The Effect of Increasing Aggregation Levels of Electrical Consumption Data on Renewable Energy Community (REC) Analyses
Abstract
1. Introduction
- What is the impact of using hourly data estimated from aggregated data for the analysis of a REC? Does this impact vary if the configuration of the REC itself undergoes a change?
- Dealing with this impact, what discrepancies emerge when employing two different tools to evaluate PV energy production?
- Does the effect of using estimated hourly data change if the geographical location of the community varies?
2. Materials and Methods
- The input dataset was compiled using actual hourly measured electrical consumption data from real users considered as community members. This dataset represents the hourly scenario (H). Section 2.1 provides a comprehensive description of the real case study under investigation.
- The dataset H was processed three times by employing three distinct approaches with the purpose of obtaining three datasets with increasing levels of aggregation: monthly consumption data divided according to Italian time bands (M–B) (as illustrated in Figure 1 [18,19]), monthly consumption data (M–A) and annual consumption data (A). As a result, four scenarios were set up.
- For each group of aggregated data, a proportional distribution was employed in order to estimate the corresponding hourly data. No assumptions were made in the process of dividing the consumption; instead, a purely mathematical spread was employed. Details regarding the process through which we estimated hourly consumption starting from aggregated data are provided in Section 2.2.
- Exploiting a MATLAB R2023b code we developed, we ran the simulations for each of the four scenarios, focusing on both energetic and economic aspects of the community. Section 2.4 illustrates the methodology used for the calculation of the results.
- Ultimately, the outcomes from case H were employed as a point of reference for a comparative analysis of the four distinct cases.
2.1. The Case Study
2.2. Consumption Data Processing
- Estimation of the monthly consumption:For each month, we computed the ratios between the number of days of the month and the number of days of the year:where m goes from 1 (January) to 12 (December). Hence, could be equal to 31, 30, or 28, while is equal to 365. Secondly, we built , which is the 12 × 1 vector containing all of the ratios:Then, we built the 12 × 1 monthly consumption vector by simply multiplying by the scalar A, with A representing the annual consumption:
- Estimation of the monthly consumption divided by time bands:This estimation is based on the number of hours contained in each time band in each month. Firstly, we calculated the number of hours in each month, where m goes from 1 (January) to 12 (December). Secondly, for each month, we calculated the three ratios between the number of hours of each time band and the number of hours of the month itself. Hence, for each month, we have three values of , where b stands for time band and goes from 1 (F1) to 3 (F3), and m stands for hours of the month. Then, we built the 12 × 3 matrix containing all the values of :Then, we built the 12 × 3 matrix consisting of the monthly consumption divided by the time bands by simply multiplying by :
- Estimation of the hourly consumption:First, we built , which is a 36 × 8760 matrix containing elements that can be equal only to 1 or to 0. The first three rows of the matrix are related to January, rows 4 to 6 are related to February, and so on. Among the three rows related to a month, the first one is related to the first time band (F1), the second one is related to the second time band (F2), and the third one is related to the third time band (F3). Hence, the element represents the hour j of the appropriate month, and it is equal to one if belongs to the appropriate time band indicated by the row; otherwise, it is null.For instance, the elements and the elements for j = 1:24 are equal to 0 since the first day of the year is always festive. Coherently, the elements for j = 1:24 are equal to 1 because all of the hours of the 1st of January belong to the third time band F3.Secondly, we computed , which is the 8760 × 36 psuedoinverse matrix of .Then, we reshaped the monthly consumption divided by time bands matrix into the 36 × 1 vector .Finally, we multiplied by , thus obtaining the 8760 × 1 vector of estimated hourly consumption :
2.3. Production
- Meteonorm, which is based on 19 years of observations (2000–2019);
- MERRA-2 [25], which is based on 18 years of observations (2001–2019).
2.4. The Model
- : This case may occur under different circumstances. Firstly, if the POD belongs to a pure consumer, it does not produce its own energy, so is always negative. Otherwise, if the POD belongs to a prosumer, then a negative can mean two things: either their plant is not producing in the considered hour (e.g., during nighttime) or its plant is generating only a fraction of the requested energy. In all cases, the produced energy (if any) is not enough to satisfy the request from the user, so the value of represents the energy taken from the grid to cover the consumption.
- : This case happens whenever there is a balance between the energy requested by the user and the energy produced by the user themself. Hence, it may happen only for those users classified as prosumers.
- : This case is always verified for all the producers in a configuration, since producers do not consume energy. This case may also happen for a prosumer whenever they are generating more energy than they require. Obviously, it will never occur for a user, since a user is not able to produce their own energy and to have self-consumption. When is positive, its value represents the amount of energy fed into the grid and sold.
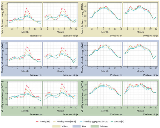
3. Results
4. Discussion
4.1. Implications of the Consumption Aggregations
4.2. Impact of Simulations across Different Cities and Using Different Weather Files
4.3. Practical Impacts
4.4. Limitations
5. Conclusions
Future Developments
Author Contributions
Funding
Data Availability Statement
Conflicts of Interest
Abbreviations
| MES | Multi-Energy System |
| NCF | Net Cash Flow |
| NPV | Net Present Value |
| PBT | Pay-Back Time |
| PV | Photovoltaic |
| REC | Renewable Energy Community |
| TMY | Typical Meteorological Year |
Appendix A



References
- European Commission: Joint Research Centre; Uihlein, A.; Caramizaru, A. Energy Communities—An Overview of Energy and Social Innovation; Publications Office: Luxembourg, 2020. [Google Scholar]
- Green Power Communities List. 2024. Available online: https://www.epa.gov/greenpower/green-power-communities-list (accessed on 1 March 2024).
- Community Energy Map. 2023. Available online: https://cpagency.org.au/resources-2/map/ (accessed on 15 February 2024).
- Jadidbonab, M.; Mohammadi-Ivatloo, B.; Marzband, M.; Siano, P. Short-Term Self-Scheduling of Virtual Energy Hub Plant within Thermal Energy Market. IEEE Trans. Ind. Electron. 2021, 68, 3124–3136. [Google Scholar] [CrossRef]
- Zhang, N.; Sun, Q.; Yang, L.; Li, Y. Event-Triggered Distributed Hybrid Control Scheme for the Integrated Energy System. IEEE Trans. Ind. Inform. 2022, 18, 835–846. [Google Scholar] [CrossRef]
- Xu, D.; Zhou, B.; Wu, Q.; Chung, C.Y.; Li, C.; Huang, S.; Chen, S. Integrated Modelling and Enhanced Utilization of Power-to-Ammonia for High Renewable Penetrated Multi-Energy Systems. IEEE Trans. Power Syst. 2020, 35, 4769–4780. [Google Scholar] [CrossRef]
- Yang, L.; Li, X.; Sun, M.; Sun, C. Hybrid Policy-Based Reinforcement Learning of Adaptive Energy Management for the Energy Transmission-Constrained Island Group. IEEE Trans. Ind. Inform. 2023, 19, 10751–10762. [Google Scholar] [CrossRef]
- Barabino, E.; Fioriti, D.; Guerrazzi, E.; Mariuzzo, I.; Poli, D.; Raugi, M.; Razaei, E.; Schito, E.; Thomopulos, D. Energy Communities: A review on trends, energy system modelling, business models, and optimisation objectives. Sustain. Energy, Grids Netw. 2023, 36, 101187. [Google Scholar] [CrossRef]
- Sweeney, C.; Bessa, R.J.; Browell, J.; Pinson, P. The future of forecasting for renewable energy. WIREs Energy Environ. 2020, 9, e365. [Google Scholar] [CrossRef]
- Antonanzas, J.; Osorio, N.; Escobar, R.; Urraca, R.; de Pison, F.M.; Antonanzas-Torres, F. Review of photovoltaic power forecasting. Sol. Energy 2016, 136, 78–111. [Google Scholar] [CrossRef]
- Zheng, J.; Du, J.; Wang, B.; Klemeš, J.J.; Liao, Q.; Liang, Y. A hybrid framework for forecasting power generation of multiple renewable energy sources. Renew. Sustain. Energy Rev. 2023, 172, 113046. [Google Scholar] [CrossRef]
- Chen, S.; Yang, W.; Yoshino, H.; Levine, M.D.; Newhouse, K.; Hinge, A. Definition of occupant behavior in residential buildings and its application to behavior analysis in case studies. Energy Build. 2015, 104, 1–13. [Google Scholar] [CrossRef]
- Baglietto, G.; Massucco, S.; Silvestro, F.; Vinci, A.; Conte, F. A Non-Intrusive Load Disaggregation Tool based on Smart Meter Data for Residential Buildings. In Proceedings of the 2023 IEEE International Conference on Environment and Electrical Engineering and 2023 IEEE Industrial and Commercial Power Systems Europe (EEEIC / I&CPS Europe), Madrid, Spain, 6–9 June 2023; pp. 1–6. [Google Scholar] [CrossRef]
- Liu, J. Cluster Analysis of Electricity Consumption Characteristics and Electricity Consumption Behavior of Typical Industry Users. In Proceedings of the 2023 5th Asia Energy and Electrical Engineering Symposium (AEEES), Chengdu, China, 23–26 March 2023; pp. 1389–1395. [Google Scholar] [CrossRef]
- Chuang, M.; Yikuai, W.; Junda, Z.; Ke, C.; Feixiang, G.; Tao, C.; Songsong, C. Research on user electricity consumption behavior and energy consumption modeling in big data environment. In Proceedings of the 2021 IEEE 2nd International Conference on Big Data, Artificial Intelligence and Internet of Things Engineering (ICBAIE), Nanchang, China, 26–28 March 2021; pp. 220–224. [Google Scholar] [CrossRef]
- Lamagna, M.; Nastasi, B.; Groppi, D.; Nezhad, M.M.; Garcia, D.A. Hourly energy profile determination technique from monthly energy bills. Build. Simul. 2020, 13, 1235–1248. [Google Scholar] [CrossRef]
- Consolo, V.; Rugani, R.; Mura, E.; Raugi, M. Impact of power consumption at various aggregation levels in REC analysis: A real case study perspective. In Proceedings of the 2024 IEEE International Conference on Environment and Electrical Engineering (EEEIC), Roma, Italy, 17–20 June 2024. in press. [Google Scholar]
- Autorità di Regolazione per Energia Reti e Ambiente (ARERA), Rome, Italy. Proposte in Materia di Definizione delle Fasce Orarie per l’Anno 2007 e Successivi, atto n.19/06, Documento per la Consulatazione. 2006. Available online: https://www.arera.it/fileadmin/allegati/docs/06/dc_060703.pdf (accessed on 2 February 2024).
- Autorità di Regolazione per Energia Reti e Ambiente (ARERA), Rome, Italy. Aggiornamento Delle Fasce Orarie Con Decorezzenza 1 Gennaio 2007 Annex A. Delibera n.181/06. 2007. Available online: https://www.arera.it/atti-e-provvedimenti/dettaglio/06/181-06 (accessed on 2 February 2024).
- Pfenninger, S.; Staffell, I. Long-term patterns of European PV output using 30 years of validated hourly reanalysis and satellite data. Energy 2016, 114, 1251–1265. [Google Scholar] [CrossRef]
- Bellekom, S.; Arentsen, M.; van Gorkum, K. Prosumption and the distribution and supply of electricity. Energy Sustain. Soc. 2016, 6, 22. [Google Scholar] [CrossRef]
- Heinisch, V.; Odenberger, M.; Göransson, L.; Johnsson, F. Organizing prosumers into electricity trading communities: Costs to attain electricity transfer limitations and self-sufficiency goals. Int. J. Energy Res. 2019, 43, 7021–7039. [Google Scholar] [CrossRef]
- Gržanić, M.; Capuder, T.; Zhang, N.; Huang, W. Prosumers as active market participants: A systematic review of evolution of opportunities, models and challenges. Renew. Sustain. Energy Rev. 2022, 154, 111859. [Google Scholar] [CrossRef]
- IRENA. Renewable Power Generation Costs in 2022; International Renewable Energy Agency: Masdar, Abu Dhabi, 2023; Available online: https://www.irena.org/-/media/Files/IRENA/Agency/Publication/2023/Aug/IRENA_Renewable_power_generation_costs_in_2022.pdf (accessed on 2 February 2024).
- Rienecker, M.M.; Suarez, M.J.; Gelaro, R.; Todling, R.; Bacmeister, J.; Liu, E.; Bosilovich, M.G.; Schubert, S.D.; Takacs, L.; Kim, G.K.; et al. MERRA: NASA’s modern-era retrospective analysis for research and applications. J. Clim. 2011, 24, 3624–3648. [Google Scholar] [CrossRef]
- Autorità di Regolazione per Energia Reti e Ambiente (ARERA), Rome, I. Allegato A alla deliberazione 727/2022/R/eel. Testo Integrato Delle Disposizioni Dell’autorità Di Regolazione Per Energia Reti E Ambiente Per La Regolazione Dell’autoconsumo Diffuso (Testo Integrato Autoconsumo Diffuso - TIAD) 2022-12-27. Available online: https://www.arera.it/fileadmin/allegati/docs/22/727-22.pdf (accessed on 31 January 2024).
- Ministero Dell’Ambiente e Della Sicurezza Energetica. Decreto CER. 24 January 2024. Available online: https://www.jtf.gov.it/wp-content/uploads/2024/01/Decreto-CER.pdf (accessed on 31 January 2024).
- Gestore Mercati Energetici (GME). Esiti MGP. Available online: https://gme.mercatoelettrico.org/it-it/Home/Esiti/Elettricita/MGP/Esiti/PUN (accessed on 10 May 2024).
- Moncecchi, M.; Meneghello, S.; Merlo, M. A Game Theoretic Approach for Energy Sharing in the Italian Renewable Energy Communities. Appl. Sci. 2020, 10, 8166. [Google Scholar] [CrossRef]
- Condizioni Economiche per i Clienti del Mercato Tutelato. 2024. Available online: https://www.arera.it/area-operatori/prezzi-e-tariffe/condizioni-economiche-per-i-clienti-del-mercato-tutelato (accessed on 2 February 2024).











| Symbol | Meaning | Type |
|---|---|---|
| A | Annual consumption data of a single user | Scalar |
| Ratio between the number of days of the month m and the number of days of the year | Scalar | |
| Vector containing all the ratios | Vector | |
| Monthly consumption vector | Vector | |
| Ratio between the number of hours of each time band and the number of hours of the month itself | Scalar | |
| Matrix containing all the ratios | Matrix | |
| Monthly consumption divided by time bands | Matrix | |
| Monthly consumption divided by time bands | Vector | |
| Matrix defining whether each hour of the year belongs to a specific time band or not | Matrix | |
| Estimated hourly consumption | Vector |
| Symbol | Parameter | Value |
|---|---|---|
| Unit cost of PV systems | 1300 EUR/kWp | |
| Annual cost of maintenance (as a % of ) | 2% | |
| d | Discount rate | 3.5% |
| Average electricity price | 180 EUR/MWh |
Disclaimer/Publisher’s Note: The statements, opinions and data contained in all publications are solely those of the individual author(s) and contributor(s) and not of MDPI and/or the editor(s). MDPI and/or the editor(s) disclaim responsibility for any injury to people or property resulting from any ideas, methods, instructions or products referred to in the content. |
© 2024 by the authors. Licensee MDPI, Basel, Switzerland. This article is an open access article distributed under the terms and conditions of the Creative Commons Attribution (CC BY) license (https://creativecommons.org/licenses/by/4.0/).
Share and Cite
Raugi, M.; Consolo, V.; Rugani, R. The Effect of Increasing Aggregation Levels of Electrical Consumption Data on Renewable Energy Community (REC) Analyses. Energies 2024, 17, 4647. https://doi.org/10.3390/en17184647
Raugi M, Consolo V, Rugani R. The Effect of Increasing Aggregation Levels of Electrical Consumption Data on Renewable Energy Community (REC) Analyses. Energies. 2024; 17(18):4647. https://doi.org/10.3390/en17184647
Chicago/Turabian StyleRaugi, Marco, Valentina Consolo, and Roberto Rugani. 2024. "The Effect of Increasing Aggregation Levels of Electrical Consumption Data on Renewable Energy Community (REC) Analyses" Energies 17, no. 18: 4647. https://doi.org/10.3390/en17184647
APA StyleRaugi, M., Consolo, V., & Rugani, R. (2024). The Effect of Increasing Aggregation Levels of Electrical Consumption Data on Renewable Energy Community (REC) Analyses. Energies, 17(18), 4647. https://doi.org/10.3390/en17184647

