Next Article in Journal
Multi-Objective Optimization of a Small-Scale ORC-VCC System Using Low-GWP Refrigerants
Next Article in Special Issue
Efficiency Ranking of Photovoltaic Microinverters and Energy Yield Estimations for Photovoltaic Balcony Power Plants
Previous Article in Journal
Design and Optimization of a Permanent Magnet Synchronous Motor for a Two-Dimensional Piston Electro-Hydraulic Pump
Previous Article in Special Issue
Investigation into PV Inverter Topologies from the Standards Compliance Viewpoint
 
 
Font Type:
Arial Georgia Verdana
Font Size:
Aa Aa Aa
Line Spacing:
Column Width:
Background:
Article

Design and Analysis of a Triple-Input Three-Level PV Inverter with Minimized Number of MPPT Controllers

by
Bikash Gyawali
*,
Rukhsar
,
Aidha Muhammad Ajmal
and
Yongheng Yang
*
College of Electrical Engineering, Zhejiang University, Hangzhou 310027, China
*
Authors to whom correspondence should be addressed.
Energies 2024, 17(21), 5380; https://doi.org/10.3390/en17215380
Submission received: 8 October 2024 / Revised: 20 October 2024 / Accepted: 28 October 2024 / Published: 29 October 2024
(This article belongs to the Special Issue Experimental and Numerical Analysis of Photovoltaic Inverters)

Abstract

Photovoltaic (PV) energy has been a preferable choice with the rise in global energy demand, as it is a sustainable, efficient, and cost-effective source of energy. Optimizing the power generation is necessary to fully utilize the PV system. Harvesting more power uses cascading of impedance source converters taking input from low-voltage PV arrays which requires multiple maximum power point tracking (MPPT) controllers. To solve this problem, a three-level inverter topology with a proposed PV arrangement, offering higher voltage boosting and a smaller size with a lower cost suitable for low-voltage panels, is designed in this article. The design criteria for parameters are discussed with the help of the small signal analysis. In this paper, three PV arrays are used to harvest maximum energy, which require only one MPPT controller and employ an extended perturb and observe (P&O) algorithm, being faster, highly efficient, and reducing the computational burden of the controller. Moreover, a three maximum power points tracker algorithm, which perturbs one parameter and observes six variables, is designed for the selected converter topology. Finally, the designed 1.1 kVA grid-connected PV system was simulated in MATLAB (R2023a) which shows that the MPPT algorithm offers better dynamics and is highly efficient with a conversion efficiency of 99.2% during uniform irradiance and 97% efficiency during variable irradiance conditions.

1. Introduction

Photovoltaic (PV) energy is one of the most promising ways to meet the increasing global energy demand. For the wide application of PV energy, the voltage generated from a low-voltage PV panel must be boosted and supplied to the grid. Several works have attempted to implement double-stage power conversion [1]. The voltage can be boosted separately to a required value; thus, the inverter design and controller become much easier. However, it has a challenge, especially under high duty cycle operation conditions, which reduces system efficiency [2,3]. In addition to that, it has several drawbacks like higher complexity, higher cost, reliability issues, impact on the dynamic response of the system, bigger size, and heavier weight which led to the invention and subsequent advancement of single-stage voltage boosting using quasi-Z-source inverters (qZSI) [4,5,6]. Using qZSI helps to reduce the circuit components which makes it highly compact. Voltage boosting and power inversion are possible in the qZSI due to the shoot-through (ST) in which all the switches in the same inverter leg can be short-circuited [7]. However, it is not possible in double-stage power converters. The qZSI topology can be used for PV applications that do not require an input capacitor due to the continuous input current generated from the PV panels. There has been advancement in the topology of the qZSI and an advantageous one is to use three-level topology, because it enables the harvest of more energy with higher efficiency [8].
Although much progress has been made with the implementation of three-level topology in PV systems [9], there are still some limitations in terms of common mode voltage imbalance and leakage current flow [10]. Meanwhile, achieving the maximum power point (MPP) remains the most important issue using an appropriate algorithm [11]. There are several novel maximum power point tracking (MPPT) algorithms proposed to track the MPP for PV systems. These algorithms perform well, especially under partial shading conditions (PSCs) caused by shading of trees, buildings, dust, passing clouds, snow, and bird droppings [12,13]. Partial shading (PS) affects the performance and characteristics of PV panels by producing multi-peaks of MPP in the power–voltage (P–V) and current–voltage (I–V) curves. Traditional MPPT algorithms such as perturb and observe (P&O), hill climbing, and incremental conductance cannot operate at global maximum power point (GMPP) as they drift around the first maxima which may not be the GMPP. To overcome this issue, several optimization techniques such as the genetic algorithm, particle swarm optimization, ant colony optimization, artificial bee colony, and gray wolf optimization have been proposed [14]. These techniques can track the optimal MPP of the PV array when shading occurs. However, the efficiency is degraded as the operating point of the PV system moves away from the local maxima to obtain global maxima. To address this issue and to optimize efficiency and achieve better performance, the P&O algorithm can be modified and the number of MPPT controllers can be reduced. Reducing the number of MPPT controllers provides additional advantages like reduced cost and complexity.
Moreover, higher boosting is needed for grid-connected low-voltage PV modules to match the required AC voltage in the grid [15]. The three-level neutral-point-clamped quasi-Z-source inverter (3L-NPC-qZSI) is mostly preferred because it offers improved power quality which can be supplied to the grid [16]. In addition, the number of components used in the inverter topology is also reduced [17]. Also, the 3L-NPC-qZSI merges the strengths of a two-level topology, like reduced conduction losses and simplicity, with the benefits of a three-level topology. This makes it a viable option for specific low-voltage applications and also to connect with the grid because of its higher boosting ability [18].
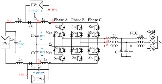
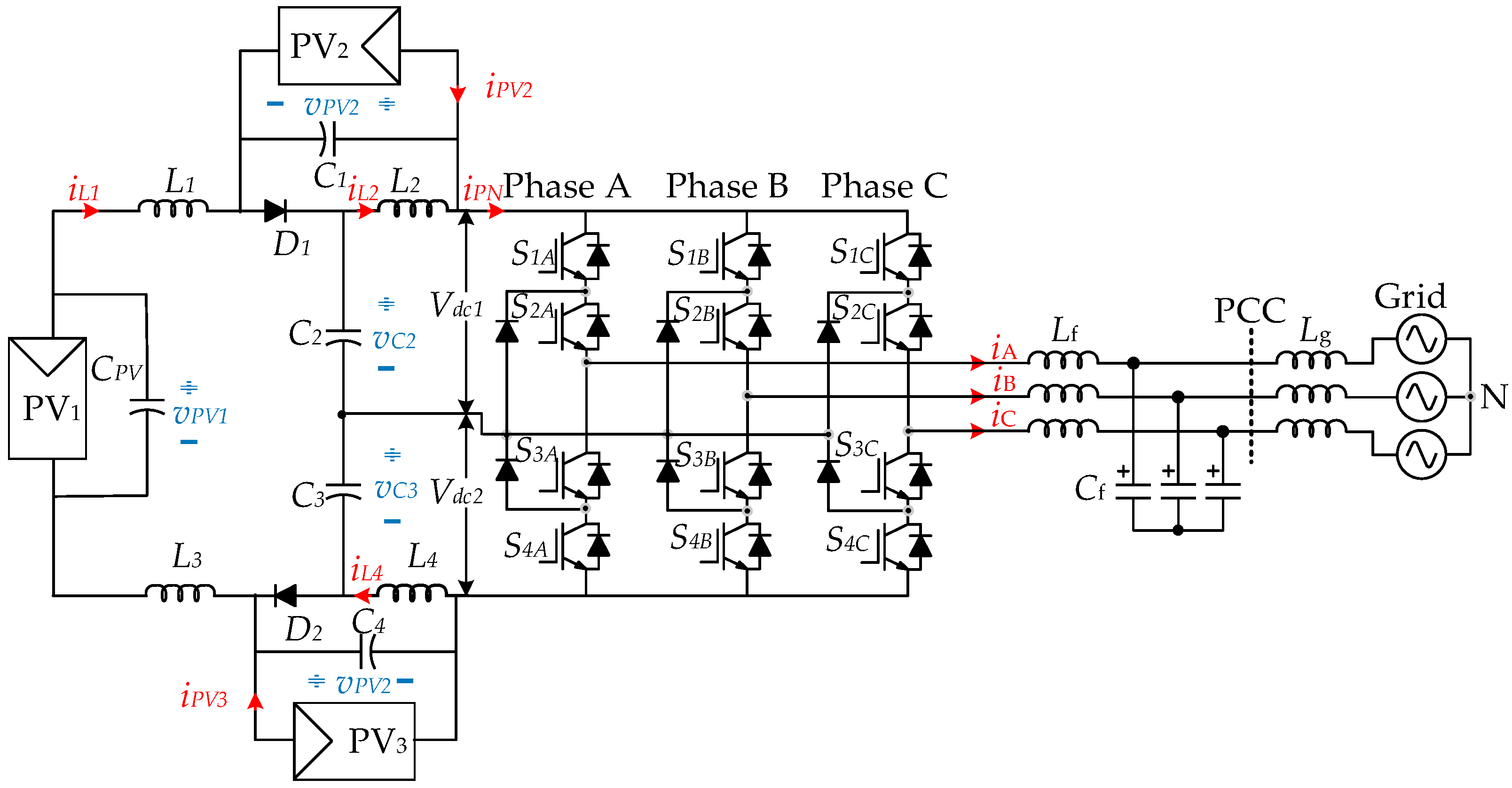
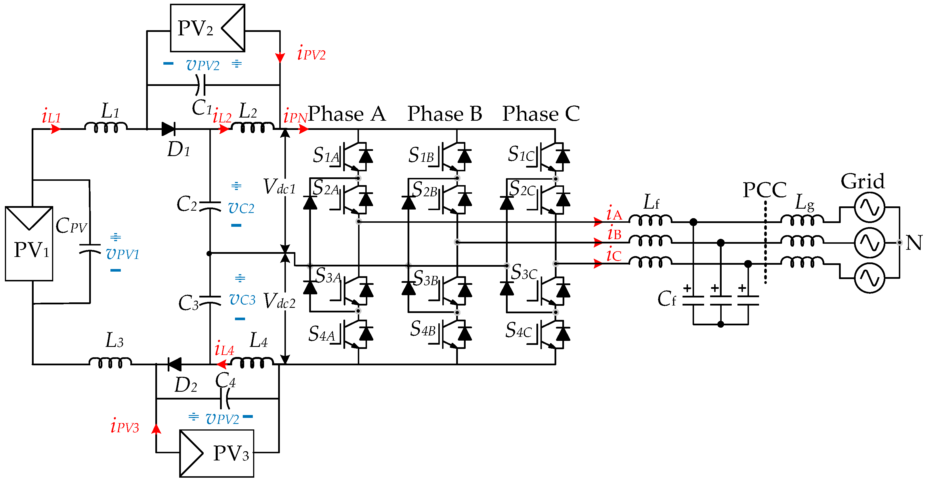
In this paper, a triple-input three-level neutral-point-clamped quasi-Z-source inverter (TI-3L-NPC-qZSI) is developed as shown in Figure 1. The three-level inverter topology is selected because of its ability to supply power with high quality. The paper’s main focus is to design a highly efficient and robust rooftop PV system while harvesting the maximum possible energy from multiple PV panels that generate low voltage. In addition, energy can be harvested with multiple PV inputs utilizimg only one MPPT controller, resulting in a more cost-effective solution.
The rest of this paper is organized as follows: Section 2 presents the proposed PV arrangement for the TI-3L-NPC-qZSI topology and its operational conditions. Section 3 performs dynamic modeling and small signal analysis to ensure that the proposed system is stable, reliable, and operates efficiently. Section 4 presents the topology’s parameter design. Section 5 illustrates the implemented MPPT algorithm. Section 6 presents the simulation results and discussion. Section 7 compares the implemented topology with other similar topologies proposed in the literature. Section 8 concludes the paper.

2. System Description

The proposed novel arrangement is presented in Figure 1, in which two additional PV arrays, PV2 and PV3, have been added to the upper and lower quasi-Z-source (qZS) network. The upper qZS network has two inductors, two capacitors, and a diode. Similarly, the lower qZSI is a replica of the upper qZS network. The current and voltage of all three PV panels are sensed for the MPPT controller and the grid voltage and current are sensed for the AC controller. Finally, the generated pulse width modulation (PWM) signal is fed to the inverter switches. The state of these switches decides the operation mode of the inverter. The detailed circuit for the TI-3L-NPC-qZSI topology is shown in Figure 2.
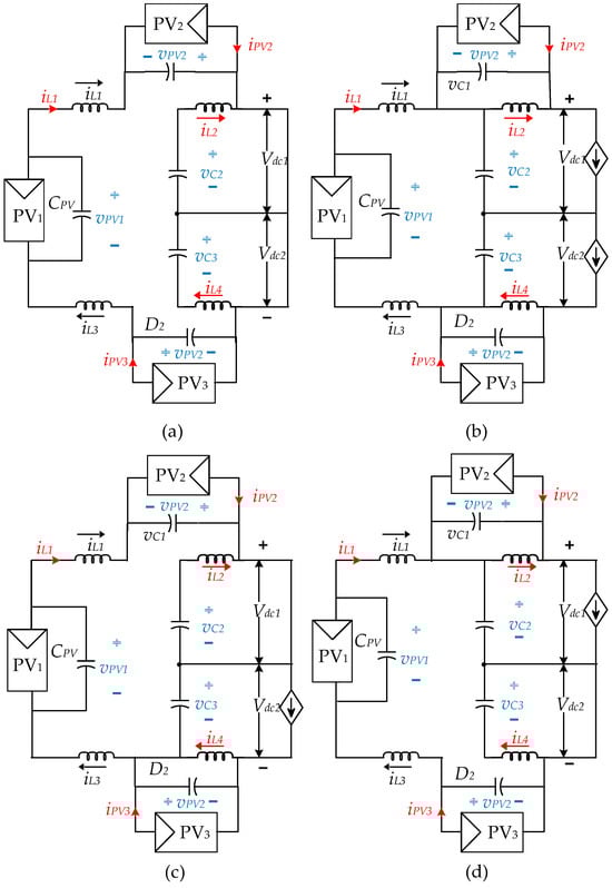
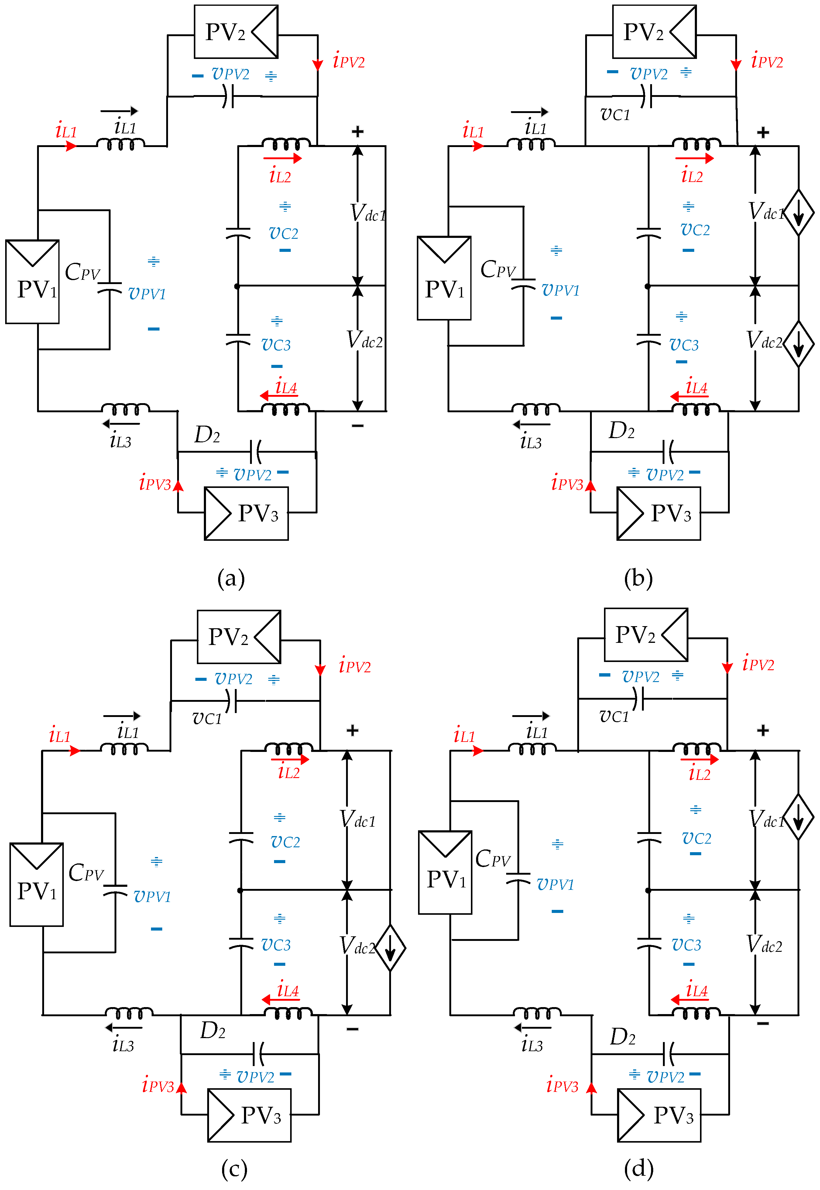
To investigate the TI-3L-NPC-qZSI, the equivalent circuits of the converter during full-ST (FST), non-ST (NST), upper-ST (UST), and lower-ST (LST) are presented in Figure 3. During the FST, as illustrated in Figure 3a, one of the converter legs is short-circuited, increasing the current in the impedance network as the capacitor discharges, moving the PV array’s operating points closer to their short-circuit currents. According to Figure 3a, the energy stored in the CPV is released to L1, whereas the energy of C2 and C3 are discharged into L2 and L3, respectively. Similarly, as shown in Figure 3c,d, for the UST and LST, the upper and lower two switches will be short-circuited, respectively. The capacitor voltage is discharged in both of the ST states. After the ST, when the active state starts, the capacitors charge again until the inductor current is finished. As shown in Figure 3b, PV1, L1, and L3, boost C2 voltage and C3 voltage, and PV2 and L2 boost C1 voltage. Similarly, PV3 and L4 boost C4 voltage. The generated power is simultaneously supplied to the grid through the TI-3L-NPC-qZSI.

3. Dynamic Modeling

The small signal analysis and modeling are carried out with the following assumptions:
  • The inductances and capacitances of the qZSI are equal and indicated as L and C, respectively;
  • Continuous conduction;
  • Lossy capacitor and inductors with resistance RC and RL, respectively;
  • Diodes and switches are ideal.
During the ST state ( t s t ), energy stored in capacitors is transferred to inductors, and during the NST state ( t n s t ), sources (i.e., PV panels) charge the capacitors and supply the load, as input diodes conduct. Inductors are discharged through loads and thereby boost the DC-link voltage. The total switching time ( t s ) is the sum of ST and NST states, i.e., t s = t s t +   t n s t . State vector ( x ) is formed using the currents of inductor L1 ( i L 1 ) and L2 ( i L 2 ) and the voltages of the capacitor C2 ( v C 2 ) and PV2 ( v P V 2 ). Similarly, the input vector ( u ) is formed using the voltage of PV1 ( v P V 1 ), the current of PV2 ( i P V 2 ), and the DC-link current (iPN).
The state vector is
x = i L 1 i L 2 v C 2 v P V 2 T
and the input vector is
u = v P V 1 i P V 2 i P N T
Subsequently, the state-space equations in ST and NST modes are obtained as
x ˙ = A 0 x + B 0 u
x ˙ =   A 1 x + B 1 u
where
A 0 = R L + R C L 0 0 1 L 0 R L + R C L 1 L 0 0 1 C 0 0 1 C 0 0 0 , B 0 = 1 2 L 0 0 0 0 0 0 0 0 0 1 2 L 0 , A 1 = R L + R C L 0 1 L 0 0 R L + R C L 0 1 L 1 C 0 0 0 0 1 C 0 0 ,
and
B 1 = 1 2 L 0 R C L 0 0 R C L 0 0 1 C 0 1 2 L 1 C
Using (3) and (4) over a complete switching cycle of t s for average, the average state-space model can be obtained as
x ˙ = A x + B u
y = C x + E u
in which A = d s t A 0 + d n s t A 1 , B = d s t B 0 + d n s t B 1 , d s t is the ST duty ratio, and d n s t is the NST duty ratio with
A = R L + R C L 0 d s t 1 L d s t L 0 R L + R C L d s t L d s t 1 L 1 d s t C d s t C 0 0 d s t C 1 D s t C 0 0 ,
  and 
B = 1 2 L 0 R C 1 d s t L 0 0 R C 1 d s t L 0 0 d s t 1 L 0 1 2 L d s t 1 L
The small signal model of the proposed TI-3L-NPC-qZSI can be obtained by applying the Laplace transform on (3) and (4), with the introduction of perturbation on v P V 1 , i P V 2 , and i P N . Each of these signals is substituted with the addition of the equilibrium point and induced perturbation, i.e., u = U + u ~ , which finally induces x = U + x ~ . The transfer function from d ~ s t to i ~ L 1 is used in investigating the system stability and parameter design. The assumption made for the analytical calculation of the transfer function includes i L 1 = i L 3 , i L 2 = i L 4 , v C 2 = v C 3 , v P V 2 = v P V 3 , v d c 1 = v d c 2 .
G d ~ s t i ~ L 1 s = i ~ L 1 d ~ s h i ~ P N = 0 i ~ P V 2 = 0 i ~ P V 1 = 0 = n 1 s + n 2 L C s 2 + C R L + R C s + ( d n s t d s t )
where n 1 = v C 1 + v C 2 C   a n d   n 2 = 4 L i P N i L 1 i L 2 + ( d n s t d s t ) . The transfer function from i ~ L 1 to v ~ P V 1 , G i ~ L 1 v ~ P V 1 s can be obtained by converting the formula obtained by Kirchhoff’s law applied to the input of the TI-3L-NPC-qZSI into the Laplace domain
G i ~ L 1 v ~ P V 1 s = v ~ P V 1 i ~ P V 1 i ~ L 1 i ~ P N = 0 i ~ P V 2 = 0 i ~ P V 1 = 0 = 1 C P V s
Accordingly, the block diagram of the closed-loop control of the TI-3L-NPC-qZSI model in the Laplace domain can be obtained as shown in Figure 4. The transfer function G d ~ s t i ~ L 1 s is derived similarly as it is for a basic qZSI topology [19]. However, the relationship of inductor current varies. Taking the relation from (5), the relation of all the inductor currents can be derived as i P V 2 = i L 1 i L 2 and i P V 3 = i L 4   i L 3 .
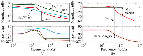
The Bode plots of the obtained transfer functions G d ~ s t i ~ L 1 s and G i ~ L 1 v ~ P V 1 s with their product K(s) (being the transfer function from the duty cycle, i.e., G d ~ s t i ~ L 1 s to the PV voltage v ~ P V 1 ) are shown in Figure 5a, which shows the gain crossover frequency ( ω g c ) being 1100 rad/s. And, Figure 5b suggests a ω g c of 999 rad/s, phase margin of 80 ° , and gain margin of 37 dB to the corresponding closed-loop frequency response. In addition, the root loci of the transfer function G d ~ s t i ~ L 1 s is shown in Figure 6.
Values for the inductor, capacitor, and ST duty ratio are increased in the direction of the arrow and the dynamic characteristics are observed. The system is designed with the parameters being v P V 1   = 73 V, i P V 2     = 5 A, d s t     = 0.25, C1,2 = 1.5 mF, L1,2 = 1.5 mH RC = 0.42 , and RL =   0.1 . Using the Ziegler and Nichols method, the proportional (kp) and integral (ki) gains of G i ~ L 1 v ~ P V 1 s are taken as 0.1 and 45, respectively, and for G d ~ s h i ~ L 1 s are taken as 0.05 and 2, respectively [20]. When the root loci of the TI-3L-NPC-qZSI is compared with the root loci of the dual-input qZSI, the stability of both the systems is observed to be equally fine [21]. Poles and zeros are on the left half plane. The closed-loop system is stable and in addition to that its boosting ability is the best among its competing converter topologies. A comparison of the boost factor with those topologies is shown in Figure 7. Hence, this topology is promising among various converter topologies [9,15,19,22]. The design of this topology is performed in the next section.

4. Design of the TI-3L-NPC-qZSI Topology

Inductors are designed in such a way that they are able to limit the current during the ST process. Using (4), the desired relationship for inductors can be derived [5].
L 1 = L 2 = L 3 = L 4 = v C 2 d t s t d i L 1 = v C 3 d t s t d i L 1 = Δ t s t Δ i L 1 ( v P V 1 + v P V 2 + v P V 3 )
Δ t s t = d s t n f s
where f s is the switching frequency, n is the number of ST states that happen in one switching period, and Δ t s t is the maximum ST duration.
Capacitors absorb the currents going through the diode (D) during the active state, which is, according to Figure 3b and Kirchhoff’s current law, estimated as
i L 1 C 1 d v P V 2 d t = C 2 d ( v P V 1 + v P V 2 ) d t
i L 3 C 4 d v P V 3 d t = C 3 d ( v P V 1 + v P V 2 ) d t
The capacitance of all capacitors ( C 1 ,   C 2 , C 2 ,     a n d     C 4 ) must be equal in order to avoid resonance in the qZS network [23]. The feature of these capacitors includes the filtering of high frequency ripple caused by switches and low frequency caused by oscillatory instantaneous power. From (11) and (12), the capacitor values can be designed as
C 1 = C 2 = C 2 =   C 4 = i L 1 6 f g Δ v P V 1 + Δ v P V 2 + Δ v P V 3
where Δ v P V 1 , Δ v P V 2 , a n d   Δ v P V 3 are the allowable ripple voltage for PV1, PV2, and PV3, and f g is the grid frequency.
Additionally, the PV parameter is of importance. Using (4) and equating it with zero for steady state condition gives
v P V 2 = v P V 3 = v P V 1 d s t 1 d s t    
i P V 1 = d n s t d s t i P N d s t i P V 2 d n s t d s t
It is obvious in (14) and (15) that the duty ratio is greater than zero. Hence, i P V 1     i P V 2 i P V 3 and when d s t = 0.25, v P V 1 is double of v P V 2 . There are other things to be considered while designing the topology: (1) The power generation from PV1 must be greater than the other two to ensure i P V 1     i P V 2 . (2) The power generation from PV2 and PV3 should be equal to i P V 2 i P V 3 . (3) The neutral point voltage, v P V 2   and v P V 3 , from PV2 and PV3 panels should be equal.

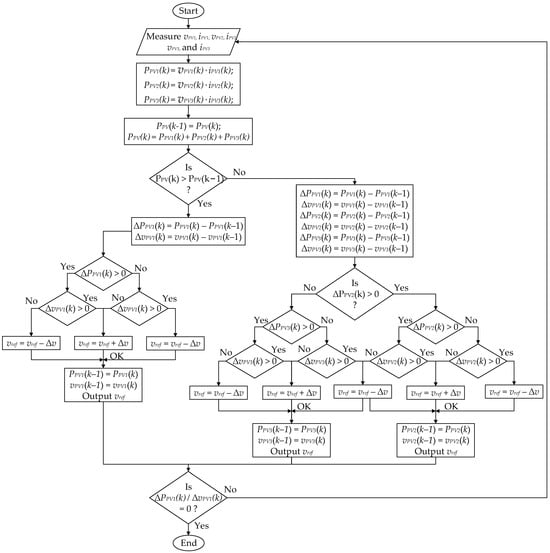
5. Extended MPPT Algorithm

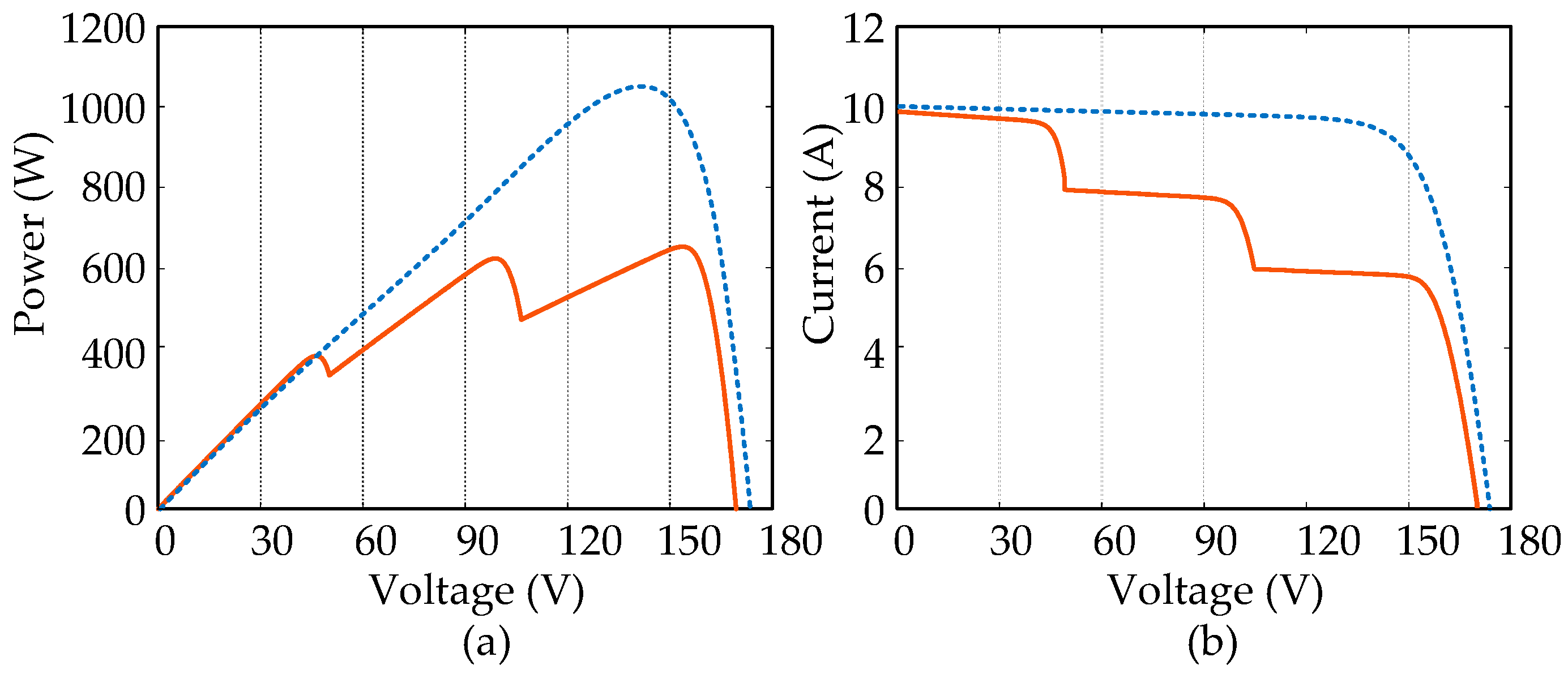
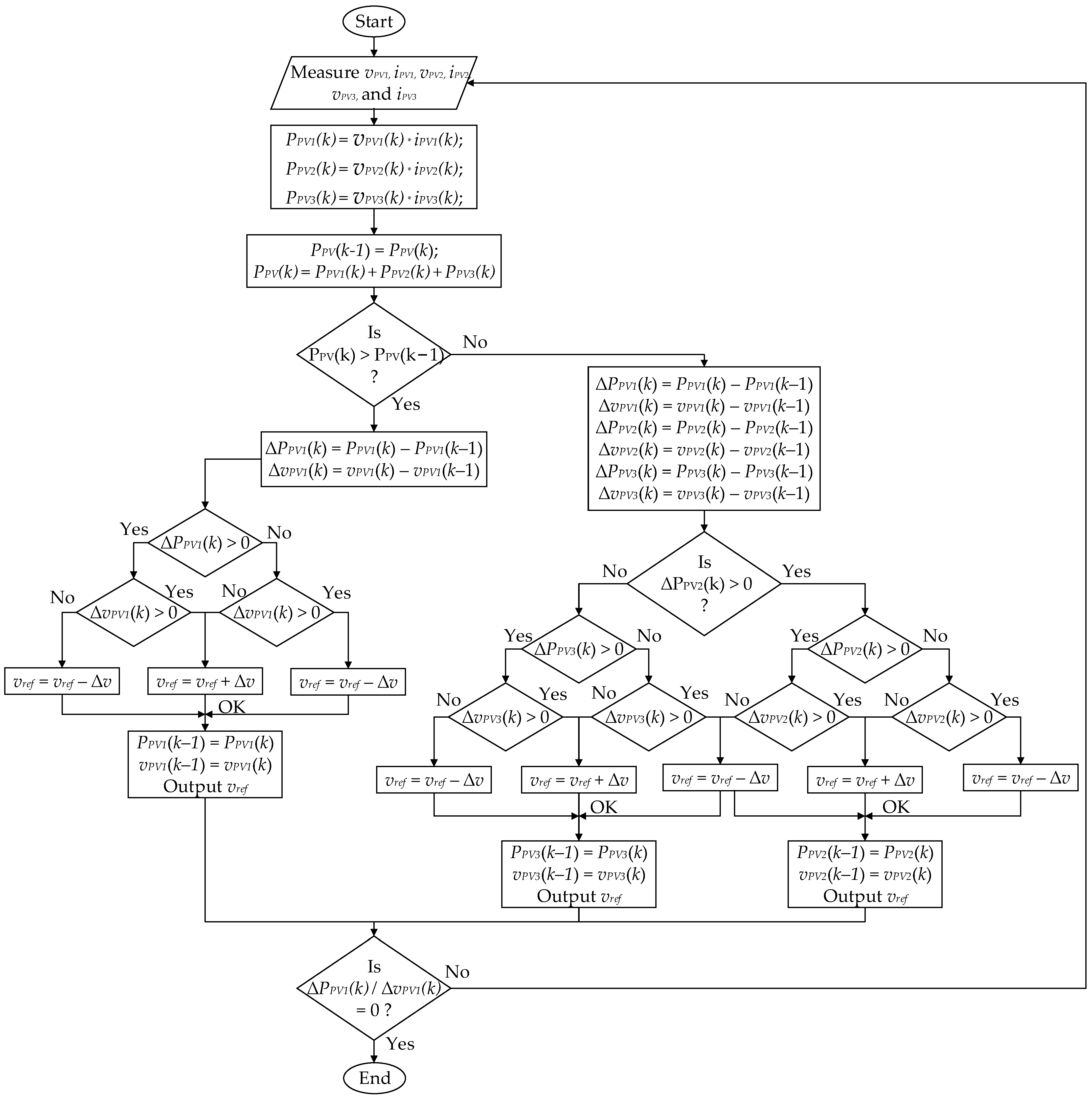
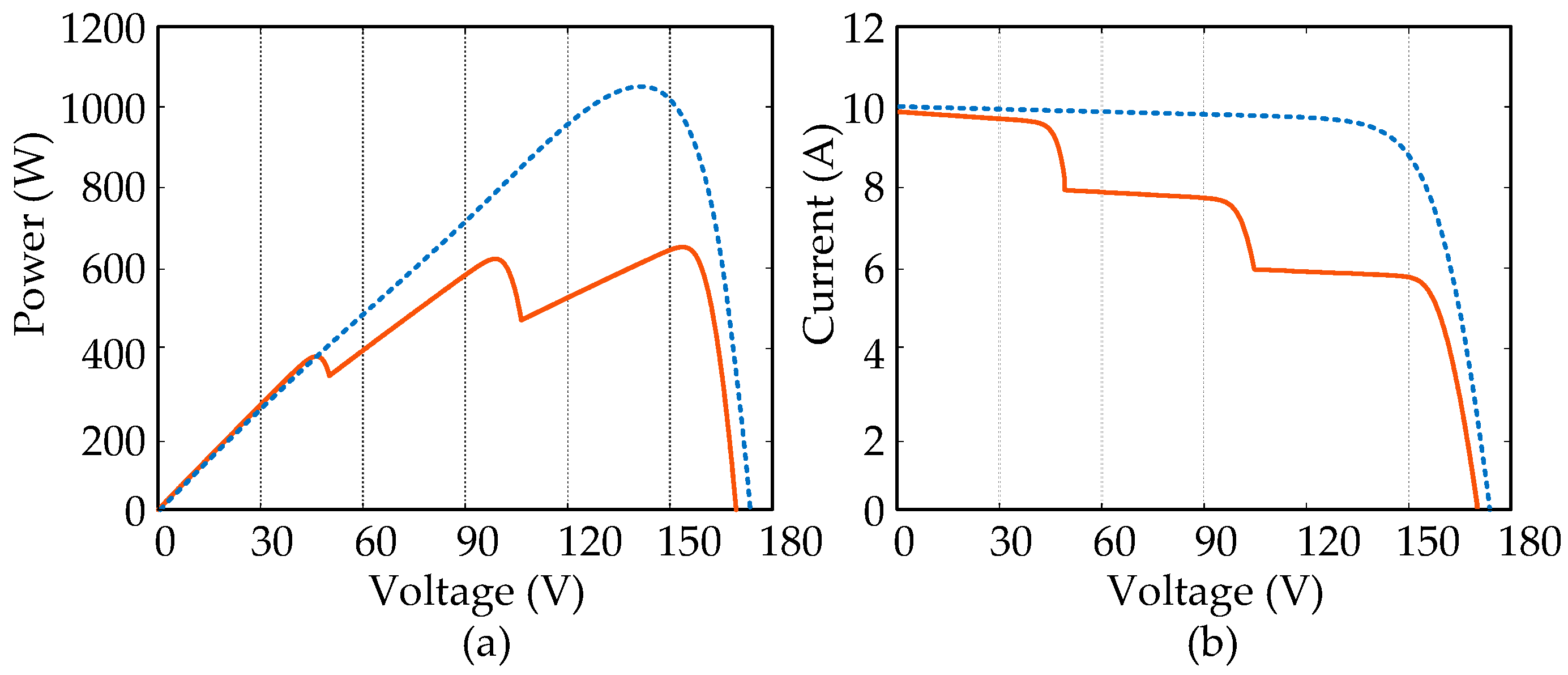
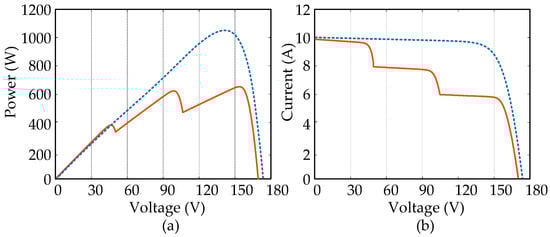
Achieving maximum power is both a challenging and important task. The main objective is to reduce the complexity and cost by using only one controller to control three PV panels. In order to optimize the power generated from the PV panel, one must track the maximum power generated by the panel and achieve it using an efficient algorithm. Several MPPT algorithms have been reported [14,24,25] to solve the issues. The P&O algorithm is preferred because of its cost-effectiveness. Moreover, optimizing and tracking the maximum power generated by three panels connected to a single converter needs some modifications in the control algorithm. Therefore, an extended P&O algorithm is implemented to the proposed topology (see Figure 1), and the flowchart of the extended MPPT algorithm is presented in Figure 8. The sampling frequency of the MPPT controller is set to 20 Hz and the increment ∆v is taken as 1 V for the perturbation. The perturbation on PV1 has an effect on the other two panels. Both panels’ observation processes are based on the perturbation of PV1 and with themselves as well. Hence, the reference voltage from the PV1 is taken to generate the reference voltage for the controller. Due to this, separate MPPT controllers are not appropriate for keeping the connection between all the panels. As such, a single MPPT controller with the ability to track the maximum power by considering the impact of perturbation on each other is implemented in the following. As shown in Figure 9, the MPP is achieved with the extended P&O algorithm shown in Figure 8 during standard test conditions (STCs) and PSCs with PV1 at 600 W/m2, PV2 at 800 W/m2, and PV3 at 1000 W/m2. The extended P&O works basically by perturbing the operating voltage and observing the power variation. This leads the operating point towards the MPP.
The MPP can be tracked when the following conditions are achieved:
d P P V d v P V = 0   ( At   MPP )
d P P V d v P V > 0   ( On   the   left   side   of   MPP )
d P P V d v P V < 0   ( On   the   right   side   of   MPP )
The fluctuations in voltage of both the panels PV2 and PV3 are used in the same sampling period for the self-perturbation of PV2 and PV3. The correct tracking direction is decided according to the change in the reference voltage in the positive or negative direction. Similarly, the perturbation with respect to PV1 is performed in an alternative sampling period. Here, the change of the reference voltage is governed by two closed-loop controls, as shown in Figure 10:
v r e f = v r e f ± v
However, both the self-perturbation and perturbation with respect to PV1 are performed. The one with the higher impact on the reference voltage is selected to achieve the MPP faster. Finally, the MPPT controller generates a reference voltage which is used to obtain the ST ratio at the MPP which is utilized to calculate the switching time.

6. Simulation Results and Discussion

The PV system as depicted in Figure 1 is built in MATLAB and the simulation work is performed based on the parameters shown in Table 1. The panel PV1 has two strings with two series modules and both PV2 and PV3 panels have a string with a single module. Initially, the simulation is performed at STC, and after that, different irradiance for PV1, PV2, and PV3 is taken into consideration to explore its impact on the power generation. Simulation results are shown in Figure 11, Figure 12 and Figure 13 for PV1, PV2, and PV3, respectively.
It has been shown that the power generation from PV1 must be greater than both of the other panels and the identical panel rating is used for PV2 and PV3 because the generated voltage from these panels must meet the criteria as discussed in Section 4. From the simulation results, it is observed that the change in irradiance on the first PV array affects power generation in all other PV arrays and the power generation of PV3 is also affected by PV2. The power ripple during the steady state is of 2 W. Also, the power value achieves the steady state quickly which shows that the controller provides fast dynamics. PS is encountered in PV2 while there is no shading on PV3, and to balance the neutral point voltage and to balance the capacitor voltage, the power generation of both panels is limited to the generation of PV2. As obtained from the simulation results, the power achieved during the STCs and PSCs has been presented in Table 2.
The theoretical value of the power for a single module during the STCs is tabulated in Table 1. Comparing the theoretical value of power with the achieved maximum power values, the efficiency can be calculated [26] as
η M P P T = 0 t P P V ( t ) d t 0 t P m p p ( t ) d t × 100 %
where η M P P T   represents the MPPT efficiency, P m p p represents theoretical maximum power, and P P V represents the achieved maximum power. The highest MPPT efficiency of 99.2% is achieved during STCs and the maximum conversion efficiency of 97% is achieved during PSCs for the presented PV system with the extended P&O MPPT algorithm.

7. Comparative Analysis

In Table 3, the comparison of the implemented topology with the other topologies that are already proposed by various researchers is presented. The comparison is conducted in terms of the number of MPPT controllers used (NMPPT), number of PV inputs used to harvest energy (Ninput), number of phases (NP), component count, inverter level, energy harvesting, controller cost, and switching frequency (fs), as well as whether it uses a neutral-point-clamped (NPC) inverter or not (for better power quality). In [19], a voltage-fed two-level qZSI has been presented for PV systems connected to the grid. In [27], two PV inputs have been used to harvest maximum energy utilizing a unique three-level inverter topology which is the combination of two DC-DC buck-boost converters. In [28], a grid-connected 3L-NPC-qZSI is utilized to harvest energy from a single PV input. In [21], a grid-connected two-level qZSI is utilized to harvest energy from two PV inputs. While comparing all of these inverter topologies with the TI-3L-NPC-qZSI, it is clear that the number of MPPT controllers can be minimized for multiple PV inputs according to the system requirements without affecting the overall performance of the PV system.
To assess the overall enhancement in performance of a PV system when utilizing different MPPT algorithms, a qualitative comparison can be conducted based on factors such as steady-state power ripple, MPPT control response dynamics, fill-factor (FF), mismatch losses, system complexity, and MPPT efficiency, as shown in Table 4. Steady-state power ripple is the fluctuation of power allowed in the steady state value of the maximum achieved power. Power ripple can be limited to a small value while designing the MPPT controller. Similarly, the dynamics of the system must be faster to quickly achieve the MPPT. In addition, the FF is the measure of efficient energy conversion and the PSCs in the PV cause the variation in the FF. The FF is another factor used to study the power losses during the influence of shading for PV systems. The FF is determined as
% F F =   P m p p V o c × I s c × 100
where % F F is the percentage fill-factor, P m p p is the maximum power, V o c is the open-circuit voltage, and I s c is the short-circuit current.
Similarly, mismatch losses are evaluated by identifying the variance between the power achieved at the full irradiance and the power achieved at PSCs. They are determined as
% P l o s s = P s t c P p s c P s t c × 100
in which % P l o s s is the percentage mismatch loss, P s t c is the power achieved at the full irradiance, and P p s c is the power achieved during PSCs.
The complexity in the MPPT control can be made lower by using only one variable for perturbation but the complexity increases if more than one perturbation variable is used to observe the power variation. The extended P&O MPPT algorithm in this paper utilizes voltage reference as a perturbing factor to observe the variation in power output.
The dual-input qZSI with two PV array inputs is compared with the implemented topology to highlight the additional PV input used in the implemented topology [21]. Similarly, a 2-MW grid-connected PV system in Navrongo, a town in Northern Ghana, is compared with the implemented topology to highlight the better use of the P&O algorithm with higher efficiency [20]. The performance of the proposed topology is observed to be equally good as both the dual-input qZSI and GUANYA inverter based on the qualitative comparative analysis in Table 4. The quantitative and qualitative comparison between other topologies proves that the grid-connected TI-3L-NPC-qZSI can efficiently harvest optimum energy from three PV inputs using a single MPPT controller.

8. Conclusions

A dynamic modeling and small signal analysis of the TI-3L-NPC-qZSI were performed. The small signal modeling of this topology is used to ensure system stability. The usage of three PV inputs does not increase the number of passive and active elements, being cost-effective. In addition, the size of the passive elements is not larger than in standard qZSI topologies, making the converter more compact. The relationship between the voltages and the currents of three PV inputs is derived from the small signal modeling, which shows that the voltages of PV2 and PV3 must always be equal, and the power of PV1 must be greater than the other two, and thus the current generated from PV1 is higher. The primary focus of the work was to understand the feasibility and application of a low-voltage rooftop PV system utilizing TI-3L-NPC-qZSI topology. It is not easy to achieve the MPP when using three panels. Therefore, an extended MPPT algorithm based on the perturb and observe concept is used to address this issue. This idea is cost-effective as it uses only one MPPT controller. Based on simulation results, it can be confirmed that the control arrangement and design topology can perform well in power mismatch scenarios. The low voltage generated from the PV system is boosted and power with good quality is supplied to the grid. In a nutshell, the use of a single MPPT controller for three PV panels for a rooftop PV system is proposed in this article.

Author Contributions

Conceptualization, B.G. and Y.Y.; methodology, B.G.; software, B.G.; validation, B.G., Y.Y., A.M.A. and R.; formal analysis, B.G.; investigation, B.G.; resources, Y.Y.; data curation, B.G.; writing—original draft preparation, B.G.; writing—review and editing, B.G., Y.Y., A.M.A. and R.; visualization, B.G.; supervision, Y.Y. All authors have read and agreed to the published version of the manuscript.

Funding

This research received no external funding.

Data Availability Statement

The article contains all the data used.

Acknowledgments

The author would like to thank the Power Electronics Control and Integration Laboratory (PENCIL) for providing the funds and resources for research work.

Conflicts of Interest

The authors declare no conflicts of interest.

Abbreviations

PhotovoltaicPV
Maximum power point tracking MPPT
Perturb and observe P&O
Quasi-Z-source inverter qZSI
Shoot-through ST
Maximum power point MPP
Partial shading conditions PSCs
Partial shading PS
Power-Voltage P-V
Current-VoltageI-V
Global maximum power point GMPP
Three-level neutral-point-clamped quasi-Z-source inverter 3L-NPC-qZSI
Triple-input 3L-NPC-qZSITI-3L-NPC-qZSI
Quasi-Z-source qZS
Pulse width modulation PWM
Full-ST FST
Non-ST NST
Upper-ST UST
Lower-ST LST
Standard test conditions STCs
Neutral-point-clamped NPC
Fill-factorFF

References

  1. Forouzesh, M.; Siwakoti, Y.P.; Gorji, S.A.; Blaabjerg, F.; Lehman, B. Step-Up DC–DC Converters: A Comprehensive Review of Voltage-Boosting Techniques, Topologies, and Applications. IEEE Trans. Power Electron. 2017, 32, 9143–9178. [Google Scholar] [CrossRef]
  2. Ding, T.; Li, C.; Yang, Y.; Jiang, J.; Bie, Z.; Blaabjerg, F. A Two-Stage Robust Optimization for Centralized-Optimal Dispatch of Photovoltaic Inverters in Active Distribution Networks. IEEE Trans. Sustain. Energy 2017, 8, 744–754. [Google Scholar] [CrossRef]
  3. Morrison, A.; Zapata, J.W.; Kouro, S.; Perez, M.A.; Meynard, T.A.; Renaudineau, H. Partial power DC-DC converter for photovoltaic two-stage string inverters. In Proceedings of the 2016 IEEE Energy Conversion Congress and Exposition (ECCE), Milwaukee, WI, USA, 18–22 September 2016; pp. 1–6. [Google Scholar] [CrossRef]
  4. Peng, F.Z. Z-source inverter. IEEE Trans. Ind. Appl. 2003, 39, 504–510. [Google Scholar] [CrossRef]
  5. Li, Y.; Anderson, J.; Peng, F.Z.; Liu, D. Quasi-Z-Source Inverter for Photovoltaic Power Generation Systems. In Proceedings of the 2009 Twenty-Fourth Annual IEEE Applied Power Electronics Conference and Exposition, Washington, DC, USA, 15–19 February 2009; pp. 918–924. [Google Scholar] [CrossRef]
  6. Elmorshedy, M.F.; Essawy, I.J.A.; Rashad, E.M.; Islam, M.R.; Dabour, S.M. A Grid-Connected PV System Based on Quasi-Z-Source Inverter with Maximum Power Extraction. IEEE Trans. Ind. Appl. 2023, 59, 6445–6456. [Google Scholar] [CrossRef]
  7. Zhou, Y.; Wu, Q.; Li, Z.; Hong, F. Research on a Time-Variant Shoot-Through Modulation Strategy for Quasi-Z-Source Inverter. IEEE Trans. Power Electron. 2018, 33, 9104–9109. [Google Scholar] [CrossRef]
  8. Le, H.-P.N.; Pham, K.D.; Nguyen, N. Analyses, Modeling, and SVPWM Control of a Three-Level T-NPC Inverter to Reduce Common-Mode Voltage Under Open-Circuit Fault in a Neutral-Point Switch. IEEE Access 2024, 12, 104708–104727. [Google Scholar] [CrossRef]
  9. Zeb, K.; Uddin, W.; Khan, M.A.; Ali, Z.; Ali, M.U.; Christofides, N.; Kim, H.J. A comprehensive review on inverter topologies and control strategies for grid connected photovoltaic system. Renew. Sustain. Energy Rev. 2018, 94, 1120–1141. [Google Scholar] [CrossRef]
  10. Celanovic, N.; Boroyevich, D. A comprehensive study of neutral-point voltage balancing problem in three-level neutral-point-clamped voltage source PWM inverters. IEEE Trans. Power Electron. 2000, 15, 242–249. [Google Scholar] [CrossRef]
  11. Esram, T.; Chapman, P.L. Comparison of Photovoltaic Array Maximum Power Point Tracking Techniques. IEEE Trans. Energy Convers. 2007, 22, 439–449. [Google Scholar] [CrossRef]
  12. Alhusseini, H.; Niroomand, M.; Mirzaeian Dehkordi, B. A Fuzzy-Based Adaptive P&O MPPT Algorithm for PV Systems with Fast Tracking and Low Oscillations Under Rapidly Irradiance Change Conditions. IEEE Access 2024, 12, 84374–84386. [Google Scholar] [CrossRef]
  13. Nkambule, M.S.; Nabil Hasan, A.; Shongwe, T. Advanced Control Strategies for Photovoltaic Power Quality and Maximum Power Point Tracking Optimization. IEEE Access 2024, 12, 74456–74481. [Google Scholar] [CrossRef]
  14. Kumar, M.; Panda, K.P.; Rosas-Caro, J.C.; Valderrabano-Gonzalez, A.; Panda, G. Comprehensive Review of Conventional and Emerging Maximum Power Point Tracking Algorithms for Uniformly and Partially Shaded Solar Photovoltaic Systems. IEEE Access 2023, 11, 31778–31812. [Google Scholar] [CrossRef]
  15. Singh, S.; Sonar, S. Improved Maximum Boost Control and Reduced Common-Mode Voltage Switching Patterns of Three-Level Z-Source Inverter. IEEE Trans. Power Electron. 2021, 36, 6557–6571. [Google Scholar] [CrossRef]
  16. Sahoo, M.; Keerthipati, S. A Three-Level LC-Switching-Based Voltage Boost NPC Inverter. IEEE Trans. Ind. Electron. 2017, 64, 2876–2883. [Google Scholar] [CrossRef]
  17. Gupta, K.K.; Ranjan, A.; Bhatnagar, P.; Sahu, L.K.; Jain, S. Multilevel Inverter Topologies with Reduced Device Count: A Review. IEEE Trans. Power Electron. 2016, 31, 135–151. [Google Scholar] [CrossRef]
  18. Schweizer, M.; Kolar, J.W. Design and Implementation of a Highly Efficient Three-Level T-Type Converter for Low-Voltage Applications. IEEE Trans. Power Electron. 2013, 28, 899–907. [Google Scholar] [CrossRef]
  19. Li, Y.; Jiang, S.; Cintron-Rivera, J.G.; Peng, F.Z. Modeling and Control of Quasi-Z-Source Inverter for Distributed Generation Applications. IEEE Trans. Ind. Electron. 2013, 60, 1532–1541. [Google Scholar] [CrossRef]
  20. Anto, E.K.; Asumadu, J.A.; Okyere, P.Y. PID control for improving P&O-MPPT performance of a grid-connected solar PV system with Ziegler-Nichols tuning method. In Proceedings of the 2016 IEEE 11th Conference on Industrial Electronics and Applications (ICIEA), Hefei, China, 5–7 June 2016; pp. 1847–1852. [Google Scholar] [CrossRef]
  21. Lashab, A.; Sera, D.; Martins, J.; Guerrero, J.M. Dual-Input Quasi-Z-Source PV Inverter: Dynamic Modeling, Design, and Control. IEEE Trans. Ind. Electron. 2020, 67, 6483–6493. [Google Scholar] [CrossRef]
  22. Gyawali, B.; Ajmal, A.M.; Liu, W.; Yang, Y. A Review on Modulation Techniques of Quasi-Z-Source Inverter for Grid-Connected Photovoltaic Systems. E-Prime—Adv. Electr. Eng. Electron. Energy 2024, 10, 100809. [Google Scholar] [CrossRef]
  23. Ge, B.; Abu-Rub, H.; Peng, F.Z.; Lei, Q.; de Almeida, A.T.; Ferreira, F.J.T.E.; Sun, D.; Liu, Y. An Energy-Stored Quasi-Z-Source Inverter for Application to Photovoltaic Power System. IEEE Trans. Ind. Electron. 2013, 60, 4468–4481. [Google Scholar] [CrossRef]
  24. Rukhsar; Ajmal, A.M.; Gyawali, B.; Yang, Y. Enhancing Power Generation in Photovoltaic Systems: A Comparison of AI Techniques. In Proceedings of the 2024 IEEE Workshop on Control and Modeling for Power Electronics (COMPEL), Lahore, Pakistan, 24–27 June 2024; pp. 1–7. [Google Scholar] [CrossRef]
  25. Ali, A.; Almutairi, K.; Padmanaban, S.; Tirth, V.; Algarni, S.; Irshad, K.; Islam, S.; Zahir, M.H.; Shafiullah, M.; Malik, M.Z. Investigation of MPPT Techniques Under Uniform and Non-Uniform Solar Irradiation Condition–A Retrospection. IEEE Access 2020, 8, 127368–127392. [Google Scholar] [CrossRef]
  26. Dadkhah, J.; Niroomand, M. Optimization Methods of MPPT Parameters for PV Systems: Review, Classification, and Comparison. J. Mod. Power Syst. Clean Energy 2021, 9, 225–236. [Google Scholar] [CrossRef]
  27. Debnath, D.; Chatterjee, K. Maximising power yield in a transformerless single-phase grid connected inverter servicing two separate photovoltaic panels. IET Renew. Power Gener. 2016, 10, 1087–1095. [Google Scholar] [CrossRef]
  28. Singh, N.; Jain, S.K. Investigation of three-level NPC-qZS inverter-based grid-connected renewable energy system. IET Power Electron. 2020, 13, 1071–1085. [Google Scholar] [CrossRef]
Figure 1. Triple-input three-level neutral-point-clamped quasi-Z-source inverter connected to grid.
Figure 1. Triple-input three-level neutral-point-clamped quasi-Z-source inverter connected to grid.
Energies 17 05380 g001
Figure 2. Equivalent circuit for the TI-3L-NPC-qZSI.
Figure 2. Equivalent circuit for the TI-3L-NPC-qZSI.
Energies 17 05380 g002
Figure 3. Operational modes (equivalent circuits) of the TI-3L-NPC-qZSI topology. (a) FST, (b) NST, (c) UST, and (d) LST.
Figure 3. Operational modes (equivalent circuits) of the TI-3L-NPC-qZSI topology. (a) FST, (b) NST, (c) UST, and (d) LST.
Energies 17 05380 g003
Figure 4. Block diagram of the closed-loop control of the PV system.
Figure 4. Block diagram of the closed-loop control of the PV system.
Energies 17 05380 g004
Figure 5. Frequency response of the control: (a) open-loop Bode plot of G d ~ s t i ~ L 1 s , G i ~ L 1 v ~ P V 1 s and K(s); (b) closed-loop Bode plot of the corresponding system.
Figure 5. Frequency response of the control: (a) open-loop Bode plot of G d ~ s t i ~ L 1 s , G i ~ L 1 v ~ P V 1 s and K(s); (b) closed-loop Bode plot of the corresponding system.
Energies 17 05380 g005
Figure 6. The root loci of the transfer function G d ~ s t i ~ L 1 s . (a) Inductor (L), (c) capacitor (C), and (e) duty ratio (D) sweeps in the dual-input qZSI. (b) Inductor (L), (d) capacitor (C), and (f) duty ratio (dratio) sweeps in the TI-3L-NPC-qZSI (Circles indicate zeros and cross indicates poles, while increasing value of parameter is indicated by changing color from red to blue).
Figure 6. The root loci of the transfer function G d ~ s t i ~ L 1 s . (a) Inductor (L), (c) capacitor (C), and (e) duty ratio (D) sweeps in the dual-input qZSI. (b) Inductor (L), (d) capacitor (C), and (f) duty ratio (dratio) sweeps in the TI-3L-NPC-qZSI (Circles indicate zeros and cross indicates poles, while increasing value of parameter is indicated by changing color from red to blue).
Energies 17 05380 g006aEnergies 17 05380 g006b
Figure 7. Comparison of the boosting capability of various inverter topologies [9,15,19,22].
Figure 7. Comparison of the boosting capability of various inverter topologies [9,15,19,22].
Energies 17 05380 g007
Figure 8. Extended perturb and observe algorithm for the TI-3L-NPC-qZSI system.
Figure 8. Extended perturb and observe algorithm for the TI-3L-NPC-qZSI system.
Energies 17 05380 g008
Figure 9. Plot during STCs (dash line) and during PSCs (solid line) (a) P–V curve, and (b) I–V curve.
Figure 9. Plot during STCs (dash line) and during PSCs (solid line) (a) P–V curve, and (b) I–V curve.
Energies 17 05380 g009
Figure 10. Control strategy of the TI-3L-NPC-qZSI connected to the grid [6,22].
Figure 10. Control strategy of the TI-3L-NPC-qZSI connected to the grid [6,22].
Energies 17 05380 g010
Figure 11. PV1 at STCs: (a) power, (c) voltage, and (e) current. Dynamic test of PV1 (b) power, (d) voltage, and (f) current.
Figure 11. PV1 at STCs: (a) power, (c) voltage, and (e) current. Dynamic test of PV1 (b) power, (d) voltage, and (f) current.
Energies 17 05380 g011
Figure 12. PV2 at STCs: (a) power, (c) voltage, and (e) current. Dynamic test of PV2 (b) power, (d) voltage, and (f) current.
Figure 12. PV2 at STCs: (a) power, (c) voltage, and (e) current. Dynamic test of PV2 (b) power, (d) voltage, and (f) current.
Energies 17 05380 g012aEnergies 17 05380 g012b
Figure 13. PV3 at STCs: (a) power, (c) voltage, and (e) current. Dynamic test of PV3 (b) power, (d) voltage, and (f) current.
Figure 13. PV3 at STCs: (a) power, (c) voltage, and (e) current. Dynamic test of PV3 (b) power, (d) voltage, and (f) current.
Energies 17 05380 g013
Table 1. Parameter values used for the TI-3L-NPC-qZSI topology.
Table 1. Parameter values used for the TI-3L-NPC-qZSI topology.
Inverter Topology
ParameterSymbolValues
InductorL11 mH
L21 mH
L31 mH
L41 mH
CapacitorC11.5 mF
C21.5 mF
C31.5 mF
C41.5 mF
Output FilterRf + Lf0.1 Ω + 3.5 mH
Rf + Cf0.42 Ω + 7.505 μF
Switching frequencyfs10 kHz
Inverter RatingS1 kW
PV module parameter
Number of PV cellsNs72
MPP voltage at STCVmpp,stc36.72 V
MPP current at STCImpp,stc4.9 A
MPP power at STCPmpp,stc179.928 W
Open-circuit voltage at STCVoc,stc44.06 V
Short-circuit current at STCIsc,stc5.31 A
Temperature coefficient of VOC             β V o c 0.3616   mV / ° C
Temperature coefficient of ISC           β I s c 0.041507 % / ° C
Table 2. Power achieved during the partial shading condition.
Table 2. Power achieved during the partial shading condition.
PV ArrayAchieved Power During STCsAchieved Power During PSCs
PV1719 W427 W
PV2179 W107 W
PV3179 W107 W
Table 3. Comparison of the proposed topology with other famous topologies.
Table 3. Comparison of the proposed topology with other famous topologies.
FactorsReference [19]Reference [27]Reference [28]Reference [21]Implemented
NMPPT12111
Ninput12123
NP31333
Active switches6612612
Inverter level22323
Energy HarvestingLowMediumLowMediumHigh
Controller costHighHighHighMediumLow
fsMediumHighHighHighHigh
NPCNoYesYesNoYes
Table 4. Qualitative comparison of proposed topology with a dual-input qZSI.
Table 4. Qualitative comparison of proposed topology with a dual-input qZSI.
FactorsDual-Input qZSI [21]GUANYA Inverter [20]Implemented
Power ripple3 W
(0.0015% of P m p p )
6 W
(0.0031% of P m p p )
2 W
(0.0027% of P m p p )
Dynamics
(Time required to reach steady state after encountering shading)
PV1 = 0.35 s
PV2 = 3 s
PV = 0.38 sPV1 = 0.2 s
PV2 = 1.1 s
PV3 = 0.9 s
% F F 67%75%72%
% P loss 36%39%35%
ComplexityMediumLowLow
η MPPT 96.21%95%97.097%
Disclaimer/Publisher’s Note: The statements, opinions and data contained in all publications are solely those of the individual author(s) and contributor(s) and not of MDPI and/or the editor(s). MDPI and/or the editor(s) disclaim responsibility for any injury to people or property resulting from any ideas, methods, instructions or products referred to in the content.

Share and Cite

MDPI and ACS Style

Gyawali, B.; Rukhsar; Ajmal, A.M.; Yang, Y. Design and Analysis of a Triple-Input Three-Level PV Inverter with Minimized Number of MPPT Controllers. Energies 2024, 17, 5380. https://doi.org/10.3390/en17215380

AMA Style

Gyawali B, Rukhsar, Ajmal AM, Yang Y. Design and Analysis of a Triple-Input Three-Level PV Inverter with Minimized Number of MPPT Controllers. Energies. 2024; 17(21):5380. https://doi.org/10.3390/en17215380

Chicago/Turabian Style

Gyawali, Bikash, Rukhsar, Aidha Muhammad Ajmal, and Yongheng Yang. 2024. "Design and Analysis of a Triple-Input Three-Level PV Inverter with Minimized Number of MPPT Controllers" Energies 17, no. 21: 5380. https://doi.org/10.3390/en17215380

APA Style

Gyawali, B., Rukhsar, Ajmal, A. M., & Yang, Y. (2024). Design and Analysis of a Triple-Input Three-Level PV Inverter with Minimized Number of MPPT Controllers. Energies, 17(21), 5380. https://doi.org/10.3390/en17215380

Note that from the first issue of 2016, this journal uses article numbers instead of page numbers. See further details here.

Article Metrics

Back to TopTop