Parametric Analysis of a Novel Array-Type Hydrogen Storage Reactor with External Water-Cooled Jacket Heat Exchange
Abstract
1. Introduction
2. Mathematical Model
2.1. Description of Reactors
- (a)
- MH is a porous region with local thermal equilibrium characteristics [16].
- (b)
- For MH reaction beds inside the reactors, the convective heat transfer of hydrogen is ignored [22].
- (c)
- We consider hydrogen as an ideal gas, and the H2 pressure distribution throughout the reaction bed is uniform during the reaction process [23].
- (d)
2.2. Governing Equations
2.3. Initial and Boundary Conditions
3. Numerical Methods and Model Validation
4. Results and Discussion
4.1. Comparison of the Reactors
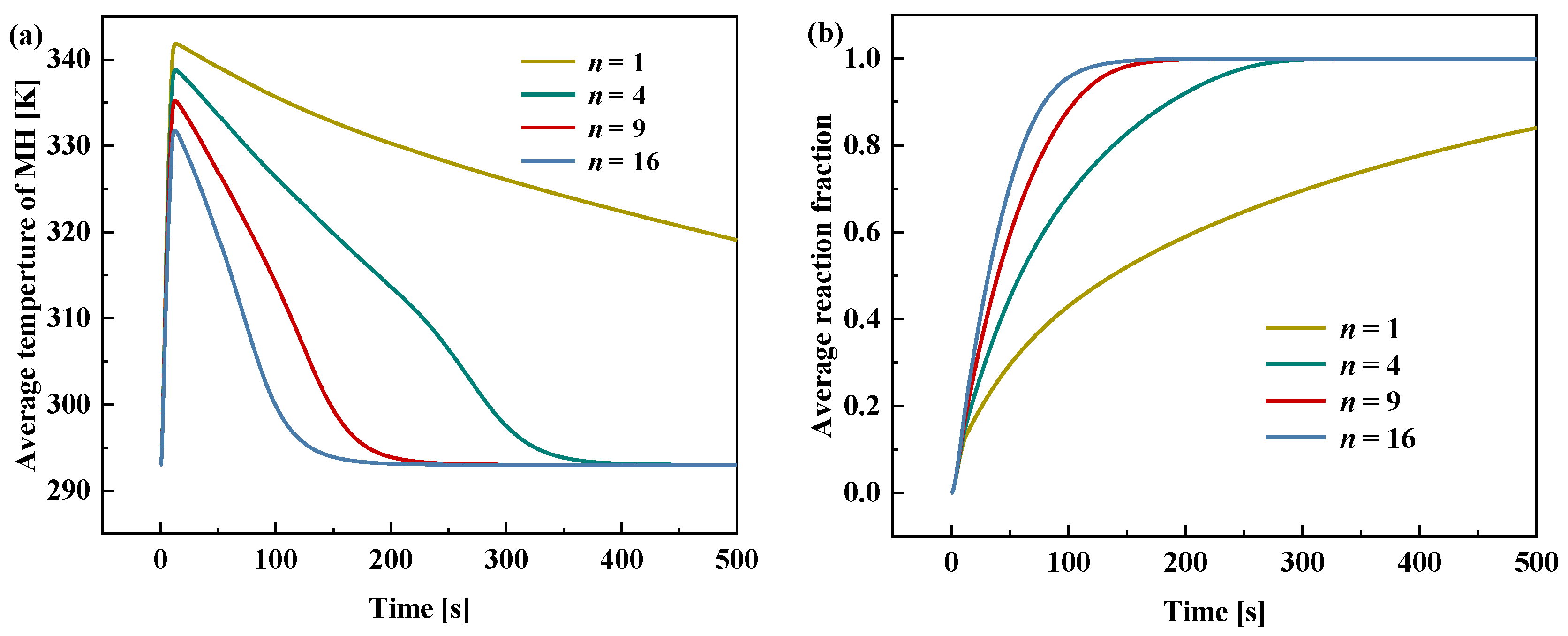
4.2. The Number of Array Units in AWJ-Reactor
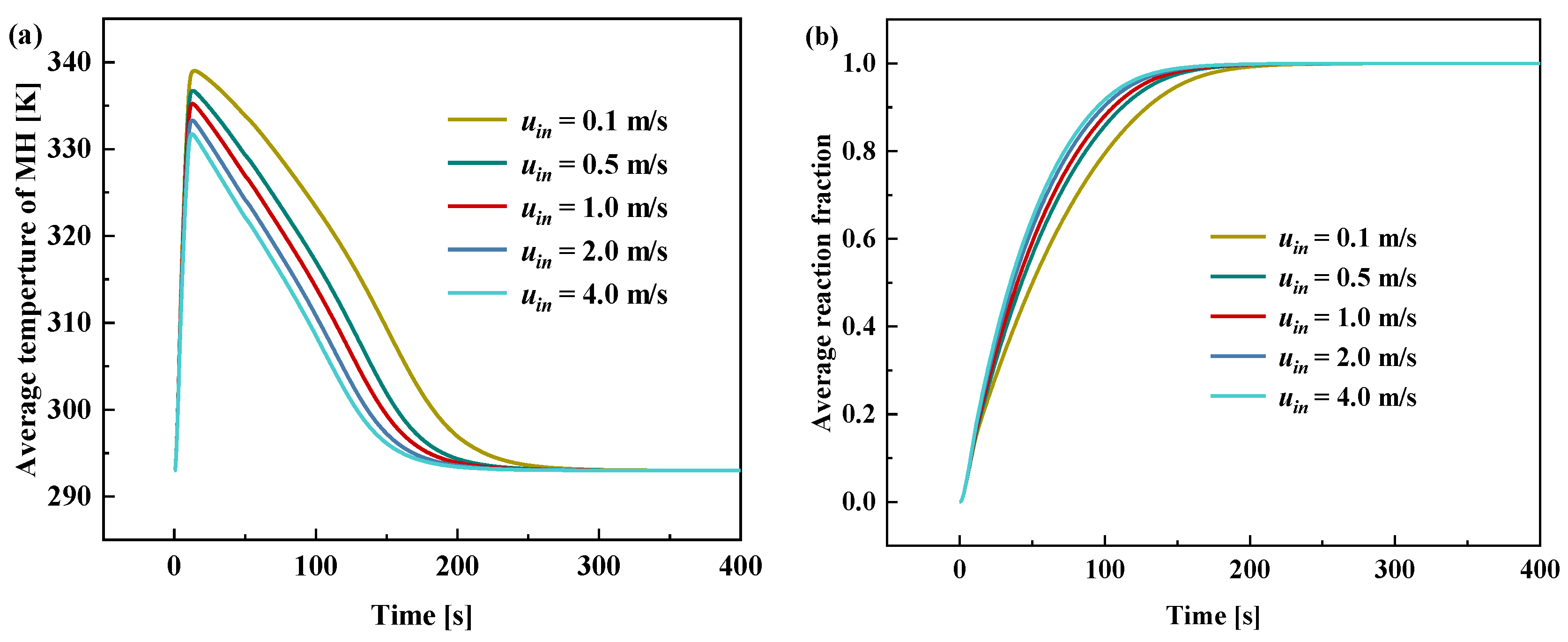
4.3. Inlet Velocity of HTF in AWJ-Reactor
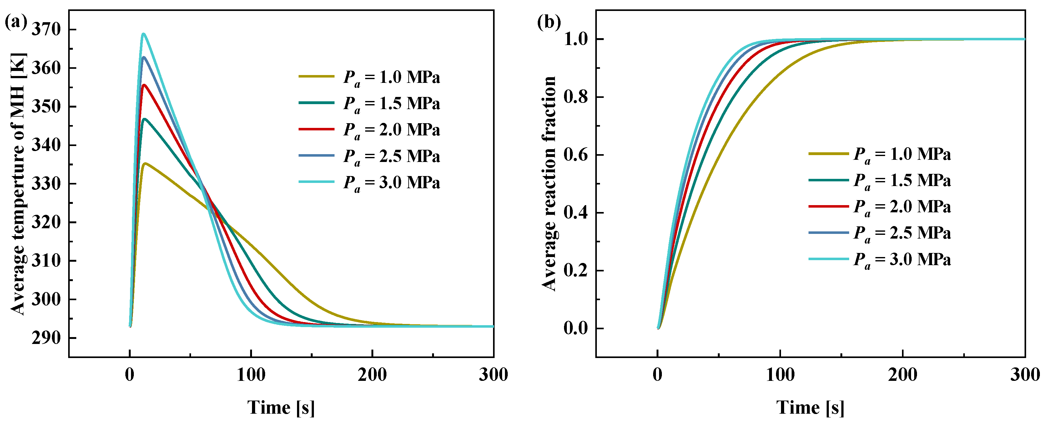
4.4. H2 Absorption Pressure
5. Conclusions
Author Contributions
Funding
Data Availability Statement
Acknowledgments
Conflicts of Interest
Nomenclature
| Abbreviations | |
| MH | Metal hydride |
| HTF | Heat transfer fluid |
| Symbols | |
| C | Reaction rate constant, s−1 |
| cp | Specific heat, J/(kg·K) |
| E | Activation energy, kJ/(mol·K) |
| M | Molar mass of hydrogen, kg/mol |
| ṁ | Reaction rate, kg/(m3·s) |
| P | Pressure, MPa |
| R | Universal gas constant, J/(mol·K) |
| S | Heat source, W/m3 |
| T | Temperature, K |
| V | Velocity, m/s |
| t | Time, s |
| x | Reaction fraction |
| ΔH | Molar enthalpy of the reaction, kJ/mol |
| Velocity vector, m/s | |
| ε | Porosity |
| μ | Dynamic viscosity, Pa·s |
| ρ | Density, kg/m3 |
| Subscripts | |
| a | Absorption |
| g | Gas |
| m | Metal hydride |
| h | Heat transfer fluid |
| emp | Hydrogen-free |
| sat | Hydrogen-Saturated |
| ref | Reference |
| in | Inlet |
| eq | Equilibrium |
References
- Yue, M.; Lambert, H.; Pahon, E.; Roche, R.; Jemei, S.; Hissel, D. Hydrogen energy systems: A critical review of technologies, applications, trends and challenges. Renew. Sustain. Energy Rev. 2021, 146, 111180. [Google Scholar] [CrossRef]
- Usman, M.R. Hydrogen storage methods: Review and current status. Renew. Sustain. Energy Rev. 2022, 167, 112743. [Google Scholar] [CrossRef]
- Tarhan, C.; Çil, M.A. A study on hydrogen, the clean energy of the future: Hydrogen storage methods. J. Energy Storage 2021, 40, 102676. [Google Scholar] [CrossRef]
- Hassan, Q.; Sameen, A.Z.; Salman, H.M.; Jaszczur, M.; Al-Jiboory, A.K. Hydrogen energy future: Advancements in storage technologies and implications for sustainability. J. Energy Storage 2023, 72, 108404. [Google Scholar] [CrossRef]
- Lee, S.Y.; Lee, J.H.; Kim, Y.H.; Kim, J.W.; Lee, K.J.; Park, S.J. Recent progress using solid-state materials for hydrogen storage: A short review. Processes 2022, 10, 304. [Google Scholar] [CrossRef]
- Hassan, I.; Ramadan, H.S.; Saleh, M.A.; Hissel, D. Hydrogen storage technologies for stationary and mobile applications: Review, analysis and perspectives. Renew. Sustain. Energy Rev. 2021, 149, 111311. [Google Scholar] [CrossRef]
- Joubert, J.-M.; Paul-Boncour, V.; Cuevas, F.; Zhang, J.; Latroche, M. LaNi5 related AB5 compounds: Structure, properties and applications. J. Alloys Compd. 2021, 862, 158163. [Google Scholar] [CrossRef]
- Xu, Y.; Deng, Y.; Liu, W.; Zhao, X.; Xu, J.; Yuan, Z. Research progress of hydrogen energy and metal hydrogen storage materials. Sustain. Energy Technol. Assess. 2023, 55, 102974. [Google Scholar] [CrossRef]
- Xu, J.; Chen, X.; Zhu, W.; Zhang, W.; Cui, H.; Zhu, S.; Liu, J.; Liu, H.; Yan, K.; Cheng, H. Enhanced cycling stability and reduced hysteresis of AB5-type hydrogen storage alloys by partial substitution of Sn for Ni. Int. J. Hydrogen Energy 2022, 47, 22495–22509. [Google Scholar] [CrossRef]
- Yu, H.; Wu, Y.; Chen, S.; Xie, Z.; Wu, Y.; Cheng, N.; Yang, X.; Lin, W.; Xie, L.; Li, X.; et al. Pd-modified LaNi5 nanoparticles for efficient hydrogen storage in a carbazole type liquid organic hydrogen carrier. Appl. Catal. B Environ. 2022, 317, 121720. [Google Scholar] [CrossRef]
- Sreeraj, R.; Aadhithiyan, A.K.; Anbarasu, S. Integration of thermal augmentation methods in hydride beds for metal hydride based hydrogen storage systems: Review and recommendation. J. Energy Storage 2022, 52, 105039. [Google Scholar] [CrossRef]
- Afzal, M.; Mane, R.; Sharma, P. Heat transfer techniques in metal hydride hydrogen storage: A review. Int. J. Hydrogen Energy 2017, 42, 30661–30682. [Google Scholar] [CrossRef]
- Shafiee, S.; McCay, M.H. Different reactor and heat exchanger configurations for metal hydride hydrogen storage systems-a review. Int. J. Hydrogen Energy 2016, 41, 9462–9470. [Google Scholar] [CrossRef]
- MacDonald, B.D.; Rowe, A.M. Impacts of external heat transfer enhancements on metal hydride storage tanks. Int. J. Hydrogen Energy 2006, 31, 1721–1731. [Google Scholar] [CrossRef]
- Mohan, G.; Prakash Maiya, M.; Srinivasa Murthy, S. The performance simulation of air-cooled hydrogen storage device with plate fins. Int. J. Low-Carbon Technol. 2010, 5, 25–34. [Google Scholar] [CrossRef]
- Wang, D.; Wang, Y.; Wang, F.; Zheng, S.; Guan, S.; Zheng, L.; Wu, L.; Yang, X.; Lv, M.; Zhang, Z. Optimal design of disc mini-channel metal hydride reactor with high hydrogen storage efficiency. Appl. Energy 2022, 308, 118389. [Google Scholar] [CrossRef]
- Wu, Z.; Yang, F.; Zhang, Z.; Bao, Z. Magnesium based metal hydride reactor incorporating helical coil heat exchanger: Simulation study and optimal design. Appl. Energy 2014, 130, 712–722. [Google Scholar] [CrossRef]
- Wu, Z.; Yang, F.; Zhu, L.; Feng, P.; Zhang, Z.; Wang, Y. Improvement in hydrogen desorption performances of magnesium based metal hydride reactor by incorporating helical coil heat exchanger. Int. J. Hydrogen Energy 2016, 41, 16108–16121. [Google Scholar] [CrossRef]
- Li, H.; Wang, Y.; He, C.; Chen, X.; Zhang, Q.; Zheng, L.; Yang, F.; Zhang, Z. Design and performance simulation of the spiral mini-channel reactor during H2 absorption. Int. J. Hydrogen Energy 2015, 40, 13490–13505. [Google Scholar] [CrossRef]
- Garrier, S.; Delhomme, B.; de Rango, P.; Marty, P.; Fruchart, D.; Miraglia, S. A new MgH2 tank concept using a phase-change material to store the heat of reaction. Int. J. Hydrogen Energy 2013, 38, 9766–9771. [Google Scholar] [CrossRef]
- Mâad, H.B.; Askri, F.; Nasrallah, S.B. Heat and mass transfer in a metal hydrogen reactor equipped with a phase-change heat-exchanger. Int. J. Therm. Sci. 2016, 99, 271–278. [Google Scholar] [CrossRef]
- El Mghari, H.; Huot, J.; Tong, L.; Xiao, J. Selection of phase change materials, metal foams and geometries for improving metal hydride performance. Int. J. Hydrogen Energy 2020, 45, 14922–14939. [Google Scholar] [CrossRef]
- Yao, J.; Zhu, P.; Qian, C.; Hamidullah, U.; Kurko, S.; Yang, F.; Zhang, Z.; Wu, Z. Study of an autothermal-equilibrium metal hydride reactor by reaction heat recovery as hydrogen source for the application of fuel cell power system. Energy Convers. Manag. 2020, 213, 112864. [Google Scholar] [CrossRef]
- Tong, L.; Xiao, J.; Bénard, P.; Chahine, R. Thermal management of metal hydride hydrogen storage reservoir using phase change materials. Int. J. Hydrogen Energy 2019, 44, 21055–21066. [Google Scholar] [CrossRef]
- Alqahtani, T.; Mellouli, S.; Bamasag, A.; Askri, F.; Phelan, P.E. Thermal performance analysis of a metal hydride reactor encircled by a phase change material sandwich bed. Int. J. Hydrogen Energy 2020, 45, 23076–23092. [Google Scholar] [CrossRef]
- Ye, Y.; Zhu, H.; Cheng, H.; Miao, H.; Ding, J.; Wang, W. Performance optimization of metal hydride hydrogen storage reactors based on PCM thermal management. Appl. Energy 2023, 338, 120923. [Google Scholar] [CrossRef]
- Lewis, S.D.; Chippar, P. Analysis of heat and mass transfer during charging and discharging in a metal hydride-phase change material reactor. J. Energy Storage 2021, 33, 102108. [Google Scholar] [CrossRef]
- Ye, Y.; Zhou, D.; Rong, Z.; Liu, J.; Yan, K.; Wang, W.; Cheng, H. Storage performance of a novel array metal hydride hydrogen storage reactor based on PCM thermal management. J. Energy Storage 2024, 76, 109861. [Google Scholar] [CrossRef]
- Chung, C.A.; Ho, C.J. Thermal-fluid behavior of the hydriding and dehydriding processes in a metal hydride hydrogen storage canister. Int. J. Hydrogen Energy 2009, 34, 4351–4364. [Google Scholar] [CrossRef]
- Yang, X.; Yu, J.; Xiao, T.; Hu, Z.; He, Y.-L. Design and operating evaluation of a finned shell-and-tube thermal energy storage unit filled with metal foam. Appl. Energy 2020, 261, 114385. [Google Scholar] [CrossRef]
- Jemni, A.; Nasrallah, S.B.; Lamloumi, J. Experimental and theoretical study of a metal-hydrogen reactor. Int. J. Hydrogen Energy 1999, 24, 631–644. [Google Scholar] [CrossRef]








| Parameters | Values |
|---|---|
| Absorption reaction rate constant, Ca | 59.187 s−1 |
| Activation energy of absorption, Ea | 21,179.6 J/(K·mol) |
| Reaction enthalpy, ΔH | 30.1 kJ/mol |
| Density of MH with H2-free, ρemp | 8400 kg/m3 |
| Density of MH with H2-saturated, ρsat | 8527 kg/m3 |
| Specific heat of MH, cp,m | 419 J/(kg·K) |
| Effective thermal conductivity of MH, λe | 1.087 W/(m·K) |
| Porosity of MH, ε | 0.5 |
| Density of HTF, ρh | 998.2 kg/m3 |
| Specific heat of HTF, ρp,s | 2140 kg/m3 |
| Effective thermal conductivity of HTF, λh | 0.6 W/(m·K) |
| Dynamic viscosity of HTF, μh | 1.003 × 10−3 Pa·s |
| Specific heat of H2, cp,g | 14,000 J/(kg·K) |
| Thermal conductivity of H2, λg | 0.24 W/(m·K) |
| Molar mass of H2, M | 0.002 kg/mol |
Disclaimer/Publisher’s Note: The statements, opinions and data contained in all publications are solely those of the individual author(s) and contributor(s) and not of MDPI and/or the editor(s). MDPI and/or the editor(s) disclaim responsibility for any injury to people or property resulting from any ideas, methods, instructions or products referred to in the content. |
© 2024 by the authors. Licensee MDPI, Basel, Switzerland. This article is an open access article distributed under the terms and conditions of the Creative Commons Attribution (CC BY) license (https://creativecommons.org/licenses/by/4.0/).
Share and Cite
Ye, Y.; Zhang, Z.; Zhang, Y.; Liu, J.; Yan, K.; Cheng, H. Parametric Analysis of a Novel Array-Type Hydrogen Storage Reactor with External Water-Cooled Jacket Heat Exchange. Energies 2024, 17, 5340. https://doi.org/10.3390/en17215340
Ye Y, Zhang Z, Zhang Y, Liu J, Yan K, Cheng H. Parametric Analysis of a Novel Array-Type Hydrogen Storage Reactor with External Water-Cooled Jacket Heat Exchange. Energies. 2024; 17(21):5340. https://doi.org/10.3390/en17215340
Chicago/Turabian StyleYe, Yang, Ziyang Zhang, Yuanyuan Zhang, Jingjing Liu, Kai Yan, and Honghui Cheng. 2024. "Parametric Analysis of a Novel Array-Type Hydrogen Storage Reactor with External Water-Cooled Jacket Heat Exchange" Energies 17, no. 21: 5340. https://doi.org/10.3390/en17215340
APA StyleYe, Y., Zhang, Z., Zhang, Y., Liu, J., Yan, K., & Cheng, H. (2024). Parametric Analysis of a Novel Array-Type Hydrogen Storage Reactor with External Water-Cooled Jacket Heat Exchange. Energies, 17(21), 5340. https://doi.org/10.3390/en17215340
