Intelligent Control of an Experimental Small-Scale Wind Turbine
Abstract
1. Introduction
- (a)
- Vertical-axis WTGs have the rotor axis in the vertical direction. These turbines catch the wind in any direction it comes and do not need any orientation mechanism. The electric generator lies on the ground, reducing the cost of supporting structures and maintenance labor. The efficiency of these turbines can surpass 70%. For principal vertical axes, WTGs use Darreius or Savonius wind turbines.
- (b)
- Horizontal-axis WTGs have the rotor axis in the horizontal direction. Their performance depends on wind direction and requires an orientation mechanism for the blades to face the incoming wind. Rotors can have from two to more than a dozen blades. The electric generator must be suspended at the turbine height. The ideal efficiency of these WTGs is between 50% and 60%.
1.1. SS-WTG Control Systems
1.1.1. Control Strategies for Region II
1.1.2. Control Strategies for Region III
Passive Stall Control
Active Stall Control
Pitch Control
1.2. Main Types of Control
1.3. Pitch Control Using Fuzzy Logic
1.4. State of the Art
2. Materials and Methods
2.1. Fuzzy Sets and Knowledge Representation
2.1.1. Fuzzy Sets and Fuzzy Set Operations
2.1.2. Fuzzy Variables and Fuzzy Propositions
2.1.3. Fuzzy Rules and Knowledge Bases
2.2. Approximate Reasoning and Fuzzy Systems
2.2.1. Fuzzy Interference or Approximate Reasoning
| Premise 1: | x is | (Fact). |
| Premise 2: | If x is X, then y is Y | (Rule) |
| Conclusion: | y is | (Consequence) |
| Fact: | |
| Rule: |
| Extension: | |
| Intersection: | |
| Projection: | |
| Conclusion: |
2.2.2. Fuzzy Interference with Mamdani Rules
| : | |
| : | for |
| : |
2.2.3. Fuzzy Inference with TSK-Type Rules
| : | |
| : | for |
| : |
2.2.4. Fuzzy Inference with Fuzzification and Defuzzification
2.3. Small-Scale Wind Turbine Model
2.3.1. Horizontal-Axis Wind Turbine Generators
2.3.2. Small-Scale Pitch-Controlled Wind Turbine
2.3.3. Pitch Servo Dynamics
2.3.4. Blade Aerodynamics
2.3.5. Rotor Speed Dynamics
2.3.6. Operation of SSWT via Pitch Control
2.4. Fuzzy Speed Controller for SSWT
2.4.1. Conventional PID Controller
2.4.2. Fuzzy PID Controller
2.4.3. TSK Fuzzy PI Controller
2.4.4. Linguistic Values of Inputs
2.4.5. TSK Fuzzy Rules for PI Control
2.4.6. Output Averaging
3. Results
3.1. Simulations of Wide-Range Operation
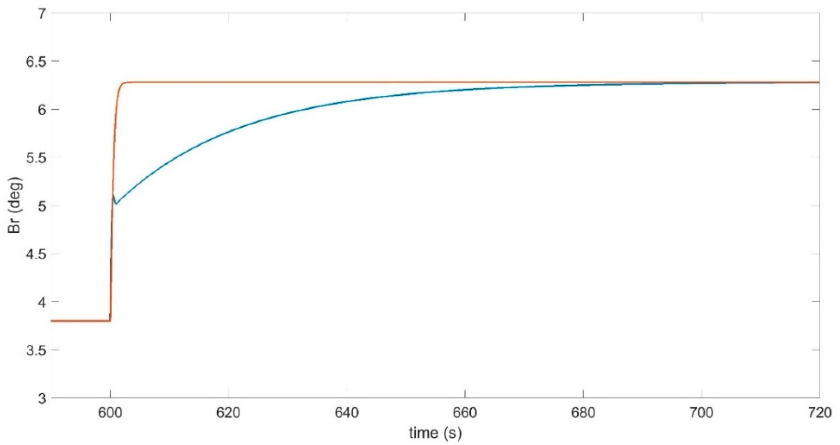
3.2. Response to a Step Disturbance in Wind Velocity
3.3. Response to Real Wind Speed Measurements
4. Discussion
Author Contributions
Funding
Data Availability Statement
Conflicts of Interest
References
- Cao, W.; Xie, Y.; Tan, Z. Wind Turbine Generator Technologies. In Advances in Wind Power; Carriveau, R., Ed.; IntechOpen: London, UK, 2012. [Google Scholar] [CrossRef]
- Eicke, A.; Eicke, L.; Hafner, M. Wind Power Generation. In The Palgrave Handbook of International Energy Economics; Hafner, M., Luciani, G., Eds.; Palgrave Macmillan Cham: London, UK, 2022. [Google Scholar] [CrossRef]
- Fiedler, B.H.; Bukovsky, M.S. The effect of a giant wind farm on precipitation in a regional climate model. Environ. Res. Lett. 2011, 6, 045101. [Google Scholar] [CrossRef]
- Peacock, N. Small wind turbines: Making them work for you. Energy Build. Ind. 2015, Series 12, Module 7, pp. 29–32. Available online: https://www.energyinst.org/?a=538857 (accessed on 1 November 2024).
- Tummala, A.; Velamati, R.K.; Sinha, D.K.; Indraja, V.; Krishna, V.H. A review on small scale wind turbines. Renew. Sustain. Energy Rev. 2016, 56, 1351–1371. [Google Scholar] [CrossRef]
- Probst, O.; Martnez, J.; Elizondo, J.; Monroy, O. Small Wind Turbine Technology. In Tech eBooks; IntechOpen: London, UK, 2011; pp. 107–136. [Google Scholar] [CrossRef]
- Maegaard, P.; Krenz, A.; Afrodit, K.; Pitteloud, J.; Gsänger, S.; Ogg, F. Catalogue of Small Wind Turbines Under 50 kW, 8th ed.; Folkecenter: Thisted, Denmark, 2016; ISBN 978-87-7778-137-7. [Google Scholar]
- Tambe, S.; Patil, S.; Raut, N. Overview and Study of Wind Turbine Generators. Int. Res. J. Eng. Technol. (IRJET) 2024, 11, 528–535. [Google Scholar]
- Blaabjerg, F.; Liserre, M.; Ma, K. Power Electronics Converters for Wind Turbine Systems. IEEE Trans. Ind. Appl. 2012, 48, 708–719. [Google Scholar] [CrossRef]
- Querejazu, D. Small Scale Wind Power for Homes, Farms and Communities; Environmental and Energy Study Institute: Washington, DC, USA, 2012. [Google Scholar]
- Borunda, M.; De la Cruz, J.; Garduno-Ramirez, R.; Nicholson, A. Technical assessment of small-scale wind power for residential use in Mexico: A Bayesian intelligence approach. PLoS ONE 2020, 15, e0230122. [Google Scholar] [CrossRef]
- Bianchini, A.; Bangga, G.; Baring-Gould, I.; Croce, A.; Cruz, J.I.; Damiani, R.; Erfort, G.; Simao Ferreira, C.; Infield, D.; Nayeri, C.N.; et al. Current status and grand challenges for small wind turbine technology. Wind Energy Sci. 2022, 7, 2003–2037. [Google Scholar] [CrossRef]
- Small-Scale wind Energy, Policy Insights and Practical Guidance. 2008. Carbon Trust. Available online: https://ctprodstorageaccountp.blob.core.windows.net/prod-drupal-files/documents/resource/public/Small-Scale%20Wind%20Energy%20-%20Policy%20Inisghts%20and%20Practical%20Guidance%20-%20REPORT.pdf (accessed on 1 November 2024).
- Wood, D. Small Wind Turbines: Analysis, Design, and Application; Springer: London, UK, 2011. [Google Scholar]
- Bianchi, F.D.; De Battista, H.; Mantz, R.J. Wind Turbine Control Systems: Principles, Modelling and Gain Scheduling Design, 1st ed.; Springer: London, UK, 2007. [Google Scholar]
- Hong, Y.; Lu, S.; Chiou, C. MPPT for PM wind generator using gradient approximation. Energy Convers. Manag. 2009, 50, 82–89. [Google Scholar] [CrossRef]
- Aissaoui, H.E.; Ougli, A.E.; Tidhaf, B. A New Maximum Power Point Tracking Based on Neural Networks and Incremental Conductance for Wind Energy Conversion System. E3S Web Conf. 2022, 336, 00055. [Google Scholar] [CrossRef]
- Tiwari, R.; Babu, N.R. Fuzzy Logic Based MPPT for Permanent Magnet Synchronous Generator in wind Energy Conversion System. IFAC-PapersOnLine 2016, 49, 462–467. [Google Scholar] [CrossRef]
- Jagwani, S.; Venkatesha, L. Particle Swarm Optimization-Based MPPTController for Wind Turbine Systems. In Data, Engineering and Applications; Shukla, R.K., Agrawal, J., Sharma, S., Singh Tomer, G., Eds.; Springer: Singapore, 2019. [Google Scholar] [CrossRef]
- Mrabet, N.; Benzazah, C.; El Akkary, A.; Sefiani, N. Multi-Objective Ant Colony Optimization for Enhancing the Maximum Power of Variable-Speed Wind Turbines Based on PMSG. Int. J. Energy Convers. (IRECON) 2023, 11, 195–204. [Google Scholar] [CrossRef]
- Koutroulis, E.; Kalaitzakis, K. Design of a maximum power tracking system for wind-energy-conversion applications. IEEE Trans. Ind. Electron. 2006, 53, 486–494. [Google Scholar] [CrossRef]
- Syahputra, R.; Soesanti, I. Performance Improvement for Small-Scale Wind Turbine System Based on Maximum Power Point Tracking Control. Energies 2019, 12, 3938. [Google Scholar] [CrossRef]
- Barzegar-Kalashani, M.; Seyedmahmoudian, M.; Mekhilef, S.; Stojcevski, A.; Horan, B. Small-scale wind turbine control in high-speed wind conditions: A review. Sustain. Energy Technol. Assess. 2023, 60, 103577. [Google Scholar] [CrossRef]
- Andersson, L.E.; Anaya-Lara, O.; Tande, J.O.; Merz, K.O.; Imsland, L. Wind farm control—Part I: A review on control system concepts and structures. IET Renew. Power Gener. 2021, 15, 2085–2108. [Google Scholar] [CrossRef]
- Jaber, A.S.; Mahdi, H.B.; Abdul-Jabbar, T.A.; Kotb, H.; AboRas, K.M.; Ghadi, Y.Y.; Emara, A.; Oubelaid, A. A comprehensive overview of wind turbine controller technology: Emerging trends and challenges. Sage J. 2024, 48, 5. [Google Scholar] [CrossRef]
- Bossanyi, E.A. The Design of closed loop controllers for wind turbines. Wind. Energy 2000, 3, 149–163. [Google Scholar] [CrossRef]
- Hansen, M.H.; Hansen, A.; Larsen, T.J.; Oye, S.; Sorensen, P.; Fuglsang, P. Control Design for a Pitch-Regulated, Variable Speed Wind Turbine; Report: Riso-R-1500(EN); Riso National Laboratory: Roskilde, Denmark, 2005; ISSN 0106-2840. [Google Scholar]
- Hwas, A.M.S.; Katebi, R. Wind turbine control using PI Pitch angle controller. IFAC Proc. Vol. 2012, 45, 241–246. [Google Scholar] [CrossRef]
- Uehara, A.; Pratap, A.; Goya, T.; Senjyu, T.; Yona, A.; Urasaki, N.; Funabashi, T. A Coordinated Control Method to Smooth Wind Power Fluctuations of a PMSG-Based WECS. IEEE Trans. Energy Convers. 2011, 26, 550–558. [Google Scholar] [CrossRef]
- Hand, M.; Balas, M. Systematic Approach for PID Controller Design for Pitch-Regulated, Variable-Speed Wind Turbines; National Renewable Energy Laboratory: Golden, CO, USA, 1998. [Google Scholar] [CrossRef]
- Fandino, E.E.R.; Bérenguer, C.; Molina, J.J.M. Gain-scheduling wind-turbine control to mitigate the effects of weather conditions on the drive-train degradation. IFAC-PapersOnLine 2022, 55, 508–513. [Google Scholar] [CrossRef]
- Jauch, C. Wind Turbine Pitch Angle Controllers for Grid Frequency Stabilisation. In Proceedings of the European Wind Energy Conference, Athens, Greece, 27 February–2 March 2006. [Google Scholar]
- Jauch, C.; Cronin, T.; Sørensen, P.; Jensen, B.B. A fuzzy logic pitch angle controller for power system stabilization. Wind. Energy 2006, 10, 19–30. [Google Scholar] [CrossRef]
- Qi, Y.; Meng, Q. The Application of Fuzzy PID Control in Pitch Wind Turbine. Energy Procedia 2012, 16, 1635–1641. [Google Scholar] [CrossRef]
- Civelek, Z.; Lüy, M.; Çam, E.; Barışçı, N. Control of Pitch Angle of Wind Turbine by Fuzzy Pid Controller. Intell. Autom. Soft Comput. 2015, 22, 463–471. [Google Scholar] [CrossRef]
- Van, T.L.; Nguyen, T.H.; Lee, D. Advanced Pitch Angle Control Based on Fuzzy Logic for Variable-Speed Wind Turbine Systems. IEEE Trans. Energy Convers. 2015, 30, 578–587. [Google Scholar] [CrossRef]
- Scherillo, F.; Izzo, L.; Coiro, D.P.; Lauria, D. Fuzzy logic control for a small pitch controlled wind turbine. In Proceedings of the IEEE International Symposium on Power Electronics, Electrical Drives, Automation and Motion, Sorrento, Italy, 20–22 June 2012. [Google Scholar] [CrossRef]
- Haro, A.; Young, H.; Pavez, B. Fuzzy Logic Active Yaw Control of a Low-Power Wind Generator. IEEE Lat. Am. Trans. 2021, 19, 1941–1948. [Google Scholar] [CrossRef]
- Aissaoui, A.G.; Tahour, A.; Abid, M.; Essounbouli, N.; Nollet, F. Power Control of Wind Turbine based on Fuzzy Controllers. Energy Procedia 2013, 42, 163–172. [Google Scholar] [CrossRef]
- Manerikar, S.S.; Damkale, S.R.; Havaldar, S.N.; Kulkarni, S.V.; Keskar, Y.A. Horizontal axis wind turbines passive flow control methods: A review. IOP Conf. Ser. Mater. Sci. Eng. 2021, 1136, 012022. [Google Scholar] [CrossRef]
- Watanabe, F.; Takahashi, T.; Tokuyama, H.; Nishizawa, Y.; Ushiyama, I. Modelling Passive Yawing Motion of Horizontal Axis Small Wind Turbine: Derivation of New Simplified Equation for Maximum Yaw Rate. Wind. Eng. 2012, 36, 433–441. [Google Scholar] [CrossRef]
- Ogden, D.; van Rij, J.; Yu, Y.; Tom, N.; Forbrush, D.; Ruehl, K. Development and Validation of Passive Yaw in the Open-Source WEC-Sim Code; NREL/CP-5000-76304; National Renewable Energy Laboratory: Golden, CO, USA, 2020. [Google Scholar]
- Cui, W.; Liu, X.; Yu, F.; Whitty, J. Analysis of the passive yaw mechanism of small horizontal-axis wind turbines. In Proceedings of the World Non-Grid-Connected Wind Power And Energy Conference, Nanjing, China, 24–26 September 2009. [Google Scholar] [CrossRef]
- Bianchi, F.; Mantz, R.; De Battista, H. Optimal gain-scheduled control of fixed-speed active stall wind turbines. IET Renew. Power Gener. 2008, 2, 228–238. [Google Scholar] [CrossRef]
- Dalala, Z.M.; Zahid, Z.U.; Lai, J. New Overall Control Strategy for Small-Scale WECS in MPPT and Stall Regions With Mode Transfer Control. IEEE Trans. Energy Convers. 2013, 28, 1082–1092. [Google Scholar] [CrossRef]
- Martínez, J.; Bernabini, L.; Probst, O.; Rodríguez, C. An improved BEM model for the power curve prediction of stall-regulated wind turbines. Wind. Energy 2005, 8, 385–402. [Google Scholar] [CrossRef]
- Ackermann, T. Wind Power in Power Systems, 2nd ed.; John Wiley & Sons: Hoboken, NJ, USA, 2012; ISBN 978-0-470-97416-2. [Google Scholar]
- Wagner, H.J.; Mathur, J. Operation and Control of Wind Energy Converters; Green Energy and Technology; Springer: Cham, Switzerland, 2018. [Google Scholar] [CrossRef]
- Jauch, C.; Hansen, A.D.; Sørensen, P.; Blaabjerg, F. Simulation Model of an Active-Stall Fixed-Speed Wind Turbine Controller. Wind. Eng. 2004, 28, 177–195. [Google Scholar] [CrossRef]
- Tiwari, R.; Babu, N.R. Recent developments of control strategies for wind energy conversion system. Renew. Sustain. Energy Rev. 2016, 66, 268–285. [Google Scholar] [CrossRef]
- Jiang, Z.; Chen, Z.; Liu, W.; Liu, Y.; Wang, X. A review of individual pitch control for wind turbines. In Proceedings of the IEEE 11th Conference on Industrial Electronics and Applications (ICIEA), Hefei, China, 5–7 June 2016; pp. 399–404. [Google Scholar] [CrossRef]
- Morim, R.B.; Carnielutti, F.; Da Rosa, L.D.; Hubner, G. Analysis of wind turbine power generation with individual pitch control. In Proceedings of the 2019 IEEE PES Innovative Smart Grid Technologies Conference-Latin America (ISGT Latin America), Gramado, Brazil, 15–18 September 2019; pp. 1–6. [Google Scholar] [CrossRef]
- Njiri, J.G.; Soffker, D. State-of-the-art in wind turbine control: Trends and challenges. Renew. Sustain. Energy Rev. 2016, 60, 377–393. [Google Scholar] [CrossRef]
- Torchani, B.; Sellami, A.; Garcia, G. Pitch Control of Wind Turbine. In Proceedings of the Sixth International Renewable Energy Congress, Sousse, Tunisia, 24–26 March 2015. [Google Scholar]
- Selvam, K. Individual Pitch Control for Large Scale Wind Turbines: A Multivariable Control Approach; Report ECN-E–07-053; U.S. Department of Energy Office of Scientific and Technical Information: Oak Ridge, TN, USA, 2007; Engineering Environmental Science. Corpus ID: 7226904. [Google Scholar]
- Muljadi, E.; Butterfield, C.P. Pitch–Controlled Variable-Speed Wind Turbine Generation; Report: NREL/CP-500-27143; National Renewable Energy Laboratory: Golden, CO, USA, 2000. [Google Scholar]
- Faiz, J.; Tehrani, A.H.; Shahgholian, G.; Takbash, M. Speed control of wind turbine through pitch control using different control techniques. J. Renew. Energy Environ. 2016, 3, 15–23. [Google Scholar]
- Roussos, A.I.; Ntampasi, V.E.; Kosmidou, O.I. Pitch Control for Variable Speed Wind Turbines. In Proceedings of the 10th International Conference On Informatics In Control, Automation And Robotics, Reykjavík, Iceland, 29–31 July 2013. [Google Scholar] [CrossRef][Green Version]
- Liu, C.; Li, Q.; Wang, C.; Xv, T.; Gu, W.; Yin, M. Active power control of wind turbine based on fuzzy pitch control. J. Phys. Conf. Ser. 2024, 2757, 012018. [Google Scholar] [CrossRef]
- Navarrete, E.C.; Perea, M.T.; Correa, J.C.J.; Serrano, R.V.C.; Moreno, G.J.R. Expert Control Systems Implemented in a Pitch Control of Wind Turbine: A Review. IEEE Access 2019, 7, 13241–13259. [Google Scholar] [CrossRef]
- Teja, M.R.; RamaSudha, K.; Vijayasanthi, R. Wind Turbine Modelling and Pitch Angle Control Using PID, Fuzzy and Adaptive Fuzzy Control Techniques. Int. J. Innov. Sci. Res. Technol. 2020, 5, 53–58. [Google Scholar]
- Santoso, D.B.; Pangestu, A.B.; Latifa, U.; Fauzi, A.; Zahro, L. Pitch angle control of a wind turbine using fuzzy logic control. IOP Conf. Ser. Earth Environ. Sci. 2021, 830, 012073. [Google Scholar] [CrossRef]
- Johannsen, N. Fuzzy controller for improved pitch control. PC Control 2011, 2, 74–76. [Google Scholar]
- Barburajan, S. Pitch Control of Wind Turbine Through PID, Fuzzy and Adaptive Fuzzy-PID Controllers. Master’s Thesis, Rochester Institute of Technology, Rochester, NY, USA, 2017. [Google Scholar]
- Zhang, J.; Cheng, M.; Chen, Z.; Fu, X. Pitch Angle Control for Variable Speed Wind Turbines. In Proceedings of the Third International Conference on Electric Utility Deregulation and Restructuring and Power Technologies, Nanjing, China, 6–9 April 2008; pp. 1–6. [Google Scholar] [CrossRef]
- Hosseini, E.; Aghadavoodi, E.; Shahgholian, G.; Mahdavi-Nasab, H. Intelligent Pitch Angle Control Based on Gain-Scheduled Recurrent ANFIS. J. Renew. Energy Environ. 2019, 6, 36–45. [Google Scholar] [CrossRef]
- Hosseini, E.; Behzadfar, N.; Hashemi, M.; Moazzami, M.; Dehghani, M. Control of Pitch Angle in Wind Turbine Based on Doubly Fed Induction Generator Using Fuzzy Logic Method. J. Renew. Energy Environ. 2022, 9, 1–7. [Google Scholar]
- Zadeh, L. Fuzzy sets. Inf. Control 1965, 8, 338–353. [Google Scholar] [CrossRef]
- Zadeh, L.A. Outline of a New Approach to the Analysis of Complex Systems and Decision Processes. IEEE Trans. Syst. Man Cybern. 1973, SMC-3, 28–44. [Google Scholar] [CrossRef]
- Mamdani, E.; Assilian, S. An Experiment in Linguistic Synthesis with a Fuzzy Logic Controller. Int. J. Hum.-Comput. Stud. 1975, 7, 1–13. [Google Scholar] [CrossRef]
- Tafreshi, A.S.; Klamroth-Marganska, V.; Nussbaumer, S.; Riener, R. Real-Time Closed-Loop Control of Human Heart Rate and Blood Pressure. IEEE Trans. Biomed. Eng. 2015, 62, 1434–1442. [Google Scholar] [CrossRef]
- Tong, W. Fundamentals of wind energy. WIT Trans. State Art Sci. Eng. 2010, 44, 3–48. [Google Scholar] [CrossRef]
- Rosales, R. Intelligent Control for Operation of Pitch System of a Low-Power Wind Turbine Generator. Master’s Thesis, Universidad del Istmo, Oaxaca, Mexico, 2017. [Google Scholar]
- Esparza, U.B. Diseño y Optimización de un Sistema de Generación Aislada de Energía Eólica Orientado a las Necesidades de Poblaciones Sin Acceso a la Red Eléctrica. Bachelor’s Thesis, Universidad Pública de Navarra, Pamplona, España, 2011. [Google Scholar]
- Bilal, A.; Liu, X. Online Estimation of Wind Turbine Tip Speed Ratio by Adaptive Neuro-Fuzzy Algorithm. Int. J. Adv. Comput. Sci. Appl. 2018, 9, 28–33. [Google Scholar] [CrossRef]
- Heier, S. Grid Integration of Wind Energy: Onshore and Offshore Conversion Systems; John Wiley & Sons: Chichester, UK, 2014. [Google Scholar] [CrossRef]
- IEC 61400-12-1:2017; Wind Energy Generation Systems—Part 12-1: Power Performance Measurements of Electricity Producing Wind Turbines, Standard: Edition 2.0. International Electrotechnical Commission (IEC): Geneva, Switzerland, 2017.
- Grogg, K. Harvesting the Wind: The Physics of Wind Turbines; Physics and Astronomy Comps Papers; Carleton College. Physics and Astronomy Department: Northfield, MN, USA, 2005. [Google Scholar]
- IEC 61400-1:2019; Wind Energy Generation Systems—Part 1: Design requirements, Edition 4.0. International Electrotechnical Commission (IEC): Geneva, Switzerland, 2019.
- IEC 61400-2:2013; Wind Turbines—Part 2: Small Wind Turbines, Standard: Edition 3.0. International Electrotechnical Commission (IEC): Geneva, Switzerland, 2013.
- Gawad, A.F.A. New, Simple Blade-Pitch Control Mechanism for Small-Size, Horizontal-Axis Wind Turbines. J. Energy Power Eng. 2013, 7, 2237–2248. [Google Scholar] [CrossRef][Green Version]
- Wang, P.; Bao, D.; Zhao, M.; Shi, Z.; Gao, F.; Han, F. The Design, Analysis, and Optimization of a New Pitch Mechanism for Small Wind Turbines. Energies 2023, 16, 6708. [Google Scholar] [CrossRef]





























| Controller | Operation Principle | Advantage | Disadvantage | Applications |
|---|---|---|---|---|
| PI and PID | Adjust the control input based on the proportional, integral and derivative for error corrections. | Simple to implement for linear systems. | Not suitable for nonlinear systems with highly variable wind conditions. | Rotor speed regulation or generation torque control in simple wind turbines. |
| Fuzzy logic | Use a set of linguistic rules and membership functions to make control decisions. | Suitable for nonlinear systems, adaptable to changing conditions, ideal for multi-objective control, robust to noise. | Requires expert knowledge. | Ideal for small-scale wind turbines where wind speed is highly variable. |
| Adaptive | Adjust their parameters in real-time based on the system′s behavior. | Adjust to changing wind conditions. | Very complex to implement. Requires many data to adjust parameters. | Ideal for highly variable wind conditions. |
| Model Predictive | Use a dynamic model of the wind turbine. | Provides very good performance. | Requires an accurate model of the system and is computationally expensive. | Used for advanced control scenarios. |
| Neural network | Use neural networks to model relations between input and output variables. | Good for highly nonlinear systems and varying conditions. | Requires large datasets and it is computationally expensive. | Used for complex control tasks. |
| Genetic algorithm-based | Use genetic algorithms to optimize control strategies. | Good for complex control conditions. | Computationally expensive and difficult to adapt to changes. | Used for off-line optimization of control strategies. |
| Hybrid | Combine multiple control strategies. | Can provide the best features of multiple control strategies. | More complex to design and implement. | Used in advanced control applications. |
| Num | Year | Passive | Active | Pitch | Fuzzy | Title |
|---|---|---|---|---|---|---|
| [40] | 2021 | X | Horizontal axis wind turbines passive flow control methods: a review. | |||
| [41] | 2012 | X | Modeling Passive Yawing Motion of Horizontal Axis Small Wind Turbine: Derivation of New Simplified Equation for Maximum Yaw Rate. | |||
| [42] | 2020 | X | Development and Validation of Passive Yaw in the Open-Source WEC-Sim Code. | |||
| [43] | 2009 | X | Analysis of the passive yaw mechanism of small horizontal-axis wind turbines | |||
| [44] | 2008 | X | Optimal gain-scheduled control of fixed-speed active stall wind turbines. | |||
| [45] | 2013 | X | New Overall Control Strategy for Small-Scale WECS in MPPT and Stall Regions With Mode Transfer Control. | |||
| [46] | 2005 | X | An improved BEM model for the power curve prediction of stall-regulated wind turbines. | |||
| [47] | 2005 | X | Wind power in power systems. | |||
| [48] | 2018 | X | Operation and Control of Wind Energy Converters. | |||
| [49] | 2004 | X | Simulation Model of an Active-Stall Fixed-Speed Wind Turbine Controller. | |||
| [50] | 2005 | X | Recent developments of control strategies for wind energy conversion system. | |||
| [51] | 2016 | X | A review of individual pitch control for wind turbines. | |||
| [52] | 2019 | X | Analysis of wind turbine power generation with individual pitch control. | |||
| [53] | 2016 | X | State-of-the-art in wind turbine control: trends and challenges. | |||
| [54] | 2015 | X | Pitch Control Of Wind Turbine. | |||
| [55] | X | Individual Pitch Control for Large scale wind turbines Multivariable control approach. | ||||
| [56] | 2000 | X | Pitch –Controlled Variable-Speed Wind Turbine Generation. | |||
| [57] | 2015 | X | Speed control of wind turbine through pitch control using different control techniques. | |||
| [58] | 2013 | X | Pitch Control for Variable Speed Wind Turbines. | |||
| [59] | 2023 | X | Active power control of wind turbine based on fuzzy pitch control. | |||
| [60] | 2019 | X | Expert Control Systems Implemented in a Pitch Control of Wind Turbine: A Review. | |||
| [35] | 2016 | X | A new fuzzy controller for adjusting of pitch angle of wind turbine. | |||
| [61] | 2020 | X | Wind Turbine Modelling and Pitch Angle Control Using PID, Fuzzy and Adaptive Fuzzy Control Techniques. | |||
| [62] | 2021 | X | Pitch angle control of a wind turbine using fuzzy logic control. | |||
| [63] | 2011 | X | Fuzzy controller for improved pitch control. | |||
| [64] | 2017 | X | Pitch Control of Wind Turbine through PID, Fuzzy and adaptive Fuzzy-PID controllers. | |||
| [65] | 2008 | X | Pitch Angle Control for Variable Speed Wind Turbines. | |||
| [66] | 2019 | X | Intelligent Pitch Angle Control Based on Gain-Scheduled Recurrent ANFIS. | |||
| [67] | 2022 | X | Control of Pitch Angle in Wind Turbine Based on Doubly Fed Induction Generator Using Fuzzy Logic Method. |
| L Value | wmin | wmax | Parameters | Type |
|---|---|---|---|---|
| B | 0 | 11.3 | [0 0 11.3 11.3] | Trapezoidal |
| T | 11.3 | 14.15 | [11.3 11.3 14.15] | Triangular |
| AP | 11.3 | 17 | [11.3 14.15 19] | Triangular |
| AM | 17 | 21 | [14.15 19 23] | Triangular |
| AA | 21 | 25 | [19 23 26.5] | Triangular |
| MA | 25 | 28 | [23 26.5 30 30] | Trapezoidal |
| Zone | Lwi | kwi | kpi | kii | koi |
|---|---|---|---|---|---|
| 1 | B | 0 | 0 | 0 | 0 |
| 2 | T | 0 | 0.05 | 0.17 | 0 |
| 3 | AP | 0 | 0.05 | 0.17 | 0 |
| 4 | AM | 0 | 0.03 | 0.13 | 0 |
| 5 | AA | 0 | 0.02 | 0.09 | 0 |
| 6 | MA | 0 | 0.015 | 0.06 | 0 |
Disclaimer/Publisher’s Note: The statements, opinions and data contained in all publications are solely those of the individual author(s) and contributor(s) and not of MDPI and/or the editor(s). MDPI and/or the editor(s) disclaim responsibility for any injury to people or property resulting from any ideas, methods, instructions or products referred to in the content. |
© 2024 by the authors. Licensee MDPI, Basel, Switzerland. This article is an open access article distributed under the terms and conditions of the Creative Commons Attribution (CC BY) license (https://creativecommons.org/licenses/by/4.0/).
Share and Cite
Borunda, M.; Garduno, R.; de la Cruz Soto, J.; Figueroa Díaz, R.A. Intelligent Control of an Experimental Small-Scale Wind Turbine. Energies 2024, 17, 5656. https://doi.org/10.3390/en17225656
Borunda M, Garduno R, de la Cruz Soto J, Figueroa Díaz RA. Intelligent Control of an Experimental Small-Scale Wind Turbine. Energies. 2024; 17(22):5656. https://doi.org/10.3390/en17225656
Chicago/Turabian StyleBorunda, Monica, Raul Garduno, Javier de la Cruz Soto, and Rafael Alfonso Figueroa Díaz. 2024. "Intelligent Control of an Experimental Small-Scale Wind Turbine" Energies 17, no. 22: 5656. https://doi.org/10.3390/en17225656
APA StyleBorunda, M., Garduno, R., de la Cruz Soto, J., & Figueroa Díaz, R. A. (2024). Intelligent Control of an Experimental Small-Scale Wind Turbine. Energies, 17(22), 5656. https://doi.org/10.3390/en17225656

