Next Article in Journal
Investigation into the Effect of Permeable Boundary Sealing on the Behavior of Hydrate Exploitation via Depressurization Combined with Heat Injection
Next Article in Special Issue
An Experimental Study of Boiling Heat Transfer and Quench Front Propagation Velocity During Quenching of a Cylinder Rod in Subcooled Water
Previous Article in Journal
Novel Droop-Based Techniques for Dynamic Performance Improvement in a Linear Active Disturbance Rejection Controlled-Dual Active Bridge for Fast Battery Charging of Electric Vehicles
Previous Article in Special Issue
Assessment of Machine Learning Techniques for Simulating Reacting Flow: From Plasma-Assisted Ignition to Turbulent Flame Propagation
 
 
Font Type:
Arial Georgia Verdana
Font Size:
Aa Aa Aa
Line Spacing:
Column Width:
Background:
Article

Evaporation Characteristics of Two Interacting Moving Droplets

Department of Mechanical Engineering, Capital University of Science and Technology, Islamabad 45750, Pakistan
*
Author to whom correspondence should be addressed.
Energies 2024, 17(20), 5169; https://doi.org/10.3390/en17205169
Submission received: 19 September 2024 / Revised: 13 October 2024 / Accepted: 14 October 2024 / Published: 17 October 2024
(This article belongs to the Special Issue Heat Transfer and Multiphase Flow)

Abstract

The droplet evaporation in sprays and clouds is largely influenced by the interacting surrounding droplets. This study presents a numerical investigation on the evaporation dynamics of two inline interacting droplets in a high-temperature vapor domain using ANSYS Fluent. Several methods are available to solve the multiphase flow problems with phase change, including level set, phase field, volume of fluid (VOF), and hybrid techniques. In the present study, the multiphase model equations are solved in the framework of the VOF method, which is a well-established and robust solver for multiphase flows with excellent volume conservation properties. The Lee model is used to handle the evaporative phase change at the interface. The droplet spacing, sizes, and arrangement pattern of differently sized droplets are the key parameters varied to explore their effects on the evaporation rate, droplet velocities, and inter-droplet distance. For equal-sized droplets, the evaporation of the trailing droplet slows down due to the low-temperature buffer layer of the droplet vapors generated by the evaporation of the leading droplet; the effects decrease as the initial spacing is increased. For two droplets at center-to-center distances of 2do and 6do, the evaporation of the trailing droplets reduces by 20.8% and 7%, respectively. Decreasing the size of the trailing droplet increases its evaporation rate since the smaller droplet experiences more temperature gradients as it escapes out of the influence of the leading drop buffer layer. For a smaller to larger droplet diameter ratio of 0.9, the evaporation rate of the trailing droplet is reduced by ~26% than expected. However, for the diameter ratio of 0.5, this reduction is only 12.5%. Regarding the arrangement pattern of different-sized droplets, the overall evaporation rate is lower when the bigger droplet follows the smaller one. The fact is attributed to close interaction followed by the coalescence of the bigger droplet with the leading smaller droplet, resulting in a single bigger droplet.

1. Introduction

The evaporation of a liquid droplet in an ambient environment is a frequently observed phenomenon in nature, industrial processes, and practical systems. Several applications, for example, cooling water sprays, spray combustion, coating, printing, etc., involve multiple droplets that evaporate while interacting with each other in close proximity. The sizes of these droplets, their inter-droplet distance, and the arrangement of differently sized droplets are critical factors that influence the evaporation of multiple droplet systems. The understanding of complex heat and mass transfer mechanisms of such interacting droplets is a key to designing and developing efficient spray and printing devices, particularly beneficial for engineers and researchers working in the fields of fluid dynamics, combustion, material processing, and environmental sciences.
The evaporation dynamics of a single evaporating droplet have extensively been studied by researchers using both experimental and numerical techniques, leading to a thorough understanding of the phenomena. Moving towards more practical systems, focus shifted towards investigating the evaporation dynamics of 2–10 interacting droplets of different fluids, evaporating in various ambient conditions under different geometrical settings. Labowsky [1] performed one of the initial studies on the evaporation dynamics of interacting droplets. He proposed a mathematical formulation to model the evaporation rates of a number of irregularly arranged interacting droplets of different sizes and fluids. It is reported that the droplet evaporation rates are significantly affected due to droplet interaction; however, the droplet temperature stays unaffected by the interactions. Raju and Sirignano [2] studied two moving and evaporating droplets in the perspective of dense spray applications. They varied the droplet initial size, initial spacing, and Reynolds number and investigated its effects on the drag coefficient, Nusselt number, and the droplet spacing. The evaporation dynamics of a central droplet in droplet clusters under the microgravity conditions were investigated by Segawa et al. [3]. They varied the droplet spacing and observed that the evaporation rate stayed almost constant or increased with decreasing the droplet spacing. Volkov et al. [4] experimentally investigated the evaporation dynamics of two sequentially moving water droplets in a high-temperature combustion environment. They reported that the effects of the leading droplet on the evaporation of the trailing droplet will become insignificant if the spacing between the droplets is greater than 8–11 times the mean droplet radius. Volkov et al. [5] further extended their study to a series of 2, 3, and 4 falling water droplets in a high-temperature gaseous environment. The effects of droplet size, droplet spacing, droplet initial speed, and the flow gas velocities were investigated towards evaporation dynamics. Zhao et al. [6] conducted an interesting study to explore the region of influence of a single evaporating droplet. They concluded that the influence region is 30 times the geometric dimension of the droplet. Markadeh et al. [7] explored the dynamics of a single droplet evaporating in spray-like conditions as experienced in a combustion chamber. The key parameters investigated were the droplet spacing, fuel types, and ambient temperature. They reported a droplet spacing parameter for which the effects of surrounding droplets are significant—a concept similar to the influence region. An experimental study was conducted by Wang et al. [8] in which they suspended three droplets at equal spacing using quartz fiber and reported that the classical d2-law is applicable for all the droplets during the quasi-steady evaporation stage, which makes up about 60% of the droplet lifetime. Yang et al. [9] explored the effects of droplet radii and the initial droplet spacing on the burning rates for a double droplet system and observed that the front droplet burns at a faster rate than that of the back droplets in a convective environment irrespective of the droplet radii and spacing. Min et al. [10] conducted numerical simulations for a group of liquid hydrogen droplets to investigate the group interaction effects. They investigated three arrays containing two, three, and five equally sized droplets. Masoud et al. [11] proposed an analytical model to estimate the diffusive evaporation rates of multiple sessile droplets of different sizes, arranged at different angles with respect to each other. The results indicated that the proposed model predicted the evaporation rates fairly accurately when compared with the results of numerical simulation for a wide range of geometric configurations. Fairhurst [12] further built upon the study by Masoud et al. for several cases and concluded that the theoretical results match well with the simulations; however, the results deviate up to 25% for the more confined droplets, which have a small evaporating rate and higher contact angles. Liu et al. [13] stated that the droplet evaporation slows down due to the neighboring interacting droplets. He argued that the evaporation models for multiple droplets that are mostly based on isolated droplet evaporation models may not yield correct results. They, therefore, proposed a model based on the point source method incorporating an additional correction factor to deal with the inter-droplet interaction.
Several authors have focused on the evaporation of droplets in sprays and clouds to develop efficient combustion, cooling, and printing technologies. Lacasta et al. [14] studied the evaporation of droplets arranged in periodic arrays of equal-sized droplets in a 2D system and concluded that the cooperative effects of the multiple droplets may result in an enhanced evaporation rate. Deprédurand et al. [15] conducted an experimental study to investigate the evaporation rates of different fuel droplets in a monodisperse droplet stream. They monitored the Nusselt and Sherwood numbers and concluded that the interactions between the droplets are as critical as the fuel itself for the evaporation process. Zoby et al. [16] performed a Direct Numerical Simulation of the kerosene droplets in a convective environment. They reported that the evaporation rates are reduced as the combustion of droplets occurs in a group. Chen and Lin [17] experimentally studied the effects of spatial distribution and interaction of droplets on evaporation and combustion dynamics in spray combustion. For this purpose, they generated a series of inline droplets in a high-temperature oxidizing environment. The effects of the initial drop spacing (Si) on the flame transition and droplet evaporation rate were investigated. They observed that, for Si < 30, the droplet evaporation rate of interacting inline droplets was less than that of a single droplet. However, for the Si in the range of 30–75, the evaporation rate exceeds that of the single drop. Finally, for Si > 75, the interaction effects are negligible. The evaporation rate of the multiple interacting fuel droplets was studied by Kitano et al. [18] to investigate the effects of pressure and gas temperature. They observed that the droplets’ lifetime increases as the pressure is increased. However, if the temperature is increased beyond 1500 K, the droplets’ lifetime decreases. The evaporation dynamics of multiple droplets were experimentally studied by Castanet et al. [19] to develop a predictive model for the evaporation rate of fuel droplets in a dense region of sprays. They arranged the droplets in a single row and varied the droplet size, velocity, and droplet spacing. They reported that the droplet spacing has a strong influence on the droplet evaporation rate due to the development of a boundary layer around the droplets. Cossali and Tonini [20] used statistical techniques to develop a model expressing the effects of droplet cloud density and shape on the global and local evaporation characteristics. Li et al. [21] proposed an extended unit cell model to analyze the evaporation of stationary droplet clouds, considering the development of a boundary layer around the evaporating droplet. The parameters investigated are the droplet spacing and ambient pressure on the evaporation rate. Guo et al. [22] numerically simulated the wastewater droplets generated from a multi-nozzle system under different working conditions with the aim of desulfurizing water. They concluded that the quality of evaporation can be improved by increasing the distance between the nozzles emitting water droplets as well as by increasing the flow rate.
The literature analysis reveals a huge interest in the field of evaporation dynamics of interacting drops, investigating different aspects, including the droplet fluid, the arrangement patterns, droplet spacing, and the droplet size. However, to the best of the authors’ knowledge, the effects of arrangement patterns of two differently sized inline droplets on the evaporation dynamics in the framework of 2D planar configuration have not been studied so far. The present research attempts to fill this gap and numerically investigates the evaporation patterns of differently sized droplets in two distinct arrangements, which is the key novel aspect of this research. This study is logically arranged into three sections. First, the effect of spacing between two identical, equal-sized droplets on the evaporation rates is studied. Next, the size of the trailing droplet is systematically varied against the leading droplet of constant radius, keeping the initial spacing between the droplets constant. Finally, the position of the bigger and smaller droplets is swapped to investigate the effects of the arrangement pattern of differently sized droplets on the evaporation rates. The non-dimensional d2 values, which represent the time evolution of the droplet evaporation, are plotted against non-dimensional times to monitor the evaporation rates. Furthermore, the velocities of each droplet and the inter-droplet distances are also plotted to analyze and investigate the effects of these variations on the evaporation dynamics of multiple droplets.

2. Mathematical Formulation

A multiphase fluid flow problem including a phase change process is a challenging computational task. To simulate the evaporation of interacting liquid droplets, the mathematical model employed in the current study considers an initial circular droplet maintained at a uniform saturation temperature. The liquid droplets evaporate in a pure hot vapor surrounding the environment. Furthermore, radiation heat transport effects are neglected.

2.1. Governing Equations

2.1.1. Volume of Fluid (VOF)

The volume of fluid (VOF) method solves volume fraction equations to capture the liquid and vapor phases. The volume fraction value in each cell ranges from 0 to 1. In a grid cell, if the liquid volume fraction ( l ) is zero, it indicates that the entire cell is filled with the vapor phase. Conversely, if ( l   ) is one, then the cell is entirely filled with the liquid phase. Otherwise, the cell comprises a mixture of liquid and vapor phases. Each cell in the grid must have a liquid and vapor fraction that sum up to one, as indicated in the following equation:
l   + v   = 1
Equations (2) and (3) represent the governing equations for the liquid and vapor volume fraction as follows:
l t + · v l = m l ˙ ρ l
v t + · v v = m v ˙ ρ v
However, the mass dissipated by the liquid phase is equal to the mass gained by the vapor phase, that is, m l ˙ = m v ˙ . Although the volume fraction equation is solved, coupled with the continuity equation, for one species only; however, we have presented equations for both species for the completeness of the information and to maintain consistency. The solver calculates the volume fraction of other species using Equation (1).

2.1.2. Continuity and Momentum Equation

The continuity and momentum transport equations can be expressed as follows:
ρ t + · ρ v = 0
t ρ v + · ρ v v = p + ·   μ v + v T + ρ g + F v
where the material properties for a computational cell, such as density and viscosity, are calculated as follows:
ρ = ρ l α l + ρ v α v
μ = μ l α l + μ v α v
Regarding the solution of the transport equation for the volume fraction, the solver tracks the interface between the phases by solving the continuity equation for the volume fraction of one of the phases. The explicit formulation of the discretized continuity equation is as follows:
α l n + 1 ρ l n + 1 α l n ρ l n t V + f ( ρ q n U f n α q , f n ) = m l ˙ + m v ˙
where
  • n + 1 = index for the new time step.
  • n = index for previous time step.
  • α l , f = face value of the liquid volume fraction.
  • U f = volume flux through the face, based on normal velocity.
  • V = cell volume.
The transient term is discretized using a first-order explicit scheme, while the QUICK scheme is used to handle the convective term.

2.1.3. Brackbill Continuum Surface Force (CSF)

In the momentum transport equation, F v is the volume force that occurs due to surface tension. The Brackbill continuum surface force (CSF) model describes the relationship between the volume and the surface tension forces [23] as follows:
F v = σ l ρ l κ l l + v ρ v κ v v 0.5 ( ρ l + ρ v )
where the interface curvature is obtained from the following equation:
κ l = κ v = · l l

2.1.4. Energy Equation

The present study considers the temperature gradient driven phase change process. Therefore, the energy equation is solved in the framework of the volume of fluid model. A one-field formulation of the energy equation can be expressed as follows:
t ρ h + · ρ v h = ·   k T + S h
whereas h and k represents the enthalpy and thermal conductivity for mixed phase.
h = α l ρ l h l + α v ρ v h v α l ρ l + α v ρ v
k = k l α l + k v α v

2.1.5. Phase Change Model

In 1980, Lee [24] proposed the simplified saturation phase change model that is widely used for the study of evaporation and condensation processes, where the liquid and vapor mass exchange process is controlled by the vapor transfer equation:
t α v ρ v + · α v ρ v v = m ˙ l v m ˙ v l
The mass transfer model is governed by the temperature difference between the liquid, vapor, and saturation values. If the liquid temperature (Tl) is greater than the saturation temperature (Tsat), then the process of evaporation occurs and the mass is transferred from the liquid to vapor phase, m ˙ l v , as follows:
If Tl > Tsat (evaporation):
m ˙ l v = ϕ α l ρ l T l T s a t   T s a t    
If the vapor temperature (Tv) is less than the saturation temperature (Tsat), then the process of condensation occurs and the mass is transferred from the vapor to the liquid phase, m ˙ v l .
If Tv < Tsat (condensation)
m ˙ v l = ϕ α v ρ v T s a t T v   T s a t
where ϕ is the mass transfer intensity factor with unit 1/s. ϕ is a key factor when investigating droplet evaporation, and it should be such a value that avoids divergence issues and maintains an interfacial temperature close to the saturation temperature. As an empirical coefficient, ϕ is given different values for different problems. To identify the suitable value of ϕ for the mass transfer model, numerous simulations need to be conducted to tune results as per the experimental/analytical results. Generally, the value of ϕ varies in the range of 0.1–5 × 106 as suggested by Canonsburg [25]. To maintain droplet temperature at a saturation value, the value of ϕ is chosen as 10,000 in the current study.

2.2. Relevant Non-Dimensional Numbers

The non-dimensional number serves as a fundamental tool in the characterization, analysis, and understanding of the evaporation dynamics of droplets. The non-dimensional numbers used in our study include Morton number (Mo), Eötvös number (Eo), Stefan number (St), Prandtl number, density ratio (η), viscosity ratio (γ), size ratio (R), and initial distance ratio (S).
Eötvös number (Eo), the ratio of gravitational to surface tension force, is used to describe the shape of a droplet moving in a fluid.
E o = ( ρ l ρ v ) d 2 g σ
The Morton number (Mo) is used together with the Eötvös number (Eo) to specify the shape of the moving droplet as follows:
M o = μ g 4 ( ρ l ρ g ) g ρ g 2 σ 3
The Stefan number (St) is defined as the ratio of sensible heat to latent heat. Here, C p , g represents specific heat of the vapor phase, T denotes surrounding fluid temperature, and T s a t denotes the saturation temperature as follows:
S t = C p , g ( T T s a t ) h l g
Density ratio (η) is the ratio of density of liquid ρ l and density of gas ρ g as follows:
η = ρ l ρ g
Viscosity ratio (γ) is the ratio of the viscosity of the liquid μ l and viscosity of the gas μ g as follows:
γ = μ l μ g
Prandtl number (Pr) measures momentum diffusivity compared to thermal diffusivity as follows:
P r = μ C p k
The initial distance ratio (S) is the ratio of the initial distance between the centroid of two droplets (Lo) and the characteristic radius ro.
S = L o r o
Size ratio (R) is the ratio of the smaller drop radius rs and the characteristic radius ro.
R = r s r o
Normalized d2 is the ratio of the droplet’s instantaneous diameter to the droplet’s initial diameter (do). The normalized d2 is a representation of droplet evaporation rate.
Normalized   d 2   =   d d o 2
where the equation of overall normalized d2 is the ratio of the sum of the instantaneous diameters of the droplets to the sum of the initial diameters of the droplets (do). Overall normalized d2 is continuously monitored during droplet motion when more than one more drop is present in the domain as follows:
O v e r a l l   d d o 2 = d 2 d o 2
The non-dimensional time τ is represented by the following equation:
τ = t g d o
where g represents gravitational acceleration, d o represents initial drop diameter, and t is the time.

3. Numerical Solution Procedure—Verification and Validation

To carry out a numerical study, it is necessary that the numerical model be accurate and stable. In this section, the numerical methodology adopted for the present study is explained in detail. Grid and time step independence studies are carried out for the verification of the adopted numerical model. Later, a validation case is presented where the present numerical results are compared with the results of the front tracking code.

3.1. Numerical Methodology

ANSYS Fluent 2020 R2 CFD package is utilized to solve the governing equations to simulate moving evaporating droplets in a 2D planar configuration. To solve the continuity and momentum equation, the Pressure Implicit with Splitting of Operator (PISO) algorithm is used. During the calculation, a QUICK scheme is employed for spatial discretization of the energy and momentum equations. The PRESTO! scheme is used to discretize the pressure equation. For transient formulation, a first-order implicit scheme is used. Volume fraction equations with explicit formulation are solved by using the Geo-Reconstruct scheme. Relaxation factors used for pressure and momentum equations are 0.3 and 0.7, while for body forces and energy equations, relaxation factors are set to 1. For the solution stability and accuracy, the continuity, momentum, energy, and volume of fluid equations are solved with a residual criterion of 10−6.

3.2. Geometry, Initial, and Boundary Conditions

The computational domain selected to carry out the grid convergence, time step independence, and validation studies is shown in Figure 1. The size of the channel is 1 × 4 mm2 for a single droplet, while for the two-droplet case, the channel height is controlled by the initial distance ratio S that is directly proportional to Lo, representing the distance between the centroids of two drops. The channel height for two moving droplets can be calculated as (3.5 + Lo) mm, as shown in Figure 1b. A droplet is initially centered at (xc,yc) = (0.5, 3.6) mm for a single moving droplet case (Figure 1a), while for the case of two droplets arranged inline (Figure 1b), the leading droplet (LD) is centered at (xc1, yc1) = (0.5, 3) mm and the trailing droplet (TD) is centered at (xc2,yc2) = (0.5, 3 + Lo) mm.
The temperatures of the droplet and the surrounding domain are initialized as 373 K and 480 K, respectively. The domain boundaries are defined as walls with no-slip boundary conditions. The temperature at the domain boundaries stays fixed at 480 K throughout the simulations.

3.3. Grid and Time Step Independence

To achieve the solution stability and avoid any numerical errors in the computational results, grid and time-step size independence studies are performed for the two inline droplet cases. Three different qualities of fixed, uniform, and structured grids are generated based on the element edge sizing. For these grids, 1 mm is divided into 32, 64, and 128 divisions, and the cases are named as Grid 1, Grid 2, and Grid 3, respectively. For a domain of 1 × 4 mm2, Grid 1, Grid 2, and Grid 3 have (32 × 128), (64 × 256), and (128 × 512) computational cells, respectively. To carry out the time step independence study, three different Courant numbers (Co) are used as follows: 0.25, 0.1, and 0.05. Co is directly proportional to the time step size and inversely proportional to mesh size. The following equation presents the Courant number relationship with time step and grid sizes.
C o = v T x
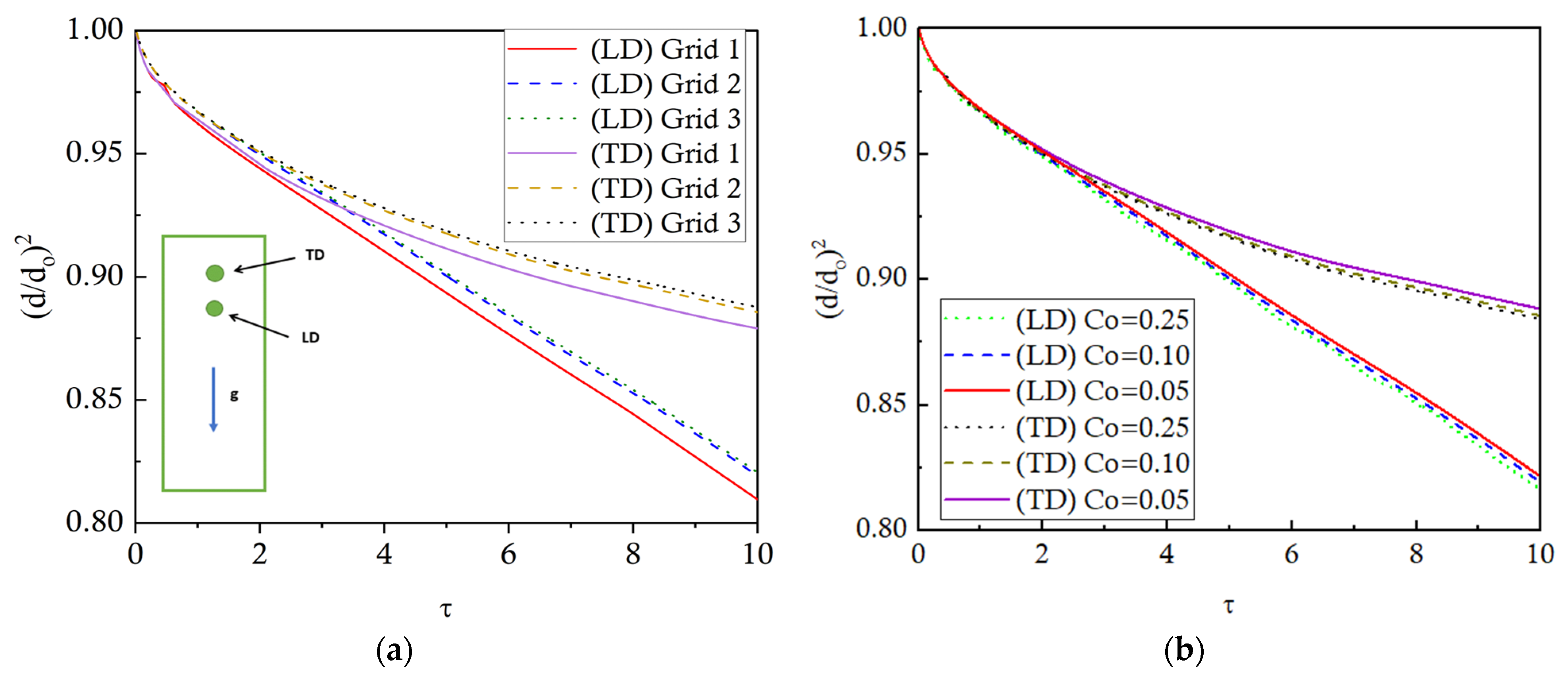
Table 1 lists the non-dimensional parameters related to the droplet properties and the shape characteristics for the grid convergence and validation studies. Results are presented as the normalized d2 plotted against the non-dimensional time (τ) for different grid resolutions and Co numbers. Figure 2a shows the results of the grid convergence study for a Co value of 0.25. It is observed that the maximum difference in the normalized d2 values of Grid 1 and Grid 2 is 1.02%, while this difference reduces to 0.12% when the results of Grid 2 are compared against Grid 3. Therefore, Grid 2 with computational cells (64 × 256) is selected for the rest of the simulations. Figure 2b presents the results of the time step size independence study for grid resolution of 64 × 256. It is observed that the maximum difference between the normalized d2 results of Co = 0.25 and 0.1 cases is 0.44%, which further decreases to 0.28% when the results of Co = 0.1 and 0.05 are compared. Since, for all the three Courant numbers considered, the results differ by less than 1%, therefore, a Co value of 0.25 is used for the rest of the simulations to maintain solution stability and accuracy. This also lies within the general Co criteria of <1.

3.4. Validation

To verify the present numerical solution methodology, validation studies are performed for a single moving droplet as well as two inline moving droplets.

3.4.1. Evaporation of a Single Moving Droplet

Evaporation of a single moving droplet is simulated for the geometry presented in Figure 1a and the thermophysical parameters mentioned in Table 1. The initial and boundary conditions are specified, as described in Section 3.2. The contours of temperature and the line trends of normalized d2 are the target results. These results are compared against the results of Irfan and Muradoglu [26], who used front tracking code to simulate the evaporative phase change phenomena. The contour plots of temperature at τ = 13.416 are compared for both studies, as shown in Figure 3a. A very good qualitative agreement is observed between both results after a significant time into the evaporation process. The quantitative results of the normalized d2 for the present numerical study also show excellent agreement with the reference study, as shown in Figure 3b, reporting a maximum difference of approximately 3%.

3.4.2. Evaporation of Two Inline Moving Droplets

The validation study for the two inline moving droplets is carried out using the physical setup, as shown in Figure 1b. The operational parameters are the same as those used for the single droplet validation case. The non-dimensional d2 and the location of the droplets’ centroid are monitored over time and compared with the results of the Front Tracking code of Irfan and Muradoglu [26]. Figure 4a presents the normalized d2 plots of the validation study showing a good agreement with the reference study reporting a maximum difference of approximately 1.5% at τ = 10. The centroid location of the leading and trailing droplets is compared in Figure 4b. An excellent agreement is observed between the present simulation results and the reference study.

4. Results and Discussion

This section presents detailed results and discussion on the evaporation dynamics of multiple evaporating droplets moving under the action of gravity. The effects of variation in the initial distance between the droplets, the size of the droplets, and the arrangement pattern of differently sized droplets are investigated on the evaporation rates of the droplets, all in the inline configuration.

4.1. Effect of Initial Distance Ratio, S

The effects of the initial distance ratio (S), defined in Equation (22), on the evaporation dynamics of two inline moving droplets are explored by varying the initial distance between the droplets (Lo). The initial distance ratio is varied in the range of 4–12 in the present study. Furthermore, both the droplets are of equal size, that is, the size ratio (R) is set to 1. At time t = 0, droplet 1, defined as the leading droplet (LD), is centered at (0.5, 3) mm, while droplet 2, named as the trailing droplet (TD), is placed with its center at (0.5, 3 + Lo) mm. The overall domain height is then adjusted according to the initial distance ratio (S) and, consequently, Lo, as mentioned in Figure 1b. Both the droplets start moving under the action of gravity, g, and evaporate due to the high-temperature vapor environment. Normalized d2, an indicator of evaporation rate, and droplet velocities are considered important parameters and are continuously monitored during this study.
Figure 5 shows the contour plots of temperature in the domain for different values of S at two different time instances. The columns represent cases with S values of 4, 6, 8, 10, and 12 (left to right). The first row presents the contours at a non-dimensional time of τ = 3, while the second row shows it at τ = 12. The temperature contours show that a low-temperature thermal buffer layer is developed around the droplets as they move under the action of gravity. The buffer layer of the leading droplet sweeps along the droplet and then interacts with the trailing droplet, depending upon the value of S and the time. At time τ = 3, the buffer layer of the leading droplet is affecting the evaporation of the trailing droplet for S = 4 and 6. However, at τ = 12, all the cases show such interactions. It is a qualitative observation that, during the interaction, the leading droplet evaporates faster as compared to the trailing droplet since it is exposed to a high-temperature environment. The effect of the low-temperature thermal buffer layer on the training droplet is to slow down its evaporation rate due to the lesser temperature gradient between the droplet and the surrounding buffer zone. These observations are quantitatively supported by the trends of normalized d2 plotted against non-dimensional time for both the droplets in Figure 6.
The evaporation of the leading droplet is negligibly affected by the presence of the trailing droplet, irrespective of the value of S, as indicated by the overlapping lines of normalized d2 shown in Figure 6a. However, the evaporation of the trailing droplet is significantly affected by the presence of the leading droplet depending on the value of S, as shown in Figure 6b. The evaporation trend of the leading droplet is also presented in the same figure as a reference line for comparative purposes. It is observed that, till τ = 2, both the droplets evaporate at the same rate for any value of S since the thermal buffer layer has not yet approached the trailing droplet. After that, the trailing droplet of the smallest S case, that is, S = 4, starts getting affected by the thermal buffer layer, and the evaporation rate slows down.
For the rest of the S cases, the effects of the buffer layer are noticed by the trailing droplet successively later in time depending on the corresponding S values. Progressing further in time, at τ = 12, approximately 22% of the leading droplet has evaporated for all the S cases, except for the S = 4 case, where coalescence has occurred. In an ideal case, if the trailing droplet is not influenced by the leading one, then the trailing droplet is also expected to evaporate by the same amount, that is, 22%. However, in the actual scenario, the trailing droplets for S = 6, 8, 10, and 12 show 16.5%, 18%, 19%, and 20% evaporation, respectively, which is correspondingly 25%, 18.2%, 13.6%, and 9.1% less than the evaporation of the leading droplet. This clearly indicates that the effect of the neighboring droplets is to slow down the evaporation as compared to the isolated droplets. Furthermore, the effect of the leading droplet on the trailing droplet evaporation decreases as the S increases.
To further elaborate on the effects of droplet interaction on the evaporation process, the overall evaporation of the droplets is monitored. Figure 7 compares the times required to reach 10% ((d/do)2 = 0.9) and 18% ((d/do)2 = 0.82) overall evaporation for different values of S. It can be observed that an increase in the value of S reduces the time required to achieve a defined evaporation target. For instance, the S = 4 case attains evaporation corresponding to (d/do)2 = 0.9 at τ = 5.8, while the S = 12 case attains the same evaporation at τ = 5.2, which indicates 10.3% faster evaporation. Similarly, to achieve (d/do)2 = 0.82, the S = 4 case takes τ = 13, whereas the S = 12 case attains that benchmark at τ = 11, showing a 15.3% superior evaporation rate.
Figure 8 shows the effects of coalescence on the evaporation rates compared to the individual droplets’ evaporation before the coalescence. The normalized d2 values are plotted against non-dimensional time for the leading, trailing, and merged droplets for S = 4 and S = 5. The first observation is that the coalescence delays as the initial distance ratio is increased. For example, the coalescence takes place at τ = 8.5 for S = 4, while it happens at τ = 11.2 for S = 5. Regarding the evaporation, it is noted that the effects of the coalescence are to average out the normalized evaporation rate of the previously separate droplets. Specifically, after coalescence, the merged droplet normalized evaporation rate is slower than the leading droplet while it is faster than the trailing droplet. This is because, after the coalescence, the instantaneous d2 of the merged larger droplet is normalized by the sum of the diameters of the individual droplets ( d o 2 ), as given in Equation (25), to calculate the overall normalized d2. Therefore, although the surface area of the single larger merged droplet is greater than either of the leading or the trailing droplets since it is normalized by a bigger number (the sum of the diameters of the individual droplets), hence the normalized evaporation rate of the merged droplet is slower than that of the leading droplet. Regarding the trailing droplet, the effects of the thermal buffer layer are eliminated after the coalescence, so the overall normalized evaporation rate of the larger droplet after coalescence is faster than the trailing droplet.
The droplets’ interaction during the evaporation process also affects the droplet velocities. Figure 9 plots the velocities of the leading and the trailing droplets for different values of S. The droplet interaction has minimal effects on the velocity of the leading droplet for all values of S. The velocity increases as the droplet starts moving and attains a steady-state value, which is approximately independent of the S; a slightly different behavior is observed for the S = 4 case where coalescence takes place. The trailing droplet, however, exhibits a visible difference in the velocity profiles for different values of S. This is because the coalescence of the droplets occurs at different times for different values of S. Generally, it is observed that the leading and trailing droplets accelerate at the same rate until the trailing droplets enter into the low-pressure wake region of the leading droplet and experience a pull towards the leading droplet. This pull results in an increased velocity of the trailing droplet, leading to the coalescence of the droplets. The velocity plots of the leading and trailing droplets for S = 4 and S = 12 are presented in Figure 9c to depict the phenomena. For a smaller value of S, that is, S = 4, the droplets are initially located close to each other. Therefore, the trailing droplet enters into the wake region of the leading droplet quite early and undergoes coalescence. For higher values of S, the droplets are initially placed sufficiently far apart, and as they evaporate, they lose mass and eventually weight; therefore, the terminal velocities tend to decrease. Finally, it is observed that the two evaporating droplets at rest tend to repel each other due to the evaporation-driven radial velocities pointing outwards. This is depicted by the differences in the velocities of the leading and the trailing droplets in the zoomed-in figure in Figure 9c. The magnitudes of these velocities are quite small, and as the droplets move under the action of gravity, the repulsive effects are negligible.

4.2. Effect of Size Ratio, R

In this section, the effects of varying the size of the droplets on the evaporation dynamics of moving interacting droplets are investigated for a two inline droplet system. These droplets are initially positioned with their centers at (0.5, 3) mm and (0.5, 3.5) mm in a 1 × 4 mm2 domain with an initial distance ratio of 4. The initial radius of the leading droplet is kept constant at a value of 0.25 mm for each geometric case, whereas the radius of the trailing droplet is systematically reduced to obtain size ratio (R) values of 0.9, 0.8, 0.7, 0.6, and 0.5. The size ratio (R) is mathematically defined in Equation (23). The present configuration, in which the smaller droplet is the trailing droplet, is named as Small-Big-Arrangement (SBA). The operational settings for the numerical simulations are mentioned in Table 1. The droplets move under the action of gravity in an ambient gaseous environment maintained at a fixed temperature of 480 K, resulting in a Stefan number of 0.1.
Figure 10 presents the temperature contours of all the cases at three different time instances. The size ratio (R) varies from 0.9 to 0.5 with a step size of 0.1 as we move from left to right across the columns. The rows present the contours of respective cases at three different time instances, that is, τ = 3, τ = 6, and τ = 9.
It is observed that, at non-dimensional time τ = 3, the temperature contours of the two droplets interact with each other for all the cases. It eventually affects the evaporation dynamics of the droplets. As the droplets move further down the channel, at τ = 6, the thermal buffer layer of the leading droplet envelopes the trailing droplet, significantly affecting the evaporation rates. It is further noted that the instantaneous distance between the leading and trailing droplets is dependent on the value of R; the higher the R, the smaller the distance between the droplets. This is because, for a larger R, that is, R = 0.9, the trailing droplet is bigger and, therefore, lies close to the leading droplet at the initial time (τ = 0). Eventually, later in time, the pull of the low-pressure wakes of the leading droplet is felt more quickly by the trailing droplet for larger R as compared to the smaller R. This results in higher velocities of trailing droplets and decreased distance between the leading and the trailing droplets for large R cases. At τ = 9, it can be seen that the coalescence of the two droplets has happened for R = 0.9 and 0.8 cases, while the R = 0.7 case is on the verge of coalescence. However, for the rest of the case, the two droplets are sufficiently far apart. This is because, for smaller R values (R = 0.6 and 0.5), the initial distance between the leading and trailing droplets is large and the pulling effects of the wakes of the leading droplet are felt quite late as compared to higher R value cases. Additionally, for the smaller trailing droplets, the terminal velocity is also lesser as compared to the leading droplet, resulting in an increase in the distance between the two droplets.
To further elaborate the evolving distances between the leading and trailing droplets for different R cases, the temporal variation of the distance between the two moving evaporating droplets is presented in Figure 11. These trends can be explained using the concepts of terminal velocity and the suction effects of the wakes produced by the leading droplet. A bigger droplet will have a higher terminal velocity, and vice versa. Furthermore, the droplets will accelerate equally to attain their respective terminal velocities if subjected to similar ambient conditions. As the droplets start to move under the action of gravity for different R cases, they accelerate equally, and the distance between the droplets stays constant till τ = 1, for all the cases. Afterward, for R = 0.9, the trailing droplet being quite large (0.9 times the size of the leading droplet) and still accelerating to achieve its terminal velocity enters into the low-pressure suction region of the leading droplet. A pull is exerted on the trailing droplet, resulting in a decrease in the distance between the droplets until coalescence takes place. Similar trends are observed for R = 0.8, 0.7, and 0.6 cases, but the pull force resulting in a decrease in the distance between the droplets is observed progressively later in time because (1) the initial distance between the droplets increases as R is decreased, (2) the trailing smaller droplets experience more resistance, thereby decreasing their velocity and increasing the inter-droplet distance, and (3) smaller droplets have lower terminal velocities. The plot for the R = 0.5 case is in the continuation of the trends for the other R cases. In this case, the size of the trailing droplet is quite small, that is, half of the leading droplet size, and therefore experiences more resistance, resulting in a decrease in the velocity and an increase in the inter-droplet distance. Furthermore, the terminal velocity is also smaller, and after reaching the terminal velocity, the droplet attains steady-state velocity. Additionally, as the trailing droplet is away from the thermal buffer zone of the leading droplet, it experiences a high-temperature gradient resulting in rapid evaporation. This decreases the droplet size and further decreases the terminal velocity, resulting in a further increase in the inter-droplet distance.
It is important to present the velocity profiles of the leading and trailing droplets for different R value cases to further explore the interaction and the coalescence of the droplets. The temporal variation of the velocity of the leading droplet is presented in Figure 12a for all the studied cases, whereas the trailing droplet velocities are presented in Figure 12b. The trends of the leading droplet velocity profiles are almost identical for all the size ratio (R) cases reporting a steady-state value of ~0.15 m/s. Small peaks are, however, observed as the droplets coalesce for R = 0.9, 0.8, and 0.7 cases. The velocity profiles of the trailing droplets are quite unique for different R cases. The velocities for R = 0.9, 0.8, and 0.7 cases continue to rise until the coalescence takes place at a velocity of 0.22 m/s. For the R = 0.6 case, the trailing droplet velocity reaches a steady-state value of 0.175 m/s, and eventually coalescence will occur. The trailing droplet velocity for R = 0.5 increases first and then decreases but stays lesser than the leading droplet velocity throughout the process.
These droplet interactions affect the evaporation rates of the droplets presented as normalized d2 trends plotted against non-dimensional time τ in Figure 13. It is observed that the evaporation of the leading droplet is insensitive to the size ratio (R), presenting overlapping trends for different values of R, as shown in Figure 13a. The evaporation of the trailing droplet, however, is significantly affected by the size ratio (R). For the same center-to-center distance, a larger R value means a trailing droplet of a bigger radius that physically lies close to the leading droplet as compared to the smaller droplet corresponding to a smaller R value case. Therefore, a bigger trailing droplet close to the leading droplet evaporates slowly due to a low-temperature buffer layer of the leading droplet. This evaporation further slows down as the droplet comes closer to the leading droplet due to inertial effects. As the R values decrease, the trailing droplet subsequently lies farther away from the leading droplet, resulting in an increase in the evaporation rates. This justifies the trends presented in Figure 13b. The lines are truncated as the coalescence takes place. Quantitatively, the coalescence takes place for R = 0.9, 0.8, and 0.7 at τ = 7.5, 8.7, and 10.4, respectively. Regarding the evaporation, at τ = 6, the leading droplet is evaporated by 12%. Considering the time size ratio values, it is expected that the trailing droplets, if placed in an isolated environment, should be evaporated by 13.3%, 15%, 17.1%, 20%, and 24% for R = 0.9, 0.8, 0.7, 0.6, and 0.5, respectively. However, due to the presence of the leading droplet and the interaction effects of the thermal buffer layer, these droplets actually evaporate by 11%, 12.5%, 15%, 19%, and 23.5%, reporting a corresponding reduction in the evaporation rates by 17.3%, 16.7%, 11.8%, 5%, and 2% for R = 0.9, 0.8, 0.7, 0.6, and 0.5 cases. It clearly indicates that the effects of the leading droplet on the evaporation rate of the trailing droplet decrease as the R value is decreased. If a quantitative comparison is made at the terminal times plotted for each R case, the evaporation of the trailing droplet is reduced by 26%, 25%, 22.2%, 15.9%, and 12.5% for R = 0.9, 0.8, 0.7, 0.6, and 0.5, respectively.

4.3. Effect of Arrangement Pattern

For two different-sized droplets, the arrangement pattern of the droplets also affects the evaporation process. To investigate this aspect, two configurations are studied, namely, a Small-Big-Arrangement (SBA) where the leading droplet is a big droplet and a Big-Small-Arrangement (BSA) where the leading droplet is the small droplet. This study is carried out for S = 4 and R = 0.5, in a domain size of 1 × 4 mm2 initialized at a temperature of 480 K.
The temperature contours for both configurations are presented in Figure 14 at τ = 3, 6, 9, and 12, moving from left to right across the columns. The top row presents the plots of the SBA configuration, while the bottom row is for the BSA configuration. These contours are crucial to understanding the evaporation dynamics of the moving droplets for the two configurations. For both cases, the thermal buffer layers are created due to the evaporation of the leading droplets that interact with the trailing droplets and will affect the evaporation phenomena. The interaction of the thermal buffer regions for the two configurations is, however, quite different due to the evolution of the inter-droplet distance as the droplets fall under the action of gravity. For the SBA configuration, the smaller trailing droplet slowly escapes out of the thermal buffer region due to the increasing distance between the droplets as the time proceeds. However, for the BSA configuration, the bigger trailing droplet continues to accelerate, comes closer to the leading smaller droplet, and at τ = 6, the coalescence starts.
To explain the distinct trends of the droplet interaction for SBA and BSA configurations, the temporal evolution of the inter-droplet distance for both configurations is presented in Figure 15. For an initial period of time, the inter-droplet spacing stays constant at the initial value for both configurations. Afterward, the distance between the two droplets starts decreasing for the BSA configuration, while it increases continuously for the SBA configuration. These trends can be explained using the velocities of the leading and trailing droplets presented in Figure 16 against the non-dimensional time. A smaller droplet will have a lower terminal velocity, and a larger droplet will attain a higher steady-state terminal velocity. It can be seen that, for the SBA configuration, as both droplets start to fall under gravity, both the droplets will accelerate equally for an initial period of time, thereby maintaining the equal inter-droplet distance as observed in Figure 15. Afterward, as the trailing droplet reaches the steady-state terminal velocity of ~0.135 m/s, it will not accelerate anymore; rather, it starts decelerating as it comes out of the influence of the suction zone of the leading droplet. The leading larger droplet, on the other hand, will continue to accelerate to attain its larger terminal velocity of ~0.15 m/s as shown in Figure 16. This results in an increase in the inter-droplet distance for the SBA configuration, as shown in Figure 15. The situation reverses for the BSA case. In the BSA case, the smaller leading droplet tends to approach its steady-state terminal velocity at τ = 3, while the trailing droplet is still accelerating to attain its higher terminal velocity. Therefore, the distance between the droplets decreases until the coalescence takes place at ~τ = 6. These variations in the inter-droplet spacing affect the evaporation dynamics of the multi-sized droplets.
Figure 17 presents the evaporation trends of the big and small droplets in the form of normalized d2 plotted against time. It is observed that the bigger droplet evaporates faster when it is in the leading position (SBA configuration) as compared to the trailing position (BSA configuration), as shown in Figure 17a. Similarly, the smaller leading droplet evaporates faster (BSA configuration) than the smaller trailing droplet (SBA configuration) as shown in Figure 17b. The slowed-down evaporation of the trailing droplets is due to the effects of the low-temperature thermal buffer layer of the leading droplets in both cases. For the BSA configuration, the trends of the normalized d2 are presented before the coalescence takes place. Quantitatively, 28% of the leading smaller droplet is evaporated before coalescence, and the trailing droplet, which is double the size of the leading droplet, is expected to evaporate by 14% if placed in a similar isolated environment. But in actually, the trailing bigger droplet evaporates by only 10%, showing a 28.6% decrease in the evaporation. This decrease in the evaporation of the trailing droplet is due to the interaction effects of the buffer layer of the leading droplet. For the SBA configuration, the leading bigger droplet is evaporated by 23%. It is expected that the trailing droplet, which is half the size of the leading droplet, will evaporate by 46% if allowed to evaporate alone. However, it is observed that the trailing droplet evaporates by 40% due to the interaction effects of the leading droplet, reporting a 23% decrease in evaporation.
The overall evaporation of both droplets in BSA and SBA configurations is presented in Figure 18 to analyze the effects of the arrangement pattern on the evaporation rate. The trends are identical for both configurations until 10% overall evaporation. Afterward, the evaporation of the BSA configuration slows down due to the close interaction and the coalescence effects. At τ = 12, the droplets evaporate by 25% for the SBA configuration as compared to the 22% evaporation for the BSA configuration.

5. Conclusions

A numerical study is carried out to investigate the evaporation dynamics of interacting evaporating droplets arranged inline and moving under the action of gravity in a hot ambient environment. The initial distance between the droplets (S), the size ratio of the droplets (R), and the arrangement patterns of the different-sized droplets are varied to observe their effects on the evaporation rates of the droplets, their velocities, and the inter-droplet distance over the course of evaporation. Generally, it is noted that the evaporation of the leading droplet creates a thermal buffer layer, that interacts with the trailing droplet to reduce its evaporation rate. The evaporation of the leading droplet stays unaffected by the evaporation of the trailing droplet. Specifically, the observations are summarized as follows:
  • The effect of the leading droplet evaporation is to decrease the evaporation rate of an equal-sized trailing droplet. The effects, however, decrease as the spacing between the droplets is increased and the trailing droplet escapes out of the influence of the thermal buffer layer of the leading droplet. For the closely placed droplet, coalescence is also observed. For S = 4, a closely placed droplet case, the evaporation of the trailing droplet reduces by 20.8%, while for S = 12, where the droplets are far apart, the evaporation of the trailing droplet is reduced by just 7%.
  • As the size of the trailing droplet is reduced, the effects of the leading droplet on the evaporation of the trailing droplet are reduced. For instance, for R = 0.9, the evaporation rate of the trailing droplet is reduced by ~26% than expected, while for R = 0.5, this reduction is only 12.5%. This is due to the fact that smaller trailing droplets, being lighter, have lower terminal velocity and escape out of the thermal buffer zone of the leading droplet. On the other hand, bigger trailing droplets, comparable to the size of the leading droplet, continue to accelerate, enter the suction zone, and coalesce with the leading droplet.
  • Finally, the arrangement pattern has a significant impact on the evaporation of interacting droplets. Overall, the droplets in the SBA configuration, with a bigger droplet as the leading one, evaporate faster as compared to the BSA configuration. This is because in SBA configuration the distance between two droplets increases with time, and these evaporate as isolated droplets. In contrast, in the BSA configuration, the bigger trailing droplet coalesces with the leading droplet.

Author Contributions

Conceptualization, M.I.; methodology, M.I., M.M.K. and M.A.; software, M.A.; validation, M.A. and M.I.; formal analysis, M.I., M.A. and M.M.K.; investigation, M.I., M.A. and M.M.K.; resources, M.I., M.A. and M.M.K.; data curation, M.A.; writing—original draft preparation, M.I. and M.A.; writing—review and editing, M.I., M.A. and M.M.K.; visualization, M.A.; supervision, M.I.; project administration, M.I. and M.M.K. All authors have read and agreed to the published version of the manuscript.

Funding

This research received no external funding.

Data Availability Statement

The raw data supporting the conclusions of this article will be made available by the authors on request.

Acknowledgments

The simulations were carried out at the high-performance computing center of the Capital University of Science and Technology (CUST), Islamabad, Pakistan.

Conflicts of Interest

The authors declare no conflicts of interest.

Nomenclature

Symbol
PISOpressure implicit with splitting of operator
QUICKQuadratic Upstream Interpolation for Convective Kinematics
Rsize ratio
Sinitial distance ratio
Ldistance between centroids of two drops
rradius
kthermal conductivity
henthalpy
Ttemperature
hlatent heat
Ddrop diameter
EoEötvös number
MoMorton number
StStefan number
PrPrandtl number
CoCourant number
t time
m ˙ rate of mass transfer
C p specific heat
S h source term
h l g latent heat of vaporization
p pressure
F v volume force
ggravity
PrPrandtl number
rradius
Greek letters
volume fraction
v velocity vector
ρ density
μ viscosity
σ surface tension
γ viscosity ratio
η density ratio
κ interface curvature
τ non-dimensional time
Subscript
lliquid
vvapor
ggas
oinitial
ssmall
ambient
satsaturation

References

  1. Labowsky, M. A Formalism for Calculating the Evaporation Rates of Rapidly Evaporating Interacting Particles. Combust. Sci. Technol. 1978, 18, 145–151. [Google Scholar] [CrossRef]
  2. Raju, M.S.; Sirignano, W.A. Interaction between Two Vaporizing Droplets in an Intermediate Reynolds Number Flow. Phys. Fluids A 1990, 2, 1780–1796. [Google Scholar] [CrossRef]
  3. Segawa, D.; Nakaya, S.; Kadota, T.; Go, A.; Hara, D.; Sugihara, H. Effects of Droplet Spacing on Evaporation of a Cluster of 13 Fuel Droplets. Trans. JSASS Space Tech. Japan 2009, 7, 1–6. [Google Scholar] [CrossRef]
  4. Volkov, R.S.; Kuznetsov, G.V.; Strizhak, P.A. Evaporation of Two Liquid Droplets Moving Sequentially through High-Temperature Combustion Products. Thermophys. Aeromech. 2014, 21, 255–258. [Google Scholar] [CrossRef]
  5. Volkov, R.S.; Kuznetsov, G.V.; Legros, J.C.; Strizhak, P.A. Experimental Investigation of Consecutive Water Droplets Falling down through High-Temperature Gas Zone. Int. J. Heat Mass Transf. 2016, 95, 184–197. [Google Scholar] [CrossRef]
  6. Zhao, F.; Liu, Q.; Zhao, C.; Bo, H. Influence Region Theory of the Evaporating Droplet. Int. J. Heat Mass Transf. 2019, 129, 827–841. [Google Scholar] [CrossRef]
  7. Shahsavan Markadeh, R.; Arabkhalaj, A.; Ghassemi, H.; Azimi, A. Droplet Evaporation under Spray-like Conditions. Int. J. Heat Mass Transf. 2020, 148, 119049. [Google Scholar] [CrossRef]
  8. Wang, J.; Huang, X.; Qiao, X.; Ju, D.; Sun, C. Experimental Study on Evaporation Characteristics of Single and Multiple Fuel Droplets. J. Energy Inst. 2020, 93, 1473–1480. [Google Scholar] [CrossRef]
  9. Yang, L.; Shao, Y.; Chen, Y.; Li, Y.; Song, F.; Hu, Y.; Zhang, G.; Zhang, X.; Xu, R. Numerical Investigation of a Burning Fuel Droplet Pair with Different Spacings and Sizes. Combust. Theory Model. 2020, 24, 41–71. [Google Scholar] [CrossRef]
  10. Min, J.; Bao, J.; Chen, W.; Wang, T.; Lei, Y. Numerical Simulation of Liquid Hydrogen Droplets “Group” Evaporation and Combustion. Cryogenics 2020, 108, 103091. [Google Scholar] [CrossRef]
  11. Masoud, H.; Howell, P.D.; Stone, H.A. Evaporation of Multiple Droplets. J. Fluid Mech. 2021, 927, R4. [Google Scholar] [CrossRef]
  12. Fairhurst, D.J. Predicting Evaporation Rates of Droplet Arrays. J. Fluid Mech. 2022, 934, F1. [Google Scholar] [CrossRef]
  13. Liu, Q.; Lu, R.; Qiao, Y.; Zhao, F.; Tan, S. Analysis of the Correction Factors and Coupling Characteristics of Multi-Droplet Evaporation. Int. J. Heat Mass Transf. 2022, 195, 123138. [Google Scholar] [CrossRef]
  14. Lacasta, A.M.; Sokolov, I.M.; Sancho, J.M.; Sagué, F. Competitive Evaporation in Arrays of Droplets; American Physical Society: College Park, MD, USA, 1998; Volume 57. [Google Scholar]
  15. Deprédurand, V.; Castanet, G.; Lemoine, F. Heat and Mass Transfer in Evaporating Droplets in Interaction: Influence of the Fuel. Int. J. Heat Mass Transf. 2010, 53, 3495–3502. [Google Scholar] [CrossRef]
  16. Zoby, M.R.G.; Navarro-Martinez, S.; Kronenburg, A.; Marquis, A.J. Evaporation Rates of Droplet Arrays in Turbulent Reacting Flows. Proc. Combust. Inst. 2011, 33, 2117–2125. [Google Scholar] [CrossRef]
  17. Chen, C.K.; Lin, T.H. Streamwise Interaction of Burning Drops. Combust. Flame 2012, 159, 1971–1979. [Google Scholar] [CrossRef]
  18. Kitano, T.; Nishio, J.; Kurose, R.; Komori, S. Effects of Ambient Pressure, Gas Temperature and Combustion Reaction on Droplet Evaporation. Combust. Flame 2014, 161, 551–564. [Google Scholar] [CrossRef]
  19. Castanet, G.; Perrin, L.; Caballina, O.; Lemoine, F. Evaporation of Closely-Spaced Interacting Droplets Arranged in a Single Row. Int. J. Heat Mass Transf. 2016, 93, 788–802. [Google Scholar] [CrossRef]
  20. Cossali, G.E.; Tonini, S. Analytical Modelling of Drop Heating and Evaporation in Drop Clouds: Effect of Temperature Dependent Gas Properties and Cloud Shape. Int. J. Heat Mass Transf. 2020, 162, 120315. [Google Scholar] [CrossRef]
  21. Li, S.; Zhang, H.; Law, C.K. Analysis of Evaporation and Autoignition of Droplet Clouds with a Unit Cell Model Considering Transient Evaporating Boundary Layer. Int. J. Heat Mass Transf. 2023, 214, 124239. [Google Scholar] [CrossRef]
  22. Guo, X.; Wu, J.; Du, X.; Zhang, Y.; Feng, S.; Liu, S. Numerical Simulation of Multi-Nozzle Droplet Evaporation Characteristics for Desulfurization Wastewater. Energy 2022, 15, 5180. [Google Scholar] [CrossRef]
  23. Brackbill, J.U.; Kothe, D.B.; Zemach, C. A Continuum Method for Modeling Surface Tension. J. Comput. Phys. 1992, 100, 335–354. [Google Scholar] [CrossRef]
  24. Lee, W.H. Pressure Iteration Scheme for Two-Phase Flow Modeling. In Multiphase Transport: Fundamentals Reactor Safety Applications; IAEA: Vienna, Austria, 1980; pp. 407–432. [Google Scholar]
  25. Canonsburg, T.D. Ansys Fluent User’s Guide. Knowl. Creat. Diffus. Util. 2012, 15317, 724–746. [Google Scholar]
  26. Irfan, M.; Muradoglu, M. A Front Tracking Method for Direct Numerical Simulation of Evaporation Process in a Multiphase System. J. Comput. Phys. 2017, 337, 132–153. [Google Scholar] [CrossRef]
Figure 1. Schematic of the computational domain for (a) single and (b) two inline moving droplets.
Figure 1. Schematic of the computational domain for (a) single and (b) two inline moving droplets.
Energies 17 05169 g001
Figure 2. Normalized d2 plotted against non-dimensional time for the leading droplet (LD) and trailing droplet (TD): (a) grid independence study and (b) time step independence study.
Figure 2. Normalized d2 plotted against non-dimensional time for the leading droplet (LD) and trailing droplet (TD): (a) grid independence study and (b) time step independence study.
Energies 17 05169 g002
Figure 3. Validation study for a single moving droplet—comparison of the present numerical results with the results of the reference study by Irfan and Muradoglu [26]. (a) Temperature contours at τ = 13.416 and (b) time evolution of normalized d2 plotted against non-dimensional time.
Figure 3. Validation study for a single moving droplet—comparison of the present numerical results with the results of the reference study by Irfan and Muradoglu [26]. (a) Temperature contours at τ = 13.416 and (b) time evolution of normalized d2 plotted against non-dimensional time.
Energies 17 05169 g003
Figure 4. Validation study for two inline moving droplets—comparison of the present numerical results with the results of the Front Tracking code by Irfan and Muradoglu [26]. (a) Temporal variation of the normalized d2 plotted for the leading and trailing droplets. (b) Time evolution of the leading and trailing droplets’ centroid.
Figure 4. Validation study for two inline moving droplets—comparison of the present numerical results with the results of the Front Tracking code by Irfan and Muradoglu [26]. (a) Temporal variation of the normalized d2 plotted for the leading and trailing droplets. (b) Time evolution of the leading and trailing droplets’ centroid.
Energies 17 05169 g004
Figure 5. The contour plots of temperature for two equal-sized inline evaporating droplets moving under the action of gravity with an initial distance ratio (S) of 4, 6, 8, 10, and 12 (from left to right) at (a) τ = 3 and (b) τ = 12.
Figure 5. The contour plots of temperature for two equal-sized inline evaporating droplets moving under the action of gravity with an initial distance ratio (S) of 4, 6, 8, 10, and 12 (from left to right) at (a) τ = 3 and (b) τ = 12.
Energies 17 05169 g005
Figure 6. The temporal evolution of the normalized d2 plotted for different values of initial distance ratio (S) for (a) leading droplet and (b) trailing droplet. The two evaporating droplets are of equal size, arranged inline, and moving under the action of gravity.
Figure 6. The temporal evolution of the normalized d2 plotted for different values of initial distance ratio (S) for (a) leading droplet and (b) trailing droplet. The two evaporating droplets are of equal size, arranged inline, and moving under the action of gravity.
Energies 17 05169 g006
Figure 7. The influence of the initial distance ratio (S) on the time required to achieve overall normalized d2 values of 0.90 and 0.82 for two inline moving and evaporating droplets.
Figure 7. The influence of the initial distance ratio (S) on the time required to achieve overall normalized d2 values of 0.90 and 0.82 for two inline moving and evaporating droplets.
Energies 17 05169 g007
Figure 8. The temporal evolution of normalized d2 plotted for initial distance ratio values of (a) S = 4 and (b) S = 5, indicating the time of coalescence of the two inline equal-sized moving and evaporating droplets.
Figure 8. The temporal evolution of normalized d2 plotted for initial distance ratio values of (a) S = 4 and (b) S = 5, indicating the time of coalescence of the two inline equal-sized moving and evaporating droplets.
Energies 17 05169 g008
Figure 9. The influence of initial distance ratio (S) on the velocity of (a) leading droplet and (b) trailing droplet for two equal-sized inline moving and evaporating droplets. The subfigure (c) presents the velocities of the leading and trailing droplets for S = 4 and S = 12 plotted in the same frame for better comparison.
Figure 9. The influence of initial distance ratio (S) on the velocity of (a) leading droplet and (b) trailing droplet for two equal-sized inline moving and evaporating droplets. The subfigure (c) presents the velocities of the leading and trailing droplets for S = 4 and S = 12 plotted in the same frame for better comparison.
Energies 17 05169 g009
Figure 10. The contour plots of temperature for size ratio (R) values of (from left to right) 0.9, 0.8, 0.7, 0.6, and 0.5 at (a) τ = 3, (b) τ = 6, and (c) τ = 9.
Figure 10. The contour plots of temperature for size ratio (R) values of (from left to right) 0.9, 0.8, 0.7, 0.6, and 0.5 at (a) τ = 3, (b) τ = 6, and (c) τ = 9.
Energies 17 05169 g010aEnergies 17 05169 g010b
Figure 11. The effect of size ratio (R) on the distance L (mm) between the centroids of two inline moving and evaporating droplets.
Figure 11. The effect of size ratio (R) on the distance L (mm) between the centroids of two inline moving and evaporating droplets.
Energies 17 05169 g011
Figure 12. The influence of initial size ratio (R) on the velocity of (a) leading droplet and (b) trailing droplet for two different-sized inline moving and evaporating droplets. (c) It presents the plot of the leading and trailing velocities for R = 0.9 and 0.5 on the same plot for better comparison.
Figure 12. The influence of initial size ratio (R) on the velocity of (a) leading droplet and (b) trailing droplet for two different-sized inline moving and evaporating droplets. (c) It presents the plot of the leading and trailing velocities for R = 0.9 and 0.5 on the same plot for better comparison.
Energies 17 05169 g012
Figure 13. The temporal evolution of the normalized d2 plotted for different values of initial size ratio (R) for (a) leading droplet and (b) trailing droplet. The two evaporating droplets are of different sizes, arranged inline, and moving under the action of gravity.
Figure 13. The temporal evolution of the normalized d2 plotted for different values of initial size ratio (R) for (a) leading droplet and (b) trailing droplet. The two evaporating droplets are of different sizes, arranged inline, and moving under the action of gravity.
Energies 17 05169 g013
Figure 14. The temperature contours plotted for (a) SBA and (b) BSA arrangements for S = 4 and R = 0.5. The columns (left to right) present the contours at τ = 3, 6, 9, and 12 as the droplets move and evaporate in a high-temperature environment.
Figure 14. The temperature contours plotted for (a) SBA and (b) BSA arrangements for S = 4 and R = 0.5. The columns (left to right) present the contours at τ = 3, 6, 9, and 12 as the droplets move and evaporate in a high-temperature environment.
Energies 17 05169 g014
Figure 15. The effect of arrangement pattern on the distance L (mm) between the centroids of two inline moving and evaporating droplets. This study is carried out for S = 4 and R = 0.5.
Figure 15. The effect of arrangement pattern on the distance L (mm) between the centroids of two inline moving and evaporating droplets. This study is carried out for S = 4 and R = 0.5.
Energies 17 05169 g015
Figure 16. The influence of the arrangement pattern on the velocities of leading and trailing droplets, for two different-sized inline moving and evaporating droplets. This study is carried out for S = 4 and R = 0.5.
Figure 16. The influence of the arrangement pattern on the velocities of leading and trailing droplets, for two different-sized inline moving and evaporating droplets. This study is carried out for S = 4 and R = 0.5.
Energies 17 05169 g016
Figure 17. The normalized d2 plotted against non-dimensional time for SBA and BSA arrangements. The subfigure (a) presents the trends for the big droplets, while (b) shows the plots for small droplets.
Figure 17. The normalized d2 plotted against non-dimensional time for SBA and BSA arrangements. The subfigure (a) presents the trends for the big droplets, while (b) shows the plots for small droplets.
Energies 17 05169 g017
Figure 18. The influence of the arrangement pattern on the temporal evolution of the overall d2 plots for S = 4 and R = 0.5.
Figure 18. The influence of the arrangement pattern on the temporal evolution of the overall d2 plots for S = 4 and R = 0.5.
Energies 17 05169 g018
Table 1. Geometrical and thermophysical properties of drops.
Table 1. Geometrical and thermophysical properties of drops.
ParametersSingle Moving DropletTwo Inline Moving Droplets
Eötvös number, Eo105
Morton number, Mo10 × 10 4 5 × 10 4
Stefan number, St0.10.1
Prandtl for liquid phase,   P r l 5.375.37
Prandtl for vapor phase, P r g 11
Density ratio, η55
Viscosity ratio, γ2020
Droplet diameter, do (mm)0.250.25
Surrounding fluid temperature, T (K)480480
Saturation temperature, T s a t (K)373373
Disclaimer/Publisher’s Note: The statements, opinions and data contained in all publications are solely those of the individual author(s) and contributor(s) and not of MDPI and/or the editor(s). MDPI and/or the editor(s) disclaim responsibility for any injury to people or property resulting from any ideas, methods, instructions or products referred to in the content.

Share and Cite

MDPI and ACS Style

Ahmed, M.; Irfan, M.; Khan, M.M. Evaporation Characteristics of Two Interacting Moving Droplets. Energies 2024, 17, 5169. https://doi.org/10.3390/en17205169

AMA Style

Ahmed M, Irfan M, Khan MM. Evaporation Characteristics of Two Interacting Moving Droplets. Energies. 2024; 17(20):5169. https://doi.org/10.3390/en17205169

Chicago/Turabian Style

Ahmed, Muhammad, Muhammad Irfan, and Muhammad Mahabat Khan. 2024. "Evaporation Characteristics of Two Interacting Moving Droplets" Energies 17, no. 20: 5169. https://doi.org/10.3390/en17205169

APA Style

Ahmed, M., Irfan, M., & Khan, M. M. (2024). Evaporation Characteristics of Two Interacting Moving Droplets. Energies, 17(20), 5169. https://doi.org/10.3390/en17205169

Note that from the first issue of 2016, this journal uses article numbers instead of page numbers. See further details here.

Article Metrics

Back to TopTop