Abstract
The high-performance vector control technology of permanent magnet synchronous machines (PMSMs) relies on high-precision rotor position. The Hall-effect sensor has the advantages of low cost, simple installation, and strong anti-interference ability. However, it can only provide six discrete rotor angles in an electrical cycle, which makes high-precision vector control of PMSMs difficult. Hence, to obtain the necessary rotor position of PMSMs, a rotor position fitting method combining the Hall signal and machine flux information is proposed. Firstly, the rotor position signal output by the Hall-effect sensors is used to calibrate and update the stator flux obtained under pure integration. Then, based on the corrected stator flux and its relationship with current and angle, the rotor position and speed are obtained. Experimental verification shows that the rotor position observer combining Hall signal and flux information can reduce the initial value bias and integral drift caused by traditional average speed method hysteresis and pure integration method calculation of flux and can quickly and accurately track and estimate the rotor position, achieving high-performance vector control of PMSMs.
1. Introduction
Permanent Magnet Synchronous Machines (PMSMs) are favored in AC drive systems and servo control due to the advantages of small size, lightweight, high power density, and high efficiency [1]. However, the commonly used vector control algorithms of PMSM require precise rotor position [2]. High-resolution position sensors like optical encoders or resolvers increase system costs and limit the range of applicable scenarios [3]. Sensorless techniques that reduce system cost are mainly divided into two categories: fundamental model-based methods and high-frequency signal injection methods. The former struggles with accurate observation due to the low signal-to-noise ratio of back electromotive force (EMF) at low speeds, while the latter introduces additional losses, noise, and vibrations, making it challenging to balance cost and performance over the entire speed range [4,5,6].
The Hall-effect sensors offer advantages such as low cost, compact size, simple installation, and strong anti-interference capabilities [7,8], enabling the acquisition of speed and position, as shown in Figure 1. The position signals provided by Hall-effect sensors can be used to achieve “three-phase six-step” control for brushless DC machines [9], though this control method suffers from significant torque ripple and severe electromagnetic noise. For PMSM, which has a back EMF closer to a sinusoidal waveform under no load, sinusoidal current drive results in lower torque ripple and better dynamic speed regulation compared to square-wave current drive [10], effectively improving machine performance. Against this backdrop, high-performance control of PMSM based on Hall-effect sensors has garnered widespread attention due to its ability to balance high power density and low torque ripple while reducing the cost of the drive system [11,12,13].
Figure 1.
Hall-effect Sensors.
However, Hall-effect sensors can only provide six discrete rotor angles within one electrical cycle, making it impossible to achieve precise rotor localization. The key to high-performance control lies in obtaining high-precision rotor positions using low-resolution Hall signals [14]. Currently, research on fitting rotor positions using Hall-effect sensor signals mainly falls into two categories: (1) signal processing methods and (2) model-based methods.
Signal processing methods primarily focus on applying data processing techniques to process Hall signals and are relatively simple to implement. The methods based on the average speed and high-order polynomial interpolation derived from it [15] are the earliest and most widely used. However, this method is not suitable for operating conditions with significant speed disturbances, as position estimation errors become apparent during machine acceleration, deceleration, or direction reversal. The least squares interpolation method based on position trajectories [16] uses polynomial equations to fit the rotor motion trajectory in the previous Hall sector and predicts the rotor position in the next sector. However, it cannot effectively fit the rotor position during machine startup and requires additional square wave driving for startup. The Hall vector method [17], based on discrete rotational vector theory, treats the Hall signal as a combination of rotating fundamental and harmonic vectors and extracts the rotor position from the fundamental vector, but it is highly dependent on the stability of the speed and errors in decoupling harmonic components degrade the system performance. In summary, signal processing methods suffer from poor tracking ability, latency, and large estimation errors at low speeds, making them unsuitable for speed closed-loop control.
Model-based methods primarily rely on constructing rotor position observers to fit angles based on the machine model. These methods, combining sensorless control with Hall sensors, are also referred to as quasi-sensorless control, offering high accuracy in speed estimation and excellent dynamic characteristics. The position vector feedback Luenberger observer based on the mechanical motion equation [18] ensures a high dynamic response of the machine over a wide speed range but suffers from difficulties in parameter tuning and heavy dependence on machine parameters. The state observer based on back EMF [19,20] combines back EMF with Hall signals to improve estimation accuracy. However, the current sampling accuracy and the low signal-to-noise ratio of the back EMF lead to significant increases in angle estimation errors at low speeds and light load. Therefore, the performance of model-based methods is largely dependent on the quality of the observer input information [21,22], resulting in relatively poor robustness.
To address the aforementioned issues, this paper proposes a high-precision rotor position fitting method that combines signals from Hall-effect sensors with the machine flux linkage. First, the traditional average speed method is utilized to obtain preliminary estimates of the rotor position and speed. Subsequently, based on the flux-voltage model of the PMSM, the pure integration method is employed to derive the initial flux linkage. Then, accurate angles corresponding to the moments of Hall signal transitions are used to obtain the flux linkage through the flux-current model, which corrects the flux linkage obtained from the pure integration method. Next, the corrected flux linkage is used to compensate for the rotor position derived from the average speed method, ultimately yielding a high-precision rotor position. Experimental results demonstrate that the proposed method effectively addresses the initial value bias and integration drift issues caused by the low resolution of Hall sensors and the pure integration method for flux linkage calculation, while also improving rotor position estimation accuracy. This is particularly evident under low-speed and light-load conditions. Additionally, the method enhances dynamic performance and significantly improves the performance and reliability of the drive system.
2. Principle of Hall-Effect Position Estimation
2.1. Acquisition of Hall-Effect Sensor Signals
The Hall-effect sensors detect the rotor position of the permanent magnets by sensing the d-axis of the machine. When the rotor’s magnetic field switches polarity, the sensors generate output signals that switch between high and low levels (low under the S pole and high under the N pole). In the installation mode of the Hall position sensor with an interval of 120°, the output signals Ha, Hb, and Hc are square waves with a three-phase phase difference of 120° and a pulse width of 180° electrical angle, as shown in Figure 2.
Figure 2.
Hall installation mode and output signals (a) 120° Hall-effect installation, (b) Hall-effect output signals.
Clearly, the Hall signals divide the rotor position into six sectors on average. The starting position of each sector corresponds to the position of the Hall signal transition edge, which can be captured by detecting the edge transition. By using the starting position as the reference for each sector, the rotor position at any moment within each sector can be estimated. The correspondence between the Hall signals and the rotor position sectors is shown in Figure 3 and Table 1.
Figure 3.
Relation of Hall signal and rotor position.
Table 1.
Relation of Hall signal and rotor position.
2.2. Traditional Hall Position Estimation Principle
The traditional Hall position estimation is based on the principle of interpolation. It operates under the assumption that the mechanical time constant of the machine is much larger than the electrical time constant, allowing for the consideration that the speed remains constant within each Hall sector. Based on this assumption, the average speed within a sector can be calculated by measuring the time taken for the rotor to pass through each sector.
By approximating the average speed of the previous sector as the average speed of the current sector, the rotor position in the current sector can be determined as
where is the initial position of the current sector, is the average speed of the previous sector, is the sampling period, and is the number of samples taken within the sector.
The principle of rotor position estimation using the average speed method is illustrated in Figure 4. This method can yield relatively accurate speed and position estimates under constant speed. However, during acceleration, deceleration, and when subjected to disturbances, the average speed of the previous sector cannot accurately reflect the current speed, leading to significant errors in the estimation results. Moreover, in practical applications, the speed estimates obtained using the average speed method are often accompanied by high levels of noise, resulting in considerable estimation errors even in steady conditions. The estimation results are notably delayed at low speeds, making it challenging to achieve effective speed control, and thus it is seldom applied in scenarios requiring high dynamic performance across the full speed range.
Figure 4.
Estimation principle by average velocity method.
2.3. Digital Delay Compensation
There is a delay between the capture of the Hall signal by the timer and its participation in the calculation during the PWM cycle in the digital control system. As shown in Figure 5, the delay is denoted as , where represents the AD sampling time of the digital system, and is the algorithm computation time. The delay results in an inaccurate Hall angle, which in turn reduces the accuracy of the subsequent position estimation.
Figure 5.
Hall signal delay under digital control system.
This paper utilizes the Hall capture timer to record the time when the Hall signal is captured and the time when the calculation begins at the PWM period . The average speed method is employed to perform digital delay compensation for the Hall angles.
3. Position Vector Tracking Observer Based on Back EMF
3.1. Position Estimation Principle Based on Back EMF
The back EMF of the PMSM reflects the rotational speed and can be used to extract the rotor position. Therefore, the back EMF is often processed to estimate the rotor position in sensorless control. The model of PMSM in the stationary frame is given by (3).
where , represent the voltage along the frame, , denote the corresponding currents. is the stator resistance, is the stator inductance, represents the permanent magnet flux linkage, and indicates the differential operator.
The back EMF in frame can be expressed as
The rotor angle position can be expressed as
The above sensorless methods are effective for medium and high-speed operating conditions. However, they are limited in low-speed scenarios due to the low back EMF signal-to-noise ratio, making it difficult to extract accurate rotor positions.
3.2. Design of the Position Vector Tracking Observer Structure
The position vector tracking observer [19] combines the low-resolution three Hall signals with the back EMF of the machine. It estimates the speed using the average speed method, detects rotor position errors based on the discrepancies between the back EMF signals, and corrects the speed to reduce estimation errors. The diagram of the observer is shown in Figure 6 and includes the average speed calculation module, back EMF calculation module, and position error PI regulator. This observer feeds forward the speed obtained from the average speed method into the back EMF observer, effectively addressing the issue of the back EMF method being unusable during startup and low-speed operation and enhancing the precision of the estimated angle.
Figure 6.
Structure of position vector tracking observer.
3.3. Principle Analysis of Position Vector Tracking Observer
During startup, the approximate initial position is obtained by directly reading the state of the Hall sensors, providing an effective position for the observer. Based on the average speed method of Hall position estimation, the position vector tracking observer incorporates the back EMF error for error correction, which significantly enhances the estimation performance of the position. The corrected angle, after passing through a low-pass filter, improves the observer’s noise resistance. The position vector tracking observer can be equivalently simplified to a second-order linear model. (6) is the transfer function for estimating position, and Figure 7 presents the bode diagram.
Figure 7.
Bode diagram of position vector tracking observer based on back EMF.
As shown in Figure 7, the estimated position of the position vector tracking observer exhibits high-pass filtering characteristics due to the combination of typical vector tracking observation of the reference position and position feedforward input. On the one hand, due to the inherent flaws of the average speed method, the intrinsic error of the position feedforward is large at low speed, especially during startup, where the maximum electrical angle error can reach ±30°. Therefore, at low speeds, the observer plays a crucial role in determining the overall loop characteristics, namely, the observer effectively compensates for the inherent error and estimates the actual position with zero-lag capability. On the other hand, at higher speeds, where the frequency exceeds the bandwidth of the observer, the performance degrades, while the position feedforward input helps maintain zero-lag capability in the entire loop. Overall, in the low-speed range, the observer compensation dominates, and as the speed increases, the compensatory system performance gradually weakens, with the Hall sensor signal taking the lead.
4. New High-Precision Rotor Position Observer
4.1. Principle of Position Estimation Based on Flux Linkage Information
For the position vector tracking observer, the signal-to-noise ratio of the back EMF is low at low speeds. The observation results are only affected by the Hall speed feedforward term. Due to the lack of new Hall signals, the estimated speed becomes significantly delayed, resulting in poor performance.
Theoretically, the flux linkage is not limited by speed, and it is non-zero across the full speed range. Therefore, this paper obtains the rotor position by machine flux linkage. The flux linkage equation of the PMSM is as follows.
where , denote the flux linkages along the frame, , are the stator flux linkages along the frame, and , represent the rotor flux linkages along the frame.
It can be inferred from (7), (8), and (9) that the flux linkages contain rotor position information, which allows for the extraction of the rotor angle using flux linkage information.
When obtaining the stator flux linkage through the voltage model, a pure integrator is introduced. Its inherent initial value and DC offset can cause significant integral drift in the stator flux observation, resulting in distortion of the flux linkage circle, thereby preventing the extraction of effective rotor position. There are various methods of using filters instead of pure integrators to solve bias problems, which can improve integration drift to a certain extent. However, the introduction of filters inevitably leads to amplitude attenuation and phase lag, resulting in a decrease in control performance.
4.2. Design of an Observer Combining Flux Linkage Information and Hall Signals
As indicated by (8), an accurate rotor position is required to calculate the flux linkage. Since the Hall-effect sensors can provide accurate yet low-resolution rotor position, this paper proposes a design method for a rotor position observer that combines flux linkage with Hall signals.
where represents the midpoint angle of the initial Hall sector.
At each Hall transition, the current and Hall signals are captured. Using the accurate discrete angles provided by the Hall signals, the precise flux linkage of the machine at that moment is calculated, as shown in (11). The stator flux linkage obtained by the pure integration method is updated to correct the flux linkage and eliminate the cumulative error caused by pure integration. The control block diagram is shown in Figure 8.
Figure 8.
Stator flux observer combined with flux linkage information and Hall signal.
It is important to note that due to the presence of delays and inverter nonlinearities, the voltage reference output from the current regulation is not the actual output voltage. Therefore, in order to accurately observe the flux linkage, it is necessary to first calculate the accurate -frame voltage at the current time, as shown in Figure 9. After adding the dead-time compensation voltage to the reference voltage output from the current regulation, and applying modulation with necessary clamping, the dead-time compensation voltage is subtracted, and the actual output voltage for the current PWM cycle is obtained after a one-sample clamping.
Figure 9.
Input voltage calculation for the flux observer.
After obtaining relatively accurate stator flux linkage, the rotor angle can typically be solved directly using the arctangent method. However, the arctangent method is computationally expensive, with slow hardware processing speeds, making it unsuitable for real-time estimation. Therefore, this paper proposes combining the flux linkage with Hall signals again to construct a rotor position observer that provides high-precision rotor positions. The system diagram is shown in Figure 10. The blue section represents the stator flux linkage observer that combines flux linkage information with Hall signals, while the green section represents the subsequent rotor position observer.
Figure 10.
Rotor position observer combined with flux linkage information and Hall signal.
Firstly, based on the angle obtained from the average speed method and the corrected flux linkage, the current can be estimated by the flux-current model as
The difference between actual current and estimated current can be calculated as
Next, the flux linkage can be regarded as a bivariate function of stator current and rotor position. The rotor angle error estimated by the average speed method can be derived using the current error . Let , the Taylor series expansion of around using the sine function is given by
Substituting into the flux-current model yields
Substituting the Taylor expansion into (15) and performing the following operations on both sides, can be obtained as (17)
Finally, by integrating this error into the angle estimated by the average speed method, a high-precision rotor observation angle is obtained.
Since the three-phase Hall-effect signals are utilized in the same way, the observer at this stage is similar to that in the average speed method, with a correction occurring every 60° electrical angle. This approach prevents the accumulation of errors across multiple Hall sectors. In addition, the resolution of the angle compensation term is independent of the Hall sensor resolution, and it can be adjusted within each sector, thereby improving the resolution of position estimation. The abrupt changes in the machine’s speed can be quickly reflected in , unlike the average speed method, where changes can only be detected at the next Hall signal transition. This enhances the dynamic performance of the system.
5. Experimental Validation
To verify the flux-Hall method proposed in this paper, a PMSM control system is built based on STM32. Experiments are conducted on a PMSM speed control platform equipped with a 2500-line incremental optical encoder and three Hall-effect position sensors (AH3144L), as shown in Figure 11. The parameters of the experimental machine are presented in Table 2.
Figure 11.
The experiment platform.
Table 2.
Parameters of the experiment machine.
First, the effectiveness of the proposed method on the waveform of the machine’s flux linkage is validated, specifically comparing the flux linkage waveforms before and after combining with the Hall signal. Figure 12a shows the flux linkage obtained by the traditional pure integration method, where significant integration drift due to initial value bias and DC offset can be observed, rendering angle estimation unfeasible. In contrast, Figure 12b demonstrates that by utilizing the six accurate discrete position points provided by the Hall signal and employing the flux linkage-current model, six accurate flux linkage values can be obtained. This allows for the correction and updating of the flux linkage derived from pure integration, eliminating accumulated errors. From Figure 12c, it is evident that the corrected flux linkage circle is more stable and clearer.
Figure 12.
Flux linkage waveforms under three conditions (a) Flux linkage before correction, (b) Flux linkage at discrete Hall points, (c) Flux linkage under Hall signal correction.
5.1. Start-Up Performance Analysis
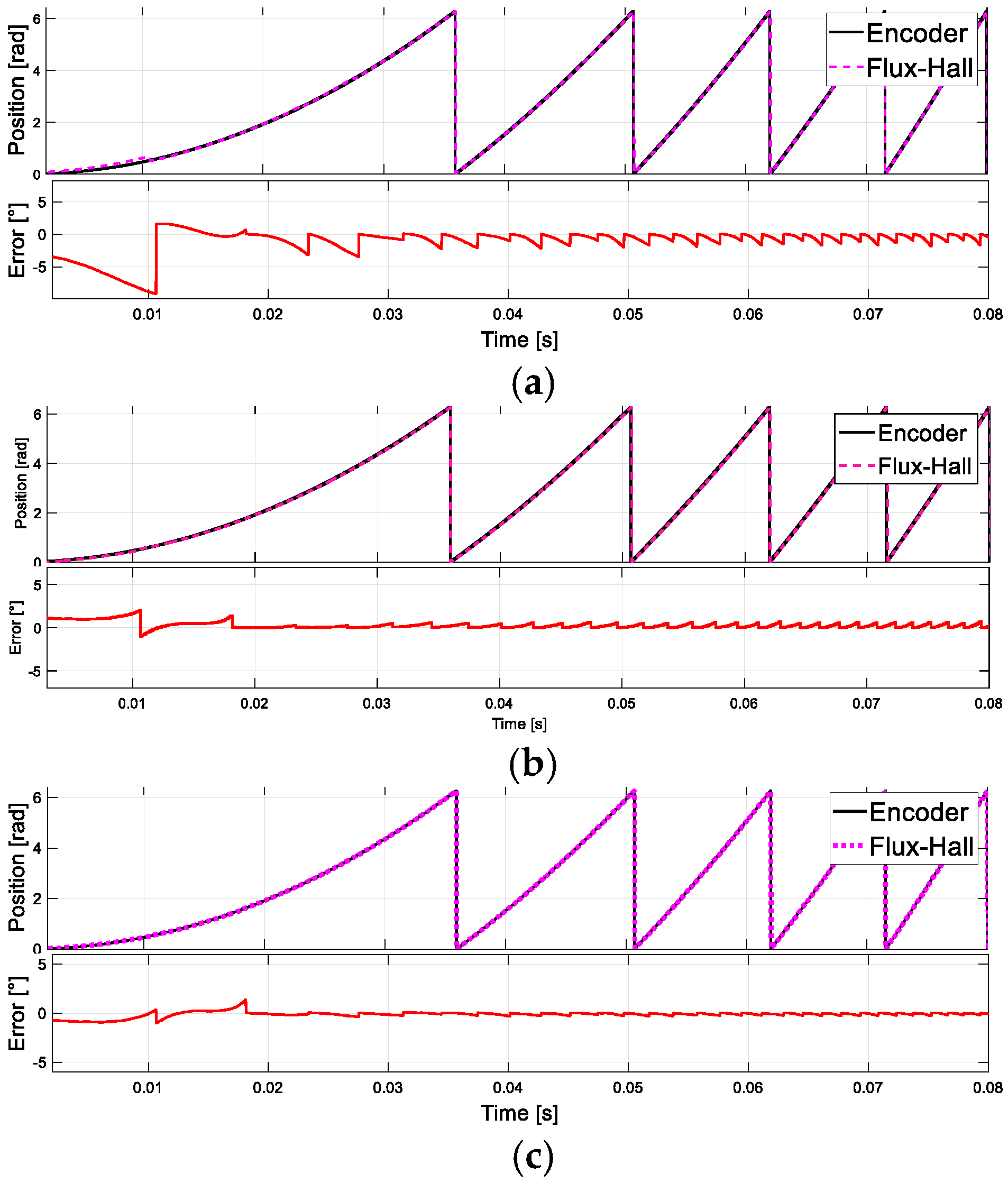
To validate the dynamic tracking performance of the observer, the machine starts under no-load conditions, accelerating from 0 to 1800/min. Figure 13 shows a comparison of the estimated rotor position. As seen in Figure 13a, the angle estimated by the average speed method experiences significant lag during the startup, requiring multiple estimates across Hall sectors to converge to the actual rotor position. Figure 13b illustrates the angle using the vector tracking observer. Although the introduction of Hall signal feedforward improves low-speed performance to some extent, there is still a substantial lag in angle estimation during the initial two Hall sectors at startup. The proposed flux-Hall method in Figure 13c can accurately track the actual rotor position immediately after a single Hall signal transition, resulting in an angle estimation error that converges within 5°, thus effectively enhancing the no-load start-up capability.
Figure 13.
Comparison of no-load starting rotor positions (a) Average speed, (b) Vector tracking, (c) Flux-Hall.
Next, the machine is started with a rated load of 0.5 Nm, accelerating from 0 to 1800/min. Figure 14 shows a comparison of the estimated rotor position during the machine’s loaded start. The experimental results confirm that the proposed method allows for rapid tracking of the actual rotor angle during startup under rated load, demonstrating good performance in loaded startup scenarios.
Figure 14.
Comparison of on-rated-load starting rotor positions.
To further validate the starting performance of the proposed method, the rotor’s initial position is set to three different cases: the Hall intermediate angle, 25° advanced, and 25° delayed. Figure 15 shows the angle error during startup using the average speed method and the proposed method under different initial positions. It can be observed that regardless of the initial rotor position during startup, the proposed method results in smaller position estimation errors in the first few Hall sectors. Moreover, the method can quickly track the actual rotor position after at most two Hall transitions.
Figure 15.
Estimated rotor angle errors under three initial positions (a) The Hall intermediate angle, (b) 25° advanced, (c) 25° delayed.
Figure 16 shows the -axis current during startup for the average speed method and the proposed method. Due to the lag and significant jumps in angle estimation with the average speed method, the -axis currents experience large fluctuations and excessive ripple. Since the rotor position does not undergo abrupt changes with the Hall boundary correction, the proposed method maintains stable current estimation, exhibiting only small pulsations.
Figure 16.
Comparison of -frame currents waveforms. Comparison of -frame currents waveforms (a) Average speed, (b) Flux-Hall.
5.2. Speed Variation and Direction Reversal Performance Analysis
Figure 17 illustrates the rotor position comparison during a step response from 300 to 1800/min under rated load. Figure 17a presents the average speed method. It is evident that during the speed step change, the average speed fails to accurately represent the actual speed, resulting in significant angle lag and large errors. Figure 17b shows the proposed method, which effectively corrects the angle at each control cycle. This significantly reduces the angle estimation error during speed changes, demonstrating the excellent dynamic performance of the proposed method.
Figure 17.
Comparison of rotor positions under a speed change from 300/min to 1800/min (a) Average speed, (b) Flux-Hall, (c) Angle error.
To validate the performance of the proposed method under frequent speed variations, a speed range of −300 to 300/min is set, and the estimation effect of the rotor position is assessed. Figure 18 presents the experimental results during forward and reverse rotations. The proposed method shows that there are no significant jumps in rotor angle estimation error at the moments of direction switching. Moreover, at zero speed, the Hall sensor provides a reliable range of up to 60°, allowing the flux observer to continue functioning normally. During startup and acceleration, the method enables quick acquisition of a continuous and smooth high-precision rotor position, demonstrating excellent dynamic performance suitable for applications with frequent speed changes.
Figure 18.
Rotor position during forward and reverse switching (a) Average speed, (b) Flux-Hall.
5.3. Steady-State Performance Analysis
Figure 19 shows the phase current and rotor position estimation based on the average speed method and the proposed method under steady-state conditions at a speed of 750/min with a rated load. In Figure 19a, due to the cumulative angle error existing in a single sector, there is a sudden correction in position at each 60° Hall signal transition, leading to abrupt changes in current and severe waveform distortion. In Figure 19b, the proposed method allows the estimated rotor position to effectively track the actual position, with the angle being smoothly and accurately corrected within each Hall sector, resulting in no unacceptable estimation errors. Figure 19c shows that the current distortion is minimal, leading to a smoother operation of the machine.
Figure 19.
Stator current and rotor position at 750/min (a) Average speed, (b,c) Flux-Hall.
5.4. Sensitivity Analysis of Inductance Parameters
To evaluate the parameter sensitivity of the proposed method, Figure 20 and Figure 21 present experimental assessments of the position estimation performance under the conditions of and , as well as the conditions of and , respectively. Since the Hall signal is unaffected by variations in machine parameters, it can still provide accurate discrete rotor positions even when the parameters change. In addition, it can be observed that when there is an error in the machine parameters, the rotor position estimation error of the proposed method remains convergent within 5°, demonstrating a certain degree of robustness.
Figure 20.
Rotor position under different inductance (a) , (b) , (c) .
Figure 21.
Rotor position under different resistance (a) , (b) , (c) .
6. Conclusions
Based on the relationship between the low-resolution signals of the Hall-effect sensor and the flux linkage information of the PMSM with respect to rotor position, this paper analyzes several issues. Firstly, the traditional average speed method for processing low-resolution discrete Hall signals exhibits significant angle estimation errors and considerable lag. Secondly, the vector tracking observer, which combines traditional sensorless control techniques with Hall sensors, performs poorly at zero and low speeds. To address these challenges, a high-precision rotor position fitting method is proposed, integrating PMSM flux linkage information with Hall sensor signals.
By combining the low-resolution rotor position provided by Hall-effect sensors with a PMSM flux observer, the accurate discrete position from the Hall sensors is used to timely correct and update the flux linkage calculated from the flux-voltage model through the flux-current model. This approach solves the issues of DC bias and integral drift caused by using pure integration to calculate the flux linkage. With the relatively accurate flux information, the method integrates Hall signals again to obtain high-precision rotor positions in real-time for each control cycle, achieving high-performance vector control for PMSM. Experimental validation demonstrates that during dynamic processes with significant changes in machine operating conditions, the proposed flux-Hall method maintains rotor position estimation accuracy comparable to high-precision position sensors, thus providing excellent load start-up capability and dynamic performance for the system.
Author Contributions
Conceptualization, K.Q., P.P. and W.H.; methodology, K.Q., P.P. and W.H.; software, K.Q., P.P. and W.H.; validation, K.Q., P.P. and W.H.; formal analysis, K.Q., P.P. and W.H.; investigation, K.Q., P.P. and W.H.; resources, K.Q., P.P. and W.H.; data curation, K.Q., P.P. and W.H.; writing—original draft preparation, K.Q., P.P. and W.H.; writing—review and editing, K.Q., P.P. and W.H.; visualization, K.Q., P.P. and W.H.; supervision, K.Q., P.P. and W.H. All authors have read and agreed to the published version of the manuscript.
Funding
The National Key Research and Development Program of China under Grant 2021YFB2500701.
Data Availability Statement
Data are contained within the article.
Conflicts of Interest
The authors declare no conflicts of interest.
References
- Villet, W.T.; Kamper, M.J. Variable-Gear EV Reluctance Synchronous Motor Drives—An Evaluation of Rotor Structures for Position-Sensorless Control. IEEE Trans. Ind. Electron. 2014, 61, 5732–5740. [Google Scholar] [CrossRef]
- Chen, S.; Ding, W.; Hu, R.; Wu, X.; Shi, S. Sensorless Control of PMSM Drives Using Reduced Order Quasi Resonant-Based ESO and Newton–Raphson Method-Based PLL. IEEE Trans. Power Electron. 2023, 38, 229–244. [Google Scholar] [CrossRef]
- Wang, M.; Xu, Y.; Zou, J. Sensorless control of permanent magnet synchronous motors based on ESO-PLL. Proc. CSEE 2022, 42, 7599–7608. [Google Scholar]
- Yan, H.; Wang, W.; Xu, Y.; Zou, J. Position Sensorless Control for PMSM Drives with Single Current Sensor. IEEE Trans. Ind. Electron. 2023, 70, 178–188. [Google Scholar] [CrossRef]
- Bi, G.; Zhang, G.; Wang, Q.; Ding, D.; Li, B.; Wang, G.; Xu, D. High-Frequency Injection Angle Self-Adjustment Based Online Position Error Suppression Method for Sensorless PMSM Drives. IEEE Trans. Power Electron. 2023, 38, 1412–1417. [Google Scholar] [CrossRef]
- Shen, Y.; Liu, A.K.; Cui, G.Z.; Yang, X.L.; Zheng, Z.F. Sensorless filed oriented control of permanent magnet synchronous motor based on extend sliding mode observer. Electr. Mach. Control 2020, 24, 51–57,66. [Google Scholar]
- Xu, Z.; Li, T. Position-measuring error analysis and solution of Hall sensor in pseudo-sensorless PMSM driving system. Proc. CSEE 2004, 24, 168–173. [Google Scholar]
- Xun, Q.; Qin, H.; Li, H. Method for predicting Hall rotor position based on two-phase orthogonal switch. J. Electr. Eng. 2016, 31, 81–88. [Google Scholar]
- Tang, Z.-H.; Chen, Y.-T.; Hsu, H.-H.; Liang, R.-H.; Hung, C.-W. An Initial States Recognition (ISR) Method for Start-Up of 1Φ BLDC Motor in Hall-Sensor-Less Fan Applications. IEEE Trans. Ind. Electron. 2020, 67, 8302–8311. [Google Scholar] [CrossRef]
- Zhang, L.; Mao, X. Low torque pulsation hybrid vector drive control of brushless DC motors based on electric vehicles. J. Electr. Eng. 2015, 30, 71–81. [Google Scholar]
- Mousmi, A.; Abbou, A.; El Houm, Y. Binary Diagnosis of Hall Effect Sensors in Brushless DC Motor Drives. IEEE Trans. Power Electron. 2020, 35, 3859–3868. [Google Scholar] [CrossRef]
- Bu, J.; Xu, L.; Sebastian, T.; Liu, B. Near-zero speed performance enhancement of PM synchronous machines assisted by low-cost Hall effect sensors. In Proceedings of the APEC ‘98 Thirteenth Annual Applied Power Electronics Conference and Exposition, Anaheim, CA, USA, 15–19 February 1998; Volume 1, pp. 64–68. [Google Scholar]
- Sorial, R.R.; Soliman, M.H.; Hasanien, H.M.; Talaat, H.E.A. A Vector Controlled Drive System for Electrically Power Assisted Steering Using Hall-Effect Sensors. IEEE Access 2021, 9, 116485–116499. [Google Scholar] [CrossRef]
- Ni, Q.; Yang, M.; Xu, D. A summary of accurate position estimation methods for permanent magnet synchronous motors with low resolution position sensors. Trans. China Electrotech. Soc. 2017, 32, 70–81. [Google Scholar]
- Capponi, F.G.; De Donato, G.; Del Ferraro, L.; Honorati, O.; Harke, M.C.; Lorenz, R.D. AC brushless drive with low-resolution Hall-effect sensors for surface-mounted PM Machines. IEEE Trans. Ind. Appl. 2006, 42, 526–535. [Google Scholar] [CrossRef]
- Zhang, X.; Zhang, W. An improved rotor position estimation in PMSM with low-resolution Hall-effect sensors. In Proceedings of the 17th International Conference on Electrical Machines and Systems (ICEMS), Hangzhou, China, 22–25 October 2014; pp. 2722–2727. [Google Scholar]
- Wang, K.; Wang, Z.; Zong, Z. Research on speed estimation method of permanent magnet synchronous motor based on Hall position sensor. J. Mot. Control 2019, 23, 46–52. [Google Scholar]
- Yoo, A.; Sul, S.-K.; Lee, D.-C.; Jun, C.-S. Novel Speed and Rotor Position Estimation Strategy Using a Dual Observer for Low-Resolution Position Sensors. IEEE Trans. Power Electron. 2009, 24, 2897–2906. [Google Scholar] [CrossRef]
- Kim, S.-Y.; Choi, C.; Lee, K.; Lee, W. An Improved Rotor Position Estimation With Vector-Tracking Observer in PMSM Drives With Low-Resolution Hall-Effect Sensors. IEEE Trans. Ind. Electron. 2011, 58, 4078–4086. [Google Scholar]
- Dan, H.; Zeng, S.; Liu, Y.; Sun, Y.; Su, M. An Improved Position and Speed Estimation Scheme for Permanent Magnet Synchronous Motor with Low-cost Hall Sensors. In Proceedings of the 2022 IEEE 5th International Electrical and Energy Conference (CIEEC), Nanjing, China, 27–29 May 2022; pp. 1831–1836. [Google Scholar]
- Xu, X.; Huang, X.; Li, Z. An Improved Rotor Position Estimation Method for PMSM Using Low-Resolution Hall-Effect Sensors. In Proceedings of the 2022 IEEE Transportation Electrification Conference and Expo, Asia-Pacific (ITEC Asia-Pacific), Haining, China, 28–31 October 2022; pp. 1–4. [Google Scholar]
- Ni, Q.; Yang, M.; Odhano, S.A.; Tang, M.; Zanchetta, P.; Liu, X.; Xu, D. A New Position and Speed Estimation Scheme for Position Control of PMSM Drives Using Low-Resolution Position Sensors. IEEE Trans. Ind. Appl. 2019, 55, 3747–3758. [Google Scholar] [CrossRef]
Disclaimer/Publisher’s Note: The statements, opinions and data contained in all publications are solely those of the individual author(s) and contributor(s) and not of MDPI and/or the editor(s). MDPI and/or the editor(s) disclaim responsibility for any injury to people or property resulting from any ideas, methods, instructions or products referred to in the content. |
© 2024 by the authors. Licensee MDPI, Basel, Switzerland. This article is an open access article distributed under the terms and conditions of the Creative Commons Attribution (CC BY) license (https://creativecommons.org/licenses/by/4.0/).




















