Abstract
In this research work, the catalytic performances of two manganese-based catalysts, manganese (III) acetylacetonate (Mn(acac)3) and manganese tallate (Mn-TO), were studied during the process of Ashalcha heavy oil oxidation under in situ combustion conditions. DSC analysis shows distinct thermal behavior of both ligated catalysts during low- and high-temperature oxidation phases (LTO and HTO); for example, the shifting in peak temperature (Tp) in the HTO at a heating rate of 10 °C/min was reduced by approximately 5.3% for Mn-TO and 2.24% for Mn(acac)3 when compared with uncatalyzed heavy oil. Combined isothermal kinetic analyses using the Friedman and Kissinger–Akahira–Sunose analytic methods have provided insights about activation energies and frequency factors over the whole conversion range, where the catalytic performance of Mn-TO showed low activation energies in both LTO and HTO (Eα of Mn-TO was approximately 13.33% (LTO) and 7.68% (HTO) less than with the heavy oil alone). In addition, calculations of the effective rate constant confirmed the increased oxidation rate trend of both catalysts, with Mn-TO exhibiting the highest values. The findings highlight the potential of these manganese-based catalysts, the Mn-TO catalyst in particular, in optimizing heavy oil oxidation processes. The overall results further contribute to developing more efficient ligand catalyst complexes for sustainable heavy oil recovery while continuously improving their efficient application during in situ combustion in the petroleum industry.
1. Introduction
The oil industry has increasingly focused on non-conventional sources, particularly heavy and extra-heavy oils which hold vast energy potential [1]. These types of oils are characterized by their high viscosity and density with high molecular and heteroatom content [2,3,4], making them significantly more challenging to extract compared to conventional crude oils [5,6]. In an effort to overcome such challenges, thermal enhanced oil recovery techniques have emerged as an effective approach for heavy oil extraction [7,8,9,10]. Among these techniques, in situ combustion has received considerable attention [11]. Initially, the ISC or fire flooding process starts with an ignition phase where pressurized air is injected into the oil reservoir before its ignition; combustion is then sustained while generating heat and pressure, resulting in reduced heavy oil viscosity that is easier to recover and extract at the production well [12]. However, ISC success is determined by the stability of the combustion front through the reservoir [13,14]. This combustion process consists of three distinct reaction zones: low-temperature oxidation, medium-temperature oxidation or fuel deposition, and high-temperature oxidation zones, all with their own special reaction mechanisms that play crucial roles in the process of ISC. The low-temperature oxidation region (LTO), which typically takes place below 300 °C, is the primary zone where the reaction mechanism occurs of oxygen addition to hydrocarbon molecules that leads to the formation of partially oxygenated compounds (hydroperoxides) [15]. These unstable intermediates can decompose or react further, leading to the formation of oxygenated compounds with potential coke formation through polymerization and condensation reactions that can disrupt the progress of the combustion front [16,17]. The fuel deposition region (FD), occurring between 300 and 350 °C, is dominated by thermal cracking and pyrolysis reactions that lead to the breakdown of larger hydrocarbon molecules into smaller and more volatile components that serve as coke-like residues fueling the combustion front in the HTO zone [18,19]. Lastly, the high-temperature oxidation region (HTO), which occurs above the temperature of 350 °C, is where the coke deposited from the fuel deposition zone is rapidly combusted under the presence of oxygen, generating the necessary heat and pressure for effective heavy oil recovery [20]. The main reactions in this zone involve the rapid oxidation of the coke and remaining hydrocarbons, producing primarily carbon dioxide and water. These exothermic reactions sustain the combustion front and drive the ISC process forward. To improve the efficiency and stability of the ISC process, researchers have been exploring the application of catalysts as they can play a crucial role in enhancing oxidation reactions [21,22,23,24], promoting the formation of a stable combustion front, and facilitating the in situ upgrading of heavy oil [25]. Therefore, among the various catalyst types explored, transition-metal-based catalysts have shown promising results in enhancing heavy oil oxidation reactions [26,27]. Manganese-based catalysts have emerged as a promising solution for heavy oil oxidation processes due to their high catalytic activity [28,29,30,31], diverse oxidation states, and wide availability [32,33]. Manganese’s ability to exist in several oxidation states enables it to participate in a wide range of redox reactions [34], which is essential for facilitating the slow combustion process in in situ combustion (ISC) operations. This ability is further amplified by the incorporation of organic ligands such as acetylacetonate and tall oil that play important roles in enhancing catalyst performance. Acetylacetonate is a bidentate ligand derived from acetyl acetone and forms stable octahedral complexes with manganese through both oxygen atoms that create a six-membered chelate ring that supports the stability and reactivity of the metal complex under the harsh conditions of heavy oil processing [35]. On the other hand, tall oil is a complex saponified mix of fatty acids and resin acids that acts as a multidentate ligand that offers diverse coordination geometries through its carboxylate groups [36], potentially creating unique coordination environments for the manganese center while introducing synergistic effects in the upgrading process. Both ligands contribute to improving the solubility of manganese complexes in the heavy oil matrix while ensuring better dispersion and contact between the catalyst and hydrocarbon molecules, as they also enhance the stability of the metal center across various oxidation states, which is vital for maintaining catalytic activity throughout different temperature zones of the ISC process. Furthermore, these ligands adjust the reactivity of the metal center further, allowing optimal catalyst activity towards different hydrocarbon fractions while also avoiding catalyst deactivation caused by coke formation or poisoning from sulfur and nitrogen compounds present in heavy oil [37]. The effectiveness of these ligand-enhanced catalysts is exemplified by manganese (III) acetylacetonate, which has demonstrated strong catalytic activity in promoting heavy oil oxidation, as evidenced by studies showing its ability to enhance reaction kinetics and product yield [38]. Additionally, the use of tall oil as a catalyst may contribute to the formation of more reactive intermediates, further improving the efficiency of the oxidation reaction [26]. The synergy between manganese oxidation states and the beneficial properties of these organic ligands positions manganese catalysts as highly effective ligand metal-based catalyst complexes for optimizing heavy oil oxidation and recovery processing efficiency in the challenging field of heavy oil extraction and refinement.
This work compares the catalytic efficiency of two manganese-based catalysts, Mn(acac)3 and Mn–tall oil, in the in situ combustion oxidation of Ashalcha heavy oil. The research uses both non-isothermal and isothermal techniques and is bound to add value to existing efforts in the energy industry toward the development of more efficient and environmentally friendly catalytic oxidation techniques. The results of this work could lead to an increase in the rates of recovery and have the potential for cost reduction in heavy oil extraction processes, more so considering the possibility of reduced-temperature oxidation in both the LTO and HTO zones, which have considerable implications for in situ combustion. The comparative studies of the Mn(acac)3 and Mn–tall oil catalysts are performed in the search for catalytic systems that will lower the activation energies involved in the said reactions of oxidation. Lowered activation energy could potentially mean more favorable burning at lower temperatures, thus possibly translating into substantial cost savings from heavy oil extraction operations. With an optimization of the catalytic oxidation process, a higher degree of overall energy efficiency, reduced operational temperatures, and hence lower operational costs are expected for in situ combustion methods. This can lead to a significant economic improvement in heavy oil production, especially in those challenging reservoirs where the classical approaches are not that effective.
2. Materials and Methods
2.1. Materials
For this study, we used a heavy oil sample sourced from the Ashalcha oilfield in the Volga–Ural basin, Republic of Tatarstan, Russia. This oil, extracted by Tatneft from the Ashalcha formation, was characterized using saturate, aromatic, resin, and asphaltene (SARA) analysis. The physical properties of the heavy oil at 20 °C are also detailed in Table 1. High-purity organic solvents (more than 99.5%) from Component Reactiv were employed without further purification, while inorganic salts and pure quartz sand (43–64 μm) were procured from Sigma-Aldrich (St. Louis, MA, USA).
Table 1.
Physical properties of Ashalcha heavy oil at 20 °C.
API gravity is a measurement scale developed by the American Petroleum Institute to express the specific gravity of petroleum products commonly used in the oil industry [39] and is related to relative density () through (Equation (1)):
where represents the relative density with respect to water and measured at 15.6 °C (60 °F).
2.2. Sample Preparation
Manganese tallates (Mn-TO) were synthesized using a modified version of the method reported by Feoktistov et al. [36]. In a separate process, manganese (III) tris(acetylacetonate) (Mn(acac)3) was prepared following the procedure described by Bhattacharjee et al. [40]. The chemical structures of both compounds are displayed in Figure 1.
Figure 1.
Molecular structure of Mn(acac)3 (a) and Mn-TO (b).
2.3. Sample Preparation for Thermal Analysis
For differential scanning calorimetry (DSC) analysis, samples were prepared following a procedure similar to our previous studies [37,41,42] and by mixing heavy oil (10.0 wt.%) with pure quartz sand (fraction size: 43–64 μm) to a total of 90.0 wt.%. In catalytic experiments, the initial oil sample contained 2 wt.% of either manganese tallates or manganese tris(acetylacetonate). Figure 2 displays the procedure followed and the analysis performed.
Figure 2.
Flowchart for developing catalysts in heavy oil kinetic studies.
2.4. Thermal Analysis
Thermal analysis was conducted using differential scanning calorimetry (DSC) on a Netzsch STA 449 F1 Jupiter thermoanalyzer (Selb, Germany). Samples were heated from 30 °C to 600 °C at rates of 5, 10, 15, and 20 °C per minute under an air flow of 50 mL per minute. The resulting data was processed and analyzed using Proteus Analysis v5.2.1, NETZSCH Peak Separation (2010.09 version), and NETZSCH Thermokinetics 3.1 (06.08.2014 version) software.
2.5. Kinetic Analysis
To understand the relationship between catalysts and the processes involved in heavy oil oxidation, we applied isoconversional kinetics using Friedman and Kissinger–Akahira–Sunose (KAS) analyses as recommended by the International Confederation for Thermal Analysis and Calorimetry (ICTAC) [43,44]. These techniques enable us to calculate the activation energy (E(α)) as a function of the degree of conversion (α). Friedman’s analysis is a differential isoconversional method that determines the dependence of activation energy on the conversion degree without requiring a predefined reaction model, deriving a linear relationship that enables the determination of activation energy and pre-exponential factors for different conversion values [45], while KAS analysis also determines the activation energy based on experiments conducted at different heating rates, establishing a linear relationship between the logarithm of the heating rate and the inverse of the temperature to extract activation energy values for specific degrees of conversion [46]. By applying these complementary analyses, we comprehensively evaluated the kinetic parameters of heavy oil oxidation both with and without catalysts [47].
For a better comprehension of oil oxidation kinetics, the rate constant (k) plays a crucial role. This parameter follows the well-established Arrhenius law, describing the temperature dependence of reaction rates. The Arrhenius equation provides a mathematical relationship between the rate constant, the activation energy of the reaction, and the temperature at which the reaction occurs. The rate constant k is expressed by the Arrhenius law (Equation (2)):
The Arrhenius equation describes the temperature dependence of reaction rates using several key parameters. The activation energy , typically measured in or , represents the energy barrier reactants must overcome. The pre-exponential factor , with units depending on reaction order (e.g., for first-order reactions), accounts for collision frequency and molecular orientation. Temperature in kelvin is an important parameter in reaction rates, as it determines molecular kinetic energy. The universal gas constant is . Reaction speed quantification is expressed through the rate constant , whose units also depend on reaction order. Since increasing the temperature or decreasing the activation energy greatly increases , reaction rates are very sensitive to those parameters.
3. Results
3.1. Differential Scanning Calorimetry Analysis (DSC)
The thermal behavior of heavy oil under the presence of manganese-based catalysts revealed a complex interaction during oxidation processes, as shown by the differential scanning calorimetry (DSC) results in Figure 3. This represents an initial step into a better understanding of the catalytic oxidation mechanisms by observing shifts in reaction temperatures, changes in peak intensities, and alterations in heat release patterns, providing crucial information on how the Mn-TO and Mn(acac)3 catalysts could influence the oxidation stages, fuel deposition characteristics, and oxygen consumption rates [48]. Such insights are valuable for optimizing catalyst selection for a specific condition while enhancing the overall efficiency of in situ combustion for heavy oil. Furthermore, this analysis allows us to explore the catalysts effectiveness in lowering activation energies and their impact on reaction kinetics, and their potential to promote the desired reaction pathways, ultimately leading to more sustainable and efficient heavy oil extraction processes. The table below (Table 2) displays the different peak temperatures (Tp) for both catalytic and non-catalytic conditions in the LTO and HTO regions.
Figure 3.
DSC curves at different heating rates of heavy oil oxidation under non-catalytic and catalytic conditions.
Table 2.
Reaction range for LTO and HTO regions and their corresponding peak temperatures under catalytic and non-catalytic conditions.
In the LTO region, which ranges typically between 250 and 350 °C both catalysts exhibit different profiles (Figure 3), as the Mn(acac)3 catalyst shows moderate exothermic peaks that indicate a controlled and progressive oxygen addition during the reactions [35] and potentially promote fuel generation without excessively increasing oil viscosity. Conversely, the LTO peaks of Mn–tall oil (Mn-TO) are more pronounced and suggest an enhanced oxygen combination with hydrocarbon molecules. One of the main reasons could be the result of a great quantity of fuel deposits, but it also carries the risk of a more pronounced increase in viscosity [49]. This variation observed in both manganese ligated catalysts is probably due to the different components present in tall oil and acetylacetonate, which combined with manganese form a ligand–catalyst system, thus allowing more complex interactions with different hydrocarbon molecules present in the oil, explaining the more intense reactions observed in the LTO region. The high-temperature oxidation (HTO) regions which occur beyond 430 °C see both ligated catalysts significantly enhance the heavy oil oxidation process unlike the non-catalytic one, mirroring the trend observed in the low-temperature oxidation (LTO) phase. The catalyst Mn(acac)3 exhibits a well-defined exothermic peak shifting to a lower temperature, which is an indication of efficient high-temperature combustion through the efficient breakdown of complex molecules that formed during the previous stages. Its uniform nature might contribute to consistent catalytic activity throughout the HTO phase and potentially result in more complete fuel combustion [50]. Nevertheless, the catalyst Mn-TO also demonstrates high HTO performance with substantial heat generation and a peak temperature even lower than observed with Mn(acac)3 (for example, at a heating rate of 10 °C/min, the corresponding values for all conditions were 465 °C for Mn-TO, 480 °C for Mn(acac)3, and 491 °C for uncatalyzed heavy oil), which is possibly due to its diverse catalytic components becoming active at different points during HTO [42], providing sustained catalytic activity across a wider temperature spectrum and extending from the LTO phase where the divergent peak shapes, intensities, and temperature shifts between these complexes come from their distinct catalytic mechanisms and molecular structures. The Mn(acac)3 catalyst is a defined organometallic compound that might decompose to form highly active manganese oxide species at specific temperatures, leading to sharp and intense peaks. In contrast, Mn-TO is a mixture of organic compounds that could form a range of active species over a broader temperature range and result in a more sustained, though perhaps less intense, catalytic effect at even lower temperatures. This comprehensive catalytic activity between LTO and HTO stages emphasizes the potential of these ligated catalysts in enhancing the overall combustion process of heavy oil, as the Mn–tall oil (Mn-TO) appears to have a slight advantage in terms of lowering the peak temperature and providing a broader range of catalytic activity, whereas the Mn(acac)3 shows a more intense peak, suggesting more concentrated catalytic power. The choice between them may depend on specific application requirements, as Mn-TO might be preferable for processes requiring sustained catalytic activity over a wider temperature range.
3.2. Kinetic Isothermal
Following the DSC analysis that provided insights into the thermal behavior of the catalytic heavy oil oxidation, in order to comprehensively understand the reaction kinetics and the catalytic effects of Mn(acac)3 and Mn-TO, we performed isothermal analyses using the Friedman and Kissinger–Akahira–Sunose (KAS) analytical methods, which offer complementary perspectives on the activation energy and frequency factor across the conversion range. In addition to these, it also provides useful insight into the kinetics of a reaction by identifying some important parameters at various conversions, such as activation energy (Eα) and the pre-exponential factor (A). Of all these differential isoconversional analyses, Friedman offers a way to estimate activation energy with no assumption on the reaction model. Similarly, the KAS method is able to give an independent estimation of the activation energy from any model of the reaction [51]. The error bars in Figure 3 represent the standard deviation of activation energy and frequency factor values, which provide us valuable insight into the variability of our measurements across the whole conversion range (α), assessing the reliability and consistency of our results throughout the oxidation process.
The Friedman analysis reveals the impact of the catalysts Mn(acac)3 and Mn-TO on heavy oil oxidation by examining activation energy and frequency factor parameters during the conversion process. Briefly, we divide the process into two main stages of oxidation: low-temperature oxidation (LTO), which occurs at lower conversion temperatures, and high-temperature oxidation (HTO), which takes place at higher conversion temperatures. Initially, both heavy oil and Mn(acac)3 catalyst profiles exhibit a similar trend of relatively low activation energy profiles (Figure 4), whereas Mn-TO shows the highest initial activation energy (Eα = 81.4 kJ/mol for Mn-TO, Eα = 54.6 kJ/mol for Mn(acac)3, and Eα = 51.2 kJ/mol for heavy oil alone at 0.01 of α conversion), which is likely due to Mn-TO interacting with more refractory components of the heavy oil and possibly the formation of metal–organic complexes that make the early stages of oxidation more difficult to initiate. During the LTO phase, the activation energy for Mn(acac)3 remains consistently slightly lower than that of the heavy oil profile (from 0.1 to 0.45 of α conversion range) before decreasing at the higher conversion range (Eα = 139.2 kJ/mol for Mn(acac)3 and Eα = 144.7 kJ/mol for heavy oil alone at 0.8 of α conversion), showing a slight oxidative effect in that range of conversion and suggesting that the Mn(acac)3 catalyst might not significantly alter the reaction mechanism during LTO, possibly due to limited interaction with the more reactive components of the heavy oil at lower temperatures. In contrast, the Mn-TO catalyst shows a decrease in activation energy at the same conversion range (Eα = 133.6 kJ/mol at the same range of conversion α). This suggests that Mn-TO stabilizes the oxidation process by facilitating the oxidation of less reactive components, which is likely possible through the formation of organometallic intermediates that lower the energy barrier for oxidation, where this mechanism could involve the Mn-TO complex acting as an oxygen transfer agent that participates in breaking down larger molecules into smaller and more reactive fragments during the fuel deposition phase [32]. In the HTO region, both Mn-TO and Mn(acac)3 catalysts exhibit a decrease in activation energy (>0.75 of conversion α), reaching an Eα of 103.9 and 142.2 kJ/mol for Mn-TO and Mn(acac)3, respectively, at 0.9 of conversion α, highlighting their catalytic roles alongside the remarkable decrease in activation energy seen earlier for the Mn-TO when compared to Mn(acac)3, which indicates that it provides a more effective catalytic environment by facilitating the oxidation of a wider range of heavy oil components, especially more complex fractions. This could be due to the Mn-TO’s effective ligand–catalyst structure that introduces alternative reaction pathways or improved access to reactive sites within complex molecular structures of heavy oil [41]. Conversely, the frequency factor analysis reveals an interesting paradox for both Mn(acac)3 and Mn-TO catalysts, particularly during the high conversion range where, despite the decrease in activation energy, the frequency factor also decreases, which is unexpected because lower energy barriers should typically lead to more frequent successful collisions. This could be explained by changes in reaction dynamics or mechanisms for the Mn-TO ligated catalyst, where the decrease in the frequency factor might suggest the formation of stable intermediate complexes that reduce the overall reaction rate or a shift in the rate-determining step. These intermediates could be organometallic compounds that temporarily isolate reactive species that slow down the overall reaction rate despite the lower activation energy. Similarly, the decrease in the frequency factor for the ligated catalyst Mn(acac)3 suggests that, while it lowers the energy barrier, it may limit effective collisions by altering the surface activity, possibly through strong adsorption of reactants or changes in the catalyst structure during the reaction. Analyzing the error bars depicted in Figure 4 yields further understanding regarding the dependability of our findings. Concerning the activation energy, it is evident that the errors tend to be more pronounced within the conversion intervals (0.2 < α and α > 0.8), suggesting an increased level of uncertainty associated with consistent measurements in these areas. With minimal error bars through the middle conversion region, it can reflect lower variation in the activation energy calculations for that specific range. It is also observed that around α ≈ 0.5, the activation energy shows the least statistical error among all samples; hence, this point of minimum scattering may indeed represent the crucial stage of the oxidation process (transition from LTO to HTO) during which the reaction mechanism is working with maximum consistency under different experimental conditions. Notice that error bars generally increase with conversion for the frequency factor, meaning larger errors in the calculations of the frequency factor at low, but also, more importantly, high conversions. Among catalyzed samples, Mn-TO has larger error bars, especially at α > 0.7, but still remains the most effective catalyst when compared to Mn(acac)3. This finding concurred with the above discussion, in that stable intermediate complexes or transitions could be formed in high conversions at the rate-determining steps, owing to the fact that the catalytic systems become complex in the advanced stages of oxidation.
Figure 4.
Friedman and KAS analyses of activation energy and frequency factor during heavy oil oxidation under non-catalytic and catalytic conditions.
The KAS analysis supports the previous Friedman results while offering deeper insights into the kinetics of heavy oil oxidation. The analysis of activation energy as a function of conversion (Figure 4) shows that for heavy oil there is a steady increase in activation energy as conversion progresses, especially in the high-temperature oxidation (HTO) phase, as this reflects the growing difficulty in oxidizing the heavy oil components at higher conversions. Meanwhile, the Mn(acac)3 catalyst consistently shows slightly lower activation energy across the whole conversion range when compared to heavy oil alone, highlighting a more stable profile compared to the Friedman analyses and suggesting that Mn(acac)3 has a more consistent oxidative effect throughout the whole conversion range, while Mn-TO may be especially effective in facilitating the breakdown of more complex and refractory components during the later stages of oxidation [26]. The catalyst Mn-TO exhibits the lowest activation energy in both LTO and HTO regions compared to other oxidation profiles (Eα was 85.6, 86.7, and 90.2 kJ/mol, respectively, for Mn-TO, Mn(acac)3, and heavy oil alone at 0.43 α conversion corresponding to the LTO, while for HTO the corresponding α conversion is 0.9 with Eα values of 129, 127.8, and 139.1 kJ/mol for Mn-TO, Mn(acac)3, and heavy oil), which emphasizes Mn-TO’s superior catalytic performance while indicating its ability to continually lower energy barriers, even for the most challenging components of the heavy oil. Conversely, the frequency factor analysis (Figure 4) provides additional insights into the reaction kinetics. For the heavy oil frequency factor, there is a clear increasing trend as was observed previously in the Friedman analysis, as the KAS analysis also reveals a contradictory trend for both Mn(acac)3 and Mn-TO catalysts where, despite the decrease in activation energy, particularly in the HTO region, there is a corresponding decrease in the frequency factor, which reinforces the complexity of the catalytic systems and suggests that the catalysts are fundamentally altering the reaction mechanisms. The error bars increase the precision of our understanding of the catalytic effects during the KAS (Kissinger–Akahira–Sunose) analysis. The Mn-TO catalyst has a uniformly reduced error throughout a large portion of the conversion range, reinforcing our assertion concerning the improved catalytic efficiency of this catalyst. However, Mn(acac)3 shows a larger statistical error below conversion of (0.3), indicating that the catalytic effect of Mn(acac)3 is not significant during the early stage of oxidation. Conversely, the catalyst Mn-TO appears to be more dominant and efficient even when taking into account the statistical errors during later stages of oxidation. Given these results, further investigations are needed to fully understand the behavior of the catalysts, which could involve the use of predictive kinetic models to estimate oxidation times, that will provide a deeper understanding of the catalysts’ performance throughout the conversion range and clarify the underlying mechanisms that drive the observed kinetic patterns and contribute to optimizing the catalytic processes for heavy oil oxidation.
3.3. Effective Rate
The effective rate constant ln(k) quantifies the rate at which reactants are being converted into products, where higher effective rate constants indicate faster reaction progress, which is highly desirable for improving productivity, reducing processing times, and enhancing the overall efficiency of the oxidation process. In the Arrhenius plot (Figure 5), both Mn(acac)3 and Mn-TO catalysts were evaluated for their ability to enhance the oxidation reactions.

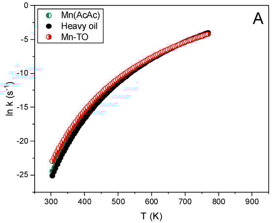
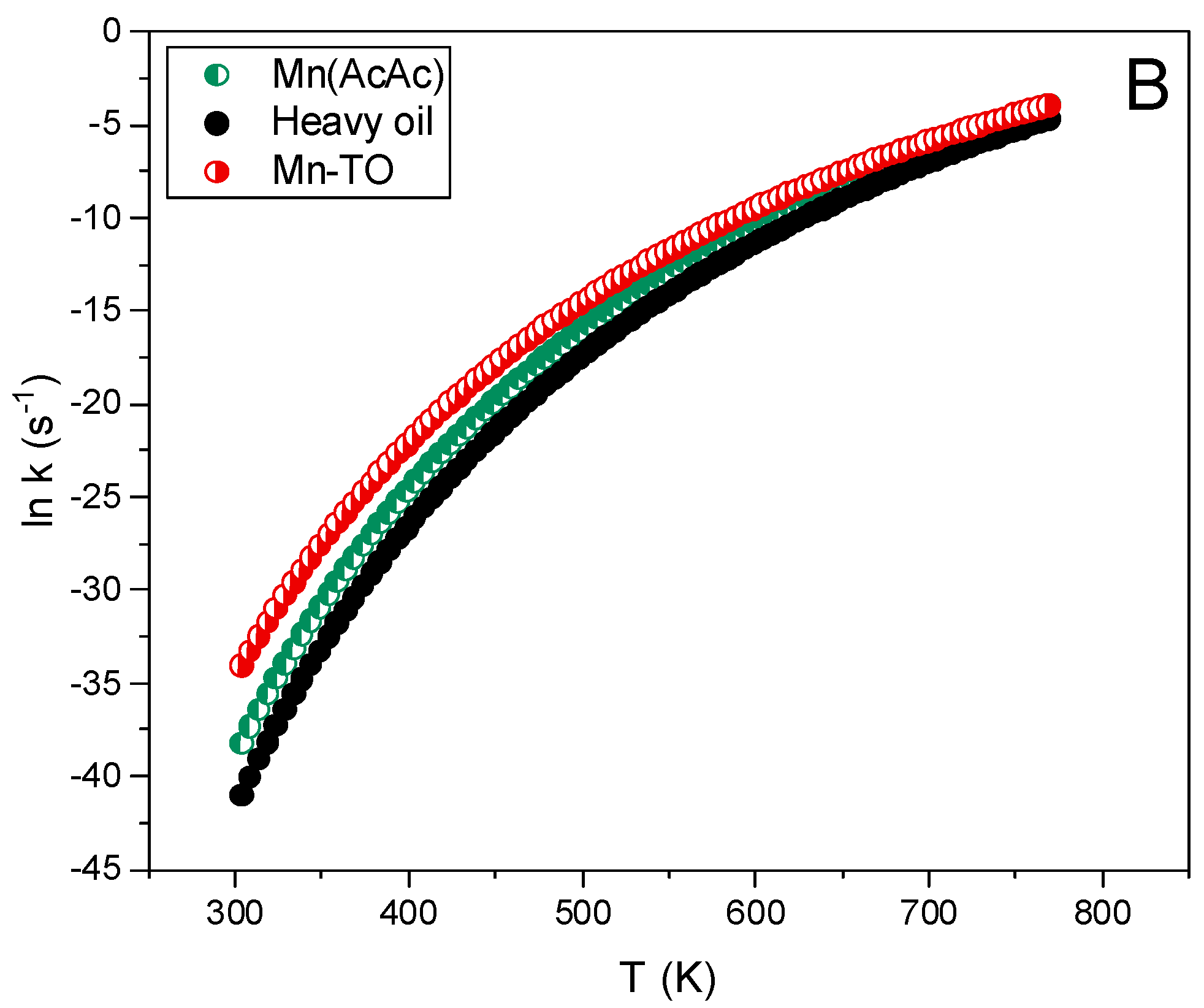
Figure 5.
Effective rate constant variation at LTO (A) and HTO (B) for catalytic and non-catalytic oxidation of heavy oil.
For the LTO process (Figure 5A), the heavy oil exhibits the lowest reaction rate constants and the steepest slope (ln(k) = −18.52 s−1), which indicate a high activation energy barrier for the thermal cracking or decomposition processes. In contrast, the catalytic profiles of Mn-TO and Mn(acac)3 demonstrate significantly higher rate constants across the temperature range (ln(k) was −17.11 s−1 for Mn-TO and −18.08 s−1 for Mn(acac)3), emphasizing the manganese-based catalytic effect on the reaction kinetics and confirming the results obtained from the isoconversional kinetic analysis. The Mn-TO catalyst shows superior catalytic activity with the highest ln (k) values and a less steep slope, which suggests that it effectively lowers the activation energy for heavy oil oxidation. This increase in the catalytic performance could be attributed to the ability of the ligated catalyst Mn-TO to facilitate (C-C) and (C-heteroatom) bond cleavage, possibly through the formation of organometallic intermediates or by providing alternative lower-energy reaction pathways. The catalyst Mn(acac)3, on the other hand, while being less effective than the Mn-TO catalyst, still offers substantial improvement over the oxidation of heavy oil without the presence of any catalyst (ln(k) was −24.66 s−1 for Mn-TO, and −27.55 s−1 for Mn(acac)3), which is likely due to the acetylacetonate ligands modulating the manganese center reactivity. Notably, the tendency of the rate constants to converge at high temperatures for all conditions (catalytic and non-catalytic) is observed, though the catalysts’ advantages are still clear, indicating that catalysts do have significant abilities of reaction rate enhancement even at higher temperatures. During the process of HTO (Figure 5B), a similar trend was observed with the Mn-TO, thus indicating that this ligated catalyst may have significantly increased the HTO reaction rate by potentially facilitating the reaction pathways.
The trends observed in the effective constant rate for the catalytic performance with temperature dependence would influence the choice of catalyst–ligand complex, as it has important implications for the optimization and control of heavy oil oxidation processes, particularly in the context of in situ combustion. We believe that understanding the complex interactions between temperature, catalyst properties, and reaction kinetics is crucial for developing more efficient and sustainable heavy oil upgrading strategies that can be effectively deployed in field-scale in situ combustion operations.
4. Conclusions
This study aims to provide additional insights about the catalytic efficiency of manganese-based catalysts, manganese (III) acetylacetonate (Mn(acac)3), and manganese tallate (Mn-TO), during the oxidation processes of Ashalcha heavy oil. It was observed from the results that Mn-TO demonstrated superior catalytic performance in both LTO and HTO regions when compared to Mn(acac)3 during the oxidation process. Furthermore, the DSC indicated the higher exothermic peaks of the Mn-TO catalyst, especially in the HTO phase (at a heating rate of 10 °C/min, peak temperatures (Tp) for HTO shifted from 491 °C for uncatalyzed heavy oil to 465 °C for Mn-TO and 480 °C for Mn(acac)3), and kinetic analyses (Friedman and KAS methods) showed its ability to reduce the activation energies in both stages of oxidation (KAS, for example, showed an Eα decrease from 90.2 kJ/mol for heavy oil to 85.6 kJ/mol for Mn-TO and 86.7 kJ/mol for Mn(acac)3 in the LTO (α = 0.4), and from 140.71 kJ/mol for heavy oil alone to 126.43 for Mn-TO and 129.35 for Mn(acac)3 in the HTO (α = 0.9)). Similarly, the effective rate constant analysis also confirmed the superior catalytic activity of Mn-TO (for instance, in the LTO, ln(k) was −17.11 s−1 for Mn-TO, compared to −18.08 s−1 for Mn(acac)3), suggesting its potential for forming diverse catalytically active species over a broad temperature range. Finally, with superior performance, the ligated catalyst Mn-TO may be effective as a catalyst in heavy oil recovery and upgrading processes, especially during in situ combustion. In addition, the knowledge of the temperature-dependent behaviors enables better control of the oxidation processes, hence possibly leading to more stability and efficiency for in situ combustion operations. In summary, this work contributes to the development of sustainable and economically useful heavy oil recovery techniques.
Author Contributions
Y.D.: Conceptualization, investigation, formal analysis, writing—original draft; M.-S.C.: conceptualization, investigation, formal analysis, writing—original draft; C.K.: validation, visualization, writing—original draft, writing—review and editing; O.V.O.: validation, formal analysis, writing—review and editing; M.A.K.: validation, resources, formal analysis, writing—review and editing; A.V.V.: validation, resources, formal analysis, writing—review and editing. All authors have read and agreed to the published version of the manuscript.
Funding
This work was supported by the Russian Science Foundation (grant №. 23-73-10176).
Data Availability Statement
The original contributions presented in the study are included in the article, further inquiries can be directed to the corresponding authors.
Acknowledgments
This work was performed within the framework of Mohammed Amine Khelkhal’s doctorate thesis. We would like to thank all our co-authors of our previous studies; without their help, this work would never have been possible, especially Alexey A. Eskin. We also thank the Interdisciplinary Center for Analytical Microscopy of Kazan Federal University for its ongoing collaboration with our research team in all our experimental work.
Conflicts of Interest
The authors declare no conflict of interest.
References
- McGlade, C.E. A review of the uncertainties in estimates of global oil resources. Energy 2012, 47, 262–270. [Google Scholar] [CrossRef]
- Salehzadeh, M.; Husein, M.M.; Ghotbi, C.; Dabir, B.; Taghikhani, V. In-depth characterization of light, medium and heavy oil asphaltenes as well as asphaltenes subfractions. Fuel 2022, 324, 124525. [Google Scholar] [CrossRef]
- Ancheyta, J.; Sánchez, S.; Rodríguez, M.A. Kinetic modeling of hydrocracking of heavy oil fractions: A review. Catal. Today 2005, 109, 76–92. [Google Scholar] [CrossRef]
- Fang, J.; Ji, B.; Wang, X.; Yuan, S.; Yu, H. New insight into the role of the self-assembly of heteroatom compounds in heavy oil viscosity enhancement. Phys. Chem. Chem. Phys. 2024, 26, 14857–14865. [Google Scholar] [CrossRef] [PubMed]
- Shah, A.; Fishwick, R.; Wood, J.; Leeke, G.; Rigby, S.; Greaves, M. A review of novel techniques for heavy oil and bitumen extraction and upgrading. Energy Environ. Sci. 2010, 3, 700–714. [Google Scholar] [CrossRef]
- Rajnauth, J. Is it time to focus on unconventional resources? In Proceedings of the SPETT 2012 Energy Conference and Exhibition, Port-of-Spain, Trinidad and Tobago, 11–13 June 2012. [Google Scholar]
- Mokheimer, E.M.A.; Hamdy, M.; Abubakar, Z.; Shakeel, M.R.; Habib, M.A.; Mahmoud, M. A comprehensive review of thermal enhanced oil recovery: Techniques evaluation. J. Energy Resour. Technol. 2019, 141, 30801. [Google Scholar] [CrossRef]
- Shen, C. SAGD for heavy oil recovery. In Enhanced Oil Recovery Field Case Studies; Elsevier: Amsterdam, The Netherlands, 2013; pp. 413–445. [Google Scholar]
- Askarova, A.; Turakhanov, A.; Markovic, S.; Popov, E.; Maksakov, K.; Usachev, G.; Karpov, V.; Cheremisin, A. Thermal enhanced oil recovery in deep heavy oil carbonates: Experimental and numerical study on a hot water injection performance. J. Pet. Sci. Eng. 2020, 194, 107456. [Google Scholar] [CrossRef]
- Bordeaux Rego, F.; Botechia, V.E.; Schiozer, D.J. Heavy oil recovery by polymer flooding and hot water injection using numerical simulation. J. Pet. Sci. Eng. 2017, 153, 187–196. [Google Scholar] [CrossRef]
- Mahinpey, N.; Ambalae, A.; Asghari, K. In situ combustion in enhanced oil recovery (EOR): A review. Chem. Eng. Commun. 2007, 194, 995–1021. [Google Scholar] [CrossRef]
- Kok, M.V. Progress and recent utilization trends in petroleum recovery: Steam injection and in-situ combustion. Energy Sources, Part A Recover. Util. Environ. Eff. 2012, 34, 2253–2259. [Google Scholar]
- Akkutlu, I.Y.; Yortsos, Y.C. The dynamics of in-situ combustion fronts in porous media. Combust. Flame 2003, 134, 229–247. [Google Scholar] [CrossRef]
- Moore, R.G.; Laureshen, C.; Ursenbach, M.; Mehta, S.; Belgrave, J. A Canadian perspective on in situ combustion. J. Can. Pet. Technol. 1999, 38. [Google Scholar] [CrossRef]
- Dabbous, M.K.; Fulton, P.F. Low-Temperature-Oxidation Reaction Kinetics and Effects on the In-Situ Combustion Process. Soc. Pet. Eng. J. 1974, 14, 253–262. [Google Scholar] [CrossRef]
- Shokrlu, Y.H.; Maham, Y.; Tan, X.; Babadagli, T.; Gray, M. Enhancement of the efficiency of in situ combustion technique for heavy-oil recovery by application of nickel ions. Fuel 2013, 105, 397–407. [Google Scholar] [CrossRef]
- Lee, D.G.; Noureldin, N.A. Effect of water on the low-temperature oxidation of heavy oil. Energy Fuels 1989, 3, 713–715. [Google Scholar] [CrossRef]
- Fassihi, M.R.; Brigham, W.E.; Ramey, H.J. Reaction kinetics of in-situ combustion: Part 1—Observations. Soc. Pet. Eng. J. 1984, 24, 399–407. [Google Scholar] [CrossRef]
- Adagulu, G.D.; Akkutlu, I.Y. Influence of In Situ Fuel Deposition on Air Injection and Combustion Processes. In Proceedings of the PETSOC Canadian International Petroleum Conference, Calgary, AB, Canada, 7–9 June 2005. [Google Scholar]
- Antolinez, J.D.; Miri, R.; Nouri, A. In Situ Combustion: A Comprehensive Review of the Current State of Knowledge. Energies 2023, 16, 6306. [Google Scholar] [CrossRef]
- Moore, R.G.; Laureshen, C.; Mehta, S.; Ursenbach, M.; Belgrave, J.; Weissman, J.; Kessler, R. A downhole catalytic upgrading process for heavy oil using in situ combustion. J. Can. Pet. Technol. 1999, 38. [Google Scholar] [CrossRef]
- Zhang, X.; Liu, Q.; Fan, Z.; Liu, Y. Enhanced heavy oil recovery and performance by application of catalytic in-situ combustion. Pet. Sci. Technol. 2019, 37, 493–499. [Google Scholar] [CrossRef]
- Abuhesa, M.B.; Hughes, R. Comparison of conventional and catalytic in situ combustion processes for oil recovery. Energy Fuels 2009, 23, 186–192. [Google Scholar] [CrossRef]
- Fassihi, M.R.; Moore, R.G.; Almao, P.P.; Mehta, S.A.; Ursenbach, M.G.; Mallory, D.G. New Insights on Catalysts-Supported In-Situ Upgrading of Heavy Oil and Hydrogen Generation during In-Situ Combustion Oil Recovery. SPE J. 2024, 29, 3689–3701. [Google Scholar] [CrossRef]
- Khelkhal, M.; Eskin, A.; Vakhin, A. A comparative study of heavy oil oxidation thermal behavior in the presence of Cu-Mn tallates. IOP Conf. Ser. Earth Environ. Sci. 2019, 282, 12013. [Google Scholar] [CrossRef]
- Golafshani, M.B.; Mehrabi-Kalajahi, S.; Varfolomeev, M.A.; Sadikov, K.G.; Emelianov, D.A.; Rodionov, N.O.; Zinnatullin, A.L.; Vagizov, F.G. Improving the performance of heavy oil oxidation using oil-soluble copper-based catalysts in in situ combustion for the in situ upgrading process. Energy Fuels 2023, 37, 6705–6714. [Google Scholar] [CrossRef]
- Neyestanaki, A.K.; Lindfors, L.-E. Catalytic combustion over transition metal oxides and platinum-transition metal oxides supported on knitted silica fibre. Combust. Sci. Technol. 1994, 97, 121–136. [Google Scholar] [CrossRef]
- Khelkhal, M.A.; Ostolopovskaya, O.V.; Hazila, M.E.M.A.; Khelil, I.; Eskin, A.A.; Lapuk, S.E.; Vakhin, A.V. Enhancing Thermal Recovery of Heavy Oil by In Situ Combustion: The Role of Micro and Nanostructured Manganese Oxide Catalysts. Ind. Eng. Chem. Res. 2024, 63, 11274–11289. [Google Scholar] [CrossRef]
- Orrego-Ruiz, J.A.; Rojas-Ruiz, F.A.; Bottia, H.; Naranjo, C.; Ordoñez, A.; Ballesteros-Rueda, L.M. Compositional effect on the low-temperature oxidation of crude oils subjected to in situ combustion. Energy Fuels 2023, 37, 3622–3633. [Google Scholar] [CrossRef]
- Díaz, C.C.; Yeste, M.P.; Vidal, H.; Gatica, J.M.; Cadús, L.E.; Morales, M.R. In situ generation of Mn1− xCex system on cordierite monolithic supports for combustion of n-hexane. Effects on activity and stability. Fuel 2020, 262, 116564. [Google Scholar] [CrossRef]
- Galukhin, A.V.; Khelkhal, M.A.; Eskin, A.V.; Osin, Y.N. Catalytic combustion of heavy oil in the presence of manganese-based submicroparticles in a quartz porous medium. Energy Fuels 2017, 31, 11253–11257. [Google Scholar] [CrossRef]
- Piumetti, M.; Fino, D.; Russo, N. Mesoporous manganese oxides prepared by solution combustion synthesis as catalysts for the total oxidation of VOCs. Appl. Catal. B Environ. 2015, 163, 277–287. [Google Scholar] [CrossRef]
- Picasso, G.; Cruz, R.; Kou, M.d.R.S. Preparation by co-precipitation of Ce–Mn based catalysts for combustion of n-hexane. Mater. Res. Bull. 2015, 70, 621–632. [Google Scholar] [CrossRef]
- Long, G.; Chen, M.; Li, Y.; Ding, J.; Sun, R.; Zhou, Y.; Huang, X.; Han, G.; Zhao, W. One-pot synthesis of monolithic Mn-Ce-Zr ternary mixed oxides catalyst for the catalytic combustion of chlorobenzene. Chem. Eng. J. 2019, 360, 964–973. [Google Scholar] [CrossRef]
- Sodhi, R.K.; Paul, S. An overview of metal acetylacetonates: Developing areas/routes to new materials and applications in organic syntheses. Catal. Surv. Asia 2018, 22, 31–62. [Google Scholar] [CrossRef]
- Feoktistov, D.A.; Kayukova, G.P.; Vakhin, A.V.; Sitnov, S.A. Catalytic aquathermolysis of high-viscosity oil using iron, cobalt, and copper tallates. Chem. Technol. Fuels Oils 2018, 53, 905–912. [Google Scholar] [CrossRef]
- Tajik, A.; Farhadian, A.; Khelkhal, M.A.; Rezaeisadat, M.; Petrov, S.M.; Eskin, A.A.; Vakhin, A.V.; Golafshani, M.B.; Lapuk, S.E.; Buzurov, A.E.; et al. Sunflower oil as renewable biomass source to develop highly effective oil-soluble catalysts for in-situ combustion of heavy oil. Chem. Eng. J. 2023, 453, 139813. [Google Scholar] [CrossRef]
- Galukhin, A.; Khelkhal, M.A.; Gerasimov, A.; Biktagirov, T.; Gafurov, M.; Rodionov, A.; Orlinskii, S. Mn-catalyzed oxidation of heavy oil in porous media: Kinetics and some aspects of the mechanism. Energy Fuels 2016, 30, 7731–7737. [Google Scholar] [CrossRef]
- Santos, R.G.D.; Loh, W.; Bannwart, A.C.; Trevisan, O.V. An overview of heavy oil properties and its recovery and transportation methods. Brazilian. J. Chem. Eng. 2014, 31, 571–590. [Google Scholar]
- Bhattacharjee, M.N.; Chaudhuri, M.K.; Khathing, D.T. Direct Synthesis of Tris(acetylacetonato)manganese(III). J. Chem. Soc. Dalt. Trans. 1982, 3, 669–670. [Google Scholar] [CrossRef]
- Khelkhal, M.A.; Eskin, A.A.; Mukhamatdinov, I.I.; Feoktistov, D.A.; Vakhin, A.V. Comparative kinetic study on heavy oil oxidation in the presence of nickel tallate and cobalt tallate. Energy Fuels 2019, 33, 9107–9113. [Google Scholar] [CrossRef]
- Khelkhal, M.A.; Eskin, A.A.; Sitnov, S.A.; Vakhin, A.V. Impact of iron tallate on the kinetic behavior of the oxidation process of heavy oils. Energy Fuels 2019, 33, 7678–7683. [Google Scholar] [CrossRef]
- Koga, N.; Vyazovkin, S.; Burnham, A.K.; Favergeon, L.; Muravyev, N.V.; Pérez-Maqueda, L.A.; Saggese, C.; Sánchez-Jiménez, P.E. ICTAC Kinetics Committee recommendations for analysis of thermal decomposition kinetics. Thermochim. Acta 2023, 719, 179384. [Google Scholar] [CrossRef]
- Vyazovkin, S.; Burnham, A.K.; Favergeon, L.; Koga, N.; Moukhina, E.; Pérez-Maqueda, L.A.; Sbirrazzuoli, N. ICTAC Kinetics Committee recommendations for analysis of multi-step kinetics. Thermochim. Acta 2020, 689, 178597. [Google Scholar] [CrossRef]
- Friedman, H.L. Kinetics of thermal degradation of char-forming plastics from thermogravimetry. Application to a phenolic plastic. J. Polym. Sci. Part C Polym. Symp. 1964, 6, 183–195. [Google Scholar] [CrossRef]
- Ozawa, T. A new method of analyzing thermogravimetric data. Bull. Chem. Soc. Jpn. 1965, 38, 1881–1886. [Google Scholar] [CrossRef]
- Zhang, X. Applications of kinetic methods in thermal analysis: A review. Eng. Sci. 2020, 14, 1–13. [Google Scholar] [CrossRef]
- Khelkhal, M.A.; Eskin, A.A.; Sharifullin, A.V.; Vakhin, V. Differential scanning calorimetric study of heavy oil catalytic oxidation in the presence of manganese tallates. Pet. Sci. Technol. 2019, 37, 1194–1200. [Google Scholar] [CrossRef]
- Fasslhl, M.R.; Meyers, K.O.; Baslle, P.F. Low-temperature oxidation of viscous crude oils. SPE Reserv. Eng. 1990, 5, 609–616. [Google Scholar] [CrossRef]
- Murugan, P.; Mani, T.; Mahinpey, N.; Asghari, K. The low temperature oxidation of Fosterton asphaltenes and its combustion kinetics. Fuel Process. Technol. 2011, 92, 1056–1061. [Google Scholar] [CrossRef]
- Gundogar, A.S.; Kok, M.V. Thermal characterization, combustion and kinetics of different origin crude oils. Fuel 2014, 123, 59–65. [Google Scholar] [CrossRef]
Disclaimer/Publisher’s Note: The statements, opinions and data contained in all publications are solely those of the individual author(s) and contributor(s) and not of MDPI and/or the editor(s). MDPI and/or the editor(s) disclaim responsibility for any injury to people or property resulting from any ideas, methods, instructions or products referred to in the content. |
© 2024 by the authors. Licensee MDPI, Basel, Switzerland. This article is an open access article distributed under the terms and conditions of the Creative Commons Attribution (CC BY) license (https://creativecommons.org/licenses/by/4.0/).





