Next Article in Journal
Offshore Wind Power Growth and Industrial Development in Emerging Markets
Previous Article in Journal
Systematic Literature Review on Pipeline Transport Losses of Hydrogen, Methane, and Their Mixture, Hythane
 
 
Font Type:
Arial Georgia Verdana
Font Size:
Aa Aa Aa
Line Spacing:
Column Width:
Background:
Article

An Optimized Power-Angle and Excitation Dual Loop Virtual Power System Stabilizer for Enhanced MMC-VSG Control and Low-Frequency Oscillation Suppression

1
School of Electrical Engineering, China University of Mining and Technology, Xuzhou 221116, China
2
School of Engineering, University of Deakin, Burwood, VIC 3125, Australia
*
Author to whom correspondence should be addressed.
Energies 2024, 17(18), 4711; https://doi.org/10.3390/en17184711
Submission received: 25 August 2024 / Revised: 16 September 2024 / Accepted: 19 September 2024 / Published: 21 September 2024
(This article belongs to the Section F3: Power Electronics)

Abstract

Modular Multilevel Converter Virtual Synchronous Generator (MMC-VSG) technology is gaining widespread attention for its ability to enhance the inertia and frequency stability of the power grid integrated with converter-interfaced renewable energy sources. However, the excitation voltage regulation in the MMC-VSG can generate equivalent negative damping torque and cause low-frequency oscillation problems similar to those in synchronous machines. This article aims to improve the system’s damping torque and minimize low-frequency oscillations by introducing a Virtual Power System Stabilizer (VPSS) into the power control loop. Building on the study of dynamic interactions between various control links of the MMC, this research establishes a reduced-order model (ROM) and a Phillips–Heffron state equation for the MMC-VSG single machine infinite bus system, using a hybrid modeling approach and a zero-pole truncation method. It also analyzes the mechanism of low-frequency oscillations in the MMC-VSG system through the damping torque method. The analysis reveals that the negative damping torque produced during the excitation voltage regulation process causes changes in the virtual power angle, which in turn increases the risk of low-frequency oscillation in the MMC-VSG. To address this issue, the article proposes an optimized control method for the MMC-VSG dual power loop architecture (power-angle/excitation) VPSS. This strategy compensates for the inadequate damping torque of a single loop VPSS and effectively suppresses low-frequency oscillations in the system.

1. Introduction

The increasing penetration of distributed renewable energy and power electronics in power systems has introduced challenges, such as weak damping and low inertia, affecting the safe and reliable operation of electricity systems [1,2]. Virtual synchronous generators (VSGs) are widely used to support grids with high levels of distributed energies [3,4]. However, if the negative damping torque generated by the VSG excitation controller exceeds the inherent positive damping torque, low-frequency oscillations may occur [5].
The existing studies of low-frequency oscillation mainly focus on two areas: mathematical models for assessing system stability and methods for suppressing low-frequency oscillations. Full-order models can provide accurate stability assessments but are computationally intensive. Reduced-order models (ROMs) can offer a practical alternative but could lead to larger modeling errors due to oversimplifying issues [6,7,8]. Traditional reduced-order models are implemented by ignoring inner control loop transients and using a single power loop, which is not suitable for power converters since their state switching timescale is different from traditional synchronous generators (SGs) [9,10,11]. A 5th-order ROM is developed in [12] by using hybrid modeling and zero-pole truncation and neglecting certain transients in inner voltage/current loops. A frequency-domain modeling method for analyzing low-frequency oscillations, considering VSG parameter coupling, is presented in [13], and a second-order VSG model is adopted to illustrate the impact of VSG on power grid oscillations. Other techniques, like Kron reduction, singular perturbation, and optimization algorithms are also used in model order reduction [14,15,16,17].
Many scholars also focus on the mechanism and suppression methods of low-frequency oscillation for VSG-based systems. References [18,19,20,21,22,23] explore the low-frequency oscillation mechanism of VSGs and reveal that the system damping of VSGs mainly comprises two parts: the inherent positive damping of the virtual rotor motion and the additional negative damping provided by the equivalent electromagnetic torque. When the additional negative damping exceeds the inherent positive damping, low-frequency oscillations occur due to insufficient system damping [18,20]. The work in [18] quantitatively investigates the power oscillation problem of VSG systems by constructing a grid-connected small-signal model, and the research results confirm that insufficient virtual damping torque is one of the main reasons for inducing system instability. Modeling results in [19] show that VSG subsystems can negatively affect small-signal angular stability. Research in [20] indicates that while VSGs impact low-frequency oscillations, a proper control strategy can enhance positive damping torque to mitigate low-frequency oscillations.
The increasing penetration of inverter-based resources (IBRs) can introduce new stability challenges, as discussed in [21]. The paralleled SG–VSG systems show lower stability margins as compared to paralleled VSG systems [22]. Suppressing low-frequency oscillations in VSGs is crucial [23,24,25,26,27,28], and methods are proposed to enhance positive damping of the virtual rotor [23,24,25] and reduce negative damping from the equivalent electromagnetic torque [26,27,28]. Reference [23] analyzes the oscillation mechanism in a VSG-infinite grid system and proposes a simplified damping adjustment method to suppress low-frequency oscillations. Additionally, an inner loop control algorithm for VSGs that balances the d–q axis components of voltage and current is proposed in [24] to reduce the impact of sub-synchronous oscillations of a power grid.
An optimization strategy to improve the dynamic response of the grid-connected active power (GCAP) in VSG is proposed in [25] by combining virtual negative impedance with an active power transient damping control algorithm to achieve oscillation suppression. In [26], the modeling of a two-machine interconnected power system with VSG and SG is realized by constructing state-space equations and using the Phillips–Heffron model, and a virtual power system stabilizer (VPSS) is introduced to reduce negative damping torque. In [27], a new control prototype based on a twin delayed deep deterministic policy gradient (TD3) adaptive controller is proposed by replacing the conventional VSG module in the MMC control subsystem to improve system stability. Modifications in [28] further enhance system stability and resilience while retaining the benefits of the traditional VSG control model.
However, effective VSG control methods to suppress low-frequency oscillations still require further research efforts. To address the limitations of conventional two-level VSGs, such as high switching harmonics, low fault tolerance, and high voltage stress, multilevel converters have been explored and applied. The cascaded H bridge multilevel converter (CHMC) system can be used to enhance power grid stability by optimizing the virtual inertia and damping in both island and grid-connected modes [28]. However, most of the research pays much less attention to the coupling effect between active and reactive power loops of MMC-VSG, which could degrade the response speed. Meanwhile, MMC-VSGs have attracted significant research attention due to their high fault tolerance, low switching harmonics, and greater control freedom.
In view of the above research, this article focuses on developing an effective reduced-order model (ROM) for the MMC-VSG and proposes a novel optimization control method, using a virtual power system stabilizer (VPSS) based on an improved power-angle and excitation dual loop architecture. This approach aims to enhance the stability of the MMC-VSG ROM and mitigate the risk of low-frequency oscillations. The main contributions are summarized as follows:
(1)
A comparative analysis is conducted between a full-order model and a 4th-order ROM of MMC-VSG. The 4th-order ROM is evaluated for accuracy by examining dominant eigenvalue distribution and trajectories relative to key parameter variations.
(2)
A new Phillips–Heffron model and an enhanced control strategy for the 4th-order ROM of MMC-VSG, featuring a dual VPSS, are proposed. This new controller significantly enhances system damping performance and mitigates low-frequency oscillations.
The rest of the paper is organized as follows: The reduced order MMC-VSG model and the low-frequency oscillation mechanism of MMC-VSG are analyzed in Section 2. In Section 3, the proposed power-angle and excitation dual loop virtual power system stabilizer are interpreted. Simulation results are presented and discussed in Section 4, followed by the conclusions in Section 5.

2. MMC-VSG Modeling and Low-Frequency Oscillation Suppression

2.1. Reduced Order MMC-VSG Model

Figure 1 shows the system topology and control scheme of a three-phase grid connected MMC-VSG, which is connected to the grid through a transformer at the point of common coupling (PCC). LT represents the leakage inductance of the grid-connected transformer from MMC to the PCC, and Rg and Lg are the equivalent resistance and inductance of the power line, respectively.
To investigate the stability of VSGs, the existing research mainly considers the case of VSG modeling with a single power control loop, generally neglecting the inner voltage and current loops. However, MMC-VSGs have a narrower control bandwidth and complex nonlinear interactions between control loops [23]. Therefore, the modeling methods discussed in most existing literature are no longer suitable for MMC-VSGs. The conventional MMC-VSG system mainly includes an outer power control loop and inner voltage and current dual control loops. The voltage reference E*(Udqref) and frequency reference ω*(ω0) for the inner voltage and current loop are provided by the output of the power control loop. The d-axis command of the voltage controller is outputted from the reactive power loop (Udref = E*) and the q-axis command is 0 (Uqref = 0). According to Figure 1 and Appendix A, the small signal model of full-order MMC-VSG can be obtained as
Δ x ˙ = A MMC Δ x + B MMC Δ u
Δ y = C MMC Δ x + D MMC Δ u ,
where the input variables Δu = [ΔPref, ΔQref]T, ΔPref, and ΔQref are reference active and reactive power; variables Δy = [ΔPe, ΔQe]T, ΔPe, and ΔQe are output active and reactive power. The state variable Δx is equal to [Δδ, Δω, Δed, Δeq, Δid, Δiq, Δϕ1d, Δϕ1q, Δϕ2d, and Δϕ2q]T. The terms Δδ and Δω stand for equivalent power angle and angular velocity; Δϕ1d, Δϕ1q, Δϕ2d, and Δϕ2q are intermediate variables obtained from inner voltage and current loops; terms Δid and Δiq are equivalent state currents; and terms Δed and Δeq are equivalent state voltages. The detailed derivation and expressions of (1) and (2) can be found in Appendix A. A complete state-space model of a single MMC-VSG can be obtained. In the full-order model of MMC-VSG, the power, voltage, and current loops are all described by using the state space model. The ROM in this paper is established by using a hybrid modeling approach and a zero-pole truncation method [12].
The hybrid modeling is realized based on a state-space model (Equations (1) and (2)) for the power loop and transfer functions for the inner voltage and current loops. The reduced-order model maintains the dominant slow response and key interactions between fast and slow states, as described in Appendix A.
I ref = ( U ref U ) G ν e ref = U + G i I ref + ( j ω L G i ) I e U = ( s L + j ω L ) I e = e ref / ( 1 + s T i )
where Uref is the reference voltage outputted from the power loop, Iref is the reference current outputted from the voltage loop, I is the output current, eref is the output voltage before time delay, e is the output voltage after time delay, U is the voltage of the PCC point, and Gi and Gv stand for current and voltage loops using the proportional integral (PI) control method, respectively, which can be expressed by
G i = k p 2 + k i 2 s , G v = k p 1 + k i 1 s .
Thus, the space vector equation can be obtained by
U = G ν G i s T i + G ν G i E G i j ω L + ( s L + j ω L ) ( 1 + s T i ) s T i + G ν G i I
(4) can be rewritten as
U = G ν G i s T i + G ν G i E G i j ω L + ( s L + j ω L ) ( 1 + s T i ) s T i + G ν G i I = G E Z i n n e r I
where G is the control coefficient and Zinner is the equivalent output impedance of the inner control loop. Considering Ti ≪ 1, we can get G ≈ 1, and
Z i n n e r G i + s L G ν G i = 1 k i 1 s s 2 L k i 2 + s k p 2 k i 2 + 1 ( s k p 1 k i 1 + 1 ) ( s k p 2 k i 2 + 1 ) .
By selecting Tc = T0/2 as the cutoff time constant for the order reduction truncation, Zinner can be reduced in order, namely
Z i n n e r G i + s L G ν G i = 1 k i 1 s s 2 L k i 2 + s k p 2 k i 2 + 1 ( s k p 1 k i 1 + 1 ) ( s k p 2 k i 2 + 1 ) 1 k i 1 s .
Zinner is pure resistance and can be written as Rinner. The voltage balance equation of the MMC-VSG reduced order model can be expressed as
E U g = ( Z i n n e r + j X g + R g ) I g = ( Z i n n e r + Z g ) I g = ( ( R i n n e r + R g ) + j X g ) I g
The structure of the mixed 4th-order ROM of MMC-VSG consists of a 2nd-order power loop, and a 2nd-order equivalent output state can be obtained from Appendix A and Equation (7), namely
d Δ ω d t = Δ P ref J ω 0 Δ P e J ω 0 D P ( Δ ω ) J ω 0 d Δ δ d t = Δ ω Δ P e Δ Q e = k 11 m i x k 12 m i x k 21 m i x k 22 m i x Δ δ Δ E .
This model contains two inputs (Pref and Qref), and two outputs (Pe and Qe), where R’2g = R2g + R2inner. The parameters kmix are presented in Table 1.
The block diagram of the 4th-order ROM of the MMC-VSG can be obtained, as shown in Figure 2.

2.2. Low-Frequency Oscillation Mechanism of MMC-VSG

The excitation equation of MMC-VSG can be written as
E = E 0 + Δ E = E 0 + k q Δ Q ref k q Δ Q e .
By combining (9) with Δ Q e = k 21 m i x Δ δ + k 22 m i x Δ E in (8), we have
Δ E = k q Δ Q ref k q ( k 21 m i x Δ δ + k 22 m i x Δ E ) ,
where kq is the equivalent excitation coefficient. By combining (8) and (10), the Phillips–Heffron model for the 4th-order ROM MMC-VSG system can be obtained, as shown in Figure 3.
Figure 3 shows that while virtual excitation enhances the voltage regulation in the MMC-VSG system, it also introduces complex disturbances that increase the risk of virtual power-angle instability. When the equivalent damping torque provided by the MMC-VSG is negative, low-frequency oscillations dominated by the virtual power-angle δ could be triggered. Based on the instability mechanism, two strategies can be designed to avoid low-frequency oscillations: (1) compensating for the negative damping torque of the virtual excitation regulator; (2) directly compensating for the negative damping torque of the power-angle regulator. Let the transfer function from Δδ to ΔPe in Figure 3 be F(s), and the following equation can be obtained,
F ( s ) = k 11 m i x + k 12 m i x k 21 m i x k q 1 + k q k 22 m i x .
When there is no additional damping control, the electromagnetic torque provided by the excitation link is ΔTe. As shown in Figure 3, ΔPe is composed of two damping torques generated by k11mix and k21mix branches, which can be expressed by
Δ P e = Δ P 11 + Δ P 12 ,
where
Δ P 11 = k 11 m i x Δ δ Δ P 12 = k 12 m i x k 21 m i x k q 1 + k q k 22 m i x Δ δ .
Due to the impact of parameters k12mix and k21mix on ΔP12, the negative damping torque may be generated during unexpected disturbances.
In the complex frequency domain, electromagnetic torque can be expressed by
Δ T e = F ( λ S ) Δ δ ( λ S ) ,
where λS = ζs ± s are the typical eigenvalues for representing electromechanical oscillation modes of the system.
Meanwhile, in the complex frequency domain, Δω can be obtained by
Δ ω ( λ S ) = ζ s ω 0 Δ δ ( λ S ) + j ω s ω 0 Δ δ ( λ S ) .
According to the damping torque analysis method, the input signal (electromagnetic torque) of the MMC-VSG regulators can be expressed as
Δ T e = F ( λ S ) Δ δ ( λ S ) = T δ Δ δ ( λ S ) + T ω Δ ω ( λ S ) = T δ Δ δ ( λ S ) + T ω ( ζ s ω 0 Δ δ ( λ S ) + j ω s ω 0 Δ δ ( λ S ) ) = ( ( T δ + T ω ζ s ω 0 ) + j ω s ω 0 ) Δ δ ( λ S ) = ( Re [ F ( λ S ) ] + j Im [ F ( λ S ) ] ) Δ δ ( λ S )
where TωΔω (λS) is the damping torque, TδΔδ (λS) is the synchronous torque of MMC-VSG, Tω is the damping torque coefficient, Tδ is the synchronous torque coefficient, and F(λS) is the transfer function from Δδ to ΔTe. Therefore,
T ω = ω 0 ω s Im [ F ( λ S ) ] T δ = Re [ F ( λ S ) ] T ω ζ s ω 0 = Re [ F ( λ S ) ] Im [ F ( λ S ) ] ζ s ω s .
Furthermore, the state equation of the MMC-VSG is derived by decomposing ΔTe as
J ω 0 Δ δ ¨ + ( D p + T ω ) Δ δ ˙ + T δ + k 11 m i x = 0 .
Equation (17) indicates that the magnitude of Tω also influences the behaviors of low-frequency oscillations. In fact, increasing Tω can enlarge the system stability margin. Therefore, it is necessary to design an MMC-VSG control strategy to effectively compensate for the negative damping torque of the virtual excitation regulator and avoid low-frequency oscillation in grid-connected systems.

3. The Proposed Dual VPSS of MMC-VSG

The structure of the proposed dual VPSS scheme is illustrated in Figure 4. The excitation VPSS and the power-angle VPSS are introduced to compensate for the negative damping torques of the virtual excitation regulator and the power-angle regulator, respectively, to improve the system stability, particularly under small signal disturbances.

3.1. The Improved Excitation VPSS

Traditional mechanical motions rely on the PSS to reduce the negative damping torque to suppress low-frequency oscillations. However, active support control strategies can also be adopted to reduce the negative damping torque by configuring the VPSS to guarantee the stability of the power system. With regards to the proposed VPSS control strategy, Δω is taken as a control variable and fed into the excitation regulator through the transfer function Gupss, and an additional electromagnetic torque ∆Tupss can be generated.
Assuming the transfer function of ΔE to ∆Tupss is Fupss (s), we have
F u p s s ( s ) = k 12 m i x .
Therefore,
Δ T u p s s ( s ) = F u p s s ( s ) G u p s s ( s ) Δ ω ( s ) = k 12 m i x G u p s s ( s ) Δ ω ( s ) .
The conventional PSS usually contains a leading-lag compensator, and the transfer function of the excitation VPSS can be expressed by
G u p s s ( s ) = k u p s s 1 + T 6 s 1 + T 5 s 1 + T 8 s 1 + T 7 s ,
where kupss is the proportional coefficient of VPSS and T5 to T8 are the time constants of the excitation VPSS leading-lag compensator.
In the control diagram of MMC-VSG 4th-order ROM (Figure 3), k21mix and k12mix represent the relative gains of the E–P and δ–Q coupling channels. These gains, affected by the powerline impedance to the inductance ratio and power-angle, indicate the coupling strength between the active and reactive power loops. With a constant impedance-to-inductance ratio, increasing the power-angle value enlarges k21mix and k12mix, enlarging the coupling strength. The control strategy in Figure 3 can be adapted to a single input single output (SISO) model (Figure 5) for power-angle regulation. This approach provides two decoupling methods: compensating reactive power due to k21mix (compensation method 1) and compensating active power due to k12mix (compensation method 2).
The decoupling ratio can be expressed as
Q / δ P / E = k 21 m i x k 12 m i x = 3 R g R g 2 + X g 2 2 E 0 U g cos δ 0 + 3 U g X g R g 2 + X g 2 sin δ 0 3 U g E 0 R g 2 + X g 2 X g sin δ 0 R g cos δ 0 E 0 .
It can be seen that the impact of phase angle δ on reactive power Q is much greater than the impact of output voltage on active power P. Hence, the reactive power Q is compensated to decouple active and reactive power to realize the negative torque compensation in this paper.
Therefore, the excitation VPSS transfer function with decoupled power loops can be written as
G u p s s ( s ) = E 0 cot ( φ + δ 0 ) s + k u p s s 1 + T 6 s 1 + T 5 s 1 + T 8 s 1 + T 7 s .
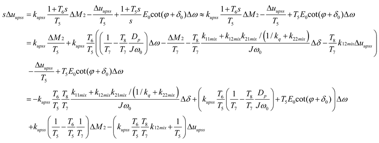
The improved Phillips–Heffron state equation with the excitation VPSS can be written as
d Δ x d t = A p h u Δ x + B p h u Δ u + B u p s s Δ u u p s s Δ y = c p h u Δ x .
The details of (22) and (23) and the parameters of T5 to T8 are calculated and presented in the Appendix A.

3.2. The Improved Power-Angle VPSS

The Phillips–Heffron model of the MMC-VSG system reveals that the oscillation is a small disturbance power-angle stability issue caused by negative damping. Thus, suppressing low-frequency oscillations in the MMC-VSG system can be achieved by optimizing and controlling the power-angle.
To improve the system stability, an additional damping control variable, Δδpss, is introduced into the control loop. Its effect on system damping characteristics is analyzed using the Phillips–Heffron model, where the damping torque contributed by Δδ to the power oscillation is generated by the two control loops of P11 and P12 (Figure 4). The damping torque ΔTδpss contributed by Δδpss can be expressed as
Δ T δ p s s ( s ) = F δ p s s ( s ) G δ p s s ( s ) Δ ω ( s ) = Δ T δ p s s 11 + Δ T δ p s s 12 = F δ pss 11 ( s ) G δ p s s ( s ) Δ ω ( s ) + F δ p s s 12 ( s ) G δ p s s ( s ) Δ ω ( s ) ,
where
Δ T δ p s s 11 ( s ) = k 11 m i x G δ p s s ( s ) Δ ω ( s )
Δ T δ p s s 12 ( s ) = k 12 m i x k 21 m i x k q 1 + k q k 22 m i x G δ p s s ( s ) Δ ω ( s ) .
The transfer function of the power-angle VPSS can be expressed by
G δ p s s ( s ) = k δ p s s 1 + T 2 s 1 + T 1 s 1 + T 4 s 1 + T 3 s .
In the formula, kδpss is the proportional coefficient of the power-angle VPSS, and T1 to T4 are the time constants of the leading and lagging compensators of the power-angle of the VPSS. The Heffron–Hills state equation with the power-angle VPSS can be written as
d Δ x d t = A p h δ Δ x + B p h δ Δ u + B δ p s s Δ u δ p s s Δ y = C ph δ Δ x .
The detailed derivation of (25) and (26), along with the parameters T1 to T4, is provided in Appendix A. Additionally, considering the coupling relationship between the dynamic and droop characteristics of MMC-VSG, optimizing the active power control loop (APCL) is essential for achieving dynamic and steady-state decoupling. By introducing the correction variable ∆δδpss of the power-angle into the feed-forward damping control and removing D from the original damping loop, the closed-loop transfer function expression for the power-angle VPSS loop can be obtained by
Δ P e = G r ( s ) Δ P ref ,
where
G r ( s ) = k P ( G δ p s s s + 1 ) J ω 0 s 2 + ( k P G δ p s s + k ) s + k P .
According to (28), the natural oscillation angular frequency ω’ and damping coefficient ξ’ of the improved MMC-VSG can be calculated by
ξ = k + k p G δ p s s 2 1 k P J ω 0 ω = k P J ω 0 .
From the above equations, we can see that the natural oscillation frequency of MMC-VSG remains unchanged after introducing the feedforward power-angle VPSS. The damping characteristics can be adjusted by changing the magnitude of the feedforward coefficient Gδpss.
At this point, the steady-state output power of MMC-VSG can be written as
P out = lim s 0 ( P e ) = lim s 0 ( G r ( s ) P ref + G f ( s ) ( ω 0 ω ) ) = lim s 0 ( k P ( G p v p s s s + 1 ) J ω 0 s 2 + ( k P G p v p s s + k ) s + k P P ref + k P ( J ω 0 s + k ) J ω 0 s 2 + ( k P G p v p s s + k ) s + k p ( ω 0 ω ) )
Then we have
P o u t = P ref + k ( ω 0 ω ) .
Equation (31) indicates that in the proposed MMC-VSG scheme, the mathematical expression of damping can be changed from Dp to k to realize the decoupling between the droop control and the damping control.
By integrating the power-angle and excitation VPSS into the MMC-VSG system, the low-frequency oscillation of the MMC-VSG system can be suppressed, and the system stability margin can be enlarged based on above theoretical calculation.

4. Simulation Verification

A simulation model is established to verify the effectiveness of the simplified MMC-VSG model and the power-angle and excitation dual VPSS control method.

4.1. The 4th-Order MMC-VSG ROM

The key parameters of the state matrix A in the small signal model of MMC-VSG are shown in Table 2. The relevant states of the eigenvalues can be calculated as shown in Table 3.
Table 3 shows the eigenvalue distribution of an individual MMC-VSG, with all eigenvalues located in the left half of the s-plane, confirming the system stability. Among the ten eigenvalues, five types of oscillation frequencies can be observed. The medium and high-frequency eigenvalues have larger absolute real parts and are far from the imaginary axis, indicating rapid attenuation and minimal impact on system stability. Demonstratively, the study focuses on the four eigenvalues corresponding to the oscillation frequencies of 13.045 Hz and 3.373 Hz.
The state matrix A of the MMC-VSG 4th-order ROM has four eigenvalues, and the related two oscillation modes are demonstrated with regards to two typical oscillation frequencies, 11.1988 Hz and 3.3069 Hz. The related states of the eigenvalues are shown in Table 4.
The trajectories of all eigenvalues and the dominant eigenvalues between the reduced 4th-order ROM and the full-order model are presented in Figure 6 and Figure 7, respectively, in consideration of different parameter variation. As can be seen, the trajectories of the dominant eigenvalues of the 4th-order ROM and the full-order model are basically coincided, indicating that the reduced 4th-order ROM has enough accuracy to represent the full-order model.

4.2. Oscillation Modes of the Control System

Table 4 shows that, without the proposed dual VPSS control, the eigenvalues representing the system oscillation modes are −20.3886 ± j67.3457 and −1.9538 ± j20.6857, respectively. In addition, the damping ratio of Mode 2 is much smaller than that of Mode 1, which could lead to a high possibility of instability and oscillation. Therefore, the parameter settings are mainly focused on Mode 2 in this study. By setting the target eigenvalue of the oscillation mode to λ2′ = −6.9538 ± j20.6857, the time constants T1T4 and kδpss, as well as T5–T8 and kupss, can be configured according to (28) and (25), respectively, as depicted in Table 5.
Figure 8 shows that after activating the power-angle VPSS in the APCL and the excitation VPSS in the RPCL, the eigenvalues related to Mode 2 are shifted to the left side of the complex plane, and the system damping ratio is improved. Two negative real roots are introduced, and their impact on stability is negligible. However, as kδpss and kupss are increased, the damping ratios of Mode 2 and Mode 1 become closer, potentially leading to low system stability.

4.2.1. The Influence of the Excitation VPSS on System Oscillation

Based on the parameters listed in Table 5, the system eigenvalues can be calculated by incorporating the excitation VPSS. Figure 9 shows the eigenvalue trajectories with and without the excitation VPSS as kupss increases. Initially, with a small kupss, the dominant eigenvalues related to Mode 2 (s1 and s2) are close to the imaginary axis, while s3 and s4 have negative real parts independent of the system oscillation modes. The distance between s5 and s6 on the real axis is much greater than that of s1 and s2. As the gain coefficient kupss is increased, s1 and s2 gradually depart from the imaginary axis, and the system damping is then enhanced. At kupss = 6, s1 and s2 have negative real parts, and s5 and s6 show dominant influence on system stability. Further increasing kupss causes s5 and s6 to gradually approach the imaginary axis, reducing damping and increasing the instability risk.
The oscillation modes and damping ratios corresponding to different kupss are listed in Table 6. According to Table 6, as the gain coefficient kupss is increased, the imaginary part of the system eigenvalues with regards to the oscillation mode and the natural oscillation frequency remain unchanged, and the damping ratio is gradually increased. Corresponding to Figure 9, as kupss is increased, the eigenvalue λ2, corresponding to the dominant oscillation mode, is shifted to the left along the real axis, resulting in an enlargement in the system stability margin.
Nyquist plots of the MMC-VSG system with different kupss are presented in Figure 10. With the proposed excitation VPSS, the active power Nyquist curve avoids surrounding the (−1, j0) point, ensuring system stability. Increasing the gain coefficient kupss shifts the real axis point to the right, indicating a higher stability margin. A simulation model with the parameters in Table 2 is built for validation. The excitation VPSS parameter kupss is set to 0, 2, and 5, respectively. The MMC-VSG’s reference active power is 10 MW, with reactive power equal to 0 Mvar. The grid frequency is 50 Hz, altered by 1 Hz at t = 1.0 s, and restored to 50 Hz at t = 2.0 s. Simulation results with and without the excitation VPSS control for different kupss values are shown in Figure 11. The results show that the proposed excitation VPSS is capable of compensating for the active and reactive power and increasing the reactive power response speed. The MMC-VSG system’s stability margin can be enlarged by increasing kupss.

4.2.2. The Influence of the Power-Angle VPSS on System Oscillation

The system eigenvalues with and without the power-angle VPSS can be calculated based on the system parameters listed in Table 5. The eigenvalue trajectories as kδpss are changed as shown in Figure 12.
The root trajectories with regards to varying kδpss and kupss are similar. With small kδpss, the dominant eigenvalues s1 and s2 (λ2) are near the imaginary axis, while s3 and s4 have negative real roots independent of the system oscillation modes. The distance between s5 and s6 on the imaginary axis is much greater than that of s1 and s2. Since s1 and s2 are the dominant eigenvalues for system oscillation, the stability margin can be analyzed through λ2. As the gain coefficient kδpss increases, s1 and s2 move further from the imaginary axis, enhancing the system’s damping characteristics. Beyond a certain point, further increasing kδpss can reduce the system stability margin. Eventually, s5 and s6 move past the imaginary axis into the right half-plane, leading to instability.
The oscillation modes and damping ratios corresponding to different kδpss are listed in Table 7. As kδpss increases, the imaginary part of the eigenvalues and the natural oscillation frequency remain nearly unchanged, while the damping ratio improves. Figure 13 shows that the Nyquist curve for both the excitation VPSS and the power-angle VPSS exhibit similar trends, with curves encircling the (−1, j0) point.
Simulations via MATLAB 2022B were conducted with kδpss set to 0, 5, and 10. Figure 14 shows that different kδpss values have minimal impact on steady-state operation, indicating that the power-angle VPSS can hardly affect the steady-state droop control. Without the power-angle VPSS, the MMC-VSG system exhibits evident oscillations, overshoots, and slow responses during dynamic power variation. With the power-angle VPSS, increasing kδpss can reduce dynamic overshoots and improves the stability margin.
Figure 8, Figure 9, Figure 10, Figure 11, Figure 12, Figure 13 and Figure 14 show that both a power-angle VPSS and an excitation VPSS can improve the performance of oscillation suppression as compared to the cases without additional damping control. The power-angle VPSS can shorten the transient period and reduce oscillation amplitude. For the same real part of λ2, an excitation VPSS requires a smaller gain coefficient, which is consistent with the Nyquist plot. The power-angle VPSS also provides better oscillation suppression, as the eigenvalues s1 and s2 are farther from the imaginary axis. In practical power systems, the rapid approach of s5 and s6 toward the imaginary axis, compared to s1 and s2 moving away, means that s5 and s6′s influence cannot be ignored when their distance from the imaginary axis is similar to that of s1 and s2. At this time, the system stability initially increases and then decreases with higher kupss or kδpss, leading to a reduced stability margin.

4.2.3. The Feasibility of the Proposed Dual Loop VPSS

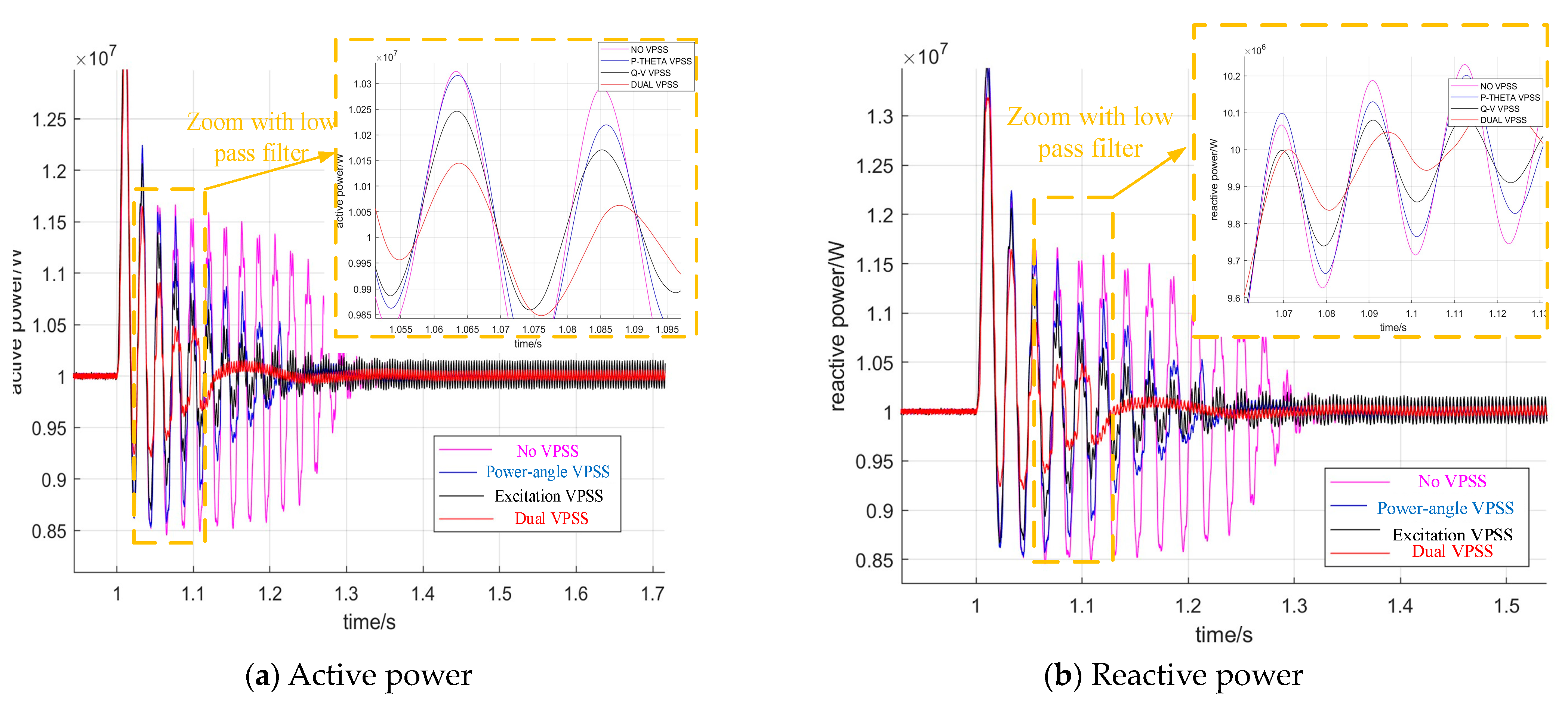
The above case studies demonstrate that combining the power-angle and the excitation VPSSs can comprehensively improve the MMC-VSG system performance of oscillation suppression. To verify the proposed power-angle and excitation dual VPSS control strategy, a MATLAB/Simulink simulation model was conducted. The parameters of the MMC-VSG system are listed in Table 2, with kδpss = 2 and kupss = 1. The MMC-VSG system is configured with a reference active power of 10MW and a reactive power of 0 Mvar, corresponding to λ2,δpss = −7.1694 ±j20.5935 and λ2,upss = −7.0609 ± j14.127, respectively. The grid frequency is f0 = 50 Hz. At t = 1.0s, the reactive power changes to 10 Mvar. The output active/reactive power are shown in Figure 15 and Figure 16.
The simulation results verify that the dual VPSS control significantly reduces output active power and oscillation amplitude compared to systems without it, resulting in shorter oscillation transients and better suppression. For the same oscillation mode (same real part of λ2), the dual VPSS control achieves smaller active/reactive power, lower oscillation amplitude, and faster settling times than systems without it. In addition, compared to the single VPSS controls, the dual VPSS provides greater damping torque, smaller oscillation amplitude, and shorter transient times. Additionally, as shown in Figure 16, high-frequency oscillations with small magnitude take place after the occurrence of disturbance, and the phenomena can be attributed to the roots with a small damping ratio, which affect the MMC-VSG performance.

5. Conclusions

To simplify the MMC-VSG system and reduce calculation complexity, a new 4th-order ROM has been proposed and validated by analyzing the system’s pole positions and main eigenvalue trajectories. A Phillips–Heffron model was also developed by linearizing the MMC-VSG system, which is used to reveal the low-frequency oscillation mechanism. To better suppress these oscillations and achieve improved control performance, a power-angle/excitation dual VPSS control method has been introduced. Compared to existing MMC-VSG modeling methods, the 4th-order ROM can provide relatively accurate modeling with reduced complexity as compared to the full-order model. Furthermore, the power-angle/excitation dual VPSS control method can improve both systems damping performance and stability margin.
The proposed power-angle/excitation dual VPSS control method addresses only the small-signal stability of the MMC-VSG system. However, the transient stability mechanism is more complex. Future work will explore diverse approaches to address these issues, including studying multi-machine interactions, replacing traditional control modules with artificial intelligence algorithms, and developing an experimental prototype for validating the proposed solution.

Author Contributions

Conceptualization, X.W.; Methodology, M.Y.; Software, M.C.L.; Validation, M.Y.; Investigation, M.Y.; Data curation, M.C.L.; Writing—original draft, M.Y.; Writing—review & editing, D.Y. and S.S.Y.; Supervision, X.W. and S.S.Y.; Project administration, X.W. and D.Y. All authors have read and agreed to the published version of the manuscript.

Funding

This research was funded by National Natural Science Foundation of China grant number 52377201, and this research was also funded by Australian Research Council (ARC) grant number IC210100021.

Data Availability Statement

The raw data supporting the conclusions of this article will be made available by the authors on request.

Conflicts of Interest

The authors declare no conflict of interest.

Nomenclature

CsmSubmodule capacitanceM M2VPSS reference parameter
DpDamping coefficientNsmSubmodule number
edqPCC dq axis voltagePActive power
EabcPCC output voltageQReactive power
GupssExcitation VPSS transfer functionRgGrid resistance
GδpssPower/angle VPSS transfer functionT1~T8VPSS coefficient
JInertiaTiDelay coefficient
kδpssExcitation VPSS gain coefficientTδSynchronous torque
kupssPower/angle VPSS gain coefficientTωDamping torque
ki(i)Current Integration coefficient UdqOutput transformer dq axis voltage
ki(u)Voltage Integration coefficient UdcDC side voltage
kp(i)Current Proportional coefficientUgNetwork side/grid voltage
kp(u)Voltage Proportional coefficientuδpssPower/angle VPSS input parameters
k11mix~k22mixROM line parameteruupssExcitation VPSS input parameters
kqReactive droop coefficientδPower angle
LgGrid inductanceωAngular frequency
L0MMC inductanceλEigenvalue
LTOutput transformer inductanceϕInner loop parameter

Appendix A

A full-order model of MMC-VSG includes the following 5 parts:
Figure A1. MMC-VSG state space model block diagram.
Figure A1. MMC-VSG state space model block diagram.
Energies 17 04711 g0a1
The calculation formulas for active and reactive power outputted from grid-connected MMC are
p e = 3 2 ( u d i d + u q i q ) q e = 3 2 ( u q i d u d i q ) .
The state equations for active and reactive power control can be written as
P ref P e D P ( ω ω ref ) = J ω ref d ω d t d δ d t = ω ω 0 .
and
E = E 0 + k q ( Q ref Q )
The small signal state space model of the power controller can be obtained by linearizing Equations (A2) and (A3) at the steady-state operating point, namely
Δ δ ˙ Δ ω ˙ = A P Δ δ Δ ω + B P 1 Δ u d Δ u q + B P 2 Δ i d Δ i q + B P 3 Δ P ref Δ Q ref
The output equation is
Δ u dref Δ u qref = C P Δ δ Δ ω + D P 1 Δ u d Δ u q + D P 2 Δ i d Δ i q + D P 3 Δ P ref Δ Q ref
Among them, Ap is the system matrix, Bp is the input matrix, and Cp is the output matrix. (The following ABC matrices all represent the same meaning.)
The inner voltage control loop is achieved through PI, which can be expressed as
i dref ( s ) = ( u dref ( s ) u d ( s ) ) ( k p 1 + k i 1 s )
and
i qref ( s ) = ( u qref ( s ) u q ( s ) ) ( k p 1 + k i 1 s )
In Equations (A6) and (A7), we have
d ϕ 1 d d t = u dref u d ,   d ϕ 1 q d t = u qref u q
In Equations (A6) and (A7), linearization is performed at the steady-state operating point to obtain the small signal state space model of the voltage loop:
Δ ϕ ˙ 1 d Δ ϕ ˙ 1 q = A u Δ ϕ 1 d Δ ϕ 1 q + B u 1 Δ u dref Δ u qref + B u 2 Δ u d Δ u q
The output equation is
Δ i dref Δ i qref = C u Δ ϕ 1 d Δ ϕ 1 q + D u 1 Δ u dref Δ u qref + D u 2 Δ u d Δ u q
And by rewriting Equations (A8) and (A9) using spatial vectors, the vector expression of the voltage loop can be obtained by
I ref = i dref + j i qref = ( U ref U ) G v ,
wherein G v = k p 1 + k i 1 s .
The current inner loop control is also achieved through PI, which can be expressed as
e dref ( s ) = u d ( s ) ω L i q ( s ) + ( i dref ( s ) i d ( s ) ) ( k p 2 + k i 2 s )
and
e qref ( s ) = u q ( s ) ω L i d ( s ) + ( i qref ( s ) i q ( s ) ) ( k p 2 + k i 2 s )
In Equations (A11) and (A12), we have
d ϕ 2 d d t = i dref i d ,   d ϕ 2 q d t = i qref i q
A small signal state space model of the current loop can be obtained by linearizing at the steady-state operating point as
Δ ϕ ˙ 2 d Δ ϕ ˙ 2 q = A i Δ ϕ 2 d Δ ϕ 2 q + B i 1 Δ i dref Δ i qref + B i 2 Δ i d Δ i q
The output equation is
Δ e dref Δ e qref = C i Δ ϕ 2 d Δ ϕ 2 q + D i 1 Δ i dref Δ i qref + D i 2 Δ i d Δ i q + D i 3 Δ u d Δ u q
By rewriting Equations (A13) and (A14) using space vectors, the vector expression for the current loop can be obtained as
e ref = U + G i I ref + ( j ω L G i ) I ,
wherein G i = k p 2 + k i 2 s , L = L T + L 0 2 .
Considering the voltage modulation wave outputs to the flexible DC sub-module after being modulated by the nearest level, and considering the delay effect, the actual and the reference value of the grid-connected transformer voltage satisfy Equation (A15), where Ti represents the time constant of the inertia link:
e d ( s ) = 1 1 + T i s e dref ( s ) e q ( s ) = 1 1 + T i s e qref ( s )
The small signal state space model written in (A16) is
Δ e ˙ d Δ e ˙ q = A t Δ e d Δ e q + B t Δ e dref Δ e qref
Equation (A17) is rewritten using spatial vectors, and the vector expression can be obtained as
e = e ref 1 + s T i
The differential equation for a grid-connected transformer can be written as
u d = e d L d i d d t + ω L i q u q = e q L d i q d t ω L i d
Equation (A19) is linearized at the steady-state operating point and written as a small signal state space model:
Δ i ˙ d Δ i ˙ q = A r l Δ i d Δ i q + B r l Δ e d Δ e q + B r l 2 Δ u d Δ u q
The frequency domain form of Equation (A19) can be represented and rewritten using spatial vectors to obtain the vector model of the leakage inductance
e U = s L + j ω L I
Similarly, the grid loop can be written in the dq axis coordinates.
u d = u gd + L g d i d d t + R g i d ω L g i q u q = u gq + L g d i q d t + R g i q + ω L g i d
In the formula, ugd and ugq are the dq axis voltage on the grid side. Combining the grid-connected transformer (A19) and the grid loop (A22) can be obtained by
u d = L g L T + L g e d + R g L T L g R T L T + L g i d + L T L T + L g u g d u q = L g L T + L g e q + R g L T L g R T L T + L g i q + L T L T + L g u g q
By linearizing (A22), we can obtain
Δ u d Δ u q = B l 1 Δ e d Δ e q + B l 2 Δ i d Δ i q + B l 3 Δ u g d Δ u g q
The grid voltage can be expressed as ugd = Ugcosδ, ugq = -Ugsinδ, and (A24) can be rewritten as
Δ u d Δ u q = B l 1 Δ e d Δ e q + B l 2 Δ i d Δ i q + B l 3 B l 4 Δ δ Δ ω
By using space vector rewriting for Equation (A25), the vector model of the output circuit loop can be obtained by
U U g = ( R g + j ω L g ) I
The total space vector equation of MMC-VSG can be rewritten as
I ref = ( U ref U ) G ν e ref = U + G i I ref + ( j ω L G i ) I e U = ( s L + j ω L ) I e = e ref / ( 1 + s T i )
The full-order small signal model of MMC-VSG can be obtained as
Δ x ˙ = A MMC Δ x + B MMC Δ u ,   Δ y = C MMC Δ x + D MMC Δ u
wherein
Energies 17 04711 i001
B MMC = B P 3 B t D i 1 D u 1 D p 3 0 2 × 2 B u 1 D p 3 B i 1 D u 1 D p 3 C MMC =   3 2 u d 0 0     0 2 × 2     0 2 × 2 0 2 × 2   0 3 2 u d 0     D MMC = 3 2 i d 0 0 3 2 i q 0 0
Figure 5 shows that the coupled reactive power (negative torque) to be compensated is ∆Q = k21mixδ. According to Table 1 and Figure 5, it can be obtained that
Δ Q = k 21 m i x Δ δ E 0 cot ( φ + δ 0 ) k 22 m i x Δ δ
The coupling voltage that needs to be compensated can be obtained by moving the coupling circuit node forward:
Δ E = E 0 cot ( φ + δ 0 ) Δ δ
The reactive power to be compensated is a function of ∆δ, which is associated with synchronous torque, while the excitation VPSS is a function of damping torque. Therefore, while compensating for the damping torque of the excitation VPSS, the synchronous torque of the system can be added to achieve a decoupling of MMC-VSG dynamic active and reactive power. Figure A2 shows the phase compensation of the excitation VPSS, and Equation (A30) can be written as
Δ E = E 0 cot ( φ + δ 0 ) Δ ω / s
So, the transfer function of the synchronous torque in decoupling active/reactive power for the excitation VPSS can be induced as
G u p s s 2 ( s ) = cot ( φ + δ 0 ) Δ ω
The Phillips−Heffron equation of state with the excitation VPSS can be expressed in the following form:
Δ x ˙ = A p h u Δ x + B p h u Δ u + B u p s s Δ u u p s s , Δ y = C p h u Δ x
The input parameters Δu = [ΔPref ΔQref]T and Δuupss = GupssΔy = [0 GupssΔω]T output Δy = [0 Δω]T. The state variable is Δx = [Δδ Δω]T, and it can be calculated that
A p h u = 0 1 k 11 m i x + k 12 m i x k 21 m i x / 1 / k q + k 22 m i x J ω 0 D p J ω 0   B p h u = 0 0 1 J ω 0 k 12 m i x 1 / k q + k 22 m i x J ω 0 B u p s s = 0 k 12 m i x   C p h u = 0 1 T
The transfer function of the excitation VPSS can be written as
G u p s s 1 ( s ) = k u p s s 1 + T 6 s 1 + T 5 s 1 + T 8 s 1 + T 7 s
Figure A2. Principle of Phase Compensation.
Figure A2. Principle of Phase Compensation.
Energies 17 04711 g0a2
According to the previous text, the total transfer function of the excitation VPSS is
G u p s s ( s ) = G u p s s 1 ( s ) + G u p s s 2 ( s ) s
G u p s s ( s ) = k u p s s 1 + T 6 s 1 + T 5 s 1 + T 8 s 1 + T 7 s + E 0 cot ( φ + δ 0 ) s
Δuupss can be written as
Δ u u p s s ( s ) = G u p s s Δ ω = k u p s s 1 + T 6 s 1 + T 5 s 1 + T 8 s 1 + T 7 s + E 0 cot ( φ + δ 0 ) s Δ ω
Let Δ M 2 = 1 + T 8 s 1 + T 7 s Δ ω and Δuupss can be expressed with ΔM2 as
Δ u u p s s ( s ) = G u p s s Δ ω = k u p s s 1 + T 6 s 1 + T 5 s Δ M 2 + E 0 cot ( φ + δ 0 ) s Δ ω
Equations (A34) and (A35) can be written as (ΔPref = 0, ΔQref = 0)
s Δ M 2 = 1 + T 8 s T 7 Δ ω Δ M T 7 = Δ ω T 7 Δ M T 7 + T 8 T 7 s Δ ω = 1 T 7 T 8 T 7 D p J ω 0 Δ ω Δ M T 7 T 8 T 7 k 11 m i x + k 12 m i x k 21 m i x / 1 / k q + k 22 m i x J ω 0 Δ δ T 8 T 7 k 12 m i x Δ u u p s s
Energies 17 04711 i002
Combining Equations (A36) and (A37), the Phillips–Heffron expression with the excitation VPSS can be obtained as
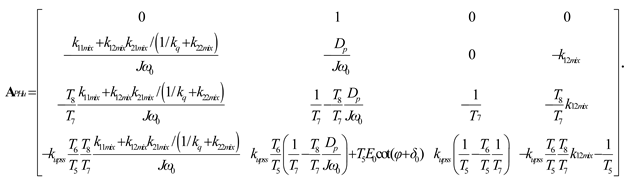
Δ δ ˙ Δ ω ˙ Δ M ˙ 2 Δ u ˙ u p s s = A P H u Δ δ Δ ω Δ M 2 Δ u u p s s ,
where
Energies 17 04711 i003
If one lets the transfer function from Δuupss to ΔTupss be Fupss (s), it can be concluded from Figure 5 that
Δ T u p s s ( s ) = k 12 m i x Δ u u p s s ( s )
Thus, the torque caused by the excitation VPSS is
Δ T u p s s ( s ) = F u p s s ( s ) G u p s s ( s ) Δ ω ( s ) = k 12 m i x G u p s s ( s ) Δ ω ( s ) = k 12 m i x G u p s s 1 ( s ) Δ ω ( s ) + G u p s s 2 ( s ) Δ δ ( s ) = k 12 m i x Δ u u p s s _ ω ( s ) + k 12 m i x Δ u u p s s _ δ ( s ) = Δ T u p s s _ ω ( s ) + Δ T u p s s _ δ ( s )
Among these, ΔTupss_δ(s) is the synchronous torque caused by the excitation VPSS, and ΔTupss_ω(s) is the damping torque caused by the excitation VPSS. Furthermore, the state equation of the MMC-VSG with the excitation VPSS in (17) can be derived as
J ω 0 Δ δ ¨ + ( D p + T ω + T u p s s _ ω ) Δ δ ˙ + T u p s s _ δ + T δ + k 11 m i x = 0
The total MMC-VSG damping torque is
T ω _ t o t a l = D p + T ω + T u p s s _ ω
When T u p s s _ ω is positive, the damping component of the system will be compensated.
When the excitation VPSS is introduced, the oscillation mode of the system is λS_upss = ζs_upss ± s_upss. According to Equation (A41), the real part of the oscillation mode after introducing the excitation VPSS can be obtained by
ξ s _ u p s s = D p + T ω + T u p s s _ ω 2 J ω 0
Based on Equation (17), the real part of the oscillation mode before introducing the VPSS is
ξ s = D p + T ω 2 J ω 0
According to Table 4, when the MMC-VSG is operated without the VPSS, the eigenvalues representing the oscillation modes of the original system are −20.3886 ± j67.3457 and −1.9538 ± j20.6857, respectively. The damping ratio of Mode 2 is much smaller than that of Mode 1, leading to a smaller stability margin. Therefore, in our study, the parameter settings are mainly focused on Mode 2. In addition, when the MMC-VSG is operated without the VPSS, we have λ2 = −1.9538 ± j20.6857, and we set the target eigenvalues of the oscillation mode to λ2 = −6.9538 ± j20.6857. We can get ζs_upss = −6.9538 and ζs = −1.9538. Then Tupss_ω can be calculated by using (A44) minus (A43); also, if the phase angle can be calculated as −5.38°, the phase angle should be equal to the operation case with the VPSS, and as the time constants T5 and T7 are equal to 0.09, T6 and T8 can be calculated with the phase angle of −5.38°. When λ2= −1.9538 ± j20.6857 is adopted as the target eigenvalue, T6 and T8 can be calculated, which is equal to 0.2. Then, when all these parameters are substituted into (A40), the key parameter kupss = 0.95 can be obtained.
The expression of the Phillips−Heffron equation with the power-angle VPSS can be written as
Δ x ˙ = A p h δ Δ x + B p h δ Δ u + B δ p s s Δ u δ p s s , Δ y = C p h δ Δ x
Where the input parameters are Δu = [ΔPref ΔQref]T, Δuδpss = GδpssΔy = [0 GδpssΔω]T, and Δy = [0 Δω]T, the state variable is Δx = [Δδ Δω]T, and it can be calculated that
A p h δ = 0 1 k 11 m i x + k 12 m i x k 21 m i x / 1 / k q + k 22 m i x J ω 0 D p J ω 0   B p h δ = 0 0 1 J ω 0 k 12 m i x 1 / k q + k 22 m i x J ω 0 B δ p s s = s 0   C p h δ = 0 1 T
The expression of the Phillips–Heffron equation of state can be simplified as
Δ x ˙ = A p h δ Δ x + B p h δ Δ u + B δ p s s Δ u δ p s s = A p h δ Δ x + B p h δ Δ u + B δ p s s G δ p s s C p h δ Δ x = A p h δ + B δ p s s G δ p s s C p h δ Δ x + B p h δ Δ u = A p h δ Δ x + B p h δ Δ u
where
A p h δ = A p h δ + B δ p s s G δ p s s C p h δ = 0 1 + G δ p s s s k 11 m i x + k 12 m i x k 21 m i x / 1 / k q + k 22 m i x J ω 0 D p J ω 0 = G δ p s s k 11 m i x + k 12 m i x k 21 m i x / 1 / k q + k 22 m i x J ω 0 1 G δ p s s D p J ω 0 k 11 m i x + k 12 m i x k 21 m i x / 1 / k q + k 22 m i x J ω 0 D p J ω 0
The transfer function of the power-angle VPSS is G δ p s s ( s ) = k δ p s s 1 + T 2 s 1 + T 1 s 1 + T 4 s 1 + T 3 s .
So, Δuδpss can be written as
Δ u δ p s s ( s ) = G δ p s s Δ ω = k δ p s s 1 + T 2 s 1 + T 1 s 1 + T 4 s 1 + T 3 s Δ ω
If we let Δ M = 1 + T 4 s 1 + T 3 s Δ ω , Δuδpss can be expressed with ΔM as
Δ u δ p s s ( s ) = k δ p s s 1 + T 2 s 1 + T 1 s Δ M
Equation (A41) and (A42) can be written as (ΔPref = 0, ΔQref = 0)
s Δ M = 1 + T 4 s T 3 Δ ω Δ M T 3 = Δ ω T 3 Δ M T 3 + T 4 T 3 s Δ ω = 1 T 3 T 4 T 3 D p J ω 0 Δ ω Δ M T 3 T 4 T 3 k 11 m i x + k 12 m i x k 21 m i x / 1 / k q + k 22 m i x J ω 0 Δ δ
Energies 17 04711 i004
Combing Equations (A49) and (A50), the Phillips–Heffron expression with the power-angle VPSS can be obtained by
Δ δ ˙ Δ ω ˙ Δ M ˙ Δ u ˙ δ p s s = A P H δ Δ δ Δ ω Δ M Δ u δ p s s ,
where
Energies 17 04711 i005
The time constants T1 toT4 and kδpss can be obtained with the same method of the excitation VPSS.

References

  1. Kim, J.K.; Kang, J.; Shim, J.W.; Kim, H.; Shin, J.; Kang, C.Q.; Hur, K. Dynamic Performance Modeling and Analysis of Power Grids with High Levels of Stochastic and Power Electronic Interfaced Resources. Proc. IEEE 2023, 111, 854–872. [Google Scholar] [CrossRef]
  2. Krahmer, S.; Ecklebe, S.; Schegner, P.; Röbenack, K. Application of Stability Analysis of Q(V)-Characteristic Controls Related to the Converter-Driven Stability in Distribution Networks. IEEE Trans. Ind. Appl. 2024, 60, 5002–5011. [Google Scholar] [CrossRef]
  3. Ding, X.K.; Cao, J.W. Deep and Reinforcement Learning in Virtual Synchronous Generator: A Comprehensive Review. Energies 2024, 17, 2620. [Google Scholar] [CrossRef]
  4. Zhong, Q.C.; Weiss, G. Synchronverters: Inverters that mimic synchronous generators. IEEE Trans. Ind. Electron. 2010, 58, 1259–1267. [Google Scholar] [CrossRef]
  5. Zhou, X.; Cheng, S.; Wu, X.; Rao, X. Influence of Photovoltaic Power Plants Based on VSG Technology on Low Frequency Oscillation of Multi-Machine Power Systems. IEEE Trans. Power Deliv. 2022, 37, 5376–5384. [Google Scholar] [CrossRef]
  6. Pogaku, N.; Prodanovic, M.; Green, T.C. Modeling analysis and testing of autonomous operation of an inverter-based microgrid. IEEE Trans. Power Electron. 2007, 22, 613–625. [Google Scholar] [CrossRef]
  7. Bin, Z.Z.; Min, S.S.; Yuan, L.Y.; Ping, H.S. Impedance Modeling and Resonance Suppression Method for Current Source VSG Under Weak Grid Conditions. J. Electr. Eng. Technol. 2024, 19, 2077–2088. [Google Scholar] [CrossRef]
  8. Sun, J. Impedance-based stability criterion for grid-connected inverters. IEEE Trans. Power Electron. 2011, 26, 3075–3078. [Google Scholar] [CrossRef]
  9. Coelho, E.; Cortizo, P.; Garcia, P. Small-signal stability for parallel-connected inverters in stand-alone ac supply systems. IEEE Trans. Ind. Appl. 2002, 38, 533–542. [Google Scholar] [CrossRef]
  10. Han, Y.; Yang, M.; Yang, P.; Xu, L.; Fang, X.; Zhang, K.; Blaabjerg, F. Reduced-order model for dynamic stability analysis of single-phase islanded microgrid with BPF-based droop control scheme. IEEE Access 2019, 7, 157859–157872. [Google Scholar] [CrossRef]
  11. Floriduz, A.; Tucci, M.; Riverso, S.; Ferrari-Trecate, G. Approximate Kron reduction methods for electrical networks with applications to plug-and-play control of AC islanded microgrids. IEEE Trans. Control Syst. Technol. 2018, 27, 2403–2416. [Google Scholar] [CrossRef]
  12. Yu, H.; Su, J.; Wang, H.; Wang, Y.; Shi, Y. Modelling method and applicability analysis of a reduced-order inverter model for microgrid applications. IET Power Electron. 2020, 13, 2638–2650. [Google Scholar] [CrossRef]
  13. Lu, S.Y.; Wang, T.; Liang, Y.Q.; Cheng, S.S. Low-Frequency Oscillation Analysis of Grid-Connected VSG System Considering Multi-Parameter Coupling. Comput. Model. Eng. Sci. 2023, 135, 2373–2386. [Google Scholar] [CrossRef]
  14. van der Schaft, A.; Besselink, B.; Huijzer, A.-M. Kron Reduction of Nonlinear Networks. IEEE Control Syst. Lett. 2024, 8, 556–561. [Google Scholar] [CrossRef]
  15. Yuan, Z.; Du, Z.; Li, C.; An, T. Dynamic Equivalent Model of VSC based on Singular Perturbation. IET Gener. Transm. Distrib. 2016, 10, 3413–3422. [Google Scholar] [CrossRef]
  16. Gu, Y.; Bottrell, N.; Green, T.C. Reduced-order Models for Representing Converters in Power System Studies. IEEE Trans. Power Electron. 2018, 33, 3644–3654. [Google Scholar] [CrossRef]
  17. Shende, V.G.; Raviraja, S.; Kavitha, P.; Aancy, H.M.; Kumar, M.J.; Mittal, V. A New MRA and AA based Algorithm for the Higher Order Reduction Uncertain Systems. In Proceedings of the 2024 Ninth International Conference on Science Technology Engineering and Mathematics (ICONSTEM), Chennai, India, 4–5 April 2024; pp. 1–4. [Google Scholar] [CrossRef]
  18. Chen, M.; Zhou, D.; Blaabjerg, F. High Penetration of Inverter-based Power Sources with VSG Control Impact on Electromechanical Oscillation of Power System. Int. J. Electr. Power Energy Syst. 1083; 70. [Google Scholar]
  19. Du, W.; Fu, Q.; Wang, H.F. Power System Small-signal Angular Stability Affected by Virtual Synchronous Generators. IEEE Trans. Power Syst. 2019, 34, 3209–3219. [Google Scholar] [CrossRef]
  20. Huang, L.; Xin, H.; Wang, Z. Damping Low-Frequency Oscillations Through VSC-HVdc Stations Operated as Virtual Synchronous Machines. IEEE Trans. Power Electron. 2019, 34, 5803–5818. [Google Scholar] [CrossRef]
  21. Xue, T.; Zhang, J.; Bu, S. Inter-Area Oscillation Analysis of Power System Integrated with Virtual Synchronous Generators. IEEE Trans. Power Deliv. 2024, 39, 1761–1773. [Google Scholar] [CrossRef]
  22. Cheng, H.; Shuai, Z.; Shen, C.; Liu, X.; Li, Z.; Shen, Z.J. Transient Angle Stability of Paralleled Synchronous and Virtual Synchronous Generators in Islanded Microgrids. IEEE Trans. Power Electron. 2020, 35, 8751–8765. [Google Scholar] [CrossRef]
  23. Ruan, J.; Shi, Z.; Yu, M.; Wang, S. Simplified Damping Analysis and Suppression Method for Low-frequency Oscillation Introduced by Virtual Synchronous Generator. J. Power Electron. 2021, 21, 1600–1610. [Google Scholar] [CrossRef]
  24. Zhao, C.; Chai, W.; Rui, B.; Chen, L. Analysis of Sub-Synchronous Oscillation of Virtual Synchronous Generator and Research on Suppression Strategy in Weak Grid. Energy Eng. 2023, 120, 2683–2705. [Google Scholar] [CrossRef]
  25. Shi, R.; Lan, C.; Huang, J.; Ju, C. Analysis and Optimization Strategy of Active Power Dynamic Response for VSG under A Weak Grid. Energies 2023, 16, 4593. [Google Scholar] [CrossRef]
  26. Wang, H.; Hao, Y.; He, H.; Dong, H.; Lu, S.; Zhang, G.; Yang, J.; Chen, Z. Influence mechanism and virtual power system stabilizer method of virtual synchronous generator for low−frequency oscillation of power system. IET Energy Syst. Integr. 2024, 6, 104–116. [Google Scholar] [CrossRef]
  27. Yang, M.; Wu, X.; Loveth, M.C. A Deep Reinforcement Learning Design for Virtual Synchronous Generators Accommodating Modular Multilevel Converters. Appl. Sci. 2023, 13, 5879. [Google Scholar] [CrossRef]
  28. Qi, X.; Zheng, J. VSG Control for Cascaded Three-Phase Bridge Based Battery Inverter. World Electr. Veh. J. 2023, 14, 203. [Google Scholar] [CrossRef]
Figure 1. General topology and control scheme of a three-phase grid-connected MMC-VSG.
Figure 1. General topology and control scheme of a three-phase grid-connected MMC-VSG.
Energies 17 04711 g001
Figure 2. The control block diagram of MMC-VSG 4th-order ROM.
Figure 2. The control block diagram of MMC-VSG 4th-order ROM.
Energies 17 04711 g002
Figure 3. The Phillips–Heffron model of the MMC-VSG system.
Figure 3. The Phillips–Heffron model of the MMC-VSG system.
Energies 17 04711 g003
Figure 4. Phillips–Heffron model with dual VPSS.
Figure 4. Phillips–Heffron model with dual VPSS.
Energies 17 04711 g004
Figure 5. MMC-VSG SISO control structure.
Figure 5. MMC-VSG SISO control structure.
Energies 17 04711 g005
Figure 6. Comparison of eigenvalue between 4th-order ROM and full-order model.
Figure 6. Comparison of eigenvalue between 4th-order ROM and full-order model.
Energies 17 04711 g006
Figure 7. Comparison of main root locus between 4th-order ROM and full-order model.
Figure 7. Comparison of main root locus between 4th-order ROM and full-order model.
Energies 17 04711 g007
Figure 8. Comparison of feature roots with and without VPSS.
Figure 8. Comparison of feature roots with and without VPSS.
Energies 17 04711 g008
Figure 9. Trajectories of MMC-VSG eigenvalues with different kupss (kupss = 0:1:100).
Figure 9. Trajectories of MMC-VSG eigenvalues with different kupss (kupss = 0:1:100).
Energies 17 04711 g009
Figure 10. Nyquist plot of the proposed excitation VPSS under different gain kupss.
Figure 10. Nyquist plot of the proposed excitation VPSS under different gain kupss.
Energies 17 04711 g010
Figure 11. Power response of MMC-VSG under different gain kupss.
Figure 11. Power response of MMC-VSG under different gain kupss.
Energies 17 04711 g011
Figure 12. Trajectories of MMC-VSG eigenvalues with different kδpss (kδpss = 0:1:100).
Figure 12. Trajectories of MMC-VSG eigenvalues with different kδpss (kδpss = 0:1:100).
Energies 17 04711 g012
Figure 13. Nyquist plot of the proposed power-angle VPSS under different gain kδpss.
Figure 13. Nyquist plot of the proposed power-angle VPSS under different gain kδpss.
Energies 17 04711 g013
Figure 14. Power response of MMC-VSG under different gain kδpss.
Figure 14. Power response of MMC-VSG under different gain kδpss.
Energies 17 04711 g014
Figure 15. System frequency response under different VPSS strategies.
Figure 15. System frequency response under different VPSS strategies.
Energies 17 04711 g015
Figure 16. System power response under different VPSS strategies.
Figure 16. System power response under different VPSS strategies.
Energies 17 04711 g016
Table 1. Expression for parameters k m i x .
Table 1. Expression for parameters k m i x .
ParametersExpression
k11mix 3 U g E 0 R g 2 + X g 2 X g cos δ 0 + R g sin δ 0
k12mix 3 U g E 0 R g 2 + X g 2 X g sin δ 0 R g cos δ 0
k21mix 3 R g R g 2 + X g 2 2 E 0 U g cos δ 0 + 3 U g X g R g 2 + X g 2 sin δ 0
k22mix 3 X g R g 2 + X g 2 2 E 0 U g cos δ 0 3 U g R g R g 2 + X g 2 sin δ 0
Table 2. MMC-VSG parameters.
Table 2. MMC-VSG parameters.
MMC ParametersValuesMMC ParametersValues
Network side voltage8 kVDC side voltage Udc20 kV
Transformer voltage Eabc8.2 kVBridge arm inductance L03 mH
Line inductance Lg5 mHInertia J0.1
Submodule capacitance Csm 5000   μ F Damping coefficient Dp200
Submodule number Nsm10Delay coefficient Ti10−6
Proportional coefficient kp(u)0.5Proportional coefficient kp(i)22
Integration coefficient ki(u)0.1Integration coefficient ki(i)1700
Table 3. MMC-VSG eigenvalues and related status.
Table 3. MMC-VSG eigenvalues and related status.
ModeEigenvalueOscillation FrequencyDamping RatioMain State VariablesParticipation Factor
1−7.8979 × 105 ± j2.3463 × 1021.257 × 1061Δedeq0.9998/1
2−1.4857 × 103 ± j3.2787 × 1035.729 × 1030.4127Δϕ2dϕ2q0.9809/1
3−1.4369 × 103 ± j3.2153 × 1035.6051 × 1030.4080Δϕ2dϕ2q1/0.9813
4−19.2171 ± j70.093813.04500.2594Δϕ1dϕ1q1/0.9891
5−2.1082 ± j20.496913.37230.0962Δδ/Δω0.9873/1
Table 4. Two typical MMC-VSG eigenvalues and oscillation modes.
Table 4. Two typical MMC-VSG eigenvalues and oscillation modes.
ModeValuesMMC ParametersValues
1−20.3886 ± j67.345711.19880.2898
2−1.9538 ± j20.68573.30690.094
Table 5. VPSS parameters.
Table 5. VPSS parameters.
VPSS ParametersValueVPSS ParametersValue
T10.09T50.09
T20.085T60.2
T30.09T70.09
T40.085T80.2
kδpss2kupss1
λ2,δpss−7.1694 ± j20.5935λ2,upss−7.0609 ± j14.127
Table 6. The electromechanical oscillation modes and damping ratios at different kupss.
Table 6. The electromechanical oscillation modes and damping ratios at different kupss.
kupssEigenvalueOscillation FrequencyDamping Ratio
0−1.9538 ± j20.68573.30690.094
1−6.3659 ± j13.91352.43520.4161
2−7.6794 ± j10.04972.01300.6072
4−8.7002 ± j4.76661.57890.8770
Table 7. Electromechanical oscillation modes and damping ratios corresponding to different kδpss.
Table 7. Electromechanical oscillation modes and damping ratios corresponding to different kδpss.
kupssEigenvalueOscillation FrequencyDamping Ratio
0−1.9538 ± j20.68573.30690.094
1−4.1584 ± j20.65843.35380.1973
2−6.7728 ± j20.24883.39820.3172
4−12.0423 ± j17.83233.42460.5596
Disclaimer/Publisher’s Note: The statements, opinions and data contained in all publications are solely those of the individual author(s) and contributor(s) and not of MDPI and/or the editor(s). MDPI and/or the editor(s) disclaim responsibility for any injury to people or property resulting from any ideas, methods, instructions or products referred to in the content.

Share and Cite

MDPI and ACS Style

Yang, M.; Wu, X.; Yu, D.; Loveth, M.C.; Yu, S.S. An Optimized Power-Angle and Excitation Dual Loop Virtual Power System Stabilizer for Enhanced MMC-VSG Control and Low-Frequency Oscillation Suppression. Energies 2024, 17, 4711. https://doi.org/10.3390/en17184711

AMA Style

Yang M, Wu X, Yu D, Loveth MC, Yu SS. An Optimized Power-Angle and Excitation Dual Loop Virtual Power System Stabilizer for Enhanced MMC-VSG Control and Low-Frequency Oscillation Suppression. Energies. 2024; 17(18):4711. https://doi.org/10.3390/en17184711

Chicago/Turabian Style

Yang, Mu, Xiaojie Wu, Dongsheng Yu, Maxwell Chiemeka Loveth, and Samson S. Yu. 2024. "An Optimized Power-Angle and Excitation Dual Loop Virtual Power System Stabilizer for Enhanced MMC-VSG Control and Low-Frequency Oscillation Suppression" Energies 17, no. 18: 4711. https://doi.org/10.3390/en17184711

APA Style

Yang, M., Wu, X., Yu, D., Loveth, M. C., & Yu, S. S. (2024). An Optimized Power-Angle and Excitation Dual Loop Virtual Power System Stabilizer for Enhanced MMC-VSG Control and Low-Frequency Oscillation Suppression. Energies, 17(18), 4711. https://doi.org/10.3390/en17184711

Note that from the first issue of 2016, this journal uses article numbers instead of page numbers. See further details here.

Article Metrics

Back to TopTop