Abstract
The main objective of this study is to put forward effective schemes for alleviating reservoir choke caused by emulsification or Jamin’s effect using the dilution method by light crude oil, as well as sharply increased viscosity. In this study, water-in-heavy-oil (W/O) emulsions with varying water fractions were prepared with heavy oil from Bohai Bay, China. Mixtures of W/O emulsions and light crude oil samples (light oil and light heavy oil) with varied dilution ratio (1:9, 2:8, 3:7) are tested, respectively by the electron microscope and by the rheometer. W/O droplets’ distribution and viscosity variations are obtained to evaluate the emulsion stability and viscosity reduction effects by dilution. Results show that W/O droplets, size distribution range increases with the increase of water fractions. W/O droplets with larger size tend to be broken first in the dilution process. Light oil could reduce emulsions’ viscosity more effectively than light heavy oil. Viscosity reduction mechanisms by dilution could be concluded as the synergistic effects of dissolving heavy components and weakening oil–water film stability. Therefore, light oil is suggested as the optimal one for solving formation plugging. The poor performance of Richardson model is related to the re-emulsification between free water and crude oil favored by light heavy oil, and demulsification favored by light oil. The modified model shows a significant improvement in prediction accuracy, especially for W/O emulsions with large water fractions. This study demonstrates a promising and practical strategy of solving heavy oil well shutdown problems and viscosity increasing by injecting light crude oil in the thermal stimulation.
1. Introduction
The global remaining technically recoverable reserves of oil and gas decreased slightly by 0.23% from 2021 to 2022. There were 1125.29 × 108 t of remaining technically recoverable reserves of unconventional oil and gas in 2022, accounting for 25.91% of the total value in the world, among which heavy oil contains the largest reserve [1,2]. Therefore, unconventional resources such as shale oil and tight oil are being explored, heavy oil remains one of major energy components [3,4,5]. Heavy oil is a typical crude oil of containing low fraction of light hydrocarbons and high fraction of asphaltenes and resins [6], which results in a poor flowability, as well as a poor recovery. Thermal recovery is usually employed to improve oil recovery, for example, cyclic steam injection or hot water flooding. However, the viscosity would sharply increase in the late period of thermal recovery. Main reasons came down to the emulsification of abundant W/O droplets’ formation caused by high-speed shear in porous media. Emulsification could result in decreased oil recovery, the reduced process efficiency, the increased process costs, revenue loss and even a well shutdown [7]. Detailed reasons could be attributed to several mechanisms. Firstly, Jamin’s effect would occur when emulsified oil droplets flow through small throats of porous media [8,9,10]. Additionally, Soo et al. concluded the stable transport process of emulsions in porous media is similar to a filtration process, in which the droplets not only block pores with smaller sizes, but also are captured on pore walls or in crevices. In this way, droplets were retained in pores and permeability decreased [11]. At the same time, the prolonged high-temperature operation would cause the deposition of heavy components of the crude oil on the rock surfaces, resulting in decreased permeability [12,13]. Therefore, preventing emulsification or destroying W/O droplets’ stability was critical for heavy oil recovery.
Teasing out emulsion formation mechanisms is precondition of better understanding W/O droplets’ breaking principles with varying water fractions. One emulsion is a dispersion with a poor stability formed by a complex mechanism. Mohammadian et al. found that the viscosity increased with the increase of water fraction and explained its underlying mechanisms [14]. Elevated results of hydrogen bonds, hydrodynamic forces, and flow resistance were related to the decreased distance among droplets as water content increased, while it usually forms different structures as the water concentration increases since coalescence, such as W/O, O/W, W/O/W, and O/W/O structures. Conversely, W/O droplets could resist coalescence, separation, and sedimentation at low water cut [15,16]. Recent findings reveal that stable emulsions are easily formed with the high molecular weight amphiphiles of crude oil, protecting water droplets against coalescence and breaking [17,18,19,20]. Khvostichenko and Andersen [21] also found that the water solubility in asphaltene-toluene solutions increased as the asphaltene concentration increased. For example, stable emulsions were formed at water volume ratio up to 50%, while the waxy oil could form stable emulsions with the water fraction as high as 70%.
Emulsion stability is strongly associated with active components, including asphaltenes, carboxylic organic acids, and fine inorganic particles and their combinations [22]. Asphaltenes are one of the primary causes of the emulsion stability in petroleum mixtures since its roles in stabilizing the oil–water film [23,24]. Asphaltene particles impart stability to oil–water interfaces by providing resistance to water droplets coalescence [25]. In details, molecular dynamics simulations of asphaltenes behavior on the water–oil interface were attentively performed by Yuan et al. and Kuznicki et al. [26,27,28]. π-π interactions of asphaltene molecules have an essential effect on the stability of the oil–water interface and asphaltene molecules have a specific orientation on the oil–water interface. Charged terminal groups has a distinct affinity for the toluene-water interface while uncharged molecules did not show similar behavior. Silva et al.’s research showed that hydrophobic ionic liquids and longer cation alkyl chains favored the demulsification, which implied the cation type’s influences on the stability of water–oil film [29]. Theoretically, the interfacial charge is the first defense line of the emulsion stability, in which significant electrical double-layer repulsion exists among droplets, while the second line is the film [30]. Once the deformation of droplets causing film to thin below a critical thickness would result in the droplets coalesce [31]. In summary, the emulsion stability mechanisms could be concluded as van der Waals forces, steric repulsion, Gibbs–Marangoni effect, and interfacial film formation [32,33,34,35].
Scholars provided solutions of weakening the water–oil film stability from perspectives of interfacial tension and interfacial charges to promote the demulsification and viscosity reduction economically and environmentally. The stabilizing effect of interfacial charges on emulsion films is listed as follows: the emulsion droplets coalesce were prevented by the repulsion of droplets’ film with identical charges. The more stable the emulsion is, the higher film strength and the higher charge density are. Proposed solutions to break water-in-oil emulsions and emulsify the crude oil to form the O/W emulsion are usually chemical EOR operations, such as alkali, emulsification oil flooding agents or their combinations. Crude oil–water–rock interactions have been modified by EOR chemicals through a series of complicated physical chemical reactions [36,37,38]. Surfactants tend to decrease the oil–water interfacial tension (IFT) and alkali saponifies indigenous acidic components in the crude, resulting in the higher water solubility and lower IFT. Their impacts arise due to chemicals adsorption on the interface, by which they alter surface electric charges and interfacial tensions. In the case of the bitumen-aqueous interface, optimal primary recovery efficiency was found to be associated with a maximum in interfacial electric charge and a minimum in interfacial tension [39]. However, Jamin’s effect still occur when emulsified O/W droplets flow through small throats of porous media [40]. Furthermore, the pollution problems and the cost resulted by alkali’s serious adsorption or caused by the produced water process and a large amount of the chemical agents injected inspired us to put forward a more environmentally scheme.
The dilution method has aroused wide attractions for its successful applications in petroleum exploitation with advantages of low energy consumption, environmental protection and low cost. For example, light hydrocarbons as a steam additive or steam replacement fluid achieved success in expanding-solvent steam-assisted gravity drainage, vapor extraction, and cyclic solvent injection, wellbore dilution and crude oil transportation, and the dissolve of plugging by hot oil injection [41,42,43]. Consequently, the viscosity, pour point, colloidal content, and asphaltene concentration of heavy oil are significantly reduced with low viscosity oil dilution, improving oil quality of crude oil [44,45]. With the dilution ratio increasing, highly condensed aromatic basic, nonpolar, and acidic asphaltene multilayered films stabilizing emulsions were precipitated once the solvent diluent added beyond the critical dilution concentration [46]. Diluted bitumen-water interfacial tension decreased sharply with increasing the solvent dosage in the bitumen [47,48]. Wu’s study revealed that the concentration of bitumen would influence or even determine the emulsion stability since its role in oil–water interface. For example, the addition of kerosene, or diesel, or light crude oil (15–20 wt%) to heavy crude oil could reduce almost 90% of the heavy oil viscosity with the value of 4000 mPa·s [49]. Scholars proposed to improve the quality of the heavy oil emulsions through dilution with light oil [50].
Extensive work has been conducted to determine how nature and amount of the diluent affects the ability of the oil phase to stabilize emulsions, as well as viscosity [51,52,53]. Czarnecki and Moran presented a model explaining the oil–water interface stabilization at low or high dilution. The interface remained flexible at low dilutions (high bitumen concentrations), while it is rigid at high dilutions. Hence, water in the froth after Athabasca Oil Sands processing could be separated using the dilution method [51]. The emulsion stability of water-in-diluted bitumen emulsions decreased as the naphtha to bitumen ratio increased from 0.5 to 1.5 [52]. He et al. tested (diluted) bitumen-water interfacial tensions and concluded that solvent addition facilitated the bitumen liberation and recovery, which is related to reduced bitumen-water interfacial tension and the reduction in bitumen viscosity [53]. Essentially, diluted bitumen-water interfacial tension decreased sharply with the solvent ratio increasing, as well as the viscosity. In addition, Sullivan and Kilpatrick [54] compared the heavy oil’ solubility in the solvent and the aromatic hydrocarbons. Employed solvents were pure refined oils, fractionated oil, natural gas condensate, and other light oils [55,56,57,58,59]. Results show that asphaltene particles and resin asphaltene would still aggregate on the oil–water interface, forming W/O droplets, or even causing asphaltene precipitation, while heavy oil in aromatic solvents better solvates asphaltene aggregates since its increased resin or aromatic solvent content. Based on the principle of “like dissolves like”, it seems that light crude oil could better solve the heavy oil and eliminate asphaltene aggregation.
The heavy oil quality was thoroughly improved from aspects of chemical composition, density, and rheology, which is the highlight of the dilution method. The diluent oils mixing with the heavy oils were usually propane, toluene, heptane, naphtha, heavy oil distillation fractions and light crude oil [60,61,62,63]. C3–C12 hydrocarbon or mixtures are usually selected as displacement phase in the solvent-based method to assist viscosity reduction and enhance oil recovery. In addition, Ilyin et al. suggest bio-oil as the diluent oil, which is obtained from forest and agricultural wastes by thermochemical processing [64]. These pure refined oils are not economical since they are a series of processing. Light crude oil shows a high potential in demulsification and viscosity reduction. Hence, we suggest light crude oil as the dilution solvent to reduce viscosity and eliminate emulsion plugging in formation.
In this work, rheological tests and microscopic analysis were conducted on a heavy oil sample and two light crude oil samples from Bohai oilfield, as well as diluted water-in-heavy-oil (W/O) emulsions with varying water fractions. Based on experiment results, the demulsification characteristics when W/O emulsions mixing with light crude oil were clarified, as well as the viscosity reduction law. The possible microscopic mechanisms of viscosity reduction by dilution were proposed and optional oil type for solving formation plugging was suggested. Finally, applications of viscosity prediction models for diluted W/O emulsions was analyzed. This study is expected to provide a reference for the practical applications in the solvent-based heavy oil recovery methods, formation blockage solution, wellbore dilution and heavy oil transportation.
2. Materials and Methods
2.1. Materials
Three crude oil samples were chosen from Nanpu oilfield, Bohai Bay. Two light crude oil samples include one light oil sample (namely L1), and one heavy oil with relative low viscosity as light heavy oil (namely L2). The heavy oil sample (namely A0) is selected from A1H1 well, while two other light crude oil samples are produced from two nearby production well. The samples’ viscosity can be found in Table 1.
Table 1.
Experimental crude oil viscosity data (50 °C, mPa·s).
2.2. Experimental Apparatus
An oil degassing dehydrator was purchased from Yangzhou Huabao Oil Instrument Co., Ltd., Yangzhou, China. The dehydration temperature is 120 °C and the dehydration time is about 8 h until no water droplets observed using BX53 electron microscope.
BX53 electron microscope produced by Olympus Corporation of Japan, Tokyo, Japan. The magnification is 40×–1000×. The sample are prepared by the doctor blade method with the advantages of uniform sample and easy observation to observe the micro-state of O/W emulsion.
HAAKE MARSIII modular rheometer produced by Thermo Fisher Scientific Co., Ltd., Karlsruhe, Germany, was employed in our experiments. The highest operating temperature is 300 °C and the highest test pressure is 40 MPa. The rotor P35TiL is installed and the test temperature range is 50~80 °C in this study. The test gap is 1.0 mm and shear rate is 5 s−1.
2.3. Experimental Procedures
The flow chart of research methodology could be found in Figure 1 including (1) dehydration, heavy oil emulsion preparation, diluted heavy oil emulsion samples preparation, and the test steps.
Figure 1.
The flow chart of research methodology.
- (1)
- Dehydration. Crude oil was dehydrated and degassed using the electric dehydrator under the temperature of 120 °C for about 12 h firstly, and microscopic analysis was employed to ensure that water is removed thoroughly during the dehydration.
- (2)
- Heavy oil emulsion preparation. Heavy oil emulsions with varied water contents of 30%, 40%, 50% and 60% (named A30, A40, A50 and A60, respectively) were obtained by mixing crude oil and water by stirring.
- (3)
- Diluted heavy oil emulsion samples preparations. Heavy oil emulsions were mixed with varied ratio of light crude oil to obtain diluted heavy oil emulsions, and the dilution ratio were 1:7, 2:8, 3:7. Heavy oil emulsions and diluted heavy oil emulsions preparation process is shown in Figure 2.
Figure 2. The process of preparing diluted heavy oil emulsion samples. - (4)
- Tests. Microscopic observation of diluted heavy oil emulsions performed by Olympus BX53 Microscope. and the rheological tests by Haake MARS III rotational rheometer were performed on heavy oil emulsions and diluted heavy oil emulsion samples.
3. Results and Discussion
3.1. Water Fraction’s Effect on W/O Emulsion Viscosity
To figure out the emulsification behavior of heavy oil emulsions with varied water fractions, the rheological tests (50–80 °C) and microscopic analysis was conducted. Results showed that the viscosity of heavy oil emulsions increased with the water content increasing (Table 2 and Figure 3). The viscosity increased as the water fraction increased from 30% to 60%, revealing that the phase reverse point is less than 60% in this study. the phase reverse points of heavy oils in China are usually 20~50%, such as Tahe, Shengli extra-heavy oil, and Henan oilfield [65]. It could be inferred that the corresponding asphaltene and colloidal content of Bohai heavy oil samples may be even higher than areas listed above.
Table 2.
Viscosity of heavy oil with varied water content (mPa·s), 50 °C~80 °C.
Figure 3.
The viscosity of heavy oil with varied water content (viscosity at 50 °C, flowability 20 °C).
The viscosity and visible flowability of heavy oils with varied water contents are shown in Figure 3. As the water content increased from 0% to 60%, the viscosity increased from 1453 mPa·s to 9854 mPa·s, which reflects its influences on flowability. The microscopic analysis in Figure 4 could present the W/O droplets distribution and their size. The W/O droplets distribution became denser, and the overall self-emulsification degree of the heavy oil increased, resulting in an increased friction between the droplets, as well as the viscosity. However, as the water fraction increased, the droplets number increased, but the proportion of small droplets decreased. In this way, the W/O droplets size distributed around the larger range with the increase of water fraction.
Figure 4.
Microscopic observation of heavy oil with varying water content at room temperature (Yellow: crude oil; transparent bubbles: water droplets).
3.2. The Dilution Ratio’s Effect on W/O Emulsion Viscosity
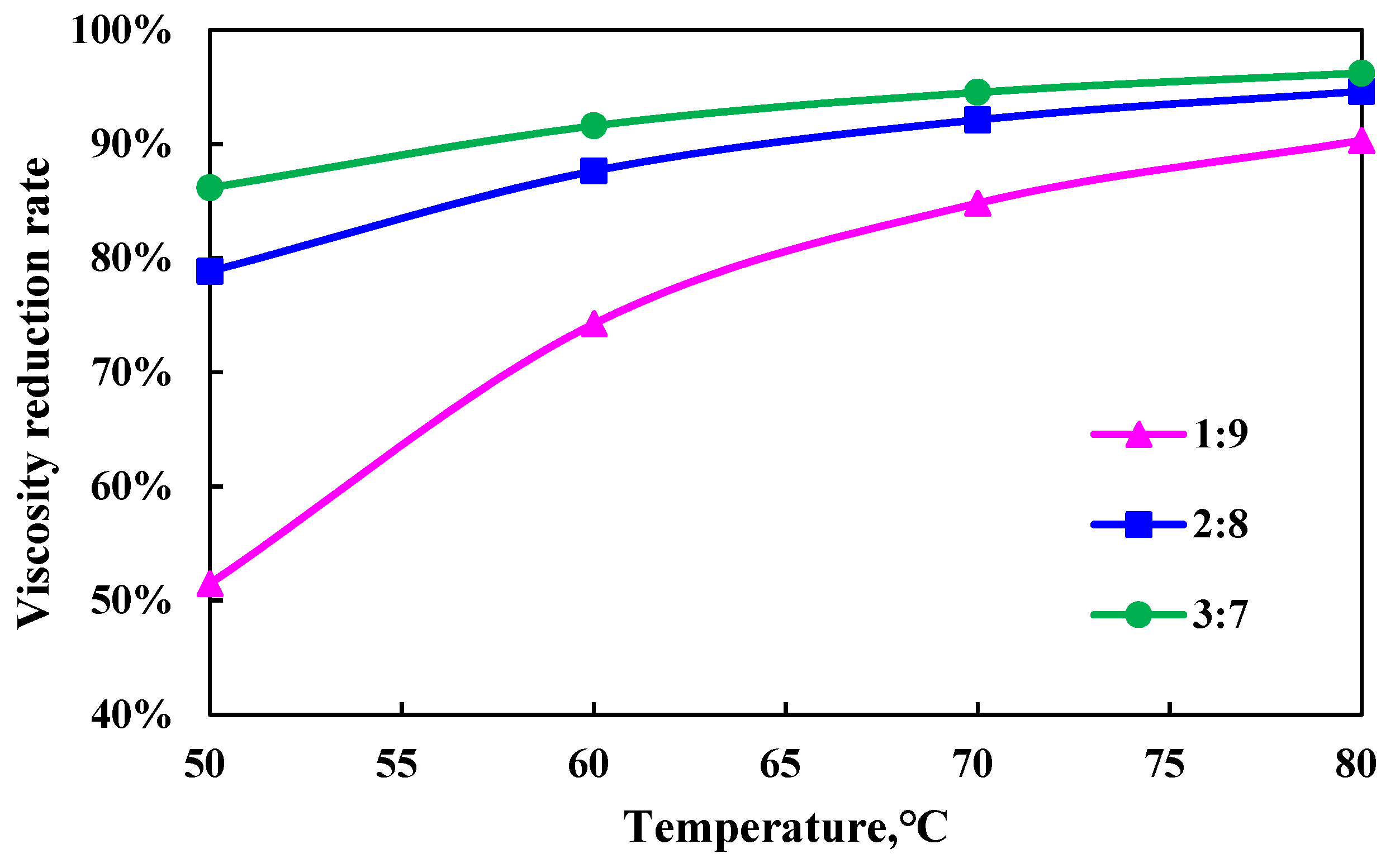
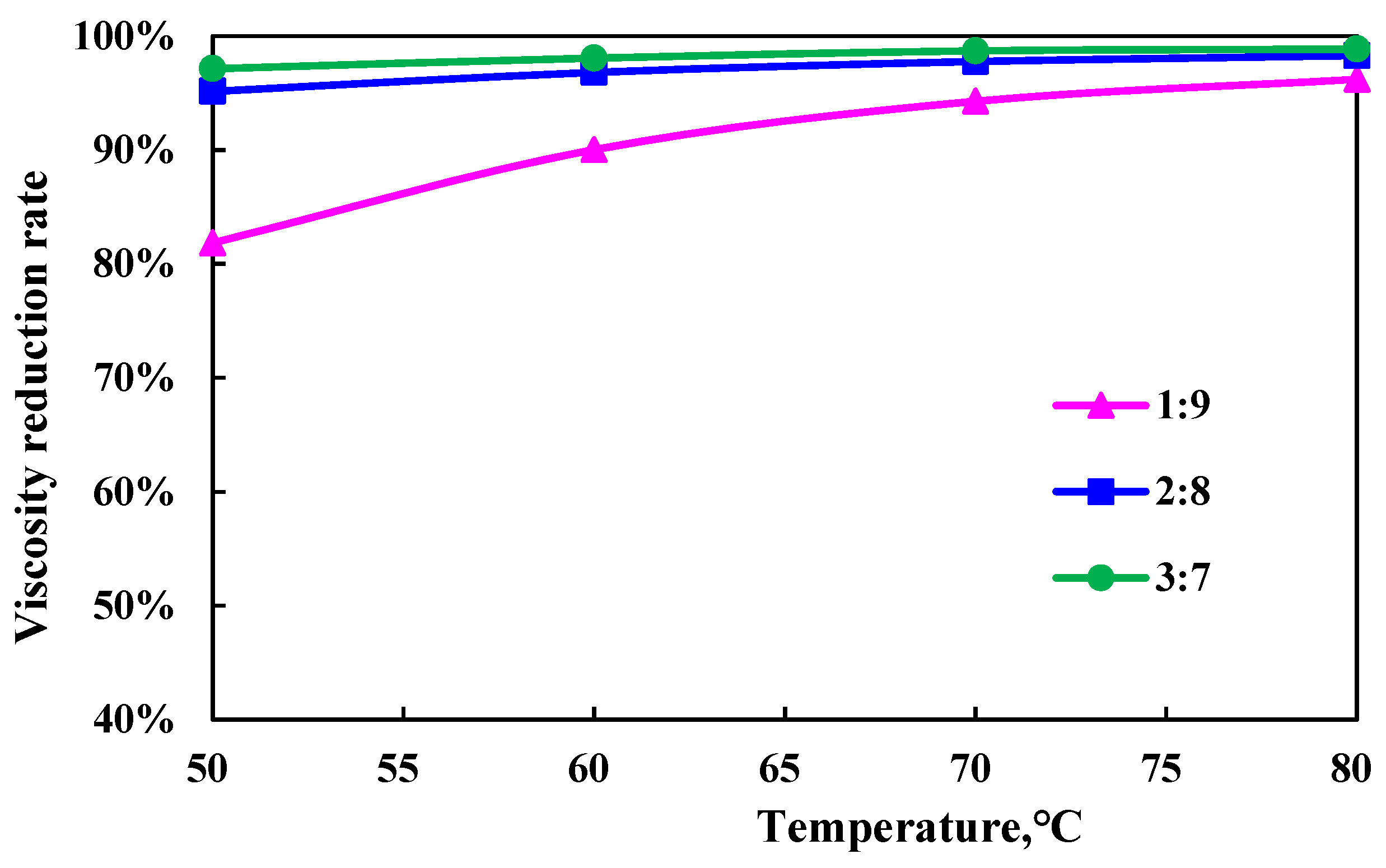
As shown in Figure 5 and Figure 6, the larger the dilution ratio is, the larger the viscosity reduction rate will be. The dilution ratio of 2:8 is suggested as the optimal one for reducing viscosity in our study. The viscosity reduction rate of dead crude oil diluted by light oil L1 (dilution ratio, 2:8) is close to 80%, and even arrives at 90% once the temperature rises to 80 °C. Similarly, the viscosity reduction rate of the heavy oil emulsions (water content, 50%) could be more than 95% and rise to 99% when the temperature is up to 80 °C. The comparison results between heavy oil and its emulsions show that light oil has a better viscosity reduction effect on heavy oil emulsions. It is probably related to the influences of the W/O droplets by dilution, which are analyzed further in this section and Section 3.3.
Figure 5.
The viscosity reduction rate of dead heavy oil by light oil L1.
Figure 6.
The viscosity reduction rate of heavy oil emulsions (water content, 50%) by light oil L1.
To explore reasons for discrepancy of the viscosity reduction effect by dilution between water in heavy oil emulsion and dead heavy oil, the subtraction of viscosity reduction rates of heavy oil emulsions with varied water content and corresponding diluted emulsions was calculated, respectively. In this case, the subtractions could reflect relative influencing factors except dilution ratio and temperature, such as demulsification of heavy oil emulsions during dilution. As shown in Figure 7, the difference in viscosity reduction rate decreased as the dilution ratio increased at the same temperature. Additionally, the difference in viscosity reduction rate decreased as the increase of temperature with the same dilution ratio. Therefore, the increased temperature and dilution ratio may weaken the demulsification effects on viscosity reduction.
Figure 7.
The subtractions of viscosity reduction rates of diluted heavy oil emulsions and diluted dead heavy oil (dilution ratio 1:9, 2:8 and 3:7, 50~80 °C).
The viscosity reduction rates were calculated based on rheological tests as shown in Figure 8. It could be seen that the viscosity reduction rate of water in heavy oil emulsions increased, as the water content increased from 0% to 50%, while the viscosity reduction rate decreased when the water content was close to 60%. Heavy oil emulsions probably contained free water with the high-water fraction of 60%. Therefore, the emulsification occurred again between free water and introduced light crude oil, which increased the viscosity to some extent [59]. The transition was more pronounced during the dilution process with light heavy oil. Light heavy oil has a larger amount of polar component, and Hence, favor the emulsification between free water and crude oil more sufficiently, which could be proved in following microscopic analysis.
Figure 8.
The viscosity reduction rates of diluted heavy oil emulsions by light oil and light heavy oil (50 °C).
Light oil showed better viscosity reduction effect on water in heavy oil emulsions than light heavy oil as illustrated in Figure 8. For example, the viscosity reduction ratio of light oil at the dilution ratio of 1:9 is even better than that of light heavy oil at the dilution ratio of 30%. The emulsification degree of heavy oil was enhanced when the water fraction increased as illustrated in Figure 4. However, the emulsion’s stability was disrupted once mixed with low viscosity oil. Detailed discussion and demonstration from microscopic view are shown in Section 3.3.
3.3. W/O Droplets Stability in the Dilution Process
The W/O droplets density and their size distribution after dilution reflects demulsification characteristics and W/O Droplets stability. Droplet size distributions were quantitatively analyzed as shown in Figure 9, including diameter range and median diameter.
Figure 9.
The microscopic results of W/O emulsions mixing with light oil. Notes. Contents below each picture are listed as follows: water fractions of heavy oil emulsions before dilution, dilution ratio; (minimum diameter, maximum diameter), median diameter.
W/O droplets properties of diluted W/O emulsions by light oil could be summarized as follows: the W/O droplets density decreased as the dilution ratio increased, as well as the W/O droplets size; the demulsification process was enhanced with the increase of light oil dilution ratio; and the W/O droplets’ stability is weakened in the dilution process, for example, diameter ranges were (0.35, 3.75) μm, (0.35, 2.31) μm, and (0.29, 1.55) μm, respectively when the W/O emulsions with water fraction of 60% diluted at 1:9, 2:8 and 3:7. The W/O droplets’ stability of W/O emulsions after diluting with 30% light heavy oil were also analyzed, contrastively and complementally. Compared with the dilution results of light oil, W/O droplets distribution was denser and the droplets size were distributed around the larger range in the dilution process by light heavy oil. For example, the W/O droplets’ size distributed mainly from 0.29 μm to 1.25 μm (water fraction 30%, dilution ratio 3:7, light oil), while the W/O droplets’ size was distributed mainly from 0.32 μm to 2.52 μm (water fraction 30%, dilution ratio 3:7, light heavy oil).
Both light oil and light heavy oil could disturb the W/O droplets stability, especially droplets with large size. Light oil showed a stronger demulsification ability than light heavy oil. On the contrary, the re-emulsification between free water and crude oil is pronounced in the mixing process of W/O emulsions and light heavy oil when the water fraction is large, which will weaken the viscosity reduction effect by dilution. Light oil is suggested as the dilution oil for alleviating formation plugging caused by emulsification or Jamin’s effect. The demulsification would assist the viscosity reduction effect by dilution. In summary, the synergistic effects of the dilution effects of dissolving heavy components by light crude oil and the weakened oil–water film stability would reduce the viscosity of W/O emulsions.
The emulsions stability mainly depends on the stability of the oil–water interfacial film, which is closely related to interfacial electrostatic properties [66]. The interfacial electrostatic properties are determined by the polar component aggregations on the water–oil film, including asphaltenes, colloids, and petroleum soap with negative charges. Previous work revealed that protrusions and aggregation of asphaltenes on the water–oil interface would promote the emulsions stability through further enhancing the repulsive effect between liquid droplets. In this way, adding diluent oil reduces the asphaltenes content per unit volume, weakens the repulsive forces, and reduces the emulsion stability. Droplets repulse each other and prevent coalescence when approaching.
Take the asphaltene for example, the asphaltene content decreased when mixing with light crude oil in the dilution process. In this way, light crude oil could hinder the asphaltene aggregation through weakening the interactions on water–oil interface, which is similar with the ionic liquids’ viscosity modifiers principle of charge-transfer interactions on the oil–water interfacial film [67,68], Theoretically, the emulsion stability in the dilution process could be explained by the electric double layer model as illustrated in Figure 10. The adsorption and aggregation of polar components on the oil–water interface decrease when mixing with the light crude oil, resulting in a reduction in the charge amount on oil–water interface. The repulsive force between W/O droplets would decrease. In this way, droplets tend to aggregate, the water–oil film is inclined to drainage and rupture, and finally the droplets coalesce. In addition, the W/O droplets with the larger size were more inclined to undergo demulsification firstly, and Hence, droplets size would tend to be uniform as illustrated in Figure 9 and Figure 11.
Figure 10.
Schematic diagram of the stability of W/O droplets in dilution process.
Figure 11.
The microscopic results of W/O emulsions mixing with light heavy oil at 3:7. Notes. Contents below each picture are listed as follows: water fractions of heavy oil emulsions before dilution, dilution ratio; (minimum diameter, maximum diameter), median diameter.
3.4. Viscosity Prediction of Diluted Water-in-Heavy-Oil Emulsions
The dilution process of heavy oil emulsions with light crude oil could be considered as the process of mixing dead heavy oil with light crude oil at first and then emulsifying mixtures with water. Firstly, the viscosity of dead crude oil mixtures could be calculated by the Arrhenius model [69] as follow
To simplify, the mass fraction of water in heavy oil emulsion and light crude oil was calculated using the volume ratio , as follows,
where, is the viscosity of the crude oil mixture, mPa·s; , are the viscosities of the heavy oil and diluent oil, respectively, mPa·s; , are the mass fractions of the heavy oil and diluent oil, respectively.
Viscosity prediction models of diluted water-in-oil emulsions as listed in Table 3 are obtained through combining Equation (1) with viscosity prediction models of water-in-oil emulsions, including Einstein model, Brinkman model, Taylor model, Richardson model, Hatschek model, Krieger–Dougherty model, Guth–Simha model, and Vand model [70,71]. Applications of viscosity prediction models above were evaluated by abundant experimental data. The viscosity prediction model performance was evaluated based on the relative deviation and mean absolute deviation between the predicted values and the measured ones (Table 4 and Figure 12). The Richardson model prediction showed the best accuracy with the relative deviation of 13.8%. However, the prediction accuracy of Richardson model significantly became poor with the water content exceeding 50%. The maximum relative deviation was up to 44.1%.
Table 3.
Viscosity prediction models of diluted water-in-oil emulsions.
Table 4.
Prediction error results of different viscosity prediction models for water-in-oil emulsions.
Figure 12.
Predicted values by Richardson model and experimental values for W/O emulsion by dilution with varying water fractions (30~60%) and varying temperatures (50~80 °C).
In conclusion, the Richardson model possesses a better prediction accuracy than other models except a great discrepancy at high water content, which was selected to furtherly estimate viscosity of diluted W/O emulsions. The combined model of Equation (1) and Richardson model (Table 3) was preliminarily proposed for viscosity prediction of diluted water in heavy oil emulsions.
Viscosity prediction results based on Equation (4) under varying experimental temperatures are described in Figure 12, including diluted water in heavy oil emulsions by light oil (12 mPa·s) or light heavy oil (248 mPa·s). Predicted viscosity values of diluted water in heavy oil emulsions by light oil (12 mPa·s) are larger than measured values, while predicted viscosity values of diluted water in heavy oil emulsions by light heavy oil (248 mPa·s) are smaller than measured values. At the same time, the discrepancy between the predicted values and the measured values seem to have been influenced by the dilution ratio and water fractions. Reasons could be related to the emulsification and demulsification in Section 3.3. The demulsification is obvious in the mixing process of water in heavy oil emulsions and light oil, which benefits the viscosity reduction by dilution. The re-emulsification between free water and crude oil is pronounced in the mixing process of water in heavy oil emulsions and light heavy oil, which weakens the viscosity reduction by dilution. Hence, influences of water fractions, dilution oil viscosity and dilution ratio should be taken into full consideration when modifying the viscosity prediction model.
In consideration of viscosity underestimation and overestimation of Equation (4) at the high-water content, our improved model introduces correction coefficients to weaken the influence of water content at low levels and strengthen its influence at high levels. Additionally, the logarithmic transformation of the viscosity and water content values after mixing indicates a power-law relationship between the two models. It could be concluded that the viscosity prediction accuracy is influenced by the demulsification process caused by the dilution ratio and dilution oil’s viscosity. The modified viscosity prediction model with variable constants of coefficients is designed as below:
where , , and are variable constants. Each group of variable constants are obtained through fitting the experimental data of diluted W/O emulsions with varying water fractions under a certain temperature.
Comparison results between predicted viscosity of the modified model and experimental measured viscosity were shown in Figure 13 and Table 5. In addition, almost every correlation index R2 in each temperature group is larger than 98%, indicating a good applicability of viscosity prediction. Hence, Equation (5) is proposed to better suit the viscosity prediction of diluted W/O emulsions with considering sort of factors, including dilution ratio, water fractions, and dilution oil types.
Figure 13.
Predicted viscosity values by the modified model and experimental values for diluted W/O emulsion with varying water fractions (30~60%) and varying temperatures (50~80 °C).
Table 5.
Values of correlation index R2 are listed in table.
4. Conclusions
In our study, one heavy oil sample and two light crude oil samples from Bohai oil field were chosen to conduct the rheological tests and microscopic analysis, as well as mixing samples of heavy oil emulsions with varied water fractions and light crude oil. The dilution method could be used for emulsions transportation in pipeline, low viscosity oil injection for heavy oil recovery through huff-n-puff or assisting thermal technology. Remarked conclusions are summarized as follows,
- (1)
- The heavy oil emulsions viscosity increased from 1453 mPa·s to 9854 mPa·s as the water fractions range from 0% to 60%. Furthermore, the W/O droplets size distribution range increased with the water content increasing, reflecting the W/O droplets stability.
- (2)
- Mixing with light crude oil could reduce the viscosity of heavy oil emulsions and improve the flowability effectively. The viscosity reduction rate by dilution increased as the water content increased when the water fraction was less than 60%.
- (3)
- The microscopic analysis about W/O droplets distribution and their size could reveal that the dilution process probably affects the oil–water film stability by adjusting interfacial electrostatic properties, as well as the repulsion between W/O droplets. The demulsification would assist the viscosity reduction effect by dilution. In conclusion, the synergistic effects of the dilution effects of dissolving heavy components and the weakened oil–water film stability in the dilution process would reduce the viscosity of W/O emulsions.
- (4)
- The poor performance of the Richardson model for predicting viscosities of diluted water in heavy oil emulsions may be related to the emulsification between free water and crude oil and demulsification. The modified Richardson model which introduced coefficients of variable constants showed a significant improvement of prediction accuracy, especially for diluted water in heavy oil emulsions with large water fractions.
Author Contributions
Conceptualization, Y.L. and W.Z.; methodology, Y.L. and P.G.; validation, P.G., L.Z. and C.L.; formal analysis, Y.L. and W.Z.; investigation, J.B. and P.G.; resources, X.H. and Y.H.; data curation, M.Z.; writing—original draft preparation, J.B. and C.L.; writing—review and editing, Y.L. and W.Z.; supervision, L.Z.; project administration, P.B. All authors have read and agreed to the published version of the manuscript.
Funding
This research is supported by the project of “Effective Thermal Recovery Technology of Offshore Heavy Oil” (KJGG2021-0600) under the “14th Five-Year Plan” major science and technology project of CNOOC, “Study on Enhanced Oil Recovery and Key Process Technology of Thermal Recovery of Typical Heavy Oil Reservoirs in Bohai Bay” (KJGG2022-0602).
Data Availability Statement
Data is contained within the article.
Acknowledgments
The authors will also gratefully appreciate the anonymous reviewers’ suggestions.
Conflicts of Interest
Authors (Yigang Liu, Jianhua Bai, Peipei Guo, Wei Zhang, Xiaodong Han, Peidong Bi) were employed by the company China National Offshore Oil Corp-Tianjin. The remaining authors declare that the research was conducted in the absence of any commercial or financial relationships that could be construed as a potential conflicts of interest.
Nomenclature
| The viscosity of the diluted heavy oil, mPa·s | |
| The viscosity of heavy oil, the viscosity of diluent oil, mPa·s | |
| The mass fraction of heavy oil, the mass fraction of diluent oil | |
| The viscosity of the mixture of heavy oil and diluent oil, mPa·s | |
| The viscosity of crude oil, mPa·s | |
| The water content ratio | |
| Variable constants | |
| the volume fraction of heavy oil, the volume fraction of diluent oil |
References
- Wang, Z.Q.; Fan, Z.; Chen, X.; Fan, Z.; Wei, Q.; Wang, X.; Yue, W.; Liu, B.; Wu, Y. Global oil and gas development in 2022: Situation, trends and enlightenment. Pet. Explor. Dev. 2023, 50, 1167–1186. [Google Scholar] [CrossRef]
- Bosikov, I.I.; Klyuev, R.V.; Gavrina, O.A. Analysis of geological-geophysical materialsand qualitative assessment of the oil and gas perspectives of the Yuzhno-Kharbizhinsky area (Northern Caucasus). Geol. I Geofiz. Yuga Ross. = Geol. Geophys. Russ. South 2021, 11, 6–21. (In Russian) [Google Scholar]
- Meng, M.; Peng, J.; Ge, H.; Ji, W.; Li, X.; Wang, Q. Rock fabric of lacustrine shale and its influence on residual oil distribution in the Upper Cretaceous Qingshankou Formation, Songliao Basin. Energy Fuels 2023, 37, 7151–7160. [Google Scholar] [CrossRef]
- Gomaa, K.G.; Salem, A.N. El-hoshoudy. Recovery of Heavy Oil and Extra Heavy Oil; Current Status, New Trends, and Enhancement Techniques. Petroleum, 2023; in press. [Google Scholar] [CrossRef]
- Temizel, C.; Kirmaci, H.; Inceisci, T. Production Optimization in Heavy Oil Recovery Processes. In Proceedings of the SPE Heavy Oil Conference and Exhibition, Kuwait City, Kuwait, 6–8 December 2016; OnePetro: Richardson, TX, USA, 2016. [Google Scholar]
- Ilyin, S.; Arinina, M.; Polyakova, M.; Bondarenko, G.; Konstantinov, I.; Kulichikhin, V. Asphaltenes in heavy crude oil: Designation, precipitation, solutions, and effects on viscosity. J. Petrol. Sci. Eng. 2016, 147, 211–217. [Google Scholar] [CrossRef]
- Mikula, R.J.; Kasperski, K.L.; Burns, R.D.; MacKinnon, M.D. Nature and fate of oil sands fine tailings. In Suspensions: Fundamentals and Applications in the Petroleum Industry; Schramm, L.L., Ed.; Advances in Chemistry; American Chemical Society (ACS): Washington, DC, USA, 1996; Volume 251, Chapter 14; pp. 677–726. [Google Scholar]
- Liu, J.B.; Liu, S.; Zhang, W.; Zhong, L.G. Influence of Emulsification Characteristics on the Pressure Dynamics during Chemical Flooding for Oil Recovery. Energy Fuels 2023, 37, 4308–4319. [Google Scholar] [CrossRef]
- Xu, K.; Liang, T.; Zhu, P.; Qi, P.; Lu, J.; Huh, C.; Balhoff, M. A 2.5-D glass micromodel for investigation of multi-phase flow in porous media. Lab Chip 2017, 17, 640–646. [Google Scholar] [CrossRef] [PubMed]
- Zhou, X.; Dong, M.; Maini, B. The dominant mechanism of enhanced heavy oil recovery by chemical flooding in a two dimensional physical model. Fuel 2013, 108, 261–268. [Google Scholar] [CrossRef]
- Soo, H.; Radke, C.J. Flow mechanism of dilute, stable emulsions in porous media. Ind. Eng. Chem. Res. 1984, 23, 342–347. [Google Scholar] [CrossRef]
- Zhao, H.W. Experimental Research on Formation and Demulsification of Heavy Oil Emulsion in Bohai Sea. Master’s Thesis, Northeast Petroleum University, Daqing, China, 2017. [Google Scholar]
- Sun, H.Q.; Liu, H.Q.; Wang, H.T. Development technology and direction of thermal recovery of heavy oil in China. Acta. Petrol. Sin. 2022, 43, 1664–1674. [Google Scholar]
- Mohammadian, E.; Taju Ariffin, T.S.; Azdarpour, A.; Hamidi, H.; Yusof, S.; Sabet, M.; Yahya, E. Demulsification of Light Malaysian Crude Oil Emulsions Using an Electric Field Method. Ind. Eng. Chem. Res. 2018, 57, 13247–13256. [Google Scholar] [CrossRef]
- Lee, T.; Cho, J.; Lee, J. Mixing Properties of Emulsified Fuel Oil from Mixing Marine Bunker-C Fuel Oil and Water. J. Mar. Sci. Eng. 2022, 10, 1610. [Google Scholar] [CrossRef]
- Saad, M.A.; Kamil, M.; Abdurahman, N.H.; Yunus, R.M.; Awad, O.I. An Overview of Recent Advances in State-of-the-Art Techniques in the Demulsification of Crude Oil Emulsions. Processes 2019, 7, 470. [Google Scholar] [CrossRef]
- Salam, K.; Alade, A.O.; Arinkoola, A.O. Improving the Demulsification Process of Heavy Crude Oil Emulsion through Blending with Diluent. J. Petrol. Eng. 2013, 2013, 793101. [Google Scholar] [CrossRef]
- Christophe, D.; David, A.; Anne, S.; Alain, G.; Patrick, B. Stability of water/crude oil emulsions based on interfacial dilatational rheology. J. Colloid. Interf. Sci. 2006, 297, 785–791. [Google Scholar]
- Rondon, M.; Pereira, J.C.; Bouriat, P.; Graciaa, A.; Lachaise, J.; Salager, J.L. Breaking of water-in-crude-oil emulsions. 2.Influence of asphaltene concentration and diluent nature on demulsifier action. Energy Fuels 2008, 22, 702–707. [Google Scholar] [CrossRef]
- Ekott, E.J.; Akpabio, E.J. Influence of asphaltene content on demulsifiers performance in crude oil emulsions. J. Eng. Appl. Sci. 2011, 6, 200–204. [Google Scholar] [CrossRef][Green Version]
- Khvostichenko, D.S.; Andersen, S.I. Interactions between Asphaltenes and Water in Solutions in Toluene. Energy Fuels 2008, 22, 3096–3103. [Google Scholar] [CrossRef]
- Kilpatrick, P.K. Water-in-Crude Oil Emulsion Stabilization: Review and Unanswered Questions. Energy Fuels 2012, 26, 4017–4026. [Google Scholar] [CrossRef]
- Buckley, J.S.; Liu, Y.; Xie, X.; Morrow, N.R. Asphaltenes and crude oil wetting-the effect of oil composition. SPE J. 1997, 2, 107–119. [Google Scholar] [CrossRef]
- Goual, L.; Horváth-Szabó, G.; Masliyah, J.H.; Xu, Z. Adsorption of Bituminous Components at oil-water Interfaces Investigated by Quartz Crystal Microbalance: Implications to the Stability of Waterin-Oil Emulsions. Langmuir 2005, 21, 8278–8289. [Google Scholar] [CrossRef] [PubMed]
- Paso, K.; Silset, A.; Sorland, G. Characterization of the Formation, Flowability, and Resolution of Brazilian Crude Oil Emulsions. Energy Fuels 2009, 23, 471–480. [Google Scholar] [CrossRef]
- Gao, F.; Xu, Z.; Liu, G.; Yuan, S. Molecular dynamics simulation: The behavior of asphaltene in crude oil and at the oil-water interface. Energy Fuels 2014, 28, 7368–7376. [Google Scholar] [CrossRef]
- Liu, J.; Zhao, P.Y.; Ren, S.L. Molecular Dynamics Simulation of Self-Aggregation of Asphaltenes at an oil-water Interface: Formation and Destruction of the Asphaltene Protective Film. Energy Fuels 2017, 29, 150203133004006. [Google Scholar] [CrossRef]
- Kuznicki, T.; Masliyah, J.H.; Bhattacharjee, S. Molecular Dynamics Study of Model Molecules Resembling Asphaltene-Like Structures in Aqueous Organic Solvent Systems. Energy Fuels 2008, 22, 2379–2389. [Google Scholar] [CrossRef]
- Silva, E.B.; Santos, D.; Alves, D.R.M.; Barbosa, M.S.; Guimaraes, R.C.L.; Ferreira, B.M.S.; Guarnieri, R.A.; Franceschi, E.; Dariva, C.; Santos, A.F.; et al. Demulsification of Heavy Crude Oil Emulsions Using Ionic Liquids. Energy Fuels 2013, 27, 6311–6315. [Google Scholar] [CrossRef]
- Kruyt, H.R. Colloid Science; Elsevier: New York, NY, USA, 1952. [Google Scholar]
- Zapryanov, Z.; Malhotra, A.K.; Aderangi, N.; Wasan, D.T. Emulsion stability: An analysis of the effects of bulk and interfacial properties on film mobility and drainage rate. Int. J. Multiphas. Flow 1983, 9, 105. [Google Scholar] [CrossRef]
- Sarkar, J.; Sharma, A. A Unified Theory of Instabilities in Viscoelastic Thin Films: From Wetting to Confined Films, From Viscous to Elastic Films, and From Short to Long Waves. Langmuir 2010, 26, 8464–8473. [Google Scholar] [CrossRef]
- McLean, J.D.; Spiecker, P.M.; Sullivan, A.P.; Kilpatrick, P.K. The Role of petroleum asphaltenes in the stabilization of water-in-oil- emulsions. In Structures and Dynamics of Asphaltenes; Mullins, O.C., Sheu, E.Y., Eds.; Plenum Press: New York, NY, USA, 1998; Chapter XII; p. 377. [Google Scholar]
- Verruto, V.J.; Le, R.K.; Kilpatrick, P.K. Adsorption and Molecular Rearrangement of Amphoteric Species at Oil–Water Interfaces. J. Phys. Chem. B 2009, 113, 13788–13799. [Google Scholar] [CrossRef]
- Ese, M.H.; Sjöblom, J.; Djuve, J.; Pugh, R. An atomic force microscopy study of asphaltenes on mica surfaces. Influence of added resins and demulsifiers. Colloid. Polym. Sci. 2000, 278, 532–538. [Google Scholar] [CrossRef]
- Nguyen, D.T.; Sadeghi, N.; Houston, C. Emulsion Characteristics and Novel Demulsifiers for Treating Chemical Induced Emulsions. In Proceedings of the Enhanced Oil Recovery Conference of the Society of Petroleum Engineers (SPE), Kuala Lumpur, Malaysia, 19–21 July 2011. SPE Paper 143987. [Google Scholar]
- Nguyen, D.T.; Sadeghi, N. Selection of the Right Demulsifier for Chemical Enhanced Recovery. In Proceedings of the International Symposium on Oilfield Chemistry of the Society of Petroleum Engineers (SPE), The Woodlands, TX, USA, 11–13 April 2011. SPE Paper 140860. [Google Scholar]
- Deng, S.; Bai, R.; Chen, J.P.; Yu, G.; Jiang, Z.; Zhou, F. Effects of alkaline/surfactant/polymer on stability of oil droplets in produced water from ASP flooding. Colloids. Surf. A 2002, 211, 275–284. [Google Scholar] [CrossRef]
- Schramm, L.L.; Stasiuk, E.N.; Turner, D. The influence of interfacial tension in the recovery of bitumen by water-based conditioning and flotation of Athabasca oil sands. Fuel. Process. Technol. 2003, 80, 101–118. [Google Scholar] [CrossRef]
- Li, S.; Li, Z.; Xu, Z.; Ban, X.; Lu, T. Study of rheological properties and micro-mechanism of heavy oil emulsion prepared via ultrasonic dispersion. Energy Fuels 2020, 34, 15843–15854. [Google Scholar] [CrossRef]
- Jiang, Y. Application of blending light droping viscosity testing technology for heavy oil well in Tahe Oilfield. Well. Test. 2004, 13, 2. [Google Scholar]
- Lin, L.X.; Ma, H.Z.; Zeng, F.H. A Critical Review of the Solvent-Based Heavy Oil Recovery Methods. In Proceedings of the SPE Heavy Oil Conference, Calgary, AB, Canada, 10–12 June 2014. [Google Scholar]
- Wu, Y.B.; Liu, X.Q.; Du, X. Scaled physical experiments on drainage mechanisms of solvent-expanded SAGD in super-heavy oil reservoirs. Petrol. Explor. Develop. 2020, 47, 139–145. [Google Scholar] [CrossRef]
- Lyu, C.H.; Zhong, L.G.; Wang, Q.; Zhang, W.; Han, X.D.; Chen, M.Q.; Zhu, Y.; Yang, J.W. Core scale analysis of low viscosity oil injection in enhancing oil recovery of heavy oil reservoirs. Energy 2023, 275, 127432. [Google Scholar] [CrossRef]
- Yang, Z.; Wu, X.; Guo, J.; Zhang, J.; Xiong, R.; Liu, L.; Kiyingi, W. Characterization of Asphaltene Deposition Behavior in Diluted Heavy Oil under High-Pressure Conditions. Energies 2023, 16, 6780. [Google Scholar] [CrossRef]
- Stanford, L.A.; Rodgers, R.P.; Marshall, A.G. Compositional Characterization of Bitumen/Water Emulsion Films by Negative- and Positive-Ion Electrospray Ionization and Field Desorption/Ionization Fourier Transform Ion Cyclotron Resonance Mass Spectrometry. Energy Fuels 2007, 21, 963–972. [Google Scholar] [CrossRef]
- Drelich, J.; Miller, J.D. Surface and interfacial tension of the Whiterocks bitumen and its relationship to bitumen release from tar sands during hot water processing. Fuel 1994, 73, 1504–1510. [Google Scholar] [CrossRef]
- Zhang, H.Y.; Dong, M.Z.; Zhao, S.Q. Experimental Study of the Interaction between NaOH, Surfactant, and Polymer in Reducing Court Heavy Oil/Brine Interfacial Tension. Energy Fuels 2012, 26, 3644–3650. [Google Scholar] [CrossRef]
- Wu, X. Investigating the stability mechanism of water-in diluted bitumen emulsions through isolation and characterization of the stabilizing materials at the interface. Energy Fuels 2003, 17, 179–190. [Google Scholar] [CrossRef]
- Alomair, O.A.; Almusallanv, A.S. Heavy Crude Oil Viscosity Reduction and the Impact of Asphaltene Precipitation. Energy Fuels 2013, 27, 7267–7276. [Google Scholar] [CrossRef]
- Czarnecki, J.; Moran, K. On the stabilization mechanism of water-in-oil emulsions in petroleum systems. Energy Fuels 2005, 19, 2074–2079. [Google Scholar] [CrossRef]
- Yang, X.; Czarnecki, J. The effect of naphtha to bitumen ratio on properties of water in diluted bitumen emulsions. Colloid. Surface A 2002, 211, 213–222. [Google Scholar] [CrossRef]
- He, L.; Lin, F.; Li, X.G.; Sui, H. Enhancing Bitumen Liberation by Controlling the Interfacial Tension and Viscosity Ratio through Solvent Addition. Energy Fuels 2014, 28, 7403–7410. [Google Scholar] [CrossRef]
- Sullivan, A.P.; Kilpatrick, P.K. The Effects of Inorganic Solid Particles on Water and Crude Oil Emulsion Stability. Ind. Eng. Chem. Res. 2002, 41, 3389–3404. [Google Scholar] [CrossRef]
- Sharma, J.; Gates, I.D. Interfacial Stability of In-Situ Bitumen Thermal Solvent Recovery Processes. SPE J. 2011, 16, 55–64. [Google Scholar] [CrossRef]
- Arciniegas, L.M.; Babadagli, T. Quantitative and visual characterization of asphaltenic components of heavy-oil after solvent interaction at different temperatures and pressures. Fluid Phase Equilibr. 2014, 366, 74–87. [Google Scholar] [CrossRef]
- Govind, P.A.; Das, S.; Srinivasan, S.; Wheeler, T.J. Expanding Solvent SAGD in Heavy Oil Reservoirs (SPE-117571). In Proceedings of the International Thermal Operations and Heavy Oil Symposium, Calgary, AB, Canada, 20–23 October 2008. [Google Scholar]
- Du, Z.W.; Peng, X.L.; Zeng, F.H. Experimental investigation of cyclic solvent injection based on mixture solvent of carbon dioxide and propane. Fuel 2018, 225, 646–654. [Google Scholar] [CrossRef]
- Li, W.Q.; Mamora, D.D. Drainage Mechanism of Steam with Solvent Coinjection under Steam Assisted Gravity Drainage (SAGD) Process. In Proceedings of the International Oil and Gas Conference and Exhibition in China, Beijing, China, 8–10 June 2010. [Google Scholar]
- Luo, P.; Gu, Y. Characterization of a heavy oil-propane system in the presence or absence of asphaltene precipitation. Fluid Phase Equilibria 2009, 277, 1–8. [Google Scholar] [CrossRef]
- Mortazavi-Manesh, S.; Shaw, J.M. Effect of Diluents on the Rheological Proper-ties of Maya Crude Oil. Energy Fuels 2016, 30, 766–772. [Google Scholar] [CrossRef]
- Dehaghani, A.H.S.; Badizad, M.H. Experimental study of Iranian heavy crude oil viscosity reduction by diluting with heptane, methanol, toluene, gas condensate and naphtha. Petroleum 2016, 2, 415–424. [Google Scholar] [CrossRef]
- Ghannam, M.T.; Hasan, S.W.; Abu-Jdayil, B.; Esmail, N. Rheological properties of heavy & light crude oil mixtures for improving flowability. J. Petrol. Sci. Eng. 2012, 81, 122–128. [Google Scholar]
- Yadykova, A.Y.; Ilyin, S.O. Compatibility and rheology of bio-oil blends with light and heavy crude oils. Fuel 2022, 314, 122761. [Google Scholar] [CrossRef]
- Wen, J.B.; Zhang, J.J.; Zheng, F.; Lu, Z.G. Relationship between emulsified water fraction under flowing conditions and composition of water phase. Acta Pet. Sin. 2015, 36, 626–632. [Google Scholar]
- Jin, K.B. Demulsification methods for heavy oil emulsion. Pet. Ind. Technol. 2017, 24, 1. [Google Scholar]
- Subramanian, D.; Wu, K.; Firoozabadi, A. Ionic liquids as viscosity modifiers for heavy and extra-heavy crude oils. Fuel Guildf. 2015, 143, 519–526. [Google Scholar] [CrossRef]
- Abdelfatah, E.; Chen, Y.; Berton, P.; Rogers, R.D.; Bryant, S.L. Tuning ionic liquids forsimultaneous dilution and demulsification of water-in-bitumen emulsions atambient temperature. SPEJ Soc. Pet. Eng. J. 2020, 25, 759–770. [Google Scholar]
- Einstein, A. Eineneue Bestimmung der Moleküldimensionen. Annalen. Der. Physik. 2005, 14 (Suppl. S1), 289–306. [Google Scholar]
- Hu, G.J. Viscosity Experiments and Prediction of Tahe Crude Oil Emulsion Contemporary. Chem. Ind. 2014, 43, 1114–1116. [Google Scholar]
- Richardson, E.G. Über die Viskosität Emulsionen. Kolloid-Z. 1933, 65, 32. [Google Scholar] [CrossRef]
Disclaimer/Publisher’s Note: The statements, opinions and data contained in all publications are solely those of the individual author(s) and contributor(s) and not of MDPI and/or the editor(s). MDPI and/or the editor(s) disclaim responsibility for any injury to people or property resulting from any ideas, methods, instructions or products referred to in the content. |
© 2024 by the authors. Licensee MDPI, Basel, Switzerland. This article is an open access article distributed under the terms and conditions of the Creative Commons Attribution (CC BY) license (https://creativecommons.org/licenses/by/4.0/).












