.810.18
1.034.133.980.3511.0611.040.18
Table 6. Initial parameters of ORC system.
Table 6. Initial parameters of ORC system.
Parametersmg (kg/s)T8 (K)T12 (K)ηp (%)ηe (%)ΔT6-10 (K)ΔT3-13 (K)T0 (K)
Value180433.15293.158085105293.15
Table 7. Lower and upper bounds for four variable parameters.
Table 7. Lower and upper bounds for four variable parameters.
Variable ParametersLower BoundUpper Bound
MR600a01
Teva (K)363.15393.15
Tcon (K)308.15323.15
ΔTsup (K)015
Table 8. Performance comparison of four operational conditions under optimal crucial parameters.
Table 8. Performance comparison of four operational conditions under optimal crucial parameters.
ConditionsMR600aT11 (K)Wnet (kW)ηex (%)EPC ($/kWh)
11366.91651.251.850.1027
2
30.7369.21670.653.910.1076
4364.31759.753.670.1088
Disclaimer/Publisher’s Note: The statements, opinions and data contained in all publications are solely those of the individual author(s) and contributor(s) and not of MDPI and/or the editor(s). MDPI and/or the editor(s) disclaim responsibility for any injury to people or property resulting from any ideas, methods, instructions or products referred to in the content.

Share and Cite

MDPI and ACS Style

Feng, J.; Yan, Y.; Zhao, L.; Dong, H. Energy, Exergy, and Economic Performance Comparison and Parametric Optimization of Organic Rankine Cycles Using Isobutane, Isopentane, and Their Mixtures for Waste Heat Recovery. Energies 2024, 17, 5893. https://doi.org/10.3390/en17235893

AMA Style

Feng J, Yan Y, Zhao L, Dong H. Energy, Exergy, and Economic Performance Comparison and Parametric Optimization of Organic Rankine Cycles Using Isobutane, Isopentane, and Their Mixtures for Waste Heat Recovery. Energies. 2024; 17(23):5893. https://doi.org/10.3390/en17235893

Chicago/Turabian Style

Feng, Junsheng, Yaru Yan, Liang Zhao, and Hui Dong. 2024. "Energy, Exergy, and Economic Performance Comparison and Parametric Optimization of Organic Rankine Cycles Using Isobutane, Isopentane, and Their Mixtures for Waste Heat Recovery" Energies 17, no. 23: 5893. https://doi.org/10.3390/en17235893

APA Style

Feng, J., Yan, Y., Zhao, L., & Dong, H. (2024). Energy, Exergy, and Economic Performance Comparison and Parametric Optimization of Organic Rankine Cycles Using Isobutane, Isopentane, and Their Mixtures for Waste Heat Recovery. Energies, 17(23), 5893. https://doi.org/10.3390/en17235893

Note that from the first issue of 2016, this journal uses article numbers instead of page numbers. See further details here.

Article Metrics

Back to TopTop