Multiphysics Field Coupled to a Numerical Simulation Study on Heavy Oil Reservoir Development via Electromagnetic Heating in a SAGD-like Process
Abstract
1. Introduction
2. Physical Model
3. Mathematical Model
3.1. Equation for Electromagnetic Field
3.2. Equation for Temperature Field
3.3. Equation for Seepage Flow Field
3.4. Temperature Dependence for Reservoir Parameters
3.4.1. The Change in the Reservoir Dielectric Property with Temperature
3.4.2. The Change in the Reservoir Thermal Properties with Temperature
3.4.3. The Change in the Reservoir Rheological Property with Temperature
4. Numerical Simulation Method
5. Case Study
5.1. Characteristics of the Heavy Oil Reservoir
5.2. Convergence and Stability Test of Numerical Simulation
5.3. Analysis of Numerical Simulation Results
5.3.1. Impact of Overlying and Undercover Sandstone
5.3.2. Influence of Electromagnetic Heating on Rheological Properties of Heavy Oil
5.3.3. Sensitivity Analysis of Heavy Oil Production
6. Conclusions
- When the production well is located below the heating well, the greater the well spacing, the higher the cumulative heavy oil production. This is due to the effect of gravity drainage; when the production well is positioned lower, gravity plays a more significant role in aiding heavy oil production. The difference in heavy oil production between different well spacings is within 5%, indicating that well spacing is not the most critical factor affecting heavy oil production for the well spacing range from 2 m to 10 m;
- When the well spacing remains constant, heavy oil production is higher when the heating well is located at the center of the reservoir compared to other positions. This is because when the heating well is centered in the reservoir, the electromagnetic waves dissipate the most energy as they pass through the reservoir, resulting in more uniform heating. In contrast, when the heating well is moved vertically, the presence of overlying and undercover sandstone leads to greater heat loss;
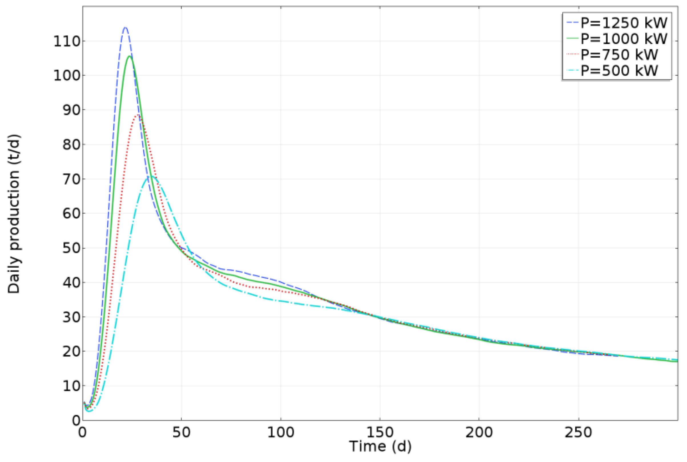
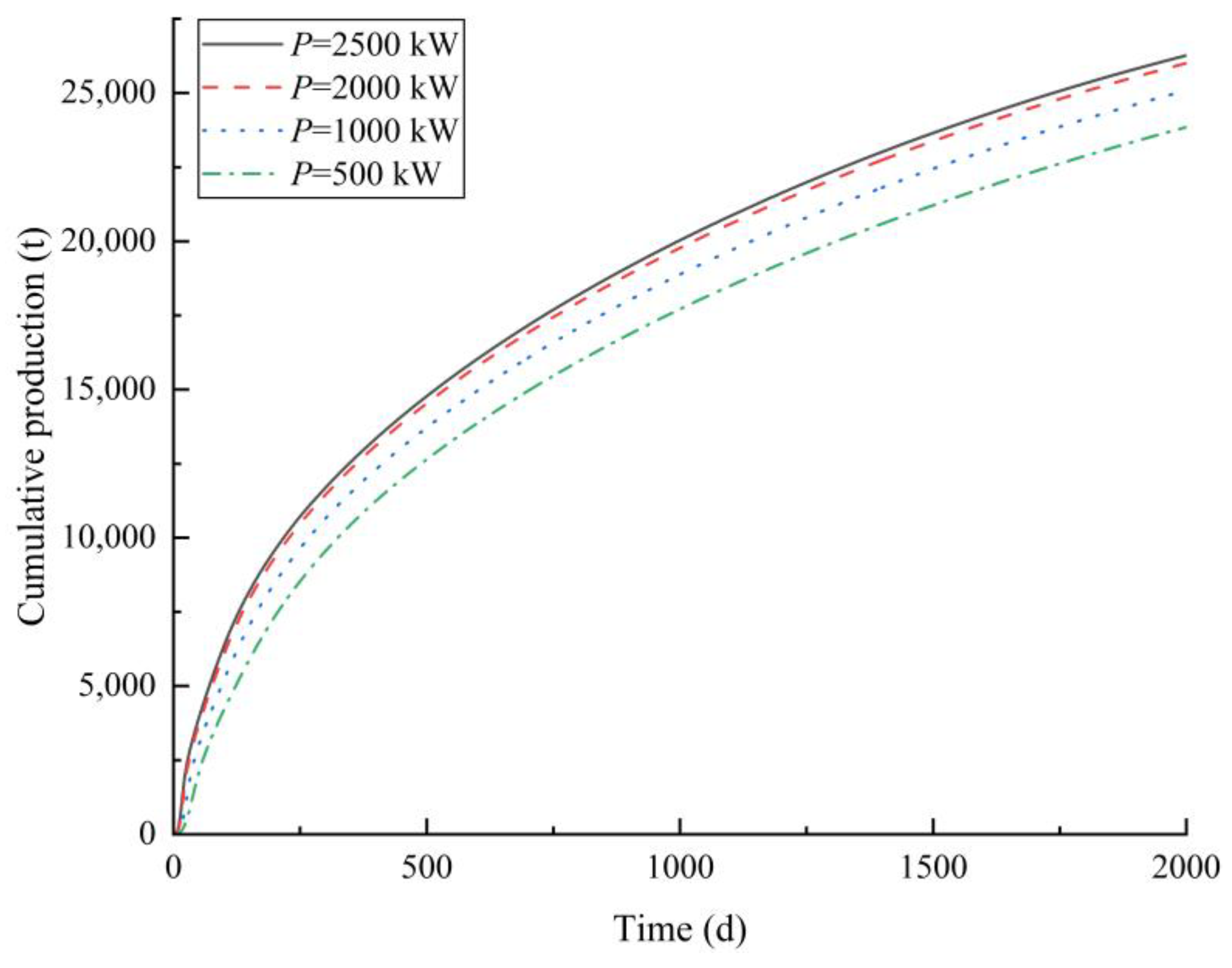
- Increasing the power of electromagnetic heating has a significant effect on enhancing heavy oil production. Higher power leads to higher reservoir temperatures, which in turn results in a greater decrease in heavy oil viscosity and the threshold pressure gradient, thus improving the mobility of heavy oil. However, as the power value increases, its positive effect on the cumulative heavy oil production becomes less sensitive. Therefore, to determine the optimal power range for actual reservoir production, economic and production factors must be considered comprehensively;
- As the frequency of electromagnetic heating increases, heavy oil production initially rises and then declines. Additionally, the impact of frequency on heavy oil production diminishes with increasing frequency. Therefore, based on the changes in heavy oil production at different frequencies, the optimal frequency range can be determined;
- The higher the water saturation of the reservoir, the lower the heavy oil production. This is because water has a higher specific heat capacity than oil. When the reservoir has a higher water saturation, under the same heating conditions, the reservoir temperature is lower, resulting in less improvement in the rheological properties of heavy oil and consequently leading to lower heavy oil production. In addition, it can be known from Equation (22), the effect of initial water saturation change on the volume of oil in the reservoir is not considered in our model. Therefore, the small water saturation will have a more positive effect on the oil production.
Author Contributions
Funding
Data Availability Statement
Conflicts of Interest
References
- Gomaa, S.; Salem, K.G.; El-hoshoudy, A.N. Enhanced heavy and extra heavy oil recovery: Current status and new trends. Petroleum 2024, 10, 399–410. [Google Scholar] [CrossRef]
- Li, H.; Wang, Q.; Wu, Y. Current status and development direction of Low-Carbon exploitation technology for heavy oil. Energies 2023, 16, 2219. [Google Scholar] [CrossRef]
- Zhu, J.; Shi, C.; Dong, C.; Hu, G.; Wang, T.; Yao, Y. Ultra heavy oil production experience in China. Soc. Pet. Eng. 2024, 23, 192302. [Google Scholar]
- Dou, L.; Zhu, Y.; Yang, T.; Xu, S.; Ping, X. Origins of heavy oils in the Erlian Basin\NE China. Mar. Pet. Geol. 1998, 15, 769–781. [Google Scholar] [CrossRef]
- Chen, J.; Zhao, Z.; Deng, C.; Liao, J.; Wang, X.; Wang, P. Formation mechanism of condensates, waxy and heavy oils in the southern margin of Junggar Basin. NW China Sci. China Earth Sci. 2017, 50, 972–991. [Google Scholar] [CrossRef]
- Yu, G.; Lin, T.; Sun, Y.; Sun, Y. Multi-component thermal fluid technology on extra-heavy oil to enhance oil recovery in Bohai Bay of China. Int. Soc. Offshore Polar Eng. 2014, 978, 15–20. [Google Scholar]
- Gomaa, S.; Salem, K.G.; El-hoshoudy, A. Recovery of heavy oil and extra heavy oil; current status, new trends, and enhancement techniques. Petroleum 2023, 10, 15–25. [Google Scholar]
- Zhao, Q.; Guo, L.; Wang, Y.; Jin, H.; Chen, L.; Huang, Z. Enhanced oil recovery and in situ upgrading of heavy oil by supercritical water injection. Energy Fuels 2020, 34, 360–367. [Google Scholar] [CrossRef]
- Upreti, S.R.; Lohi, A.; Kapadia, R.A.; El-Haj, R. Vapor extraction of heavy oil and bitumen: A review. Energy Fuels 2007, 21, 156274. [Google Scholar] [CrossRef]
- He, H.; Li, Q.; Zheng, H.; Liu, P.; Tang, J.; Ma, Y. Simulation and evaluation on enhanced oil recovery for steam huff and puff during the later phase in heavy oil Reservoir-A case study of block G in Liaohe oilfield, China. J. Petrol. Sci. Eng. 2022, 219, 111092. [Google Scholar] [CrossRef]
- Tang, Y.; Ge, Q.; Lun, Z.; Yin, X.; Wu, M.; Ma, T.; Qi, Y.; Zhang, S. EOR Mechanisms and Applications of Thermal Composite Technologiesin Deep Heavy Oil Reserves; Gotech: Dubai, United Arab Emirates, 2024. [Google Scholar]
- Ritchey, H.W. Radiation Heating. U.S. Patent Application No. 2757738, 7 October 1956. [Google Scholar]
- Yao, J.; Liu, W.; Chen, Z. Numerical Solution of a moving boundary problem of one-dimensional flow in semi-infinite long porous media with threshold pressure gradient. Math. Probl. Eng. 2013, 2013, 384246. [Google Scholar] [CrossRef]
- Liu, M.; Zhao, G. A performance comparison study of electromagnetic heating and SAGD process. In Proceedings of the SPE Heavy Oil Conference-Canada, Calgary, AB, Canada, 11–13 June 2013; p. SPE-165547-MS. [Google Scholar]
- COMSOL Multiphysics; C. M. Library: Charlotte, NC, USA, 2016.
- Davletbaev, A.; Kovaleva, L.; Babadagli, T. Heavy oil production by electromagnetic heating in hydraulically fractured wells. Energy Fuels 2014, 28, 5737–5744. [Google Scholar] [CrossRef]
- Khisamov, R.S.; Morozov, P.E.; Khairullin, M.K.; Shamsiev, M.N.; Abdullin, A.I. Simulation of the SAGD process taking into ac-count the threshold pressure gradient. Oil Ind. J. 2018, 8, 48–51. [Google Scholar]
- Wang, Z.; Gao, D.; Fang, J. Numerical simulation of RF heating heavy oil reservoir based on the coupling between electromagnetic and temperature field. Fuel 2018, 220, 14–24. [Google Scholar] [CrossRef]
- Chen, M.; Wang, Z.; Yin, C.; Shan, S. Ultimate drainage radius of cyclic steam stimulation in low-permeability heavy oil reservoirs. J. Shenzhen Univ. Sci. Eng. 2019, 36, 281–288. [Google Scholar]
- Nevmerzhitskiy, Y. Applying Streamline Method for Viscoplastic Oil Flow Simulation. In Proceedings of the SPE Russian Petroleum Technology Conference, Moscow, Russia, 22–24 October 2019; p. SPE-196873-MS. [Google Scholar]
- Wang, Z.; Gao, D.; Diao, B. Comparative performance of electric heater vs. RF heating for heavy oil recovery. Appl. Therm. Eng. 2019, 160, 114105. [Google Scholar] [CrossRef]
- Li, G.; Zhu, Y.; Yang, Z.; Xie, Y.; Jia, M. Numerical simulation research on microwave in-situ heating technology for developing heavy oil in low-permeability reservoirs. Spec. Oil Gas Reserv. 2020, 27, 120–126. [Google Scholar]
- Zhang, Q.; Liu, W.; Taleghani, A.D. Numerical study on non-Newtonian Bingham fluid flow in development of heavy oil reservoirs using radiofrequency heating method. Energy 2022, 239, 122385. [Google Scholar] [CrossRef]
- Xuelin Dong, X.; Duan, Z.; Nie, T.; Gao, D. An analytical model for reservoir temperature during electromagnetic heating based on power transmission. Appl. Therm. Eng. 2023, 219, 119441. [Google Scholar] [CrossRef]
- Zinnatullin, R.R.; Musin, A.A.; Kovaleva, L.A. Study of heating of oil source rocks in a high-frequency electromagnetic field by the method of Physico-Mathematical modeling. High Temp. 2023, 60, 136–139. [Google Scholar] [CrossRef]
- Xiao, J.; Gao, D.; Dong, X.; Feng, C.; Wang, Z. Temperature Distribution of Heavy Oil Reservoirs Under Radio Frequency Heating and Analysis of Influencing Factors. In Proceedings of the 57th U.S. Rock Mechanics/Geomechanics Symposium, Atlanta, GA, USA, 25–28 June 2023. [Google Scholar]
- Dos Santos Heringer, J.D.; de Souza, G.; Amaral Souto, H.P.; Puime Pires, A. On the numerical simulation of non-isothermal heavy oil flow using horizontal wells and horizontal heaters. Braz. J. Chem. Eng. 2024, 41, 179–196. [Google Scholar] [CrossRef]
- Bientinesi, M.; Petarca, L.; Cerutti, A.; Bandinelli, M.; Simoni, M.D.; Manotti, M.; Maddinelli, G. A radiofrequency/microwave heating method for thermal heavy oil recovery based on a novel tight-shell conceptual design. J. Petrol. Sci. Eng. 2013, 107, 18–30. [Google Scholar] [CrossRef]
- Hu, Y.; Wang, Q.; Zhao, J.; Guo, Z.; Zhang, Y. Development of efficiently coupled thermo-hydro-mechanical model to predict hydraulic fracture morphology in heavy oil reservoirs. Environ. Earth Sci. 2018, 77, 778. [Google Scholar] [CrossRef]
- Wang, Z.; Gao, D.; Liu, K.; Tan, T.; Li, W. Study on radio frequency heating pattern of heavy oil reservoir based on multi-antenna configuration. In Proceedings of the SPE International Heavy Oil Conference and Exhibition, Kuwait City, Kuwait, 10–12 December 2018; p. SPE-193774-MS. [Google Scholar]
- Wang, Z. Basic Research on the Downhole Radio Frequency Heating Technology. Ph.D. Thesis, China University of Petroleum (Beijing), Beijing, China, 2020. [Google Scholar]
- Prada, A.; Civan, F. Modification of Darcy’s law for the threshold pressure gradient. J. Petrol. Sci. Eng. 1999, 22, 237–240. [Google Scholar] [CrossRef]
- Wang, S.; Huang, Y.; Civan, F. Experimental and theoretical investigation of the Zaoyuan field heavy oil flow through porous media. J. Petrol. Sci. Eng. 2006, 50, 83–101. [Google Scholar] [CrossRef]
- Liu, W.; Liu, C.; Duan, Y.; Yu, J.; Sun, H.; Yan, X.; Qiao, C.; Yang, Y. Integrated flow model for evaluating maximum fracture spacing in horizontal wells. Phys. Fluids 2023, 35, 023104. [Google Scholar] [CrossRef]
- Chute, F.; Vermeulen, F.; Cervenan, M.; Mcvea, F.J. Electrical properties of Athabasca oil sands. Can. J. Earth Sci. 1979, 16, 9–21. [Google Scholar] [CrossRef]
- Zhang, Q. Study on Compression Properties of Crude Oil Based on Ultrasonic Testing. Master’s Thesis, China University of Petroleum (East China), Qingdao, China, 2017. [Google Scholar]








































| Parameter | Value | Unit |
|---|---|---|
| Model dimension | 2 | |
| Reservoir thickness | 30 | m |
| Reservoir width | 120 | m |
| Horizontal permeability | 3000 | mD |
| Vertical permeability | 180 | mD |
| Initial reservoir temperature | 30 | K |
| Initial porosity | 0.33 | |
| Initial water saturation | 0.3 | |
| Horizontal well length | 1000 | m |
| Density (water, sandstone) | 1000, 1960 | kg/m3 |
| Thermal conductivity (water, sandstone) | 0.58, 7.5 | W/(m·K) |
| Relative magnetic permeability | 1 | |
| Electromagnetic power | 1000 | kW |
| Electromagnetic frequency | 6.8 | MHz |
| Initial pressure | 10.0 | MPa |
| Production pressure | 1.0 | MPa |
| Density compression coefficient | 6.0 × 10−9 | Pa−1 |
| Pore compression coefficient | 1.0 × 10−9 | Pa−1 |
| Parameter | Value | Unit |
|---|---|---|
| Density of sandstone | 1960 | kg/m3 |
| Thermal conductivity | 7.5 | W/(m·K) |
| Relative magnetic permeability | 1.0 |
| Number | Gird Density | Grid Number |
|---|---|---|
| Grid 1# | Very dense | 25,580 |
| Grid 2# | Dense | 7840 |
| Grid 3# | Medium | 3894 |
| Grid 4# | Coarse | 2810 |
Disclaimer/Publisher’s Note: The statements, opinions and data contained in all publications are solely those of the individual author(s) and contributor(s) and not of MDPI and/or the editor(s). MDPI and/or the editor(s) disclaim responsibility for any injury to people or property resulting from any ideas, methods, instructions or products referred to in the content. |
© 2024 by the authors. Licensee MDPI, Basel, Switzerland. This article is an open access article distributed under the terms and conditions of the Creative Commons Attribution (CC BY) license (https://creativecommons.org/licenses/by/4.0/).
Share and Cite
Yu, J.; Liu, W.; Yang, Y.; Sun, M.; Cao, Y.; Meng, Z. Multiphysics Field Coupled to a Numerical Simulation Study on Heavy Oil Reservoir Development via Electromagnetic Heating in a SAGD-like Process. Energies 2024, 17, 5125. https://doi.org/10.3390/en17205125
Yu J, Liu W, Yang Y, Sun M, Cao Y, Meng Z. Multiphysics Field Coupled to a Numerical Simulation Study on Heavy Oil Reservoir Development via Electromagnetic Heating in a SAGD-like Process. Energies. 2024; 17(20):5125. https://doi.org/10.3390/en17205125
Chicago/Turabian StyleYu, Jifei, Wenchao Liu, Yang Yang, Mingkai Sun, Yanfeng Cao, and Zicheng Meng. 2024. "Multiphysics Field Coupled to a Numerical Simulation Study on Heavy Oil Reservoir Development via Electromagnetic Heating in a SAGD-like Process" Energies 17, no. 20: 5125. https://doi.org/10.3390/en17205125
APA StyleYu, J., Liu, W., Yang, Y., Sun, M., Cao, Y., & Meng, Z. (2024). Multiphysics Field Coupled to a Numerical Simulation Study on Heavy Oil Reservoir Development via Electromagnetic Heating in a SAGD-like Process. Energies, 17(20), 5125. https://doi.org/10.3390/en17205125

