The Impact of Policy Thematic Differences on Industrial Development: An Empirical Study Based on China’s Electric Vehicle Industry Policies at the Central and Local Levels
Abstract
1. Introduction
2. Literature Review
2.1. Current Research on the New Energy Vehicle Industry
2.2. Current Research on Text Quantification Methods
3. Research Framework and Theoretical Foundation
3.1. Dual Principal–Agent Administrative Framework
3.2. Theoretical Foundation
- 1.
- Policy Consistency Theory
- 2.
- Local Autonomy and Policy Innovation Theory
3.3. Mechanism of Impact
4. Policy Thematic Distance Measurement Based on the BERT Model
4.1. Policy Selection
4.2. BERT Model Parameter Settings
- 1.
- Parameter Settings
- 2.
- Activation Function and Loss Function
- 3.
- Data Preprocessing and Similarity Calculation
4.3. Model Evaluation and Conclusions
5. The Impact of “Central–Local” Policy Differences on New Energy Vehicle Penetration Rate
5.1. Selection of Indicators and Data
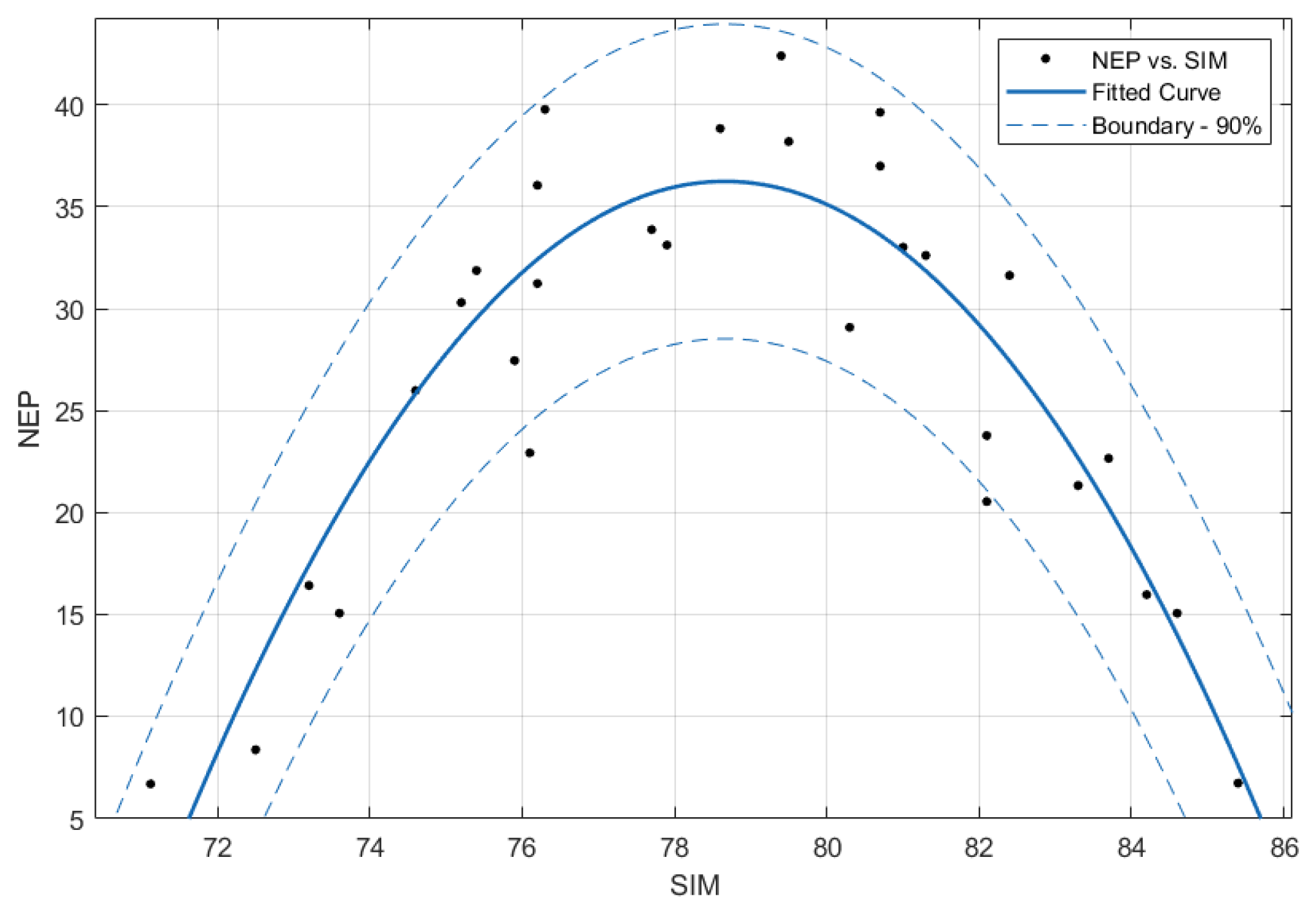
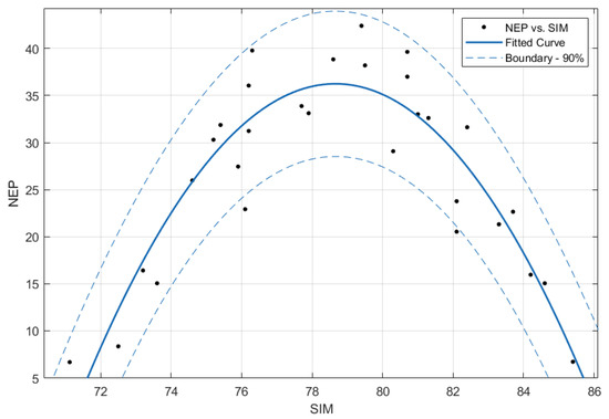
5.2. Benchmark Model of Policy Similarity on New Energy Vehicle Penetration Rate
5.3. Threshold Effect Model of Policy Similarity on New Energy Vehicle Penetration Rate
5.4. Robustness Test
6. Conclusions and Policy Implications
- 1.
- Optimize Multi-Level Policy Coordination within Current Administrative Structure
- 2.
- Balancing Consistency and Specificity for Enhanced Policy Precision
- 3.
- Strategic Policy Adaptation: A Global Perspective
7. Discussion
- Extend the research to more industrial fields, conduct comprehensive comparative analyses across industries and regions, construct a multi-dimensional indicator system for measuring policy differences, and further test the universality of the “dual principal–agent” analytical framework.
- Incorporate more explanatory variables such as industrial development stages and regional innovation environments, introduce theoretical tools like evolutionary economics and game theory, and deeply explore the dynamic evolution mechanism of central–local policy interactions.
- Strengthen comparative studies with cutting-edge research in related fields abroad, expand the international perspective of China’s industrial policy research, absorb the advantages of industrial policies from various countries, and gradually improve the industrial policy evaluation system.
Author Contributions
Funding
Data Availability Statement
Conflicts of Interest
References
- China Association of Automobile Manufacturers. China Association of Automobile Manufacturers Information Conference. Available online: http://www.caam.org.cn/chn/4/cate_39/con_5236359.html (accessed on 27 April 2024).
- National Development and Reform Commission. Decision of the State Council on Accelerating the Cultivation and Development of Strategic Emerging Industries [National Development and Reform Commission [2010] No. 32]. Available online: https://www.gov.cn/zwgk/2010-10/18/content_1724848.htm (accessed on 27 April 2024).
- Wang, N.; Tang, L.; Zhang, W.; Guo, J. How to Face the Challenges Caused by the Abolishment of Subsidies for Electric Vehicles in China? Energy 2019, 166, 359–372. [Google Scholar] [CrossRef]
- Lains, P. Convergence, Divergence and Policy: Portugal in the European Union. West Eur. Politics 2019, 42, 1094–1114. [Google Scholar] [CrossRef]
- Peng, J.; Liu, Y.; Wang, Q.; Tu, G.; Huang, X. The Impact of New Urbanization Policy on in Situ Urbanization-Policy Test Based on Difference-in-Differences Model. Land 2021, 10, 178. [Google Scholar] [CrossRef]
- Curran, D.; Mahmalat, M. Policy Divergence across Crises of a Similar Nature: The Role of Ideas in Shaping 19th Century Famine Relief Policies. Rev. Int. Political Econ. 2021, 28, 712–738. [Google Scholar] [CrossRef]
- Chong, Z.; Wang, Q.; Wang, L. Is the Photovoltaic Power Generation Policy Effective in China? A Quantitative Analysis of Policy Synergy Based on Text Mining. Technol. Forecast. Soc. Change 2023, 195, 122770. [Google Scholar] [CrossRef]
- Zhang, Z.; Sheng, N.; Zhao, D.; Cai, K.; Yang, G.; Song, Q. Are Residents More Willing to Buy and Pay for Electric Vehicles under the “Carbon Neutrality”? Energy Rep. 2023, 9, 510–521. [Google Scholar] [CrossRef]
- Wang, S.; Li, J.; Zhao, D. The Impact of Policy Measures on Consumer Intention to Adopt Electric Vehicles: Evidence from China. Transp. Res. Part A 2017, 105, 14–26. [Google Scholar] [CrossRef]
- Li, J.; Li, J.; Wu, Y. Product R&D Strategy of New Energy Vehicle Enterprises Embedded with Technical Services Under the Subsidy Threshold. J. Knowl. Econ. 2024, 1–28. [Google Scholar] [CrossRef]
- Chen, K.; Zhao, F.; Hao, H.; Liu, Z. Synergistic Impacts of China’s Subsidy Policy and New Energy Vehicle Credit Regulation on the Technological Development of Battery Electric Vehicles. Energies 2018, 11, 3193. [Google Scholar] [CrossRef]
- Lin, B.; Wu, W. The Impact of Electric Vehicle Penetration: A Recursive Dynamic CGE Analysis of China. Energy Econ. 2021, 94, 105086. [Google Scholar] [CrossRef]
- Sun, J.; Tian, M.; Zhang, W.; Ning, J. Government Subsidies and Innovation in New Energy Vehicle Companies: An Empirical Study of New Energy Vehicle Listed Companies Based on Shanghai and Shenzhen A-Shares. PLoS ONE 2023, 18, e0284693. [Google Scholar] [CrossRef] [PubMed]
- Hu, Y.; Yin, H.; Zhao, L. Subsidy Phase-Out and Consumer Demand Dynamics: Evidence from the Battery Electric Vehicle Market in China. Rev. Econ. Stat. 2023, 1–50. [Google Scholar] [CrossRef]
- Xie, Y.; Wu, J.; Zhou, X.; Sheng, Y. The Impact of Consumer Preferences on the Evolution of Competition in China’s Automobile Market under the Dual Credit Policy—A Density Game Based Perspective. PLoS ONE 2024, 19, e0295947. [Google Scholar] [CrossRef] [PubMed]
- Ma, Y.; Shi, T.; Zhang, W.; Hao, Y.; Huang, J.; Lin, Y. Comprehensive Policy Evaluation of NEV Development in China, Japan, the United States, and Germany Based on the AHP-EW Model. J. Clean. Prod. 2019, 214, 389–402. [Google Scholar] [CrossRef]
- Mikolov, T.; Sutskever, I.; Chen, K.; Corrado, G.; Dean, J. Distributed Representations of Words and Phrases and Their Compositionality. arXiv 2013, arXiv:1310.4546. [Google Scholar]
- Devlin, J.; Chang, M.-W.; Lee, K.; Toutanova, K. BERT: Pre-training of Deep Bidirectional Transformers for Language Understanding. Available online: https://arxiv.org/abs/1810.04805v2 (accessed on 9 April 2024).
- Pennington, J.; Socher, R.; Manning, C. Glove: Global Vectors for Word Representation. In Proceedings of the 2014 Conference on Empirical Methods in Natural Language Processing (EMNLP), Doha, Qatar, 25–29 October 2014; Association for Computational Linguistics: Doha, Qatar, 2014; pp. 1532–1543. [Google Scholar]
- Linder, F.; Desmarais, B.; Burgess, M.; Giraudy, E. Text as Policy: Measuring Policy Similarity through Bill Text Reuse. Policy Stud. J. 2020, 48, 546–574. [Google Scholar] [CrossRef]
- Gentzkow, M.; Shapiro, J.M.; Taddy, M. Measuring Group Differences in High-Dimensional Choices: Method and Application to Congressional Speech. ECTA 2019, 87, 1307–1340. [Google Scholar] [CrossRef]
- Hansen, S.; McMahon, M.; Prat, A. Transparency and Deliberation Within the FOMC: A Computational Linguistics Approach. Q. J. Econ. 2018, 133, 801–870. [Google Scholar] [CrossRef]
- Wei, J. Thoughts on the Adjustment of China’s Industrial Policy in the New Era. J. Beijing Jiaotong Univ. (Soc. Sci. Ed.) 2019, 18, 1–9. [Google Scholar] [CrossRef]
- Yu, B.; Zhou, X. Urban Administrative Hierarchy and Urban Land Use Efficiency: Evidence from Chinese Cities. Int. Rev. Econ. Financ. 2023, 88, 178–195. [Google Scholar] [CrossRef]
- Landry, P.F.; Lu, X.; Duan, H. Does Performance Matter? Evaluating Political Selection along the Chinese Administrative Ladder. Comp. Political Stud. 2018, 51, 1074–1105. [Google Scholar] [CrossRef]
- Lu, L.; Huang, H.; Wei, J.; Xu, J. Safety Regulations and the Uncertainty of Work-Related Road Accident Loss: The Triple Identity of Chinese Local Governments under Principal-Agent Framework. Risk Anal. 2020, 40, 1168–1182. [Google Scholar] [CrossRef] [PubMed]
- Shen, Q.; Feng, K.; Zhang, X. Divergent Technological Strategies among Leading Electric Vehicle Firms in China: Multiplicity of Institutional Logics and Responses of Firms. Sci. Public Policy 2016, 43, 492–504. [Google Scholar] [CrossRef]
- Huang, H. The Mechanism for Joint and Individual Accountability Based on the Multilayered “principal-Agent” Relationships: Taking the Implementing of “Peaceful Zhejiang” as an Example. J. Chin. Gov. 2017, 2, 292–306. [Google Scholar] [CrossRef]
- Aguirre, I.; Beitia, A. Modelling Countervailing Incentives in Adverse Selection Models: A Synthesis. Econ. Model. 2017, 62, 82–89. [Google Scholar] [CrossRef]
- Sabatier, P.; Mazmanian, D. The Implementation of Public Policy: A Framework of Analysis. Policy Stud. J. 1980, 8, 538–560. [Google Scholar] [CrossRef]
- Li, L.; Wang, Z.; Wang, Q. Do Policy Mix Characteristics Matter for Electric Vehicle Adoption? A Survey-Based Exploration. Transp. Res. Part D-Transp. Environ. 2020, 87, 102488. [Google Scholar] [CrossRef]
- van Geet, M.T.; Verweij, S.; Busscher, T.; Arts, J. The Importance of Policy Design Fit for Effectiveness: A Qualitative Comparative Analysis of Policy Integration in Regional Transport Planning. Policy Sci. 2021, 54, 629–662. [Google Scholar] [CrossRef]
- Wildavsky, A.; Pressman, J.L. Implementation: How Great Expectations in Washington Are Dashed in Oakland; or, Why It’s Amazing That Federal Programs Work at All, This Being a Saga... Who Seek to Build Morals on a Foundation; University of California Press: Berkeley, CA, USA, 1984; ISBN 978-0-520-05331-1. [Google Scholar]
- Ostrom, V.; Tiebout, C.M.; Warren, R. The Organization of Government in Metropolitan Areas: A Theoretical Inquiry. Am. Political Sci. Rev. 1961, 55, 831–842. [Google Scholar] [CrossRef]
- Zhao, C.; Feng, F.; Chen, Y.; Li, X. Local Government Competition and Regional Innovation Efficiency: From the Perspective of China-Style Fiscal Federalism. Sci. Publ. Policy 2021, 48, 488–489. [Google Scholar] [CrossRef]
- Li, J.; Guo, Y. The Impact of Energy Use Rights Trading Policy on Industrial Companies’ Green Investments –Evidence from a Quasi-Natural Experiment in China. Energy Rep. 2024, 12, 329–340. [Google Scholar] [CrossRef]
- Yang, F.; Gan, Q. Effect of Energy Poverty Alleviation on High-Quality Economic Development: An Empirical Study Based on China. Energies 2024, 17, 5085. [Google Scholar] [CrossRef]
- Tuckerman, L.; Nelles, J.; Walsh, K.; Vorley, T. Sustainable Innovation Policy: Examining the Discourse of UK Innovation Policy. Environ. Sci. Policy 2023, 145, 286–297. [Google Scholar] [CrossRef]
- Ran, R. Perverse Incentive Structure and Policy Implementation Gap in China’s Local Environmental Politics. J. Environ. Plan. Policy Manag. 2013, 15, 17–39. [Google Scholar] [CrossRef]
- Luo, X.; Wang, H.; Kang, Z. Research on the policy changes of China’s integrated circuit industry. Stud. Sci. Sci. 2023, 41, 413. [Google Scholar]
- The Website of the Central People’s Government of the PRC. Available online: https://www.gov.cn/ (accessed on 11 August 2024).
- Peking University Legal Information Network. Available online: https://www.pkulaw.com/ (accessed on 11 August 2024).
- China Association of Automobile Manufacturers. Available online: http://www.caam.org.cn/ (accessed on 11 August 2024).
- Vaswani, A.; Shazeer, N.M.; Parmar, N.; Uszkoreit, J.; Jones, L.; Gomez, A.N.; Kaiser, L.; Polosukhin, I. Attention Is All You Need. In Proceedings of the Neural Information Processing Systems, Long Beach, CA, USA, 4–9 December 2017. [Google Scholar]
- Elmaslar Özbaş, E.; Akın, Ö.; Güneysu, S.; Özcan, H.K.; Öngen, A. Changes Occurring in Consumption Habits of People during COVID-19 Pandemic and the Water Footprint. Environ. Dev. Sustain. 2022, 24, 8504–8520. [Google Scholar] [CrossRef]
- Deng, Q.S.; Alvarado, R.; Cheng, F.N.; Cuesta, L.; Wang, C.B.; Pinzón, S. Long-Run Mechanism for House Price Regulation in China: Real Estate Tax, Monetary Policy or Macro-Prudential Policy? Econ. Anal. Policy 2023, 77, 174–186. [Google Scholar] [CrossRef]
- Wang, Q.; Sun, J.; Li, R.; Korkut Pata, U. Linking Trade Openness to Load Capacity Factor: The Threshold Effects of Natural Resource Rent and Corruption Control. Gondwana Res. 2024, 129, 371–380. [Google Scholar] [CrossRef]
- Huang, X.; Wang, X.; Ge, P. Selective Industrial Policy and Innovation Resource Misallocation. Econ. Anal. Policy 2024, 82, 124–146. [Google Scholar] [CrossRef]
- Li, H.; Qi, H.; Cao, H.; Yuan, L. Industrial Policy and Technological Innovation of New Energy Vehicle Industry in China. Energies 2022, 15, 9264. [Google Scholar] [CrossRef]
- Binetti, M.N. Rebuilding Energy Infrastructures and the Manufacturing Sector in Post-Conflict Countries. Energy Policy 2023, 172, 113298. [Google Scholar] [CrossRef]
- Hansen, B.E. Sample Splitting and Threshold Estimation. Econometrica 2000, 68, 575–603. [Google Scholar] [CrossRef]
- Caner, M.; Hansen, B.E. Instrumental Variable Estimation of a Threshold Model. Econ. Theory 2004, 20, 813–843. [Google Scholar] [CrossRef]
- Haustein, S.; Jensen, A.F.; Cherchi, E. Battery Electric Vehicle Adoption in Denmark and Sweden: Recent Changes, Related Factors and Policy Implications. Energy Policy 2021, 149, 112096. [Google Scholar] [CrossRef]
- Wenig, J.; Sodenkamp, M.; Staake, T. Battery versus Infrastructure: Tradeoffs between Battery Capacity and Charging Infrastructure for Plug-in Hybrid Electric Vehicles. Appl. Energy 2019, 255, 113787. [Google Scholar] [CrossRef]
- Singh, V.; Singh, V.; Vaibhav, S. A Review and Simple Meta-Analysis of Factors Influencing Adoption of Electric Vehicles. Transp. Res. Part D Transp. Environ. 2020, 86, 102436. [Google Scholar] [CrossRef]
- Rogers, E.M. Diffusion of Innovations, 5th ed.; Free Press: New York, NY, USA.; London, UK; Toronto, ON, Canada; Sydney, Australia, 2003; ISBN 978-0-7432-2209-9. [Google Scholar]
- Jiang, Z.; Xu, C. Policy Incentives, Government Subsidies, and Technological Innovation in New Energy Vehicle Enterprises: Evidence from China. Energy Policy 2023, 177, 113527. [Google Scholar] [CrossRef]
- Noda, K. Institutional Economics as Theory of Policy Change: Impact of Past Policy Failures on Present Policy. J. Econ. Issues 2018, 52, 117–135. [Google Scholar] [CrossRef]
- Wang, X.; Zhang, J. Beyond the Quantity-Quality Tradeoff: Population Control Policy and Human Capital Investment. J. Dev. Econ. 2018, 135, 222–234. [Google Scholar] [CrossRef]
- Gao, X. The Comparative Impact of Solar Policies on Entrepreneurship in the US Solar Photovoltaic Installation Industry. Energy Policy 2021, 156, 112389. [Google Scholar] [CrossRef]
- Mao, N.; Ma, J.; Chen, Y.; Xie, J.; Yu, Q.; Liu, J. Forecasting Motor Vehicle Ownership and Energy Demand Considering Electric Vehicle Penetration. Energies 2024, 17, 5094. [Google Scholar] [CrossRef]
- Xia, L.; Gao, S.; Wei, J.; Ding, Q. Government Subsidy and Corporate Green Innovation—Does Board Governance Play a Role? Energy Policy 2022, 161, 112720, Corrigendum in Energy Policy 2022, 168, 113115. [Google Scholar] [CrossRef]
- Banna, S.; Ottesen, A.; Alzougool, B. Reasons Why Only Kuwaiti Citizens Drive Electric Vehicles despite Being Only a Quarter of the Population. World Electr. Veh. J. 2023, 14, 287. [Google Scholar] [CrossRef]
- Acheampong, A.O.; Opoku, E.E.O.; Dogah, K.E. The Political Economy of Energy Transition: The Role of Globalization and Governance in the Adoption of Clean Cooking Fuels and Technologies. Technol. Forecast. Soc. Change 2023, 186, 122156. [Google Scholar] [CrossRef]
- Ali, I.; Naushad, M. A Study to Investigate What Tempts Consumers to Adopt Electric Vehicles. World Electr. Veh. J. 2022, 13, 26. [Google Scholar] [CrossRef]
- Lucchi, E. Integration between Photovoltaic Systems and Cultural Heritage: A Socio-Technical Comparison of International Policies, Design Criteria, Applications, and Innovation Developments. Energy Policy 2022, 171, 113303. [Google Scholar] [CrossRef]
- Elmallah, S.; Hoen, B.; Fujita, K.S.; Robson, D.; Brunner, E. Shedding Light on Large-Scale Solar Impacts: An Analysis of Property Values and Proximity to Photovoltaics across Six U.S. States. Energy Policy 2023, 175, 113425. [Google Scholar] [CrossRef]
- Afrifa, G.A.; Tingbani, I.; Adesina, O.O. Stochastic Frontier Modelling of Working Capital Efficiency across Europe. Technol. Forecast. Soc. Change 2022, 184, 122012. [Google Scholar] [CrossRef]
- Cheng, X.; Wu, P.; Liao, S.S.; Wang, X. An Integrated Model for Crude Oil Forecasting: Causality Assessment and Technical Efficiency. Energy Econ. 2023, 117, 106467. [Google Scholar] [CrossRef]
- Wu, Y.; Lau, Y.-Y.; Wu, J.-A. Integration of Electric Vehicles into Microgrids: Policy Implication for the Industrial Application of Carbon Neutralisation in China. World Electr. Veh. J. 2022, 13, 96. [Google Scholar] [CrossRef]
- Ma, T.; Cao, X. FDI, Technological Progress, and Green Total Factor Energy Productivity: Evidence from 281 Prefecture Cities in China. Environ. Dev. Sustain. 2022, 24, 11058–11088. [Google Scholar] [CrossRef]






| Year | Policy Name | Policy Number |
|---|---|---|
| 2009 | Announcement on the Release of Access Management Rules for New Energy Vehicle Manufacturers and Products | No. 44 [2009] of the Ministry of Industry and Information Technology |
| …… | ……. | …… |
| 2023 | Guiding Opinions on Further Strengthening the Construction of Safety Systems for New Energy Vehicle Enterprises | No. 10 [2022] of the General Office of the Ministry of Industry and Information Technology |
| Year | Policy Name | Policy Number |
|---|---|---|
| 2009 | Several Policy Provisions on Promoting the Development of New Energy Vehicle Industry in Shanghai | No. 55 [2009] of the General Office of the People’s Government of Shanghai Municipality |
| …… | ……. | …… |
| 2023 | Shanghai’s Implementation Plan for Accelerating the Development of New Energy Vehicle Industry (2021–2025) | No. 10 [2021] of the General Office of the People’s Government of Shanghai Municipality |
| Variable Name | Variable Symbol | Unit | Minimum Value | Maximum Value | Mean | Standard Deviation |
|---|---|---|---|---|---|---|
| New Energy Vehicle Market Penetration | NEP | % | 6.67 | 53.53 | 27.77 | 10.98 |
| Policy Thematic Similarity Index | SIM | % | 71.1 | 85.40 | 78.69 | 3.78 |
| Number of Policies | NUM | count | 3 | 47 | 18.23 | 12.14 |
| Public EV Charging Infrastructure | CPL | 10,000 units | 0.0557 | 38.30 | 5.79 | 7.1034 |
| Average Temperature | TEMP | °C | 3.6 | 24.8 | 14.0 | 5.41 |
| Air Quality Index | AQI | μg/m2 | 5.4 | 46.00 | 29.67 | 9.10 |
| Population Density | POP | Persons/km2 | 3 | 3950 | 474.58 | 707.52 |
| Educational Attainment | EDU | % | 4.75 | 28.60 | 8.43 | 4.90 |
| Per Capita Disposable Income | COL | 10,000 CNY | 2.32731 | 7.96 | 3.66 | 1.37043 |
| Variable | Basic Group | Control Group 1 | Control Group 2 | Control Group 3 |
|---|---|---|---|---|
| −9.6490 *** (0.000) | −6.653 (0.392) | −9.5640 ** (0.031) | −9.6131 * (0.979) | |
| −0.2253 *** (0.008) | −0.1292 (0.141) | |||
| 36.2431 *** (0.000) | 13.6509 * (0.152) | |||
| 1.790 (0.121) | 3.914 (0.149) | |||
| 3.590 * (0.087) | 4.275 (0.101) | |||
| N | 31 | 31 | 31 | 31 |
| R2 | 0.8298 | 0.2289 | 0.5928 | 0.5012 |
| SSE | 519.5843 | 694.5287 | 558.3571 | 600.8154 |
| RMSE | 4.3868 | 9.3427 | 5.743 | 5.219 |
| Control variables included | Yes | No | Yes | No |
| Threshold Quantity | BS Sample Size | F-Statistic | p-Value |
|---|---|---|---|
| 1 | 350 | 7.89 | 0.159 |
| 2 | 350 | 13.38 | 0.009 |
| 3 | 350 | 8.91 | 0.151 |
| 4 | 350 | 6.25 | 0.242 |
| Indicator | NUM < φ1 | φ1 <= NUM < φ2 | NUM >= φ2 |
|---|---|---|---|
| −2233.6577 *** (0.000) | −3477.4708 *** (0.007) | −1960.2629 *** (0.009) | |
| 54.6759 *** (0.009) | 89.1656 *** (0.001) | 52.5481 *** (0.000) | |
| −0.3307 *** (0.000) | −0.5657 *** (0.010) | −0.3456 *** (0.003) | |
| F-statistic | 5.261 (0.000) | 4.029 (0.000) | 3.905 (0.000) |
| Jarque–Bera | 0.315 (0.8543) | 0.437 (0.0788) | 0.5624 (0.7549) |
| Breusch–Pagan | 1.6788 (0.432) | 0.6022 (0.74) | 1.5869 (0.4523) |
| White | 1.8387 (0.7654) | 1.2087 (0.8767) | 3.7518 (0.4406) |
| VIF | 9.7542 | 9.7868 | 9.9174 |
| VIF | 6.7959 | 6.9173 | 5.7317 |
| VIF | 7.7315 | 7.5322 | 9.6424 |
| Durbin–Watson | 1.85 | 1.775 | 1.678 |
| N | 434 | 434 | 434 |
| R2 | 0.801 | 0.765 | 0.721 |
| Indicator | NUM < φ1 | φ1 <= NUM < φ2 | NUM >= φ2 |
|---|---|---|---|
| −2455.8537 *** (0.000) | −3410.8366 *** (0.007) | −1895.8356 *** (0.004) | |
| 56.9377 *** (0.029) | 90.8572 *** (0.000) | 51.9266 *** (0.005) | |
| −0.3963 *** (0.000) | −0.5924 *** (0.010) | −0.3128 *** (0.007) |
Disclaimer/Publisher’s Note: The statements, opinions and data contained in all publications are solely those of the individual author(s) and contributor(s) and not of MDPI and/or the editor(s). MDPI and/or the editor(s) disclaim responsibility for any injury to people or property resulting from any ideas, methods, instructions or products referred to in the content. |
© 2024 by the authors. Licensee MDPI, Basel, Switzerland. This article is an open access article distributed under the terms and conditions of the Creative Commons Attribution (CC BY) license (https://creativecommons.org/licenses/by/4.0/).
Share and Cite
Liu, Z.; Xie, T. The Impact of Policy Thematic Differences on Industrial Development: An Empirical Study Based on China’s Electric Vehicle Industry Policies at the Central and Local Levels. Energies 2024, 17, 5805. https://doi.org/10.3390/en17225805
Liu Z, Xie T. The Impact of Policy Thematic Differences on Industrial Development: An Empirical Study Based on China’s Electric Vehicle Industry Policies at the Central and Local Levels. Energies. 2024; 17(22):5805. https://doi.org/10.3390/en17225805
Chicago/Turabian StyleLiu, Zizheng, and Tao Xie. 2024. "The Impact of Policy Thematic Differences on Industrial Development: An Empirical Study Based on China’s Electric Vehicle Industry Policies at the Central and Local Levels" Energies 17, no. 22: 5805. https://doi.org/10.3390/en17225805
APA StyleLiu, Z., & Xie, T. (2024). The Impact of Policy Thematic Differences on Industrial Development: An Empirical Study Based on China’s Electric Vehicle Industry Policies at the Central and Local Levels. Energies, 17(22), 5805. https://doi.org/10.3390/en17225805

