Abstract
Mg–air batteries have high theoretical energy density and cell voltage. Their use of environmentally friendly salt electrolyte and commercially available magnesium materials determines their acceptable technical and economic efficiency, safety, and ease of operation. However, the practical applicationsof Mg–air batteries arevery limited due to the polarization of magnesium anodes and the batteries’ low Faraday efficiency. In this study, we considered the possibility of designingan Mg–air battery withincreased power by adapting engineering solutions developed for an Al–air battery with alkaline electrolytes. To increase the specific power of the battery, it was proposed that the internal resistance of the battery maybe reduced using a concentrated salt electrolyte. We investigated the discharge performance of a commercial alloy of AZ31 type in 15 wt.% NaCl electrolyte at current densities of 40–120 mA/cm2. The influence of a small addition of sulfosalicylic acid into the electrolyte on the discharge performance of the anode alloy was studied as well. The estimated values of the energy characteristics of the 0.5 kW Mg–air battery were compared with those of an Al–air battery with an alkaline electrolyte.
1. Introduction
Recently, Li–ion and Pb–acid batteries have beenthe most popular types of secondary electrochemical power sources. Usually, stationary electrical circuits are used to charge these batteries. For the emergency charging of EV batteries or charging of batteries operated in field conditions, mobile charging stations with electric generators based on internal combustion engines (ICEs) are used. Such charging stations require periodic maintenance. Their operation isaccompanied by greenhouse gas emissions. An alternative to ICE-based mobile charging stations ismetal–air primary electrochemical generators (batteries).
Metal–air batteries (Al–air, Zn–air, and Mg–air) can be successfully used as emergency and backup power sources as well as chargers for secondary batteries. Metal–air batteries are recharged by replacing the anodes. These batteries are started (activated) by pouring liquid electrolyte into them. Their main advantages are high specific energy (up to 300–500 Wh/kg) and an almost unlimited shelf life in an unactivated state. In anunactivated state, such batteries do not require maintenance.
Mg–air batteries have high theoretical energy density and cell voltage. The use of environmentally friendly salt electrolyte in combination with available magnesium alloys determines the acceptable technical and economic efficiency, safety, and ease of operation of Mg–air batteries when compared with Al–air and Zn–air analogs.
On the other hand, commercially available Mg-based anodes suffer from problems involvinghigh self-discharge rates and the formation of passive films blocking the discharge activity. Thisis why Mg–air batteries are usually considered less attractive than Al–air and Zn–air batteries, although the latter use aggressive alkaline electrolytes and expensive specialized anode alloys [,].
Earlier, we developed an Al–air battery with an alkaline electrolyte and anodes made from99.99 wt.% Al alloyed with 0.4 wt.% In [], gas diffusion cathodes with activated carbon catalysts that hadacceptable catalytic activity at low cost were used. A 1.5 kW battery has a capacity of about 14 kWh.The average current density overa discharge time of 10.8 h was 150 mA/cm2.
In this study, we explored the possibility of adapting the previously developed Al–air battery to work with available and environmentally friendly materials—commercial magnesium alloy anodes and NaCl electrolyte. It was assumed that the Mg–air battery should have enough power to be used as an emergency and/or backup source as well as a charger for Pb–acid and Li–ion batteries with a capacity of about 50–100 Ah.
Recently, a significant number of studies have been devoted to the improvement of the discharge characteristics of Mg anodes. Very informative, comprehensive reviews of these studies are presented in [,,]. To increase the efficiency of magnesium anodes, various alloying elements (Al, Li, Pb, Sn, Ca, Ga, In, and rare earth elements) are applied, sometimes in combination with severe plastic deformation. It has beenshown that Mg alloys with refined microstructure as well as fine and uniform precipitates are prospectivematerials for high-performance anodes [,]. In most cases, studies were carried out at low (1–10 mA/cm2) current densities. High anodic efficiency (more than 80%) and specific capacity (up to 2100 mAh/g) have been achieved for Mg–Li–Al and Mg–Ca–In alloy anodes [,].
The results obtained at low current densities are useful for the development of low-current power sources. For the development of more powerful Mg–air batteries, these results cannot be applied directly. At high current densities, the anode potential decreases significantly, and the corrosion rate increases (a negative differential effect takes place). The formation kinetics of a passivating film on the anode surface may change significantly. An increase incurrent density may be also by accompaniedby an increase involtage loss in the electrolyte viacathode polarization.
Significantly fewerstudies have beendevoted to the investigation of the discharge characteristics of magnesium anodes and Mg–air batteries at higher current densities—more than 30–40 mA/cm2. Impressive results were obtained for AP65 (Mg–Al–Pb) series alloys [,,]. At a current density of 150 mA/cm2 and a Faraday efficiency of 81.7%, a specific power of about 80 mW/cm2 was achieved. The additions of cerium and lanthanum to the starting AP 65 alloy allowed the specific power to increase up to 90–100 mW/cm2. Unfortunately, the presence of lead in Mg–Al–Pb alloys makes the handling of reaction products potentially hazardous to the environment.
Alloys of the AT series (Mg–Al–Sn) also allow for high (up to 150 mA/cm2) current densities to be obtained. After additional thermal or mechanical treatment, the AT61 cast alloy allowed for a maximum specific power of about 90 mW/cm2 to be obtained at a Faraday efficiency of more than 70% []. It should be noted that without thermomechanical treatment, the specific power and Faraday efficiency of similar cast alloys appeared to be noticeably lower [].
AMg–Li–Al–Ce–Y–Zn anode alloy was studied in ref. [].The authors used a commercial alloy, AZ31, as theirstarting material. Apeak power density of 92 mW/cm2 at a Faraday efficiency of 75% was obtained.
In ref. [], theanode alloy Mg-1Bi-0.5Ca was studied. The maximum power was 86 mW/cm2 at a Faraday efficiency of about 75%. The ref. [] was devoted to the study of extruded alloys of the TZQ (Mg–Sn–Zn–Ag) series. The maximum specific power was about 90 mA/cm2 with a Faraday efficiency of about 70%.
One may conclude that the additionally alloyed Mg of LA/LAZ, AP, AT, AZ and TZQ series hasquite satisfactory discharge performances, allowing us toobtain a maximum specific power of 80–90 mW/cm2 with a Faraday efficiency of more than 70%. It is usually assumed that the positive effect is achieved by the formation of intermetallic micro-inclusions, which increase the electrochemical activity without significantly reducing the corrosion resistance of the anode material []. However, it should be noted that the practical application of the specialized, high-cost anode alloys is limited until their production reaches the commercial stage. This means that when using specialized alloys, one of the main advantages of Mg–air batteries—the availability and relative cheapness of the anode material—is disappearing.
Commercial Mg alloys are attractive due to their availability and predictable composition. In particular, a significant number of articles are devoted to the study of the AZ series alloys (Mg–Al–Zn) AZ31, AZ61, and AZ91.Currently, these alloys are used by many authors for comparison with new, more efficient anode materials. Important advantages of the AZ series alloys are their availability, relative cheapness, and good discharge performance. For example, the AZ31 alloy allows us to obtain a maximum power of 50–60 mW/cm2 at a utilization efficiency of 60–65% [,]. This alloy is produced commercially in the form of sheets with a thickness of several mm and can successfully compete with specialized anode alloys, especially if its discharge performances can be improved by at least 10–15%.
The second approach used to improve Mg–air batteries characteristics is the selection of an appropriate electrolyte [,]. It has been shown that by tuning the pH value, one can suppress hydrogen evolution. In experiments, an electrolyte consisting of a near-saturated aqueous solution of LiCl and MgCl2 was used. The results were obtained at very low (first tens of microamperes) current densities. Also, it was found that the interaction of Cl− and SO42− ions with Mg leads to high corrosion rates, while NO3− or NO2− ions do not promote corrosion to the same extent as chlorides. The reason for the high corrosion resistance of Mg in the alkaline solution is due to the formation of Mg(OH)2 film on the surface of Mg alloys. However, thick Mg(OH)2 film slows down the reaction of the anode, leading to a decrease in anode potential. Therefore, one may conclude that the applicationsof LiCl, MgCl2, and Mg(NO3)2 electrolytes do not provide any practical advantages.
Recently, 3.5 wt.% NaCl aqueous electrolyte has been widely used in Mg–air batteries for scientific research as well as for commercial applications.It is proposed that the adoption of seawater as the electrolyte significantly decreases the battery weight, thereby contributing to a high energy density; Surely, if sea-water is available.
Since the adoption of traditional corrosion inhibitors as additives to NaCl electrolyte has not induced any significant improvement in battery performance, it was proposed to use strong Mg2+/Fe3+ complexing agents as additives to 3.5 wt.% NaCl electrolyte in order to improve battery performance [,,]. In particular, it was shown that a cell voltage of 1.85 V and a maximum energy density of 3.0 kWh/kg can be obtained using Mg–Ca microalloyed anodes and NaCl electrolyte with additives of complexing agents [].
It should be emphasized that the excellent discharge characteristics of the proposed combinations of electrolyte and anode material were obtained at low current densities (less than 10 mA/cm2).
Much less information in the literature concerns the behavior of Mg anodes in concentrated NaCl solutions [,]. At the same time, there is reason to believe that the use of concentrated (~15 wt.% NaCl) electrolyte can provide a significant increase in the specific power of the Mg–air batteries. First, the dependence of the electrical resistance of the NaCl solution on the concentration has a minimum at 15 wt.%. Secondly, chloride ions are activators of magnesium anode dissolution. In this regard, an increase in the concentration of chloride ions contributes to the loosening of the oxide film on the anode surface, i.e., freeing the surface and accelerating the anode processes. However, such an acceleration may lead to an increase in the corrosion rate, which is typical for a negative difference effect [].
Surprisingly, there is a lack of information on the discharge performance of commercial Mg alloys in 15 wt.% NaCl electrolyte at current densities higher than 40 mA/cm2. In ref. [], the discharge characteristics of commercially pure magnesium in 14 wt.% NaCl electrolyte were studied. The measurements were carried out at a current density up to 160 mA/cm2. Unfortunately, the authors [] did not give any data on the anode efficiency.
In ref. [], the corrosion of AZ31 electrodes in 8 wt.% NaCl solution with different concentrations of CeN3O9·6H2O additions was studied. Information about the discharge characteristics of the battery is not presented in the article.
In ref. [], the discharge characteristics of the AZ31 and AZ61 alloys were studied in electrolytes with concentrations 7–18 wt.% of NaCl. The measurements were carried out up to a current density of 40 mA/cm2. The Faraday efficiency may be estimated by 60–65%.
Summarizing the above brief review, one may conclude that detailed information on the discharge performances of Mg–air batteries with anelectrolyte of 15 wt.% NaCl and with anodes of the commercial AZ series alloys (Mg–Al–Zn) at currents above 40 mA/cm2 is not available in the literature.
The aim of this study was the investigation of discharge performances of anodes made of the commercially available alloy MA2-2 (AZ31 type) in a 15 wt.% NaCl electrolyte at current densities up to 120 mA/cm2. Thisstudy also includes the results for 3.5 and 10 wt.%NaCl electrolytes and 15 wt.% NaCl electrolyte with the addition of the strong Mg2+/Fe3+ complexing agentsulfosalicylic acid.
2. Materials and Methods
The magnesium alloy MA2-2 was chosen as the anode material. MA2-2 alloy is a Russian analogue of the well-studied alloy AZ31.It is commercially produced by the All-Russian Institute of Light Alloys (Moscow, Russia). The chemical composition of the MA2-2 alloy was studied using an inductively coupled plasma mass spectrometer (ICP-MS, X-2 Thermo Scientific, Thermo Fisher Scientific, Waltham, MA, USA).The chemical compositions of the alloys MA2-2 and AZ31 are presented in Table 1.
Table 1.
Compositions of MA2-2 and AZ31 alloys.
The polarization and corrosion characteristics of the anode alloy were determined in a three-electrode cell [] with an electrolyte volume of 75 mL.The anodes had a working area of 8 cm2. The anode temperature was maintained at 30 °C by means of a thermostat. A polymer film electrically isolated the anode reverse side from the thermostat water. The counter electrode was a disk made of a nickel grid. The anode potential was measured relative to the reference Ag|AgCl electrode, which was connected to the cell through a salt bridge and brought to the anode surface using a Luggin capillary. The working surface of each anode was polished with 1200 grit sandpaper. Before measurements, the anode was immersed in the electrolyte for 5 min.
Measurements were carried out at three concentrations of an aqueous electrolyte: 3.5, 10, and 15 wt.% NaCl, as well as in 15 wt.% NaCl electrolyte with additions of 0.003 and 0.012 M sulfosalicylic acid (C7H6O6S· H2O). The electrolyte was prepared from chemically pure grade reagents and distilled water.
The equilibrium corrosion potential of the MA2-2 alloy was measured in the potentiodynamic mode in the range from −1.8 to −1.4 V. The sweep rate was 1 mV/s. The anode potential dependences on the current density were determined via linear sweep voltammetry in the current density range of 0–120 mA/cm2. The sweep rate was 1.25 mA/s. A Potentiostat Autolab PGSTAT302N (Metrohm AG, Ionenstrasse, Herisau, Switzerland) was used for the electrochemical measurements. The rate of hydrogen evolution was measured using an RRG-12 (BLM Synergy, Electrozavodskaya 24, Moscow, RF, Russia) gas flow meter. The electrochemical and gas flow measurements were synchronized.
The corrosion current density was calculated from the hydrogen evolution rate. The corrosion current and Faraday efficiency were calculated from readings of the flow meter using Formulas (1) and (2):
where ja, jc—anodic and corrosion current densities, kF—Faraday efficiency, dV/dt—hydrogen release rate, p—pressure, T—temperature, S—anode square, and z—the number of electrons involved in the reaction; F—Faraday constant, R—universal gas constant.
kF = ja/(jc + ja)
To determine the current–voltage characteristics model, Mg–air cells with initial inter-electrode gaps of 5 and 8 mm were used. The gap values were chosen according to the size of the inter-electrode gap in an Al–air battery [] at the beginning and at the end of discharge. The anode of the model battery was a disk with an area of 8 cm2 and a thickness of 3.5 mm. The gas diffusion electrode of our own production [] was used as a cathode. The electrolyte volume in cells with a gap of 5–8 mm was 4 and 6.4 mL, respectively. The duration of each experiment with model cells was 600 s.
Electrolyte pH measurements during the continuous discharge were carried out in a three-electrode cell equipped with an electrolyte circulation system.The electrolyte circulation system included a vessel with the additional volume of an electrolyte (800 mL) and a circulation pump with the capacity of 20 mL/min.
A Smart Lab SE Rigaku (CuKα radiation, with astep of 0.02 degrees; Rigaku Corporation 3-9-12, Matsubara-cho Akishima-shi, Tokyo 196-8666, Japan) was applied for an XRD analysis of reaction products. A phase identification and quantitative phase analysis were carried out using the Rigaku Integrated X-ray powder diffraction Software PDXL (ver.2.0). SEM and EDS analyses were carried out using the scanning electron microscope NOVA NanoSem 650 (Thermo Fisher Scientific, Waltham, MA, USA). Microscopic and qualitative EDS analyses of the sample surfaces were carried out in reflected electrons using a ring detector, which makes it possible to obtain compositional contrast on non-smooth surfaces.
The anode surfaces were studied in two states: (i) with not-washed-off reaction products; (ii) with washed-off reaction products. The reaction products were washed off with a weak solution of a mixture of acetic, citric, and oxalic acids. The concentration of the solution was selected in such a way that no visible interaction of Mg with the solution occurred. To minimize the effects of charging with an electron probe, samples with unwashed reaction products were covered with a ~20–30 nm thick layer of graphite in a JEE-420 vacuum setup. No electrically conductive coating was applied to samples with washed-off reaction products.
3. Results and Discussion
3.1. Electrochemical Measurements
Figure 1 shows the results of potentiodynamic polarization tests for MA2-2 alloy at three electrolyte concentrations—3.5, 10, and 15 wt.% of NaCl. The value of the corrosion potential of MA2-2 in an electrolyte concentration of 3.5 wt.% NaCl for the MA2-2 alloy is close to that obtained earlier for the AZ31 alloy [,]. With an increase inthe electrolyte concentration from 3.5 to 15 wt.%, the equilibrium corrosion potential changes from −1.48 to −1.55 V. Therefore, MA2-2 alloy hasthe highest electrochemical activity at the electrolyte concentration 15 wt.% of NaCl. At the same time, the corrosion current increases and, correspondingly, the corrosion resistance of the alloy slightly reduces.


Figure 1.
Polarization, corrosion, and battery discharge tests. (a) Potentiodynamic polarization tests for MA2-2 alloy at electrolyte concentrations of 3.5, 10, 15 wt.% NaCl, and 15 wt.% NaCl + 0.012 M sulfosalicylic acid. Linear sweep voltammetry tests of MA2-2 alloy at different electrolyte compositions: (b) anodic potential vs. anode current density; (c) corrosion current density vs. anode current density. Battery tests: (d) current–voltage and specific power curves vs. anode current density; (e) maximum specific power and current density at the maximum specific power vs. electrolyte concentration.
Dependences of the anode potential and corrosion current density on the anode current density at three NaCl concentrations are shown in Figure 1b,c. At current densities less than 60 mA/cm2, the anode potentials in the 3.5 wt.% NaCl electrolyte have the lowest values. In this case, the corrosion current also has the lowest value. In other words, in 3.5 wt.% NaCl electrolyte, at current densities less than 60 mA/cm2, the MA2-2 alloy demonstrates the lowest anodic (Figure 1b) and corrosion activity (Figure 1c).
In the region of high anode currents, anode potentials and corrosion currents have close values at all electrolyte concentrations.At all electrolyte concentrations, the corrosion current does not exceed 38 mA/cm2. In a 15 wt.% NaCl electrolyte, the Faraday efficiency increases from 65.5% at 40 mA/cm2 to 74% at 100 mA/cm2.
In Figure 1d,e discharge and specific power curvesfor a model Mg–air cell are shown. The maximum specific power of 70 mW/cm2 is achieved in a 15 wt.% electrolyte at the current density of about 100 mA/cm2. At current densities of 80–100 mA/cm2, the voltage of a cell with 15 wt.% NaCl electrolyte is 0.4 V higher than that at the concentration of 3.5 wt.% NaCl. The specific power is 1.8 times higher.
The Faraday efficiency of known magnesium anode alloys usually does not exceed 50–70%, and the maximum Faraday efficiency achieved so far is about 85% [,,]. The results of our measurements show that the combination of the MA2-2 alloy and a 15 wt.% aqueous solution of NaCl allows for the achievement of a significant increase in the specific power of a battery while maintaining an acceptable (more than 70%) Faraday efficiency of the anode alloy. The electrolyte with an increased NaCl concentration has low electrical resistance and allows for reduction in the internal resistance of the cell. Due to this circumstance, a specific power more inherent to specialized anode alloys was achieved. Of course, the specific power for the MA2-2 alloy is about 20% lower than that obtained for the best samples of specialized anode alloys—80–90 mW/cm2 [,,,,,,,]. However, this disadvantage is compensated for by the availability and significantly lower cost of commercial alloys of the AZ31 type.
Earlier, the authors of ref. [] studied the effect of 15 strong complexing compounds on the discharge characteristics of a magnesium anode in an aqueous electrolyte. A highly diluted salt electrolyte (0.5 wt.%) and commercial-purity magnesium were used. According to their results, strong complexing agents are able to effectively activate the magnesium anode and provide a higher anodic potential. The positive effect of the additive was ascribed to the formation of soluble complexes with Mg2+ and Fe3+ ions. A decrease in the concentration of additives in the electrolyte leads to a higher Faraday efficiency and a slight decrease in the anode potential. Among the considered additives, the most attractive in terms of efficiency, availability, and cost is sulfosalicylic acid—C7H6O6S· H2O.
We studied the effect of adding sulfosalicylic acid (SSA) to a 15 wt.% NaCl solution on the discharge characteristics of the MA2-2 alloy. The experiments were carried out at two concentrations of SSA—0.003 and 0.012 M. It appeared that the addition of SSA does increase the anodic potential at the initial stage of discharge—(Figure 2a,c). This effect occurs approximately up to discharges of 100 C/cm2. However, as the discharge progresses, this effect disappears and the values of the anodic potentials in electrolytes without SSA and with SSA take close values. At the initial stage of the discharge, the corrosion current also increases and the correlation with anodic potentials changes (Figure 2b,d).Corrosion currents are higher at higher values of anodic potentials.

Figure 2.
Galvanostatic discharge behavior of MA2-2 alloy at different electrolyte compositions at the anodic current density of 40 mA/cm2: (a) anodic potential; (b) corrosion current density; of 80 mA/cm2: (c) anodic potential; (d) corrosion current density.
The results of electrolyte pH and anodic potential measurements in the circulating electrolyte are presented in Figure 3. In the 15 wt.% NaCl electrolyte without a complexing additive, the pH of the electrolyte was close to 11 throughout the experiment. In the 15 wt.% NaCl electrolyte with the addition of 0.012 M SSA, the pH gradually decreased from 1.2–1.6 at the beginning of the discharge and then began to quickly increase up to 7.2 at 300 C/cm2. A noticeable growth in pH begins at a discharge of 175 C/cm2.
Figure 3.
Anodic potential and electrolyte pH measurements during the discharge up to of 300 C/cm2.
Up to the discharge of 150 C/cm2, the anodic potential in an electrolyte with SSA addition is noticeably higher than that in a pure NaCl electrolyte. In the pure NaCl electrolyte, slow potential oscillations began after the discharge of 150 C/cm2. In the electrolyte with SSA addition, slow potential oscillations began when pH growth started to accelerate at the discharge ~175 C/cm2.
In Figure 4, photographs of anode surfaces after discharges up to 70 and up to 120 C/cm2 in the pure 15 wt.% NaCl electrolyte and in the same electrolyte with additions of 0.003 M SSA and 0.012 M SSA are shown. The upper part of the reaction product layer represents a white/grey low dense foam-like material. The bottom, adjacent to the anode layer represents a dark, denser material.

Figure 4.
Photos of the anode surfaces after the discharge up to 70 C/cm2 (a–c) and 120 C/cm2 (d–f) in different electrolytes: (a,d) 15 wt.% NaCl without SSA; (b,e) 15 wt.% NaCl + 0.003 M SSA; (c,f) 15 wt.% NaCl + 0.012 M SSA.
After drying, the upper layer converts to a white powder that can be separated from the anode easily. The bottom layer retains its dark color and can be removed only by etching or by machining of the anode surface.
After a discharge up to 70 C/cm2, the differences in state of the surface of those anodes that worked in electrolytes without the addition of SSA and those with the addition of SSA are clearly visible. The low-density white/grey hydroxide layer on anodes discharged in an electrolyte with SSA additives is fragmented to a greater extent. After a discharge up to 120 C/cm2, the differences in the state of the surface of anodes discharged in electrolytes with SSA and without it are almost imperceptible.
To conclude this subsection, we would like to highlight the following results:
- -
- The use of an electrolyte with 15 wt.% of NaCl makes it possible to almost double the specific power of the battery relative to a battery with 3.5 wt.% NaCl electrolyte while maintaining a Faraday efficiency more than 70%;
- -
- The addition of SSA does increase the anodic potential at the initial stage of discharge. As the discharge progresses, this effect disappears and the values of the anodic potentials in electrolytes without SSA and with SSA take close values. In the electrolyte with the addition of 0.012 M SSA, the pH gradually decreased from 1.2–1.6 at the beginning of the discharge, then began to quickly grow up to 7.2 at the end of discharge;
- -
- Photographs of the anode surface after discharges of up to 70 C/cm2 demonstrate that in the electrolyte with SSA additions, surface films are fragmented to a greater extent than anode surface films in the electrolyte without SSA additions. After a discharge of up to 120 C/cm2, the differences in the state of the surfaces of anodes discharged in electrolytes with SSA and without it are almost imperceptible.
3.2. Microstructure Examination
The influence of the complexing additive on the phase composition and morphology of the passivating film after the discharge up to of 300 C/cm2 was studied via X-ray diffractometry and scanning electron microscopy.
The XRD patterns of the alloy oxidation products (passivating film) in electrolytes with SSA addition and without it are practically the same. The material comprises two main phases—magnesium hydroxide Mg(OH)2 (31%) and sodium chloride NaCl (45%). Magnesium hydroxide is represented by two modifications—X-ray amorphous and finely dispersed crystalline. The X-ray amorphous component gives diffuse halos (2θ = 33–42 degree) in the spectrum (Figure 5).
Figure 5.
XRDpattern of reaction products with discharge of up to 300 C/cm2. Diffuse halos between 2θ—33 and 42 degrees.
The size of the coherent scattering region (CSR) of the finely dispersed modification of Mg(OH)2 is 7 nm. Sodium chloride is well crystallized and has an average CSR size of at least 100 nm. The material also includes three phases of magnesium oxychloride cements: Mg2(OH)3Cl·4H2O magnesium trihydroxochloridetetrahydrate (22%), Mg(ClO2)2·6(H2O) magnesium chlorite hexahydrate (0.5%), and Mg10Cl2(OH)18·5H2O (1.5%).
It should be emphasized that an addition of 0.012 M SSA leads to a decrease inthe average size of the CSR of Mg(OH)2 and Mg2(OH)3Cl·4H2O.
The morphology of the anode surface was studied after the discharge in electrolytes with a controlled pH value (Figure 3) up to a discharge of 300 C/cm2. SEM images of the anode surfaces are presented in (Figure 6).

Figure 6.
SEM images of the anode surfaces after the discharge test at 40 mA/cm2 (the discharge up to of 300 C/cm2) and controlled pH level. (a) The anode surface with reaction products, the test in the electrolyte without SSA; (b) the anode surface with partially washed-away reaction products, the test in the electrolyte without SSA; (c) the anode surface with not-washed-off reaction products, the electrolyte without SSA; (d) the anode surface with not-washed-off reaction products, the electrolyte with the addition of 0.012 M SSA; (e) EDS analysis of lamella colonies in the cracks.
The anode surface morphologies with not-washed-off reaction products and with washed-off reaction products are presented in (Figure 6a,b), correspondingly. The study shows that the treatment of the anode surface does not allow for the washing off of reaction products completely. However, the removal of a significant amount of fine particles from anode surfaces makes it possible to see corrosion patterns characterized by the presence of crack networks and corrosion pores—(Figure 6b). An EDS analysis captured Mg and oxygen throughout all examined surfaces.
It should be emphasized that after the discharge in the electrolyte without SSA, the anode surface cracks contain significantly more zones with reaction products in the form of lamellae colonies (Figure 6c) than in the samples discharged in the electrolyte with SSA—Figure 6d. An EDS analysis fixed Mg, Cl, and O in these lamellas—(Figure 6e).
To conclude this subsection, we would like to highlight the following results:
- -
- The addition of SSA leads to a decrease in the average size of the CSR of Mg(OH)2 and Mg2(OH)3Cl·4H2O;
- -
- After anode discharge in the electrolyte without SSA additive, there are noticeably more surface zones with reaction products in the form of lamellae colonies than in the samples discharged in the electrolyte with SSA additive. These lamellas contain Mg, Cl, and O.
3.3. The Influence of Sulfosalicylic Acid on Mg–Air Battery Performance
The influence of strong Mg2+ complexing agents as additives to 0.5–3.5 NaCl wt.% electrolytes to Mg–air battery performance wasextensively studied by the authors of [,,,,]. It was shown that by adding Mg2+-complexing agents (Tiron, nitrilotriacetic acid, sulfosalicylic acid, etc.) to the aqueous NaCl electrolyte, it was possible to reduce the rate of redepositing of Mg(OH)2 on the anode surface.
In our experiments, the addition of sulfosalicylic acid to the electrolyte leads to an increase in the anode potential accompanied by some decrease in Faraday efficiency. This phenomenon occurs at the initial stage of the discharge (Figure 2a,c). It is clearly seen (Figure 4) that at the initial stage of the discharge in electrolytes with SSA additives, the upper part of hydroxide layers is fragmented to a greater extent. This means that the presence of SSA in the electrolyte slows down the formation of a passivating film on the anode surface.
An SEM examination shows that in the electrolyte without SSA additive, cracks on the anode surface show significantly more zones with reaction products in the form of lamellae colonies (Figure 6c) than on the surface of anodes discharged in the electrolyte with SSA additive (Figure 6d). An EDS analysis fixed Mg, Cl, and O in these lamellas (Figure 6e).
One may propose that the addition of SSA slows down the formation of lamellae colonies on the anode surface. An XRD examination shows that an addition of SSA leads to a decrease in the average size of the CSR of Mg(OH)2 and Mg2(OH)3Cl·4H2O. Hence, one may propose that the presence of SSA prevents redepositing (formation of lamellae colonies) and slows down the growth of precipitated crystals (which probably make up the lamellae) on the anode surface.
The addition of sulfosalicylic acid to the electrolyte leads to an increase in the anode potential of the alloy at the initial stage of the discharge—Figure 2a,c and Figure 3. When the pH of the electrolyte begins to increase (at discharge 175–190 C/cm2, see Figure 3), this effect disappears and slow potential oscillations begin to occur. In an electrolyte without SSA additive, slow potential oscillations begin at a discharge of 130–150 C/cm2.
Earlier, slow potential oscillations of Mg anodes at the deep stage of the discharge were observed by the authors of ref. [,]. Following them, we propose that voltage oscillations imply that the active areas of anodes gradually change due to the broken balance between the growth and detachment of reaction products. This is the result of hydrogen release during the corrosion process. Hydrogen accumulates in the cavities inside the passivating film and then breaks through it, partially exposing the anode surface—Figure 4d–f. With increase in the thickness of the passivating film, the volume of the hydrogen accumulation regions also increases. As a result, the frequency of potential oscillations decreases, and their amplitude increases.
Summarizing the above, one may conclude that at the beginning of the discharge, the SSA addition actively interacts with Mg and reaction products on the anode surface. Because of this, the passivating film is formed more slowly than in a pure NaCl electrolyte.As the discharge proceeds, the passivating film thickness gradually increases. Reacting with acid, the passivating film reduces the flow of acid to the anode surface. Adjacent to magnesium, a dense part of the passivating film ceases to dissolve, the anode potential drops, and the corrosion rate decreases. Due to a decrease in the rate of hydrogen evolution and an increase in the thickness of the magnesium hydroxide layer, the rate of the anode self-peeling slows down. The change in the rate of the self-peeling process is observed as the beginning of slow potential oscillations.
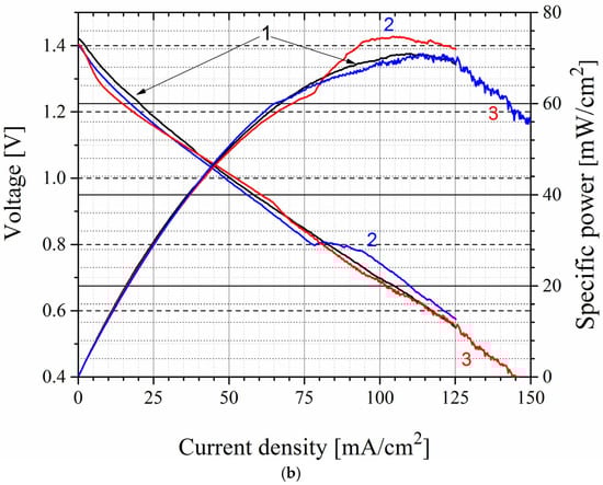
Although the presence of SSA slows down the formation of the passivating film, it can be concluded that its addition to the electrolyte does not lead to the improvement of discharge characteristics of the Mg–air battery at later stages of the discharge. Nevertheless, we detected that a small addition of SSA affects the initial state of the anode surface, significantly reducing the dependence of the discharge characteristics on the initial state of the anode—Figure 7a,b. Thus, the addition of sulfosalicylic acid to the electrolyte allows for the stabilization of the operation of the Mg–air battery at the beginning of the discharge without additional treatment of the anode surfaces.

Figure 7.
Battery tests. (a) Electrolyte—15 wt. % NaCl. Specific power vs. current density at different initial states of the anodes; (b) electrolyte—15 wt. % NaCl + 0.003 M SSA. Specific power vs. current density at different initial states of the anodes. 1—a new anode (polished with 1200 grit sandpaper); 2—the second measurement with the same anode after the battery was short-circuited for 10 s; 3—the same anode after washing the surface with distilled water.
3.4. Comparison of Mg–Airand Al–Air BatteryCharacteristics
In the end, we compared the discharge characteristics of an Al–air battery [] with an alkaline electrolyte with the estimated characteristics of the Mg–air battery with MA2-2 alloy anodes and 15 wt.% NaCl + 0.003 M SSA electrolyte.
To evaluate the characteristics of the Mg–air battery, the results of the presented study and the geometric dimensions of the Al–air battery were used. It is assumed that the magnesium anodes were plates 100 × 200 × 3.7 mm.
At the current density of 80 mA/cm2, the Faraday efficiency of the MA2-2 alloy is 75%—Figure 2d. Then, the battery charge, taking into account the complete dissolution of the anodes, will be 210 Ah. At the discharge current density of 80 mA/cm2, the average voltage during the full discharge time is estimated as 14 V. The average power is 450 W.The peak power at the beginning of the discharge is 630 W at 16.5 V.
To estimate the electrolyte consumption, experiments witha model single cell with an initial interelectrode gap of 8 mm at a current density of 90 mA/cm2 were performed. During the discharge, the cell voltage gradually decreased from 0.75 to 0.6 V for 1.2 h and then dropped to zero within 17 min. An estimation of the electrolyte consumption by the time of the beginning of the rapid voltage drop gave 130 Ah/L. Table 2 compares the performance of Al–air and Mg–air batteries.
Table 2.
The performance of Al–air and Mg–air batteries.
As expected, in terms of specific energy characteristics, Mg–air batteries are significantly inferior to Al–air analogues. However, taking into account the safety of operation and the availability of consumables, Mg–air batteries can seriously compete with Al–air and Zn–air batteries. For instance, for use as a stationary emergency power source or as a source for battery charging, the loss in specific energy characteristics is unlikely to be critically important.
It is necessary to note one more circumstance concerning Al–air batteries with alkaline (NaOH, KOH) electrolytes. The carbon dioxide contained in the air, joining together with oxygen into the active layer of the gas diffusion cathode, interacts with an aqueous solution of alkali. In this case, salts (Na2CO3, K2CO3) are formed inside the active layer. These salts have low solubility and can accumulate on the catalyst surface. Salt crystals may reach significant sizes (up to 2–3 mm) and damage cathodes, reducing their life cycle. The carbonation of cathodes does not occur in a salt electrolyte.
4. Conclusions
The discharge and corrosion characteristics of the commercial Mg alloy MA2-2 (Mg–Al–Zn) in 3.5, 10, and 15 wt.% NaCl aqueous solution were studied. It was shown that the use of an electrolyte with 15 wt.% NaCl makes it possible to almost double the specific power of the battery relative to a battery with 3.5 wt.% NaCl electrolyte. The increase in the specific power is achieved due to reducing the resistance of the electrolyte. The Faraday efficiency of the MA2-2 alloy at current densities of 60–100 mA/cm2 appeared to be more than 70%.
Sulfosalicylic acid, a Mg2+ complexing agent, was used as an electrolyte additive. The effect of the electrolyte additive on the corrosion behavior and discharge performance of MA2-2 alloy at current densities up to 100 mA/cm2 was studied. The selected additive reduces the rate of formation of a passivating film on the anode surface, providing a higher anode activity at the initial stage of the discharge. Sulfosalicylic acid’s addition to the electrolyte does not lead to the improvement of the discharge performance of Mg–air battery at a large depth of discharge. However, a small addition of SSA significantly reduces the dependence of battery discharge characteristics on the initial state of the anode surface.
A comparison of the energy performances of an Al–air battery with an alkaline electrolyte and a Mg–air battery with salt electrolyte was conducted. The energy performance of the Mg–air batteries is significantly inferior to their Al–air analogs. However, due to the safety, relative cheapness, and availability of consumables, the use of Mg–air batteries for a number of applications may be preferable.
Author Contributions
Supervision, A.Z.; conceptualization, A.Z.; methodology, A.Z. and E.S.; validation, T.B.; formal analysis, T.B. and E.K.; investigation, G.B., E.K., V.T. and V.Z.; writing—original draft preparation, A.Z., T.B. and G.V.; writing and editing, A.Z.; visualization, G.B. and E.K.; project administration, A.Z. All authors have read and agreed to the published version of the manuscript.
Funding
This work was supported by the Ministry of Science and Higher Education of the Russian Federation (State Assignment No. 075-00270-24-00).
Data Availability Statement
All main experimental data, methods, and materials descriptions are presented in the text of the article. The raw data (tables, XRD spectra, SEM results) are available on request from the first author: Andrey Z. Zhuk, Doctor of Science, Head of Alternative Energy Department, Joint Institute for High Temperature Russian Academy of Science. E-mail: 666zhuk@ihed.ras.ru.
Conflicts of Interest
The authors declare no conflict of interest.
References
- Ilyukhina, A.V.; Kleymenov, B.V.; Zhuk, A.Z. Development and study of aluminum-air electrochemical generator and its main components. J. Power Sources 2017, 342, 741–749. [Google Scholar] [CrossRef]
- Sun, Y.; Liu, X.; Jiang, Y.; Li, J.; Ding, J.; Hu, W.; Zhong, C. Recent advances and challenges in divalent and multivalent metal electrodes for metal–air batteries. J. Mater. Chem. A 2019, 7, 18183–18208. [Google Scholar] [CrossRef]
- Zhang, T.; Tao, Z.; Chen, J. Magnesium–air batteries: From principle to application. Mater. Horiz. 2014, 1, 196–206. [Google Scholar] [CrossRef]
- Tong, F.; Wei, S.; Chen, X.; Gao, W. Magnesium alloys as anodes for neutral aqueous magnesium-air batteries. J. Magnes. Alloys 2021, 9, 1861–1883. [Google Scholar] [CrossRef]
- Chen, X.; Liu, X.; Le, Q.; Zhang, M.; Liu, M.; Atrens, A. A comprehensive review of the development of magnesium anodes for primary batteries. J. Mater. Chem. A 2021, 9, 12367–12399. [Google Scholar] [CrossRef]
- Wang, N.; Mu, Y.; Xiong, W.; Zhang, J.; Li, Q.; Shi, Z. Effect of crystallographic orientation on the discharge and corrosion behaviour of AP65 magnesium alloy anodes. Corros. Sci. 2018, 144, 107–126. [Google Scholar] [CrossRef]
- Liu, X.; Xue, J.; Liu, S. Discharge and corrosion behaviors of the α-Mg and β-Li based Mg alloys for Mg-air batteries at different current densities. Mater Des. 2018, 160, 138–146. [Google Scholar] [CrossRef]
- Ma, Y.; Li, N.; Li, D.; Zhang, M.; Huang, X. Performance of Mg–14Li–1Al–0.1 Ce as anode for Mg-air battery. J. Power Sources 2011, 196, 2346–2350. [Google Scholar] [CrossRef]
- Deng, M.; Wang, L.; Höche, D.; Lamaka, S.V.; Jiang, P.; Snihirova, D.; Scharnagl, N.; Zheludkevich, M.L. Ca/In micro alloying as a novel strategy to simultaneously enhance power and energy density of primary Mg-air batteries from anode aspect. J. Power Sources 2020, 472, 228528–228539. [Google Scholar] [CrossRef]
- Wang, N.; Wang, R.; Peng, C.; Peng, B.; Feng, Y.; Hu, C. Discharge behaviour of Mg-Al-Pb and Mg-Al-Pb-In alloys as anodes for Mg-air battery. Electrochim. Acta 2014, 149, 193–205. [Google Scholar] [CrossRef]
- Feng, Y.; Lei, G.; He, Y.Q.; Wang, R.C.; Wang, X.F. Discharge performance of Mg-Al-Pb-La anode for Mg-air battery. Trans. Nonferrous Met. Soc. China 2018, 28, 2274–2286. [Google Scholar] [CrossRef]
- Wu, Y.; Wang, Z.; Liu, Y.; Li, G.; Xie, S.; Yu, H.; Xiong, H. Improved discharge performance of Mg-6Al-7Pb alloy by microalloying with Ce. Int. J. Electrochem. Sci. 2018, 13, 10325–10338. [Google Scholar] [CrossRef]
- Xiong, H.; Yu, K.; Yin, X.; Dai, Y.; Yan, Y.; Zhu, H. Effects of microstructure on the electrochemical discharge behavior of Mg-6wt% Al-1wt% Sn alloy as anode for Mg-air primary battery. J. Alloys Compd. 2017, 708, 652–661. [Google Scholar] [CrossRef]
- Xiong, H.; Zhu, H.; Luo, J.; Yu, K.; Shi, C.; Fang, H.; Zhang, Y. Effects of heat treatment on the discharge behavior of Mg-6 wt.% Al-1 wt.% Sn alloy as anode for magnesium-air batteries. J. Mater. Eng. Perform. 2017, 26, 2901–2911. [Google Scholar] [CrossRef]
- Wang, N.; Wang, R.; Feng, Y.; Xiong, W.; Zhang, J.; Deng, M. Discharge and corrosion behaviour of Mg-Li-Al-Ce-Y-Zn alloy as the anode for Mg-air battery. Corros. Sci. 2016, 112, 13–24. [Google Scholar] [CrossRef]
- Cheng, S.; Cheng, W.; Gu, X.; Yu, H.; Wang, Z.; Wang, H.; Wang, L. Discharge properties of low-alloyed Mg–Bi–Ca alloys as anode materials for Mg–air batteries: Influence of Ca alloying. J. Alloys Compd. 2020, 823, 153779–153789. [Google Scholar] [CrossRef]
- Gu, X.; Cheng, W.; Cheng, S.; Yu, H.; Wang, Z.; Wang, H.; Wang, L. Discharge behavior of Mg–Sn–Zn–Ag alloys with different Sn contents as anodes for Mg-air batteries. J. Electrochem. Soc. 2020, 167, 020501–020512. [Google Scholar] [CrossRef]
- Jensen, B.W.; Gaadingwe, M.; Macfarlane, D.R.; Forsyth, M. Control of magnesium interfacial reactions in aqueous electrolytes towards a biocompatible battery. Electrochim. Acta 2008, 53, 5881–5884. [Google Scholar] [CrossRef]
- Sathyanarayana, S.; Munichandraiah, N. A new magnesium—air cell for long-life applications. J. Appl. Electrochem. 1981, 11, 33–39. [Google Scholar] [CrossRef]
- Deng, M.; Wang, L.; Vaghefinazari, B.; Xu, W.; Feiler, C.; Lamaka, S.V.; Hoeche, D.; Zheludkevich, M.; Snihirova, D. High-energy and durable aqueous magnesium batteries: Recent advances and perspectives. Energy Storage Mater. 2021, 43, 238–247. [Google Scholar] [CrossRef]
- Vaghefinazari, B.; Höche, D.; Lamaka, S.V.; Snihirova, D.; Zheludkevich, M. Tailoring the Mg-air primary battery performance using strong complexing agents as electrolyte additives. J. Power Sources 2020, 453, 227880–227891. [Google Scholar] [CrossRef]
- Wang, L.; Snihirova, D.; Deng, M.; Vaghefinazari, B.; Lamaka, S.V.; Höche, D.; Zheludkevich, M.L. Tailoring electrolyte additives for controlled Mg-Ca anode activity in aqueous Mg-air batteries. J. Power Sources 2020, 460, 228106–228118. [Google Scholar] [CrossRef]
- Li, W.; Li, C.; Zhou, C.; Ma, H.; Chen, J. Metallic magnesium nano/mesoscale structures: Their shape-controlled preparation and Mg/air battery applications. Angew. Chem. Int. Ed. 2006, 45, 6009–6012. [Google Scholar] [CrossRef]
- You, X.; Zhang, X.; Yu, C.; Chen, Y.; Li, H.; Hou, Y.; Tian, L.; Yang, N.; Xie, G. Corrosion protection of magnesium alloys anode by cerium-based anodization coating in magnesium-air battery. J. Rare Earth 2022, 41, 471–476. [Google Scholar] [CrossRef]
- Hamle, R.P.; Jerabek, E.C.; Ruzzo, J.C.; Siwek, E.G. Anodes for refuelable magnesium-air batteries. J. Electro-Chem. Soc. 1969, 116, 1588–1592. [Google Scholar]
- Available online: https://www.azom.com/article.aspx?ArticleID=6707 (accessed on 25 January 2023).
- Zhuk, A.Z.; Sheindlin, A.E.; Kleymenov, B.V.; Shkolnikov, E.I.; Lopatin, M.Y. Use of low-cost aluminum in electric energy production. J. Power Sources 2006, 157, 641–649. [Google Scholar] [CrossRef]
- Liu, X.; Xue, J. The role of Al2Gd cuboids in the discharge performance and electrochemical behaviors of AZ31-Gd anode for Mg-air batteries. Energy 2019, 189, 116314–116322. [Google Scholar] [CrossRef]
- Lamaka, S.V.; Vaghefinazari, B.; Mei, D.; Petrauskas, R.P.; Höche, D.; Zheludkevich, M.L. Comprehensive screening of Mg corrosion inhibitors. Corros. Sci. 2017, 128, 224–240. [Google Scholar] [CrossRef]
- Höche, D.; Lamaka, S.V.; Vaghefinazari, B.; Braun, T.; Petrauskas, R.P.; Fichtner, M.; Zheludkevich, M.L. Performance boost for primary magnesium cells using iron complexing agents as electrolyte additives. Sci. Rep. 2018, 8, 7578. [Google Scholar] [CrossRef]
- Li, Q.; Xiong, W.; Yu, M.; Li, J.; Liu, L.; Zhu, G.; Wang, L.; Wang, J.; Yu, S.; Liu, E. Effect of Ce content on performance of AZ31 magnesium alloy anode in air battery. J. Alloys Compd. 2021, 891, 161914–161923. [Google Scholar] [CrossRef]
Disclaimer/Publisher’s Note: The statements, opinions and data contained in all publications are solely those of the individual author(s) and contributor(s) and not of MDPI and/or the editor(s). MDPI and/or the editor(s) disclaim responsibility for any injury to people or property resulting from any ideas, methods, instructions or products referred to in the content. |
© 2024 by the authors. Licensee MDPI, Basel, Switzerland. This article is an open access article distributed under the terms and conditions of the Creative Commons Attribution (CC BY) license (https://creativecommons.org/licenses/by/4.0/).