Study on Fast Temporal Prediction Method of Flame Propagation Velocity in Methane Gas Deflagration Experiment Based on Neural Network
Abstract
1. Introduction
2. Experimental Introduction
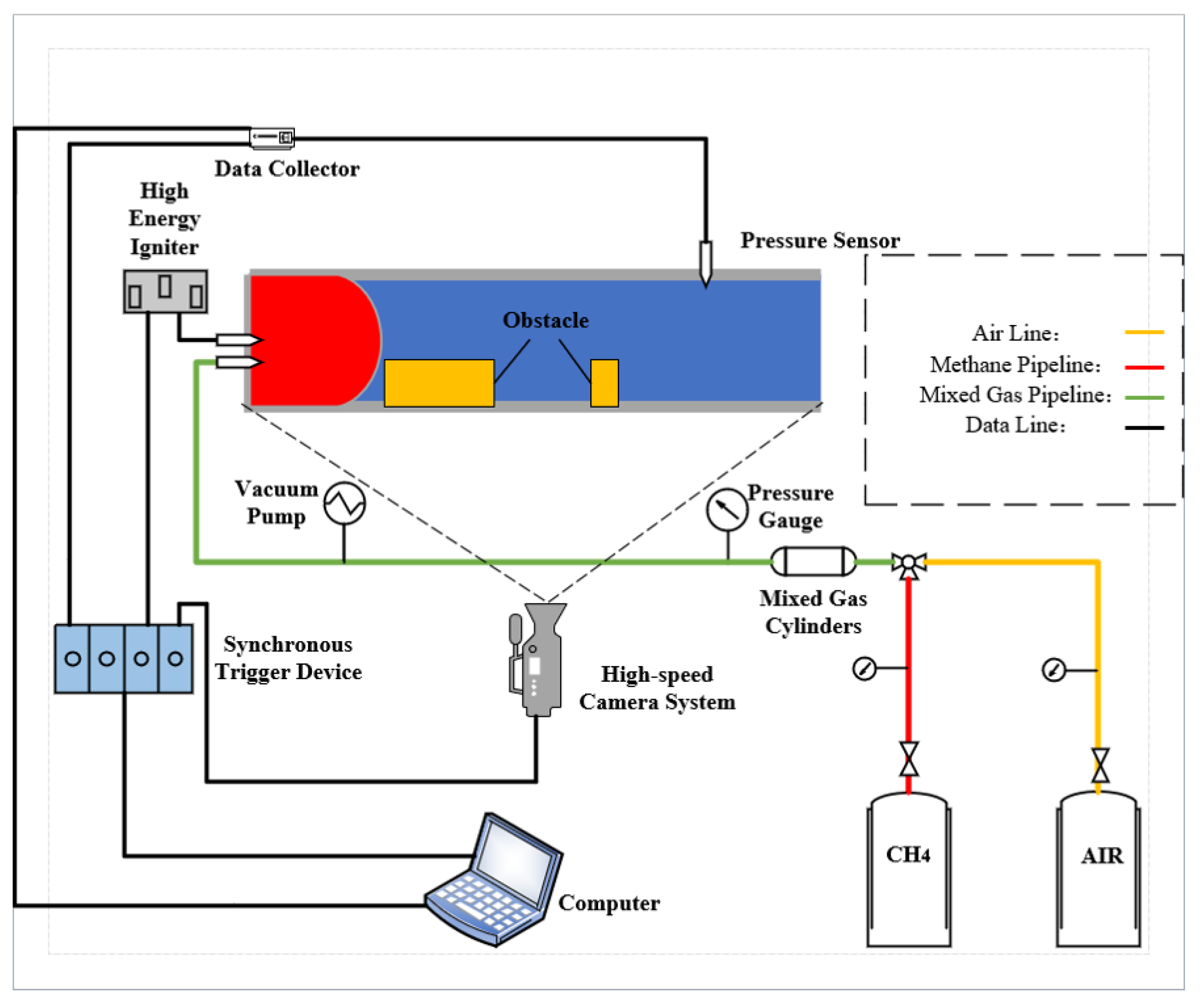
2.1. Experimental System
2.2. Experimental Procedure
2.3. Experimental Conditions
3. Introduction to Predictive Models
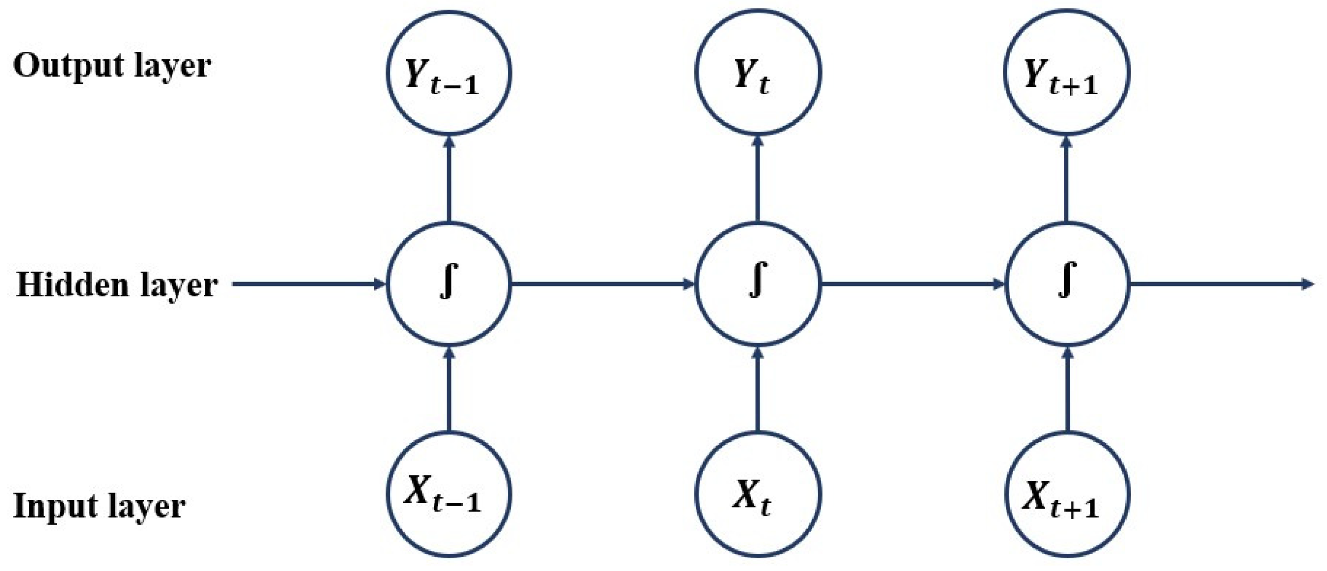
3.1. Introduction to the Network Model
3.2. Introduction to the Activation Function
3.3. Introduction to the Optimizer Model
3.4. Introduction to Evaluation Indicators
3.5. Introduction to Proposed Model
4. Analysis of Experimental and Predicted Results
4.1. Analysis of Experimental Results
4.1.1. The Effect of the Distance of the Obstacle from the Ignition Source
4.1.2. The Effect of the Shape of the Obstacle
4.1.3. The Effect of the Obstacle Spacing
4.1.4. The Effect of the Barbed Wire Obstacle
4.2. Prediction Results Analysis
4.2.1. Datasets and Neural Network Models
4.2.2. Sensitivity Analysis of the Number of Neurons
4.2.3. Comparative Analysis of Neural Network Models
4.2.4. Comparative Analysis of Activation Functions and Optimizers
4.2.5. Analyzing the Influence of Input Vectors on Prediction Results
5. Conclusions
- (1)
- A prediction method based on the PReLU activation function, Ranger optimizer, and GRU neural network was developed to predict the experimental process of premixed methane gas deflagration under semi-open space obstacle conditions for the first time.
- (2)
- A total of 108 sets of methane deflagration experiments under semi-open obstacle conditions were conducted. The experimental results indicate that both excessively large or small distances between obstacles and the ignition source, as well as excessively large or small distances between obstacles, can reduce the peak flame velocity. The shape of obstacles affects the peak flame velocity. The specific structure of wire mesh obstacles can lead to quenching phenomena, and finer wire mesh exacerbates the negative impact on the peak flame velocity caused by quenching phenomena.
- (3)
- The prediction results show that the Ranger-GRU neural network based on the PReLU activation function achieves an R2 mean value of 0.96164 and a MSE mean value of 7.16759. Compared to the RNN, LSTM, and GRU neural networks, the R2 mean value improved by 93.7%, 84.4%, and 71.2%, respectively, while the MSE mean value decreased by 92.4%, 92%, and 91.2%, respectively. Compared to GRU neural networks with Sigmoid, ReLU, and PReLU activations, the R2 mean value improved by 71.2%, 16.3%, and 11%, respectively, while the MSE mean value decreased by 91.2%, 77.8%, and 71.3%, respectively. Compared to Lookahead-GRU, RAdam-GRU, and Adam-GRU with the PReLU activation function, the R2 mean value improved by 7.7%, 2.7%, and 2.1%, respectively, while the MSE mean value decreased by 64.1%, 39.8%, and 33.8%, respectively.
- (4)
- The Ranger-GRU neural network based on the PReLU activation function performs well in prediction. It holds significant value for predicting rapidly and accurately the deflagration experiments of premixed methane gas under semi-open space obstacle conditions and similar scenarios. It also aids researchers in better understanding the deflagration mechanisms of methane. In addition, when the dataset is extended, the proposed model can also realize the above functions in other kinds of combustible gases as well.
- (5)
- Since the proposed model was trained using only 90 sets of experimental data of methane in semi-open pipeline obstacle conditions, it is currently only capable of quickly and accurately predicting methane gas deflagration flame propagation velocity in similar scenarios. In the next step, other combustible gas deflagration experiments will be carried out, and combustible gas deflagration experimental datasets will be constructed for multiple scenarios, types, and conditions to further improve the prediction capability of the model to make the application of the model more extensive.
Supplementary Materials
Author Contributions
Funding
Data Availability Statement
Conflicts of Interest
References
- Zhang, X.D. FPSO Topside Deck Flammable Gas Cloud Deflagration Process Experimental and Numerical Simulation Studies; Maritime University: Dalian, China, 2019. [Google Scholar]
- Tu, Y.; Xu, S.; Xie, M.; Liu, H. Numerical simulation of propane MILD combustion in a lab-scale cylindrical furnace. Fuel 2021, 290, 119858. [Google Scholar] [CrossRef]
- Holler, T.; Komen, E.M.J.; Kljenak, I. The role of CFD combustion modelling in hydrogen safety management–VIII: Use of Eddy Break-Up combustion models for simulation of large-scale hydrogen deflagration experiments. Nucl. Eng. Des. 2022, 388, 111627. [Google Scholar] [CrossRef]
- Wang, H.; Chen, T. Experimental and Numerical Study of the Impact of Initial Turbulence on the Explosion Behavior of Methane-Air Mixtures. Chem. Eng. Technol. 2021, 44, 1195–1205. [Google Scholar] [CrossRef]
- Bassi, V.; Vohra, U.; Singh, R.; Jindal, T.K. Numerical Study of Deflagration to Detonation Transition Using Obstacle Combinations in OpenFOAM. In Proceedings of the 2020 IEEE Aerospace Conference, Big Sky, MT, USA, 7–14 March 2020; IEEE: Piscataway, NJ, USA; pp. 1–15. [Google Scholar]
- Lei, B.; Wei, Q.; Pang, R.; Xiao, J.; Kuznetsov, M.; Jordan, T. The effect of hydrogen addition on methane/air explosion characteristics in a 20-L spherical device. Fuel 2023, 338, 127351. [Google Scholar] [CrossRef]
- Shao, H.; Jiang, S.; He, X.; Wu, Z.; Zhang, X.; Wang, K. Numerical analysis of factors influencing explosion suppression of a vacuum chamber. J. Loss Prev. Process Ind. 2017, 45, 255–263. [Google Scholar] [CrossRef]
- Shi, J.H.; Zhu, Y.; Khan, F.; Chen, G. Application of Bayesian Regularization Artificial Neural Network in explosion risk analysis of fixed offshore platform. J. Loss Prev. Process Ind. 2019, 57, 131–141. [Google Scholar] [CrossRef]
- Shi, J.H. Research on Explosion Risk Analysis and Mitigation Design of Offshore Platforms. Ph.D. Thesis, China University of Petroleum (East China), Qingdao, China, 2018. [Google Scholar]
- Eckart, S.; Prieler, R.; Hochenauer, C.; Krause, H. Application and comparison of multiple machine learning techniques for the calculation of laminar burning velocity for hydrogen-methane mixtures. Therm. Sci. Eng. Prog. 2022, 32, 101306. [Google Scholar] [CrossRef]
- Stoupas, I. Analysis of Premixed Flame Data Using Machine Learning Methods. Diploma Thesis, NTUA, Zografou, Greece, 2022. [Google Scholar]
- Pan, Y.; Zhang, W.; Niu, S. Emission modeling for new-energy buses in real-world driving with a deep learning-based approach. Atmos. Pollut. Res. 2021, 12, 101195. [Google Scholar] [CrossRef]
- Liang, R.; Chang, X.; Jia, P.; Xu, C. Mine gas concentration forecasting model based on an optimized BiGRU network. ACS Omega 2020, 5, 28579–28586. [Google Scholar] [CrossRef] [PubMed]
- Jia, P.; Liu, H.; Wang, S.; Wang, P. Research on a mine gas concentration forecasting model based on a GRU network. IEEE Access 2020, 8, 38023–38031. [Google Scholar] [CrossRef]
- Xue, G.; Song, J.; Kong, X.; Pan, Y.; Qi, C.; Li, H. Prediction of natural gas consumption for city-level DHS based on attention GRU: A case study for a northern Chinese city. IEEE Access 2019, 7, 130685–130699. [Google Scholar] [CrossRef]
- Dubey, S.R.; Singh, S.K.; Chaudhuri, B.B.J.N. Activation functions in deep learning: A comprehensive survey and benchmark. Neurocomputing 2022, 503, 92–108. [Google Scholar] [CrossRef]
- He, K.; Zhang, X.; Ren, S.; Sun, J. Delving Deep into Rectifiers: Surpassing Human-Level Performance on ImageNet Classification. In Proceedings of the IEEE International Conference on Computer Vision, Santiago, Chile, 7–13 December 2015; pp. 1026–1034. [Google Scholar]
- Alkhouly, A.A.; Mohammed, A.; Hefny, H.A. Improving the performance of deep neural networks using two proposed activation functions. IEEE Access 2021, 9, 82249–82271. [Google Scholar] [CrossRef]
- Kingma, D.P.; Ba, J.J.C. Adam: A Method for Stochastic Optimization. arXiv 2014, arXiv:1412.6980. [Google Scholar]
- Zhang, M.; Lucas, J.; Ba, J.; Hinton, G.E. Lookahead optimizer: K steps forward, 1 step back. Adv. Neural Inf. Process. Syst. 2019, 32. Available online: https://proceedings.neurips.cc/paper/2019/hash/90fd4f88f588ae64038134f1eeaa023f-Abstract.html (accessed on 19 September 2024).
- Liu, L.; Jiang, H.; He, P.; Chen, W.; Liu, X.; Gao, J.; Han, J. On the variance of the adaptive learning rate and beyond. arXiv 2019, arXiv:1908.03265. [Google Scholar]
- Uzair, M.; Jamil, N. Effects of hidden layers on the efficiency of neural networks. In Proceedings of the 2020 IEEE 23rd International Multitopic Conference (INMIC), Bahawalpur, Pakistan, 5–7 November 2020; IEEE: Piscataway, NJ, USA; pp. 1–6. [Google Scholar]
- Cao, W.; Wang, X.; Ming, Z.; Gao, J. A review on neural networks with random weights. Neurocomputing 2018, 275, 278–287. [Google Scholar] [CrossRef]
- Zhang, X.D.; Zhang, B.; Feng, W.D.; Bekele, A.G. Analysis on strengthening mechanism of FPSO deflagration accidents. J. Shanghai Marit. Univ. 2020, 41, 103–107. [Google Scholar]



























| Experimental Conditions | Number of Obstacles | Obstacle Shape | Obstacle Spacing (m) | The Distance between the Obstacle and the Ignition Source (m) | VBR (10−2) | ABR (10−2) | P/D | Peak Flame Velocity (m/s) |
|---|---|---|---|---|---|---|---|---|
| 1 | 1 | Circular obstacle with length of 0.12 m × radius of 0.0384 m | 0 | 0.05 | 2.7 | 6.9 | 0 | 29.79 |
| 2 | 0.1 | 2.7 | 6.9 | 0 | 35.47 | |||
| 3 | 0.15 | 2.7 | 6.9 | 0 | 43.27 | |||
| 4 | 0.2 | 2.7 | 6.9 | 0 | 53.91 | |||
| 5 | 0.25 | 2.7 | 6.9 | 0 | 56.75 | |||
| 6 | 0.3 | 2.7 | 6.9 | 0 | 56.04 | |||
| 7 | 0.35 | 2.7 | 6.9 | 0 | 56.04 | |||
| 8 | 0.4 | 2.7 | 6.9 | 0 | 53.2 | |||
| 9 | 0.45 | 2.7 | 6.9 | 0 | 49.65 | |||
| 10 | 1 | Rectangular obstacle with length of 0.12 m × width of 0.06 m × height of 0.077 m | 0 | 0.05 | 2.7 | 7.6 | 0 | 29.08 |
| 11 | 0.1 | 2.7 | 7.6 | 0 | 31.92 | |||
| 12 | 0.15 | 2.7 | 7.6 | 0 | 44.69 | |||
| 13 | 0.2 | 2.7 | 7.6 | 0 | 51.78 | |||
| 14 | 0.25 | 2.7 | 7.6 | 0 | 56.04 | |||
| 15 | 0.3 | 2.7 | 7.6 | 0 | 53.91 | |||
| 16 | 0.35 | 2.7 | 7.6 | 0 | 51.07 | |||
| 17 | 0.4 | 2.7 | 7.6 | 0 | 49.65 | |||
| 18 | 0.45 | 2.7 | 7.6 | 0 | 45.40 | |||
| 19 | 1 | Square obstacle with length of 0.12 m × width of 0.068 m × height of 0.068 m | 0 | 0.05 | 2.65 | 7.7 | 0 | 31.21 |
| 20 | 0.1 | 2.65 | 7.7 | 0 | 34.05 | |||
| 21 | 0.15 | 2.65 | 7.7 | 0 | 42.56 | |||
| 22 | 0.2 | 2.65 | 7.7 | 0 | 47.53 | |||
| 23 | 0.25 | 2.65 | 7.7 | 0 | 51.07 | |||
| 24 | 0.3 | 2.65 | 7.7 | 0 | 58.88 | |||
| 25 | 0.35 | 2.65 | 7.7 | 0 | 49.65 | |||
| 26 | 0.4 | 2.65 | 7.7 | 0 | 47.53 | |||
| 27 | 0.45 | 2.65 | 7.7 | 0 | 43.98 | |||
| 28 | 1 | Circular obstacle with length of 0.15 m × radius of 0.0384 m | 0 | 0.05 | 3.31 | 8.3 | 0 | 35.47 |
| 29 | 0.1 | 3.31 | 8.3 | 0 | 40.43 | |||
| 30 | 0.15 | 3.31 | 8.3 | 0 | 63.84 | |||
| 31 | 0.2 | 3.31 | 8.3 | 0 | 53.91 | |||
| 32 | 0.25 | 3.31 | 8.3 | 0 | 62.42 | |||
| 33 | 0.3 | 3.31 | 8.3 | 0 | 53.91 | |||
| 34 | 0.35 | 3.31 | 8.3 | 0 | 50.36 | |||
| 35 | 0.4 | 3.31 | 8.3 | 0 | 49.65 | |||
| 36 | 0.45 | 3.31 | 8.3 | 0 | 48.24 | |||
| 37 | 1 | Rectangular obstacle with length of 0.15 m × width of 0.06 m × height of 0.077 m | 0 | 0.05 | 3.31 | 9.2 | 0 | 28.37 |
| 38 | 0.1 | 3.31 | 9.2 | 0 | 30.50 | |||
| 39 | 0.15 | 3.31 | 9.2 | 0 | 43.27 | |||
| 40 | 0.2 | 3.31 | 9.2 | 0 | 46.82 | |||
| 41 | 0.25 | 3.31 | 9.2 | 0 | 56.75 | |||
| 42 | 0.3 | 3.31 | 9.2 | 0 | 48.94 | |||
| 43 | 0.35 | 3.31 | 9.2 | 0 | 47.53 | |||
| 44 | 0.4 | 3.31 | 9.2 | 0 | 46.82 | |||
| 45 | 0.45 | 3.31 | 9.2 | 0 | 44.69 | |||
| 46 | 1 | Square obstacle with length of 0.15 m × width of 0.068 m × height of 0.068 m | 0 | 0.05 | 3.31 | 9.1 | 0 | 28.37 |
| 47 | 0.1 | 3.31 | 9.1 | 0 | 34.05 | |||
| 48 | 0.15 | 3.31 | 9.1 | 0 | 41.85 | |||
| 49 | 0.2 | 3.31 | 9.1 | 0 | 46.11 | |||
| 50 | 0.25 | 3.31 | 9.1 | 0 | 49.65 | |||
| 51 | 0.3 | 3.31 | 9.1 | 0 | 51.07 | |||
| 52 | 0.35 | 3.31 | 9.1 | 0 | 46.82 | |||
| 53 | 0.4 | 3.31 | 9.1 | 0 | 42.56 | |||
| 54 | 0.45 | 3.31 | 9.1 | 0 | 41.14 | |||
| 55 | 2 | Circular obstacles with length of 0.12 m × radius of 0.0384 m; length of 0.03 m × radius of 0.0384 m | 0.08 | 0.05 | 3.3 | 9.9 | 1.0 | 52.49 |
| 56 | 0.1 | 3.3 | 9.9 | 1.0 | 63.13 | |||
| 57 | 0.15 | 3.3 | 9.9 | 1.0 | 60.29 | |||
| 58 | 0.2 | 3.3 | 9.9 | 1.0 | 58.88 | |||
| 59 | 2 | Circular obstacles with length of 0.12 m × radius of 0.0384 m; length of 0.03 m × radius of 0.0384 m | 0.16 | 0.05 | 3.3 | 9.9 | 2.1 | 62.42 |
| 60 | 0.1 | 3.3 | 9.9 | 2.1 | 68.81 | |||
| 61 | 0.15 | 3.3 | 9.9 | 2.1 | 66.68 | |||
| 62 | 0.2 | 3.3 | 9.9 | 2.1 | 64.55 | |||
| 63 | 2 | Circular obstacles with length of 0.12 m × radius of 0.0384 m; length of 0.03 m × radius of 0.0384 m | 0.24 | 0.05 | 3.3 | 9.9 | 3.1 | 56.75 |
| 64 | 0.1 | 3.3 | 9.9 | 3.1 | 56.75 | |||
| 65 | 0.15 | 3.3 | 9.9 | 3.1 | 61.71 | |||
| 66 | 0.2 | 3.3 | 9.9 | 3.1 | 61.00 | |||
| 67 | 2 | Rectangular obstacles with length of 0.12 m × width of 0.06 m × height of 0.077 m; length of 0.03 m × width of 0.06 m × height of 0.077 m | 0.08 | 0.05 | 3.3 | 10.8 | 1.2 | 47.53 |
| 68 | 0.1 | 3.3 | 10.8 | 1.2 | 53.20 | |||
| 69 | 0.15 | 3.3 | 10.8 | 1.2 | 61.71 | |||
| 70 | 0.2 | 3.3 | 10.8 | 1.2 | 59.58 | |||
| 71 | 2 | Rectangular obstacles with length of 0.12 m × width of 0.06 m × height of 0.077 m; length of 0.03 m × width of 0.06 m × height of 0.077 m | 0.16 | 0.05 | 3.3 | 10.8 | 2.4 | 63.84 |
| 72 | 0.1 | 3.3 | 10.8 | 2.4 | 67.39 | |||
| 73 | 0.15 | 3.3 | 10.8 | 2.4 | 65.26 | |||
| 74 | 0.2 | 3.3 | 10.8 | 2.4 | 63.13 | |||
| 75 | 2 | Rectangular obstacles with length of 0.12 m × width of 0.06 m × height of 0.077 m; length of 0.03 m × width of 0.06 m × height of 0.077 m | 0.24 | 0.05 | 3.3 | 10.8 | 3.6 | 55.33 |
| 76 | 0.1 | 3.3 | 10.8 | 3.6 | 61.00 | |||
| 77 | 0.15 | 3.3 | 10.8 | 3.6 | 58.88 | |||
| 78 | 0.2 | 3.3 | 10.8 | 3.6 | 61.00 | |||
| 79 | 2 | Square obstacles with length of 0.12 m × width of 0.068 m × height of 0.068 m; length of 0.03 m × width of 0.068 m × height of 0.068 m | 0.08 | 0.05 | 3.3 | 10.7 | 1.2 | 46.11 |
| 80 | 0.1 | 3.3 | 10.7 | 1.2 | 58.88 | |||
| 81 | 0.15 | 3.3 | 10.7 | 1.2 | 61.00 | |||
| 82 | 0.2 | 3.3 | 10.7 | 1.2 | 53.91 | |||
| 83 | 2 | Square obstacles with length of 0.12 m × width of 0.068 m × height of 0.068 m; length of 0.03 m × width of 0.068 m × height of 0.068 m | 0.16 | 0.05 | 3.3 | 10.7 | 2.4 | 56.75 |
| 84 | 0.1 | 3.3 | 10.7 | 2.4 | 65.26 | |||
| 85 | 0.15 | 3.3 | 10.7 | 2.4 | 61.71 | |||
| 86 | 0.2 | 3.3 | 10.7 | 2.4 | 54.62 | |||
| 87 | 2 | Square obstacles with length of 0.12 m × width of 0.068 m × height of 0.068 m; length of 0.03 m × width of 0.068 m × height of 0.068 m | 0.24 | 0.05 | 3.3 | 10.7 | 3.5 | 49.65 |
| 88 | 0.1 | 3.3 | 10.7 | 3.5 | 51.78 | |||
| 89 | 0.15 | 3.3 | 10.7 | 3.5 | 56.75 | |||
| 90 | 0.2 | 3.3 | 10.7 | 3.5 | 53.20 | |||
| 91 | 1 | Thick barbed wire obstacle with Length 0.12 m × width 0.12 m × height 0.12 m× diameter 0.002 m | 0 | 0.05 | 0.05 | 6.6 | 0 | 46.82 |
| 92 | 0.1 | 0.05 | 6.6 | 0 | 63.97 | |||
| 93 | 0.15 | 0.05 | 6.6 | 0 | 66.20 | |||
| 94 | 0.2 | 0.05 | 6.6 | 0 | 65.97 | |||
| 95 | 0.25 | 0.05 | 6.6 | 0 | 69.52 | |||
| 96 | 0.3 | 0.05 | 6.6 | 0 | 65.97 | |||
| 97 | 0.35 | 0.05 | 6.6 | 0 | 62.42 | |||
| 98 | 0.4 | 0.05 | 6.6 | 0 | 61.00 | |||
| 99 | 0.45 | 0.05 | 6.6 | 0 | 60.29 | |||
| 100 | 1 | Thick barbed wire obstacle with Length 0.12 m × width 0.12 m × height 0.12 m × diameter 0.001 m | 0 | 0.05 | 0.02 | 4.3 | 0 | 48.24 |
| 101 | 0.1 | 0.02 | 4.3 | 0 | 61.68 | |||
| 102 | 0.15 | 0.02 | 4.3 | 0 | 64.55 | |||
| 103 | 0.2 | 0.02 | 4.3 | 0 | 68.81 | |||
| 104 | 0.25 | 0.02 | 4.3 | 0 | 67.58 | |||
| 105 | 0.3 | 0.02 | 4.3 | 0 | 61.62 | |||
| 106 | 0.35 | 0.02 | 4.3 | 0 | 58.49 | |||
| 107 | 0.4 | 0.02 | 4.3 | 0 | 57.46 | |||
| 108 | 0.45 | 0.02 | 4.3 | 0 | 56.75 |
| Neural Network | Number of Neurons | |||||||
|---|---|---|---|---|---|---|---|---|
| 4 | 8 | 12 | 16 | 20 | 24 | 28 | 32 | |
| RNN R2 mean value | 0.127 | 0.158 | 0.195 | 0.249 | 0.353 | 0.496 | 0.503 | 0.508 |
| LSTM R2 mean value | 0.316 | 0.358 | 0.384 | 0.425 | 0.478 | 0.524 | 0.528 | 0.531 |
| GRU R2 mean value | 0.351 | 0.461 | 0.515 | 0.559 | 0.559 | 0.579 | 0.584 | 0.583 |
| Neural Network | Flame Propagation Velocity | |
|---|---|---|
| R2 Mean Value | Discrete Range | |
| RNN | 0.4963 | 0.0594 |
| LSTM | 0.52151 | 0.09936 |
| GRU | 0.56182 | 0.05034 |
| Neural Network | Flame Propagation Velocity | |
|---|---|---|
| MSE Mean Value | Discrete Range | |
| RNN | 94.10754 | 11.09771 |
| LSTM | 89.39865 | 18.56359 |
| GRU | 81.86753 | 9.40571 |
| Activation Functions | Flame Propagation Velocity | |
|---|---|---|
| R2 Mean Value | Discrete Range | |
| Sigmoid | 0.56182 | 0.05034 |
| Relu | 0.82703 | 0.04411 |
| PReLU | 0.86652 | 0.04793 |
| Activation Functions | Flame Propagation Velocity | |
|---|---|---|
| MSE Mean Value | Discrete Range | |
| Sigmoid | 81.86753 | 9.40571 |
| Relu | 32.31661 | 8.24081 |
| PReLU | 24.9394 | 8.95485 |
| Optimizers | Flame Propagation Velocity | |
|---|---|---|
| R2 Mean Value | Discrete Range | |
| Lookahead | 0.89302 | 0.05377 |
| RAdam | 0.9363 | 0.02897 |
| Adam | 0.94205 | 0.01712 |
| Ranger | 0.96164 | 0.00462 |
| Optimizers | Flame Propagation Velocity | |
|---|---|---|
| MSE Mean Value | Discrete Range | |
| Lookahead | 19.98677 | 10.04713 |
| RAdam | 11.90185 | 5.41242 |
| Adam | 10.82732 | 3.19952 |
| Ranger | 7.16759 | 0.86213 |
| Dataset | Flame Propagation Velocity | |
|---|---|---|
| R2 Mean Value | Discrete Range | |
| Training set | 0.97138 | 0.00572 |
| Test set | 0.96305 | 0.00264 |
| Dataset | Flame Propagation Velocity | |
|---|---|---|
| MSE Mean Value | Discrete Range | |
| Training set | 4.35144 | 0.85313 |
| Test set | 6.26959 | 0.75461 |
| Mean Value | Flame Propagation Velocity | |
|---|---|---|
| R2 Mean Value | Discrete Range | |
| R2 | 0.96284 | 0.01705 |
| MSE | 6.14896 | 1.57695 |
| Category of Input Vectors | Flame Propagation Velocity | |
|---|---|---|
| R2 Mean Value | Discrete Range | |
| Obstacle shape | 0.67449 | 0.08546 |
| Obstacle spacing | 0.68146 | 0.06181 |
| P/D | 0.70752 | 0.04987 |
| VBR | 0.68211 | 0.09198 |
| ABR | 0.69295 | 0.09818 |
| Distance between obstacle and ignition source | 0.69574 | 0.09034 |
| Category of Input Vectors | Flame Propagation Velocity | |
|---|---|---|
| MSE Mean Value | Discrete Range | |
| Obstacle shape | 26.35582 | 3.33943 |
| Obstacle spacing | 26.62841 | 2.41526 |
| P/D | 27.64689 | 1.94863 |
| VBR | 26.65355 | 3.59428 |
| ABR | 27.07747 | 3.83643 |
| Distance between obstacle and ignition source | 27.18639 | 3.53009 |
Disclaimer/Publisher’s Note: The statements, opinions and data contained in all publications are solely those of the individual author(s) and contributor(s) and not of MDPI and/or the editor(s). MDPI and/or the editor(s) disclaim responsibility for any injury to people or property resulting from any ideas, methods, instructions or products referred to in the content. |
© 2024 by the authors. Licensee MDPI, Basel, Switzerland. This article is an open access article distributed under the terms and conditions of the Creative Commons Attribution (CC BY) license (https://creativecommons.org/licenses/by/4.0/).
Share and Cite
Wang, X.; Wang, B.; Yu, K.; Zhu, W.; Zhang, J.; Zhang, B. Study on Fast Temporal Prediction Method of Flame Propagation Velocity in Methane Gas Deflagration Experiment Based on Neural Network. Energies 2024, 17, 4747. https://doi.org/10.3390/en17184747
Wang X, Wang B, Yu K, Zhu W, Zhang J, Zhang B. Study on Fast Temporal Prediction Method of Flame Propagation Velocity in Methane Gas Deflagration Experiment Based on Neural Network. Energies. 2024; 17(18):4747. https://doi.org/10.3390/en17184747
Chicago/Turabian StyleWang, Xueqi, Boqiao Wang, Kuai Yu, Wenbin Zhu, Jinnan Zhang, and Bin Zhang. 2024. "Study on Fast Temporal Prediction Method of Flame Propagation Velocity in Methane Gas Deflagration Experiment Based on Neural Network" Energies 17, no. 18: 4747. https://doi.org/10.3390/en17184747
APA StyleWang, X., Wang, B., Yu, K., Zhu, W., Zhang, J., & Zhang, B. (2024). Study on Fast Temporal Prediction Method of Flame Propagation Velocity in Methane Gas Deflagration Experiment Based on Neural Network. Energies, 17(18), 4747. https://doi.org/10.3390/en17184747

