Effect of the Cathodic Gas Diffusion Layer on the Performance of a Proton Exchange Membrane Electrolyzer
Abstract
1. Introduction
2. Experimental
2.1. GDL Preparation
2.2. Electrodes Preparation
2.3. Electrolyzer
3. Results and Discussion
3.1. GDL Porosity
3.2. GDL Permeability
3.3. Electrical Conductivity
3.4. Hydrophobicity
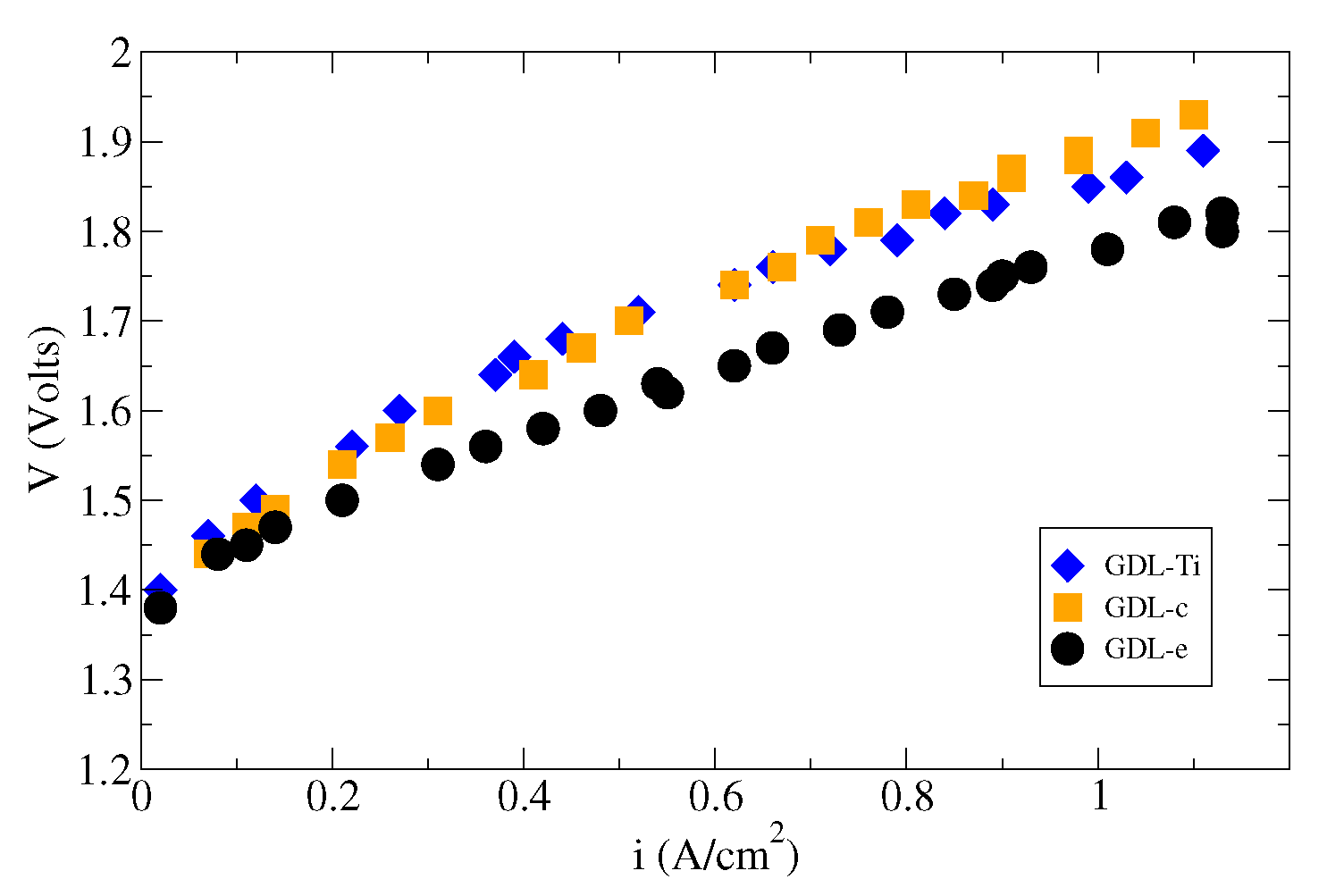
3.5. Polarization Curves
4. Conclusions
- Sustainability and Cost Reduction: Using natural fibers in GDLs is presented as a more sustainable and cost-effective solution compared to traditional materials, particularly expensive titanium mesh layers. This addresses one of the major challenges in electrolyzer fabrication: high production costs.
- Performance Maintenance: The results indicate that these natural fiber-based GDLs maintain comparable performance to traditional titanium layers. This is an important finding because it suggests that the cost reduction does not come at the expense of efficiency or effectiveness.
- Pore Distribution vs. Electrical Conductivity: This study suggests that the pore distribution within the GDL plays a more crucial role than its electrical conductivity for achieving optimal PEMWE performance. This highlights the importance of designing GDLs with the right pore structure to ensure efficient gas diffusion and overall electrolyzer operation.
Author Contributions
Funding
Data Availability Statement
Conflicts of Interest
References
- Busby, R.L. Hydrogen and Fuel Cells; Pennwell Publishing: Tulsa, OK, USA, 2005. [Google Scholar]
- Kumar, S.; Himabindu, V. Hydrogen production by pem water electrolysis: A review. Mater. Sci. Energy Technol. 2019, 2, 442–454. [Google Scholar] [CrossRef]
- Blasi, A.; D’Urso, C.; Vaglio, V.; Antonucci, V.; Arico, A.; Ornelas, R.; Matteucci, F.; Orozco, G.; Beltran, D.; Meas, Y.; et al. Preparation and evaluation of ruo2–iro2, iro2–pt and iro2–ta2o5 catalysts for the oxygen evolution reaction in an spe electrolyzer. J. Appl. Electrochem. 2009, 39, 191–196. [Google Scholar] [CrossRef]
- Reiera, T.; Weidingerb, I.; Hildebrandtb, P.; Kraehnerta, R.; Strassera, P. Electrocatalytic oxygen evolution reaction on iridium oxide model film catalysts: Influence of oxide type and catalyst substrate interactions. ECS Trans. 2013, 58, 39–51. [Google Scholar] [CrossRef]
- Reier, T.; Teschner, D.; Lunkenbein, T.; Bergmann, A.; Selve, S.; Kraehnert, R.; Schlögl, R.; Strassera, P. Electrocatalytic oxygen evolution on iridium oxide: Uncovering catalyst-substrate interactions and active iridium oxide species. J. Electrochem. Soc. 2014, 161, F876–F882. [Google Scholar] [CrossRef]
- Jiang, H.; Ge, S.; Zhang, Y.; Dong, M.; Wu, S.; Wu, M.; Zhang, J.; Ge, R.; Guo, Z. Self-supported iridium oxide nanostructures for electrocatalytic water oxidation in acidic media. J. Phys. Chem. C 2020, 124, 2–8. [Google Scholar] [CrossRef]
- Zhang, L.; Zhao, H.; Wilkinson, D.; Sun, X.; Zhang, J. (Eds.) Electrochemical Water Electrolysis. Fundamentals and technologies; CRC Press: Boca Raton, FL, USA, 2020. [Google Scholar]
- Omrani, R.; Shabani, B. Gas diffusion layer modifications and treatments for improving the performance of proton exchange membrane fuel cells and electrolysers: A review. Int. J. Hydrogen Energy 2017, 42, 28515–28536. [Google Scholar] [CrossRef]
- Hussain, J.; Kim, D.; Park, S.; Khalid, M.; Hussain, S.; Lee, B.; Song, M.; Kim, T. Porous material (titanium gas diffusion layer in proton exchange membrane fuel cell/electrolyzer: Fabrication method and geodict: A critical review. Materials 2023, 16, 4515. [Google Scholar] [CrossRef]
- Yan, S.; Yang, M.; Sun, C.; Xu, S. Liquid water characteristics in the compressed gradient porosity gas diffusion layer of proton exchange membrane fuel cells using the lattice boltzman method. Energies 2023, 16, 6010. [Google Scholar] [CrossRef]
- Zhang, T.; Meng, L.; Chen, C.; Du, L.; Wang, N.; Xing, L.; Tang, C.; Hu, J.; Ye, S. Similarities and differences between gas diffusion layers used in proton exchange membranes fuel cell and water electrolysis for material and mass transport. Adv. Sci. 2024, 11, 2309440. [Google Scholar] [CrossRef] [PubMed]
- Arbabi, F.; Lalantarian, A. Feasibility study of using microfluidic platforms from visualizing bubble flows in electrolyzers gas diffusion layers. J. Power Sources 2014, 258, 142–149. [Google Scholar] [CrossRef]
- Navarro, A.J.; Gómez, M.A.; Daza, L.; López-Cascales, J.J. Production of gas diffusion layers with cotton fibers for their use in fuel cells. Sci. Rep. 2022, 12, 4219–4229. [Google Scholar] [CrossRef] [PubMed]
- Determination of Air Permeance. Part 3: Gurley Method. Available online: https://www.une.org/encuentra-tu-norma/busca-tu-norma/norma?c=N0030415 (accessed on 27 August 2024).
- Miccoli, I.; Edler, F.; Pfnür, H.; Tegenkamp, C. The 100th anniversary of the four-point probe technique: The role of probe geometries in isotropic and anisotropic systems. J. Phys. Condens. Matter 2015, 27, 223201–223230. [Google Scholar] [CrossRef] [PubMed]
- Alarifi, I. Investigation the conductivity of carbon fiber composites focusing on measurement techniques under dynamic and static loads. J. Mater. Res. Technol. 2019, 8, 4863–4893. [Google Scholar] [CrossRef]
- Cooper, K. Characterizing throgh-plane and in-plane ionic conductivity of polymer electrolyte membranes. ECS Trans. 2011, 41, 1371–1380. [Google Scholar] [CrossRef]
- Cassie, A.; Baxter, S. Wettability of porous surfaces. Faraday Soc. 1944, 40, 546–551. [Google Scholar] [CrossRef]
- Lapicque, F.; Belhadj, M.; Bonnet, C.; Pauchet, J.; Thomas, Y. A critical review on gas diffusion micro and macroporous layers degradations for improved membrane fuel cell durability. J. Power Sources 2016, 336, 40–53. [Google Scholar] [CrossRef]






| GDL | GDL-Ti | GDL-c | GDL-e |
|---|---|---|---|
| Porosity (%) | 59 | 76 | 81 |
| Pore diameter (4V/A) (μm) | 2.5 | 14.8 | 18.2 |
| Conductivity | GDL-Ti | GDL-c | GDL-e |
|---|---|---|---|
| (S/m) | 188,721 ± 3500 | 6740 ± 690 | |
| (45 kg/cm2) | 1.628 ± 0.006 | 4.11 ± 0.05 | 1.51 ± 0.02 |
| (76 kg/cm2) | 1.425 ± 0.004 | 4.75 ± 0.15 | 2.16 ± 0.04 |
| (106 kg/cm2) | 1.231 ± 0.003 | 5.11 ± 0.14 | 2.72 ± 0.08 |
Disclaimer/Publisher’s Note: The statements, opinions and data contained in all publications are solely those of the individual author(s) and contributor(s) and not of MDPI and/or the editor(s). MDPI and/or the editor(s) disclaim responsibility for any injury to people or property resulting from any ideas, methods, instructions or products referred to in the content. |
© 2024 by the authors. Licensee MDPI, Basel, Switzerland. This article is an open access article distributed under the terms and conditions of the Creative Commons Attribution (CC BY) license (https://creativecommons.org/licenses/by/4.0/).
Share and Cite
Canelas Montaño, D.L.; Ruiz García, P.; Jerez Navarro, A.; Aguirre Gomez, M.; López Cascales, J.J. Effect of the Cathodic Gas Diffusion Layer on the Performance of a Proton Exchange Membrane Electrolyzer. Energies 2024, 17, 5298. https://doi.org/10.3390/en17215298
Canelas Montaño DL, Ruiz García P, Jerez Navarro A, Aguirre Gomez M, López Cascales JJ. Effect of the Cathodic Gas Diffusion Layer on the Performance of a Proton Exchange Membrane Electrolyzer. Energies. 2024; 17(21):5298. https://doi.org/10.3390/en17215298
Chicago/Turabian StyleCanelas Montaño, Daniela Lorena, Pablo Ruiz García, Andrés Jerez Navarro, Modesto Aguirre Gomez, and José Javier López Cascales. 2024. "Effect of the Cathodic Gas Diffusion Layer on the Performance of a Proton Exchange Membrane Electrolyzer" Energies 17, no. 21: 5298. https://doi.org/10.3390/en17215298
APA StyleCanelas Montaño, D. L., Ruiz García, P., Jerez Navarro, A., Aguirre Gomez, M., & López Cascales, J. J. (2024). Effect of the Cathodic Gas Diffusion Layer on the Performance of a Proton Exchange Membrane Electrolyzer. Energies, 17(21), 5298. https://doi.org/10.3390/en17215298

