Abstract
Metallic electrodes are widely used in many applications, the analysis of their frequency-domain behavior is an important subject, particularly in applications related to earthing/grounding systems, from dc up into the MHz range. In this paper, a numerical evaluation of the frequency-dependent complex impedance of the hemispherical ground electrode is implemented. A closed-form solution for non-zero frequencies is still a difficult task to achieve as evidenced in a previous paper dedicated to the subject and, therefore, numerical approaches should be an alternative option. The aim of this article is to present a solution based on a numerical method using finite element analysis. In typical commercial FE tools, electric currents exhibit azimuthal orientation and, as such, the magnetic field has a null azimuthal component but non-null axial and radial components. On the contrary, a dual problem is considered in this work, with a purely azimuthal magnetic field. To overcome the difficulty of directly using a commercial FE tool, a novel formulation is developed. An innovative 2D formulation, the ι-form, is developed as a modification of the H-formulation applied to axisymmetric magnetic field problems. The results are validated using a classical 3D H-formulation; comparisons showed very good agreement. The electrode complex impedance is analyzed considering two different cases. Firstly, the grounding system is constituted by a hemispherical electrode surrounded by a remote concentric electrode; in the second case, the grounding system is constituted by two identical thin hemispherical electrodes. Computed results are presented and discussed, showing how the grounding impedance depends on the frequency and, also, on the radius of the remote concentric electrode (first case) or on the distance between the two hemispherical electrodes (second case).
1. Introduction
This paper is a follow-up of the work in [1], which aimed to deliver a closed-form analytical formula for the grounding impedance of a hemispherical electrode, accounting for the resistive and reactive contributions of the ground medium. As referred to in [1], the importance of the theme is supported by an enormous variety of applications where metallic electrodes are used, namely for the characterization of soils in geophysics and civil engineering [2,3]; for the characterization of tissue properties and sensing applications in biophysics and bioengineering [4,5,6]; and for grounding purposes aimed to provide electric protection to people and infrastructures in electrical engineering, [7,8,9].
The calculation of the frequency-dependent impedance of grounding systems [10,11,12,13,14] is of unquestionable importance in power systems analysis, namely in overhead power lines [10,11,12,13] and in wind turbines [14], whose towers are discretely bonded to the earth through grounding electrodes. Advanced research work on transient analysis and lightning studies cannot avoid considering the high-frequency behavior of tower grounding effects.
As we mentioned in [1], the hemispherical ground electrode is rarely utilized in real grounding systems; it is primarily an academic object intended to easily introduce the topic of earthing/grounding to electrical engineering students. Its trivial geometry provides a relatively simple set of differential equations (a subset of Maxwell equations) applicable to dc and ac regimes. Because of its simplicity, the hemispherical electrode may provide a solid benchmark for the testing of software programs aimed at the simulation of grounding systems.
An analytical solution for the complex impedance of a single hemispherical electrode using a field formulation in spherical coordinates was attempted in [1] in the form of an infinite summation of spherical harmonics. Such a solution was not successful. The matrix procedure for the determination of the summation’s coefficients (by enforcing the boundary conditions) led to ill-conditioned matrices. The convergence of the infinite summation was not ensured. In fact, for non-zero frequencies, the electrode complex impedance Z(ω) diverged to infinity.
In this paper, a purely numerical approach is utilized to cope with the hemispherical electrode, not alone, but considering the presence of a remote concentric electrode (for the return current) with an arbitrary radius. The electromagnetic field solution is determined using the finite element method (FEM) to solve the appropriate fundamental field equation for axisymmetric geometries. The numerical approach allows the electrode grounding impedance to be computed as a function of the frequency for any finite value of the radius of the remote concentric electrode.
Numerical evaluations of the frequency-dependent impedance of grounding electrodes have been mainly based on the finite element method (FEM) [10,11,12] included in the software packages COMSOL [12] and HFSS based on the method of moments (MoM) included in the packages NEC [14], HFSS, FEKO [13] and IE3D and based on the finite difference time domain (FDTD) method included in the package CST. The MoM is able to deal with segmental grounding electrodes, the FDTD is able to deal with full-wave electromagnetic problems in the time domain and, finally, the FEM is able to deal with electrodes with general configurations in the frequency domain for quasi-static or full-wave electromagnetic problems. In this way, for the present case of hemispherical electrode configurations, where Maxwell’s equations are solved in the frequency domain including the full-wave solution, the FEM must be elected as the most adequate numerical method.
The finite element (FE) analysis is based on the magnetic field formulation (H-formulation) in a 2D approach, which is able to deal with the purely axisymmetric configuration where the magnetic field is completely described by its cylindrical azimuthal component. Some authors also use the electric field formulation (E-formulation) [10,11]. The H-formulation is not new and has been applied to multiple problems [15,16], and it has been often used for modeling electromagnetics in high-temperature superconductor applications [17].
However, in typical commercial FE tools for 2D axisymmetric geometries, the H-formulation does not allow the calculation of magnetic fields with azimuthal direction. Therefore, in this paper, a new formulation, the ι-form, a variation of the H-form, is developed and validated using commercial FE tools. To validate the novel formulation, a heavy computational 3D H-formulation is used. While the results are similar, the ι-form can achieve precise results with much lower computational times.
The issue of soil material properties is very important, but it is not crucial for the electromagnetic model itself (built from Maxwell’s equations). Once a scientifically sound model is found, it may incorporate all kinds of expressions for the electric conductivity and permittivity as a function of frequency [10,11,12,13], as a function of water content (moisture) [10,11] or even take into account soil stratifications [12]. In this paper, we took the simplest case of constant electric conductivity, permittivity and magnetic permeability, as in [14].
The calculation of the dc grounding resistance of the hemispherical electrode is trivial. However, its generalization to non-zero frequencies is missing. The calculation of the complex frequency-dependent grounding impedance of hemispherical electrodes is a question that has never been addressed in the literature from a rigorous field-theory point of view. Many electrode models in use nowadays employ simple circuital approaches, ignoring the effect of the inductance, the skin effect and eddy currents. Our results, based on field theory, clearly show that in electrode modeling, the inductive part of the grounding impedance (related to the magnetic energy in the soil) ought to be taken into account; the inductive contribution is much more important than the capacitive counterpart.
This work is organized into five sections, the first one being introductory.
Section 2 presents the developed FEM 2D H-formulation (the ι-form), which is installed into the software tool COMSOL v.6.0 to solve the frequency-domain Maxwell equations for axisymmetric electromagnetic field problems. Frequency-domain differential equations for the field component in cylindrical coordinates are established, satisfying the appropriate boundary conditions. In this paper, the grounding system is solved for two geometries: the first is composed of a hemispherical electrode surrounded by a remote concentric electrode; the second is composed of two equal thin hemispherical electrodes.
Section 3 presents the impedance evaluation for the case of a hemispherical electrode surrounded by a remote concentric electrode. Boundary conditions are particularized and enforced at the electrode surface, at the air/ground interface and at the remote concentric electrode, the latter defining the fictitious truncation boundary used for the numerical treatment of the open boundary problem of the hemispherical ground electrode with return current at infinity. The impedance evaluation is based on the complex Poynting’s theorem, starting from the primary solution obtained by the FEM solver. The results show how the impedance depends not only on the frequency but also on the exterior radius of the remote concentric hemispherical electrode. The FEM calculations corroborate the conclusion that the resistance and the inductance are ever-increasing functions of the remote electrode radius, for any frequency, confirming that the unbound spatial field problem does not have physical meaning. The observed impedance evolution against frequency follows the typical behavior exhibited by conducting media subjected to the skin effect, the soil, in the present case. Validation is performed using a classic complete 3D vector H-formulation run in a commercial FEM program.
Section 4 is concerned with the impedance of a grounding system composed of two identical hemispherical electrodes at some distance from each other—a truly realizable configuration. The solution is presented for the case of “thin electrodes”, which can be solved by superposition of two field solutions like the one dealt with in Section 3 (considering that the radius of the remote electrode is very large). Computed results are presented, showing how the impedance depends on the frequency and the distance between the electrodes.
Section 5 is dedicated to a discussion of the results and conclusions.
2. FE Analysis in the Frequency Domain
The problem of the impedance evaluation of a hemispherical ground electrode is described in [1] and depicted here in Figure 1. A perfect electric conductor (PEC) hemisphere of radius a is buried just below the ground surface.
Figure 1.
Electrode geometry and cylindrical space coordinates (ρ, φ, z).
An axisymmetric configuration for the field is assumed due to the rotational invariance around the z-axis. Given the electrode’s geometry, cylindrical coordinates (ρ, φ, z) will be employed. All the electromagnetic field components are independent of the azimuthal angle φ. As in [1], the air (above the ground) is assumed to be a non-conducting medium. The air/ground interface is a flat plane, and the soil is assumed to be a linear, isotropic, non-magnetic, homogeneous medium with constitutive parameters characterized by the electric conductivity σ, the permittivity ε and the magnetic permeability μ0.
In this problem, as in [1], the magnetic field intensity H is enforced to be purely azimuthal:
As in [1], the current intensity i(t) injected into the ground through the electrode can be defined as
Also, as in equation (2b) of [1], the electrode voltage along the ground surface is unambiguously defined through
For time-harmonic regimes with angular frequency ω, the current intensity can be written as with . Similarly, the electrode voltage can be written as The ratio of the complex amplitudes defines the electrode complex impedance:
The fundamental frequency-domain field equations inside the soil can be written as
where the overbars are intended to denote complex amplitudes (phasors) of the sinusoidal time-varying fields they represent, e.g., In (5), denotes the complex amplitude of the electric field intensity and τ is the soil relaxation time.
The so-called H-formulation [15,16,17] for the electromagnetic field is a consequence of the previous fundamental field equations:
The constant κ may be written as a function of the field penetration depth δ, which is a parameter used to quantify the skin effect in the soil:
For good conducting media, where , the constant κ may be approximated to
Note that for a typical soil, with S/m and ε = ε0, the condition is fulfilled by frequencies up to 10 MHz (ωτ = 0.06 for f = 10 MHz).
The H-formulation is the one appropriate to treat this problem due to the single-component property of the magnetic field, as described in (1), which allows Equation (6) to be transformed from a vector equation into a scalar equation. Eventual spurious solutions with non-zero magnetic field divergence that can appear in the general electromagnetic field cases treated with the H-formulation [15] cannot appear here due to the assumption, in (1), that the magnetic field is azimuthally oriented with closed lines.
In commercial finite element software, very versatile formulations are typically available, such as the H- and A- formulations. However, for 2D-axisymmetric problems, these formulations assume an azimuthal direction for the electric currents, , which leads to in the H-formulation and in the A-formulation. Therefore, this field configuration is not suitable for the computation of the grounding impedance of hemispherical electrodes, where holds instead. One solution can be the utilization of a 3D model with all components of H and A present; however, this drastically increases the computational time due to the large number of degrees of freedom and the number of mesh elements. To overcome the difficulty of directly using a commercial FE software tool, a novel formulation is developed as a modification of the classical H-form.
We now introduce the following scalar function called current function denoted by ι
The current function at every point P(ρ, z) is interpreted as the current flowing through the circle of radius ρ, at depth z, with the unit normal along the positive z.
Now, in cylindrical coordinates, Equation (6) may be written as
Using the divergence and gradient differential operators, Equation (10) may be rewritten as
Equation (11) describes the differential formulation for the field defining what, in this paper, we call “the ι-form”. The solution of Equation (11) exists and is unique if, and only if, Dirichlet or Neumann boundary conditions are imposed on the boundary of the space domain or a linear combination of both is imposed.
The differential formulation for the field is able to build a solution using analytical methods, namely through the method of separation of variables. Applying the latter to Equation (10) yields the following form for the solution:
where is the Bessel function of order 1 and argument x. The function may be considered as a transform to be obtained from the appropriate boundary conditions of the problem.
In this work, like in [1], an analytical solution for the field was also attempted. While in [1], spherical coordinates were chosen, here, cylindrical coordinates are used. The new attempt at an analytical solution, with the form of a transform integral (12), is defined by sweeping the spatial frequency and involving an exponential function, giving the electromagnetic field penetration into the soil modulated by a Bessel function of the first order in the radial direction. The function is evaluated numerically at discrete points in correspondence with discrete space points distributed over the problem’s boundary, where boundary conditions are imposed, in analogy with the procedure for discrete Fourier transforms.
The possibility of obtaining a field solution based on Equation (12) was explored. Unfortunately, again, as in [1], the analytical formulation in (12) failed to produce a closed-form solution and failed to produce a valid numerical solution owing to its non-convergent behavior (ill-conditioned matrices showed up again when boundary conditions were enforced). This conclusion is not surprising. The single hemispherical ground electrode in an unbounded medium is a non-real configuration. As already discussed in [1], the injection of currents of non-zero frequency would require an infinite amount of power. This conclusion must stand irrespectively of the space coordinates utilized in the analysis of the problem, spherical, cylindrical, or other.
Therefore, the field solution of the hemispherical electrode must be obtained by resorting to a purely numerical method, using the finite element method (FEM), considering the presence of a remote second electrode (for the current return). To that end, a variational formulation for the field was developed and installed into a software tool (COMSOL v6.0) to solve Equation (11). The problem may be solved as a 2D axisymmetric field problem described in Figure 2, where the space domain S is the cross-section of a generalized toroid or ring around the axis of symmetry and is limited by the boundary surface defined by the rotation of the closed path s, where is the outward normal unit vector and is the tangential unit vector.
Figure 2.
Representation of the cross-section S bounded by the closed path s = s′s″ of a generalized toroid placed around the axis of symmetry z.
The path s is divided into segments applying the partition s = s′s″. Along s′, a Dirichlet boundary condition is imposed (the function is known); along s″, a Neumann boundary condition is imposed (the outward normal derivative of , i.e., , is known). In Appendix A, we showed that a Neumann condition is equivalent to imposing the tangential component of the current density on the boundary, . Moreover, in the same Appendix, the following functional , with energetic physical meaning, is derived for an appropriate variational formulation [18]:
The functional consists of a weak form, where the Dirichlet boundary condition imposed in part s′ has the character of an essential condition and the Neumann condition imposed in part s″ is a natural condition.
3. Grounding Impedance of a Pair of Concentric Hemispherical Electrodes
The concept of grounding impedance of a pair of concentric hemispherical electrodes is illustrated in Figure 3.
Figure 3.
Grounding impedance Z of a system of two concentric PEC hemispherical electrodes.
The application of the FE field analysis described in Section 2 for the hemispherical ground electrode is concretized in Figure 4, where the space domain S coincides with the soils’ cross-section bounded by the closed path s constituted by the electrode surface of radius a, the axis of symmetry z, the fictitious remote concentric hemisphere of radius rext and the air/ground plane. The exterior remote boundary performs the role of the fictitious truncation boundary for the numerical treatment of the open boundary unlimited spatial problem. On the air/ground plane, considered a perfect dielectric boundary, a Dirichlet boundary condition is imposed:
Figure 4.
Representation of the space domain S and of its boundary constituted by the closed path s applied to the problem of the hemispherical ground electrode.
On the electrode surface and on the remote hemisphere of radius rext, considered as perfect electric conductor (PEC) boundaries, the tangential component of the current density is zero:
On the axis of symmetry z, the magnetic field is null and another Dirichlet boundary condition is imposed:
In this way, part s′ of the closed path s is composed of the union of the axis of symmetry with the air/ground plane and part s″ is composed of the union of the electrode surface and the fictitious exterior hemisphere of radius rext.
3.1. Impedance Calculation
The key target of this paper is the characterization of the complex impedance of the hemispherical electrode system. The impedance may be evaluated by using the complex Poynting’s theorem [19]. The complex power is given by the convergent flux of the complex Poynting vector through the boundary surface of the ground volume with cross-section S depicted in Figure 4; in the ρ–z plane, such a boundary is represented by the closed path s.
The complex impedance Z can be obtained from
where Irms denotes the root mean square value of the injected sinusoidal current i(t).
The integral in (17) along the path s has no contributions along the electrode surface and along the remote concentric hemispherical surface of radius rext (the electric field tends to be orthogonal to both surfaces); a null contribution is observed as well along the axis of symmetry z where the magnetic field vanishes. The only non-null contribution for (17) occurs along the air/ground plane (z = 0) where the Poynting vector is z-directed, antiparallel to the outward normal , that is,
Taking into account the relation between H(ρ, z = 0) and the injected current i given in (2), we find
Finally, the impedance defined in (18) confirms the result of (4) for the limit for, in fact, from (20), we have
where is the complex amplitude of the electrode voltage at the earth surface defined in (3), marked in Figure 3. When rext is finite (which is always the case in numerical implementations), represents the complex amplitude of the voltage measured along the earth surface from a point on the electrode of radius a to a point on the electrode of radius rext.
Taking into account the fundamental field equation in (5), the radial component of the electric field on the plane z = 0, , can be expressed as a function of , which is the primary output of the FEM solver
The z-derivative in (22) and the ρ-integral of (21) are evaluated numerically using the algorithms included in the utilized software tool.
3.2. Numerical Results
The results are obtained for a hemispherical electrode (Figure 4) of radius a = 1 m buried just below the air/ground interface in the presence of a remote concentric hemispherical electrode of radius rext. Although rext is a variable parameter, for discussion purposes, most of the time, a basis value rext = 100 a will be adopted.
The ground is considered a linear, isotropic, homogeneous medium, electromagnetically characterized by the permittivity ε = ε0, the magnetic permeability μ = μ0 and the electric conductivity σ = 0.01 S/m.
For analyzing the behavior of Z(ω), we will consider a frequency range from f = 0 (steady state) to the high frequency limit of f = 10 MHz, the latter value being a typical maximum value for transient responses in power transmission systems such as those due to lightning, switching or faults. Note that for frequencies less than 10 MHz, the quasi-static approximation is applicable, and the term ωτ in (7) is negligibly small (less than 0.06). For this reason, from now on, we will take in (5).
The finite element mesh used for the numerical computations is shown in Figure 5. The mesh is finer on the top (near the air/ground plane) to more adequately take into account the electromagnetic field penetration into the soil from the surface. The mesh size starts with 0.4 m (at z = 0). The criterion adopted to define the initial mesh size was to consider it much less than the electromagnetic penetration depth δ into the soil, that is, δ > 1.6 m for f < 10 MHz. For larger values of z, deeper in the soil, the mesh size is progressively increased.
Figure 5.
The finite element mesh (a) adopted for the grounding system constituted by the hemispherical electrode of radius a = 1 m and the remote concentric electrode of radius rext = 100 m. A zoom-in is presented in (b) for .
Figure 6 shows the instantaneous current density lines of J in the ρ–z plane. These lines were calculated from the current function ι defined in (9) obtained as the output of the FEM solver as the contour lines of the instantaneous values of the function ι. As shown in Appendix B, the current density lines satisfy the condition:
Figure 6.
Instantaneous current density lines in the ρ–z plane, with normalized increments of . Results are shown for 50 Hz, 1 MHz and 10 MHz, in (a–c), respectively. Subplots on the left depict the current lines when the injected current is at a maximum value (t = 0, i = I, di/dt = 0), and subplots on the right depict the current lines occurring when the injected current goes through zero from negative to positive values .
The graphical plots of the current density field lines inside the soil were obtained considering normalized current increments of , where I is the peak value of the electrode current. The results are shown for 50 Hz, 1 MHz and 10 MHz, in Figure 6a–c. Subplots on the left represent snapshots of the current lines at time instants when the injected current reaches its peak value and its time derivative is zero. Subplots on the right represent snapshots of the current lines at time instants when the electrode current is zero and its time derivative reaches its peak value.
The results in Figure 6 clearly illustrate the consequences of the skin effect for increasing frequencies: the penetration of the electromagnetic field diminishes; field lines tend to concentrate near the air/ground plane; induced currents with closed field lines circulate in the soil (eddy currents) especially at 10 MHz (curves (c)). Note that at 50 Hz (curves (a)), the solution is still characterized by the approximation to the steady-current case, with quasi-radial currents emanating from the center.
In the following analysis, the results for the grounding impedance, resistance, inductance, and reactance are obtained and presented in normalized form:
where Rn and Xn are the normalized values of the resistance and reactance, respectively, and Rdc is the steady-state resistance, given by [1],
Figure 7 shows the normalized resistance Rn and the normalized inductance Ln as a function of the radius rext of the remote electrode. The inductance is normalized to Ldc, and the steady-state inductance for the basis case rext/a = 100, given by [1], is
Figure 7.
Normalized resistance and inductance as a function of the radius rext of the concentric remote electrode. Normalization values are Rdc = 15.9 Ω for the resistance, and Ldc = 7.73 μH for the inductance. The inductance is evaluated using the definition L = X/ω.
Two methods can be utilized for the evaluation of the inductance L.
Method 1, utilized in Figure 7, is the simplest; the inductance is calculated from the ratio reactance/angular frequency, that is
Method 2 is based on the magnetic energy:
where (Wm)av is the average value of the magnetic energy stored in the volume limited by the two concentric hemispheres of radii a and rext.
The integration domain S is depicted in Figure 4. Equality between the inductance values obtained by the methods in (27) and (28) is tantamount to the verification of the complex Poynting’s theorem [19] relative to the imaginary part of the complex power (reactive power) and will be used for the validation of our numerical results.
For the smallest values of the frequency, method 2 (28) is more accurate than method 1 (27). The numerical error tends to be more significant for the frequency range of the steady-state approximation in method 1 because of very small values for the reactance compared with the resistance, together with the inherent error due to the numerical evaluation of the derivative of the primary quantity in (22) whose imaginary part has very small values; on the other hand, method 2 (28) directly involves the amplitude of the primary quantity The numerical deviation between the two methods tends to increase with rext.
The results of Figure 7 confirm the expected steady-state behavior: the resistance tends to have a finite value, as given in (25), and the inductance increases proportionally to rext. For non-zero frequencies, both the resistance and the inductance increase with rext tending to infinity when . These results prove that the unbounded spatial problem of the hemispherical grounded electrode with the return current at infinity does not have physical meaning, as commented in [1].
As higher and higher frequencies are considered, we see that the resistance increases rapidly with rext, but the inductance, on the contrary, increases slowly with rext. This is because the derivative in (22) tends to a constant value when . This constant value depends on the frequency, increasing with it. In this way, taking (22) into account, we verify that the surface voltage in (21) tends to infinity with the logarithm of rext and, consequently, the resistance also tends to infinity but is multiplied by the real part of the derivative of the current function ι, . This behavior also reflects the increasing of Joule losses with rext.
The inductance increases with rext because the space volume for magnetic energy storage increases with rext; however, the rate of increase diminishes as the magnetic field is expelled from deep in the soil, confined by the skin effect, when higher and higher frequencies are considered.
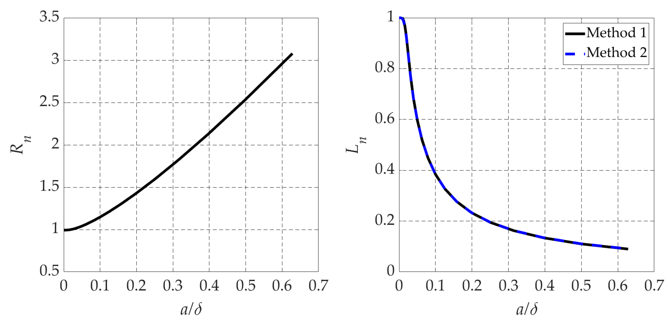
Figure 8 illustrates the frequency dependence of the normalized resistance and inductance for fixed rext (rext/a = 100). Note, from (7), that the abscissa a/δ is proportional to The two methods, method 1 indicated in (27) and method 2 indicated in (28), are used to calculate the inductance. Deviations less than 0.4% are found to exist between the two approaches for the worst case of the smallest values of the frequency. As already mentioned, the discrepancies between the two methods aggravate when larger values of rext are considered (differences, at very low frequencies, can exceed 30% for rext/a > 1000 with the same node density of the FEM meshes used for all different values of rext).
Figure 8.
Normalized resistance and inductance against the ratio a/δ, with rext constant equal to 100 a. Normalization values are Rdc = 15.9 Ω for the resistance and Ldc = 7.73 μH for the inductance. Method 1 (Equation (27)) and method 2 (Equation (28)) were used to evaluate the inductance.
The graphs in Figure 8 illustrate the typical variation of the resistance and inductance against frequency usually observed in skin effect phenomena.
For validation purposes, we recalculated the normalized resistance and inductance using a classical complete vector H-formulation in a 3D approach, employing a FEM software tool (COMSOL v6.0). The new results (red circles) are presented in Figure 9. Deviations smaller than 4.5% were observed within the entire frequency range. As an example, at 10 MHz, considering the hemispherical electrode with radius a = 1 m and considering the truncation related to the remote PEC hemispherical boundary of radius rext = 100 m, the computation time is 33 min and 35 s using a complete vector 3D H-formulation but only 4 s using the developed 2D ι-formulation; both computations were performed on a notebook Intel(R) Core(TM) i7- 6700HQ CPU, 2.60 GHz, RAM: 16 GB, four cores.
Figure 9.
Normalized resistance and inductance against the ratio a/δ (for rext = 100 a) obtained using our ι-form method—solid lines. Red circles, for f = 50 Hz, 100 kHz, 1 MHz and 10 MHz, were obtained employing a complete vector 3D H-form, for comparison purposes.
Complementarily, we offer in Figure 10 the graphs of the normalized resistance and reactance as a function of a/δ. The new and interesting aspect is that both curves tend to the same asymptote with a linear variation with slope , identified in Figure 10 by a dotted line. This behavior is a characteristic of skin effect phenomena, as during the penetration of the electromagnetic field into a conducting plane, where for high frequencies the reactance X equals the resistance R, both vary linearly with . The slope depends on the value of rext, as can be concluded from the results shown in Figure 7. In the present case, with rext/a = 100, the slope of the asymptote was numerically verified to be equal to 4.6. Note that the physical meaning of this result is that, for strong skin effect , the soil around the electrode behaves like a hollow disk with internal radius a, outer radius rext, and thickness δ, where
Figure 10.
Normalized resistance and reactance as a function of the ratio a/δ. The normalization value is equal to Rdc = 15.9 Ω. The asymptote (dotted line) corresponds to the limit case R = X when δ tends to zero (strong skin effect).
The slope of the variation of Rn and Xn against a/δ, for a fixed value of a, is given by
whose value coincides with 4.6 for rext/a = 100. These results support the low-frequency approximation as the steady-state solution discussed in [1] and the strong skin effect approximation given by (29). For f = 10 MHz, the error for the strong skin effect approximation is less than 5%.
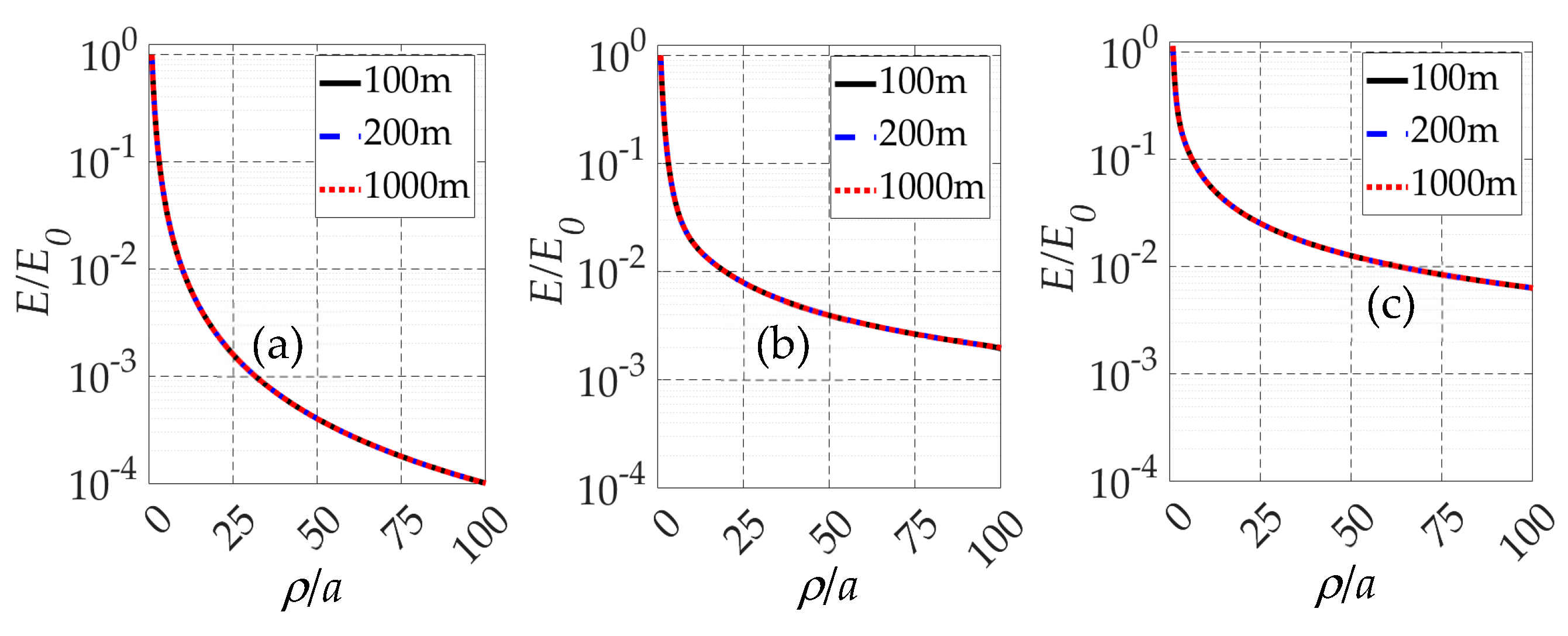
To conclude this Section, we turn our attention to the tangential electric field E(ρ) observed at the air/ground interface (z = 0). We want to check not only how it varies with ρ but also how it depends on the radius of the remote electrode.
Figure 11 depicts the profile of the ρ component of the instantaneous electric field intensity E on the air/ground interface at the instant t = 0 when the injected current reaches its maximum value. The results are normalized to the steady-state electric field intensity E0 on the electrode surface, given by [1],
where I is the peak value of the injected current (if I = 1 A, then E0 = 15.9 V/m). The results are provided for three different values of the frequency, curves (a) for f = 50 Hz, curves (b) for f = 1 MHz and curves (c) for f = 10 MHz.
Figure 11.
Profile of the normalized ρ component of the instantaneous electric field intensity E/E0 on the air/ground interface in logarithmic scale at the instant t = 0 when i = I. Results were obtained for f = 50 Hz (a), f = 1 MHz (b) and f = 10 MHz (c), considering various values of the outer radius, rext = 100 m, 200 m and 1000 m.
Each subplot was obtained for different values of the outer radius rext = 100 m, 200 m and 1000 m; the 3 curves are almost indiscernible. The results clearly show that the profiles are stable, practically independent of the radius rext. Curves (a) for 50 Hz show that the E-field profile follows approximately a 1/ρ2 law as in the steady-state case. For higher frequencies, the E-field still decreases with ρ but not so rapidly. In any case, for the range of frequencies analyzed here, up to 10 MHz, one may say that the electric field can be considered negligibly small (less than 1.3% of E0 for ρ > 50 a).
4. Grounding Impedance of a Pair of Identical Hemispherical Electrodes
The configuration in Figure 3 with two concentric hemispherical electrodes, dealt with in Section 3, may seem a bit out of reality as far as grounding systems are concerned. But that is not exactly true. In fact, the theory and results in Section 3 are key tools to address the issue of the evaluation of the complex impedance of a real and realizable grounding system made of two identical hemispherical electrodes of radius a separated by a given distance d (assumedly large), as represented in Figure 12.
Figure 12.
Grounding impedance Z of two identical PEC hemispherical electrodes.
For the electrodes should be considered “thin electrodes”, meaning that the equivalent point current sources (method of images) may be approximately considered to be located at the hemisphere centers.
For electrostatic regimes, the theory of the method of images for two charged spheres states that the field solution can be built from the superposition of an infinite, discrete number of point charges located inside each spherical electrode at different points from the sphere center to its periphery as the image’s order is increased [20]. For the “thin electrode” approximation, only the first-order point charges are considered (located at the sphere centers). The second-order image inside one of the electrodes is the image of the point charge located at the center of the other electrode. This second-order image charge is located at a distance b = a2/d from the sphere center, and the point charge magnitude is given by a/d times the total charge [20,21]. Therefore, in our case, we can neglect all the images and consider the total current source located at the sphere center with an error of less than 2% for d/a > 50.
For non-zero frequencies, computed values of E(ρ = d)/E(ρ = a) at z = 0 confirm the validity of the above-referred approximation with point current sources at the sphere centers. The field of each electrode can be neglected at the location where the other electrode is placed with an error of less than 1.3% even for the worst case of f = 10 MHz.
In other words, the solution may be found by the superposition of two equal solutions, each one centered in each electrode, of the type examined in Section 3 (where each electrode of radius a is surrounded by a fictitious concentric electrode of radius rext larger than d), that is,
where the currents (indicated in Figure 12) are the sources of the electric field in Equation (22) and , as stated in (14).
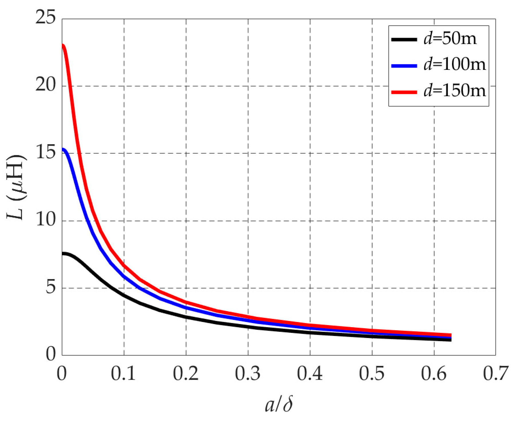
The solutions for the inductance L, resistance R and reactance X of the pair of hemispheres have frequency-dependent behaviors that are totally identical to those depicted in Figure 8 and Figure 10. The curves in Figure 13 and Figure 14 for L, R and X, as functions of the ratio a/δ, were obtained from primary field quantities computed by taking rext = 1000 m. In those figures, the following absolute values are observed:
where Rmin is the minimum value of the resistance and Lmax is the maximum value of the inductance. Note that the inductance plotted in Figure 13 was evaluated using method 2 in (28).
Figure 13.
Inductance L as a function of the ratio a/δ of a pair of identical hemispherical electrodes with distance d as a parameter, for d = 50 m, 100 m and 150 m.
Figure 14.
Resistance R and reactance X as a function of the ratio a/δ of a pair of identical hemispherical electrodes for different values of the electrodes’ separation, d = 50 m (a), d = 100 m (b) and d = 150 m (c). The asymptotes (dotted lines) represent the limits of both R and X when δ tends to zero (strong skin effect).
5. Discussion and Conclusions
In a previous paper dedicated to the single hemispherical ground electrode [1], an analytical formula involving spherical harmonics for the frequency-dependent complex impedance was obtained; however, not only could its expression not be written in closed form, but also it diverged to infinity for non-zero frequencies.
In this paper, another analytical solution for the field was tried in cylindrical coordinates with the form of a transform integral defined by sweeping a spatial frequency and involving an exponential function giving the electromagnetic field penetration into the soil modulated by a Bessel function along the radial direction. Difficulties like those found in [1] were again encountered in this new attempt at an analytical solution.
The solution to the problem must in fact be obtained through a purely numerical method using the finite element method. To that end, a variational formulation for the field was developed and installed into a software FEM tool (COMSOL v6.0) to solve Equation (11). In this way, a novel formulation, called ι-form, was presented to address 2D axisymmetric magnetic field problems which can only be handled by typical commercial FE tools using time-consuming H-formulations with 3D approaches. Speed computation is a very important feature regarding optimization or sensitivity analysis purposes. The ι-form is shown to be the appropriate formulation when the magnetic field is described by a single component—the azimuthal component for the case of the hemispherical grounding electrode. The results’ accuracy was validated using a commercial FEM program performing a classical complete vector 3D H-form; comparisons show very good agreement.
The results obtained in this work allow the following conclusions:
- -
- The impedance, resistance, reactance and inductance of the hemispherical ground electrode (surrounded by a concentric fictitious remote electrode required for current return) critically depend on the radius rext of the remote electrode. For the steady state, f = 0 and increasing rext to infinity leads to a well-known finite value of the resistance (25); however, the inductance, proportional to rext, diverges to infinity (26). This conclusion was already anticipated in [1]. For non-zero frequencies, both the resistance and the inductance increase towards infinity with rext. For the resistance, the variation rate increases with the frequency, while the rate decreases for the inductance.
- -
- The resistance and reactance increase with the frequency tending both to the same asymptote (strong skin effect approximation), which varies linearly with The inductance decreases with the frequency and for the strong skin effect approximation, it becomes proportional to δ.
- -
- The strong skin effect approximation is described by an equivalent hollow disk of thickness δ (the depth of penetration of the field in the soil), with internal radius a and outer radius rext.
The analysis of the single hemispherical electrode, with particular emphasis on the determination of its electric field profile along the air/ground interface, together with the application of the superposition principle, finally allowed for the computation of the finite complex impedance of the realizable grounding system constituted by two equal hemispherical electrodes of radius a, separated by a distance d. Computation results regarding the impedance, resistance, reactance and inductance of the pair of electrodes were presented for frequencies ranging from dc up to 10 MHz, considering the “thin electrode” approximation (d >> a); for a = 1 m and d/a > 50, the incurred error is less than 2%.
The calculation of the complex frequency-dependent grounding impedance of hemispherical electrodes is a question that has never been addressed in the literature from a rigorous field theory point of view. Many electrode models in use nowadays employ relatively simple circuital approaches, ignoring the effect of the inductance, the skin effect and eddy currents. Our results clearly show that in electrode modeling, the inductive part of the grounding impedance (related to the magnetic energy in the soil) ought to be taken into account, as the inductive contribution is much more important than the capacitive counterpart.
In the present study, we considered a hemispherical axisymmetric geometry for the electrode and considered the soil to be a homogeneous medium with frequency-independent constitutive parameters. Future work is planned to extend our results in various new directions: considering electrodes with hemi-ellipsoidal shape, with semi-axes of arbitrary size; considering nonhomogeneous layered soils, with layers parallel to the air/ground interface, eventually assigning frequency-dependent constitutive parameters to each soil layer.
Author Contributions
Conceptualization, V.M.M.; methodology, V.M.M., J.P.F., J.B.F. and M.E.P.; software, J.P.F. and M.E.P.; validation, V.M.M., J.P.F., M.E.P. and J.B.F.; formal analysis, V.M.M. and J.B.F.; investigation, V.M.M. and J.B.F.; writing—original draft preparation, V.M.M.; writing—review and editing, V.M.M., J.B.F. and J.P.F.; visualization, J.P.F.; supervision, V.M.M.; project administration, J.B.F. All authors have read and agreed to the published version of the manuscript.
Funding
This work was supported by FCT—Foundation for Science and Technology, I.P., and when applicable co-funded by EU funds, through the Instituto de Telecomunicações, project UID/EEA/50008/2020; through IDMEC, under LAETA, project UIDB/50022/2022, as well as under the research grant UIBD/151091/2021, and through INESC-ID, project UIDB/50021/2020.
Data Availability Statement
Data are contained within the article.
Conflicts of Interest
The authors declare no conflict of interest.
Appendix A. The Variational Formulation for Axisymmetric Magnetic Field Problems
The functional, defined in Equation (13)
is appropriate to treat axisymmetric magnetic field problems using the scalar current function ι introduced in Equation (9). The demonstration is based on the analysis of the variation δ of due to perturbations of . The variation δ is given by
Now, considering a volume V defined by the rotation of the cross-section S (Figure 2 and Figure 3) around the axis of symmetry (z-axis), which is limited by the boundary SV defined by the rotation of the closed path s also around the axis of symmetry, the elementals dV and dSV will be related to dS and ds in (A2) through
As a consequence, the result in (A2) is transformed into
being the part of SV where a Neumann boundary condition is imposed.
The field solution is found for the extremum situation of the functional whose condition is given by
Now, taking into account the following identity from vector-differential calculus:
where the following correspondences must be considered for Equation (A4)
we find:
Then, by substituting the result (A8) into (A4) and applying the divergence theorem (Gauss–Ostrogadsky theorem), the following result is obtained:
where , as already referred, is the part of SV where a Neumann boundary condition is imposed, where is given. For cylindrical coordinates, taking (9) into account, the following result is found:
According to Figure 2, we have
Therefore,
Finally, the extremum condition (A5), for any variation around the field solution, leads to the corresponding Euler equations:
The result (A13) proves that the proposed variational formulation is adequate to solve field problems satisfying the differential equation in (11) subjected to a Dirichlet condition on , which is an essential condition, and subjected to a Neumann condition on , which is a natural condition, both parts defining the partition .
Appendix B. Current Density Lines as the Contour Lines of the Current Function
The instantaneous field lines of the current density vector J on the ρ–z plane are described by
From the fundamental field equation , considering the axisymmetric configuration for the magnetic field uniquely described by its azimuthal component, we obtain, in cylindrical coordinates,
where ι is the instantaneous current function defined in (9).
Substituting (A15) into (A14), we find
as in Equation (23).
The meaning of the result in (A16) is that the contour lines of the function ι on the ρ–z plane satisfy the condition for the current lines. Contour lines and field lines of J are coincident.
References
- Faria, J.B.; Pedro, M.E.; Machado, V.M. The complex impedance of the hemispherical ground electrode: An open analytical problem. Energies 2023, 16, 7062. [Google Scholar] [CrossRef]
- Herman, R. An introduction to electrical resistivity in geophysics. Am. J. Phys. 2001, 69, 943–952. [Google Scholar] [CrossRef]
- Hong, C.H.; Chong, S.H.; Cho, G.C. Theoretical study on geometries of electrodes in laboratory electrical resistivity measurement. Appl. Sci. 2019, 9, 4167. [Google Scholar] [CrossRef]
- Ragheb, T.; Riegle, S.; Geddes, L.A.; Amin, V. The impedance of a spherical monopolar electrode. Ann. Biomed. Eng. 1992, 20, 617–627. [Google Scholar] [CrossRef] [PubMed]
- Franks, W.; Schenker, I.; Schmutz, P.; Hierlemann, A. Impedance characterization and modeling of electrodes for biomedical applications. IEEE Trans. Biomed. Eng. 2005, 52, 1295–1302. [Google Scholar] [CrossRef] [PubMed]
- Lee, E.K.; Baruah, R.K.; Bhamra, H.; Kim, Y.J.; Yoo, H. Recent advances in electrode development for biomedical applications. Biomed. Eng. Lett. 2021, 11, 107–115. [Google Scholar] [CrossRef] [PubMed]
- IEEE Standard 81-2012; IEEE Guide for Measuring Earth Resistivity, Ground Impedance, and Earth Surface Potentials of a Grounding System. IEEE: Piscataway, NJ, USA, 2012.
- IEEE Standard 81-2013; IEEE Guide for Safety in AC Substation Grounding. IEEE: Piscataway, NJ, USA, 2013.
- EN 50522: 2022; Earthing of Power Installations Exceeding 1 kV a.c. Comitato Elettrotecnico Italiano (CEI): Milan, Italy, 2022.
- Salarieh, B.; Silva, J.H.M.; Kordi, B. Electromagnetic transient modeling of grounding electrodes buried in frequency dependent soil with variable water content. Electr. Power Syst. Res. 2020, 189, 106595. [Google Scholar] [CrossRef]
- Salarieh, B.; Silva, J.H.M.; Kordi, B. Wideband EMT—Compatible model for grounding electrodes buried in frequency dependent soil. In Proceedings of the International Conference on Power Systems Transients (IPST2019), Perpignan, France, 17–20 June 2019. [Google Scholar]
- Datsios, Z.G.; Mikropoulos, P.N.; Staikos, E.T. Methods for field measurement of the frequency-dependent soil electrical properties: Evaluation of electrode arrangements through FEM computations. In Proceedings of the 21st International Symposium on High Voltage Engineering (ISH), Budapest, Hungary, 26–30 August 2019. paper no. 760. [Google Scholar]
- Azevedo, W.M.; Araújo, A.J.; Colqui, J.L.; Filho, J.P.; Kordi, B. Transient analysis of power transmission towers above lossy ground with frequency dependent electrical parameters considering the water content of soil. e-Prime Adv. Electr.Eng. Electron. Energy 2023, 4, 100161. [Google Scholar] [CrossRef]
- Sunjerga, A.; Gazzana, D.S.; Poljak, D.; Karami, H.; Sheshyekani, K.; Rubinstein, M.; Rachidi, F. Tower and path-dependent voltage effects on the measurement of grounding impedance for lightning studies. IEEE Trans. Electromag. Compat. 2019, 61, 409–418. [Google Scholar] [CrossRef]
- Rahaman, J.D. Finite-element analysis of optical microwave waveguide problems. IEEE Trans. Microwave Theory Tech. 1984, 32, 20–28. [Google Scholar] [CrossRef]
- Webb, J.P. Edge elements and what they can do for you. IEEE Trans. Mag. 1993, 29, 1460–1465. [Google Scholar] [CrossRef]
- Shen, B.; Grilli, F.; Combs, T. Overview of H-formulation: A versatile tool for modeling electromagnetics in high-temperature superconductor applications. IEEE Access 2020, 8, 100403–100414. [Google Scholar] [CrossRef]
- Maló Machado, V. Simulação Computacional em Eletromagnetismo (Computational Simulation in Electromagnetics); IST Press: Lisbon, Portugal, 2017. [Google Scholar]
- Brandão Faria, J.A. Electromagnetic Foundations of Electrical Engineering; Wiley: Chichester, UK, 2008. [Google Scholar]
- Wasshuber, C. About Single-Electron Devices and Circuits (Appendix A). Ph.D. Dissertation, Technical University of Wien, Wien, Austria, 1997. [Google Scholar]
- Jackson, J.D. Classical Electrodynamics; John Wiley & Sons: New York, NY, USA, 1962. [Google Scholar]
Disclaimer/Publisher’s Note: The statements, opinions and data contained in all publications are solely those of the individual author(s) and contributor(s) and not of MDPI and/or the editor(s). MDPI and/or the editor(s) disclaim responsibility for any injury to people or property resulting from any ideas, methods, instructions or products referred to in the content. |
© 2024 by the authors. Licensee MDPI, Basel, Switzerland. This article is an open access article distributed under the terms and conditions of the Creative Commons Attribution (CC BY) license (https://creativecommons.org/licenses/by/4.0/).













