Investigation of Wall Boiling Closure, Momentum Closure and Population Balance Models for Refrigerant Gas–Liquid Subcooled Boiling Flow in a Vertical Pipe Using a Two-Fluid Eulerian CFD Model
Abstract
1. Introduction
2. Computational Multiphase Flow Dynamics (CMFD) Modelling
2.1. Governing Equations
2.2. RPI Wall Boiling Model
2.3. Closure Models
2.3.1. Closure Models for the RPI Wall Boiling Model
2.3.2. Models for Interfacial Forces
2.3.3. Population Balance Model
3. Benchmark Data and Simulation Setup
Computational Domain and Boundary Conditions
4. Results and Discussion
4.1. Grid Dependency Analysis
4.2. Boiling Closure
4.3. Momentum Closure
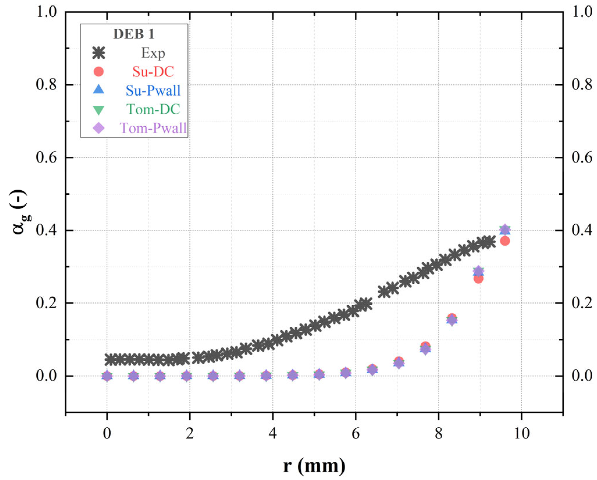
4.3.1. Sensitivity to Drag Coefficient Model
4.3.2. Sensitivity to Lift Force
4.3.3. Sensitivity to Turbulent Dispersion Force
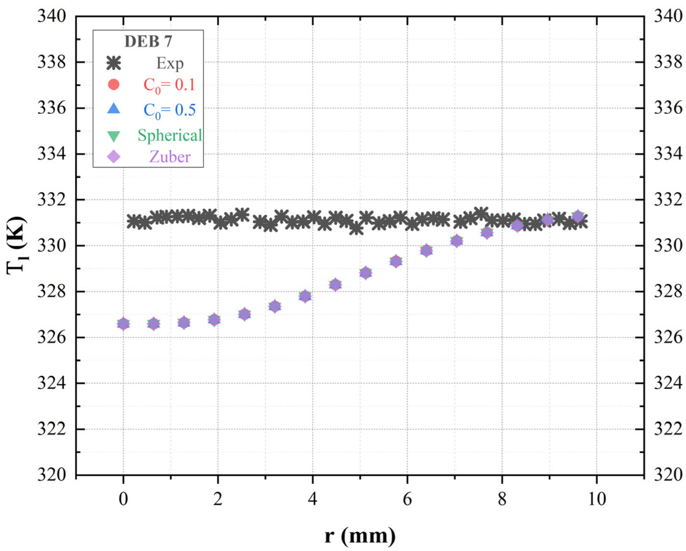
4.3.4. Sensitivity to Virtual Mass Force
4.4. Sensitivity for Population Balance Approach
5. Conclusions
- The grid dependency test conducted reveals that the grid size significantly impacts temperature and void fraction, primarily due to variations in the mass transfer rate. Hence, conducting a grid dependency test for such type of problems is crucial. A finer grid enhances mass transfer rate prediction accuracy and a more refined grid accelerates pseudo-dry-out onset. The selection of the 30 × 300 grid configuration was based on its favorable comparison with the experimental results.
- The investigation of boiling closure reveals a strong relationship between bubble departure diameter and nucleation site density, significantly impacting the overall performance of the model. The accuracy of the model is highly dependent on the precise selection of these parameters. The results demonstrate a robust coupling between the boiling closure parameters, highlighting the interdependence of bubble departure diameter and nucleation site density.
- For boiling closure model selection, employing a combination of the Hibiki–Ishii semi-mechanistic model for nucleation site density and the Unal model for bubble departure diameter, designed for both low and high pressures, yields to the most accurate results. The precision in selecting bubble departure diameter and nucleation site density is crucial for model accuracy.
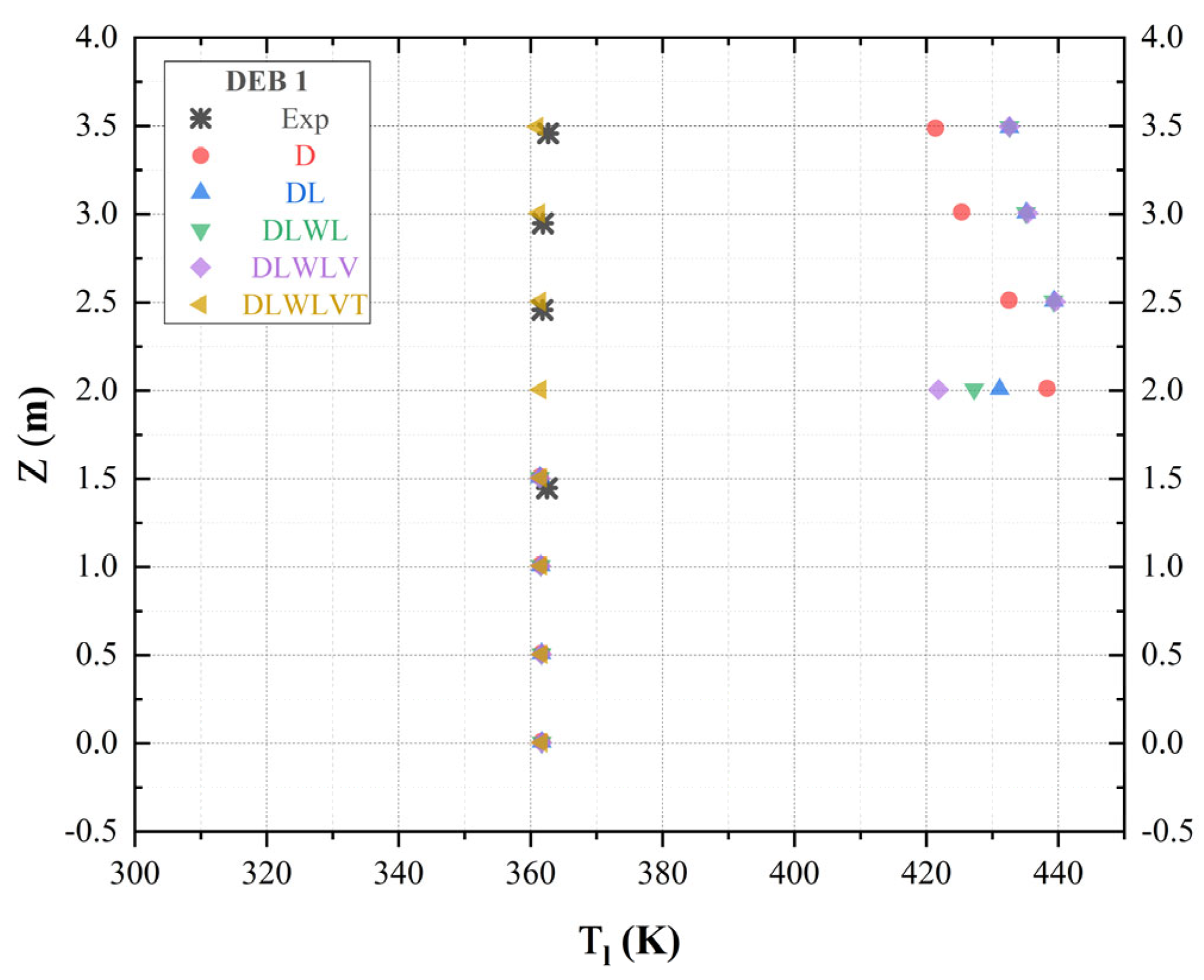
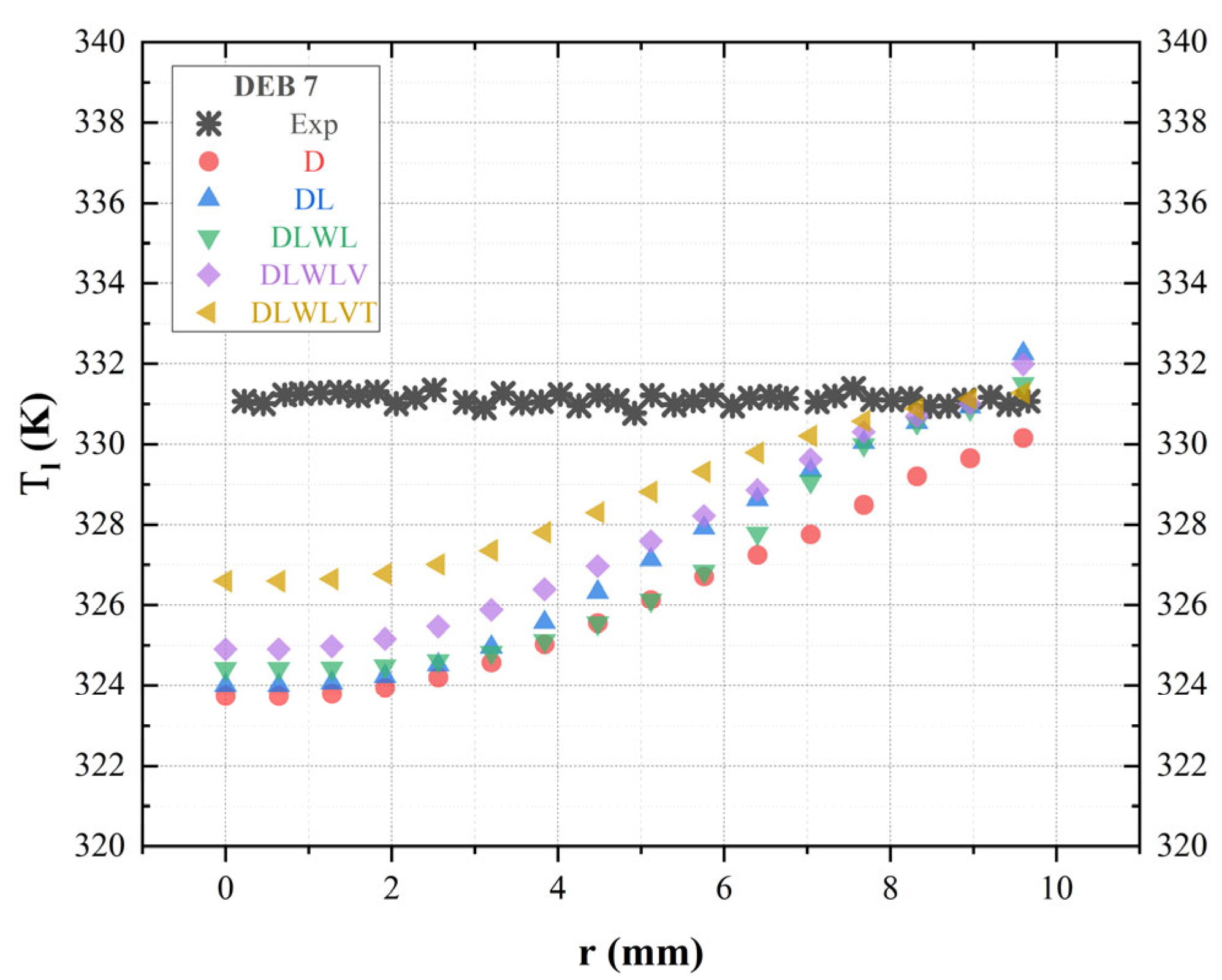
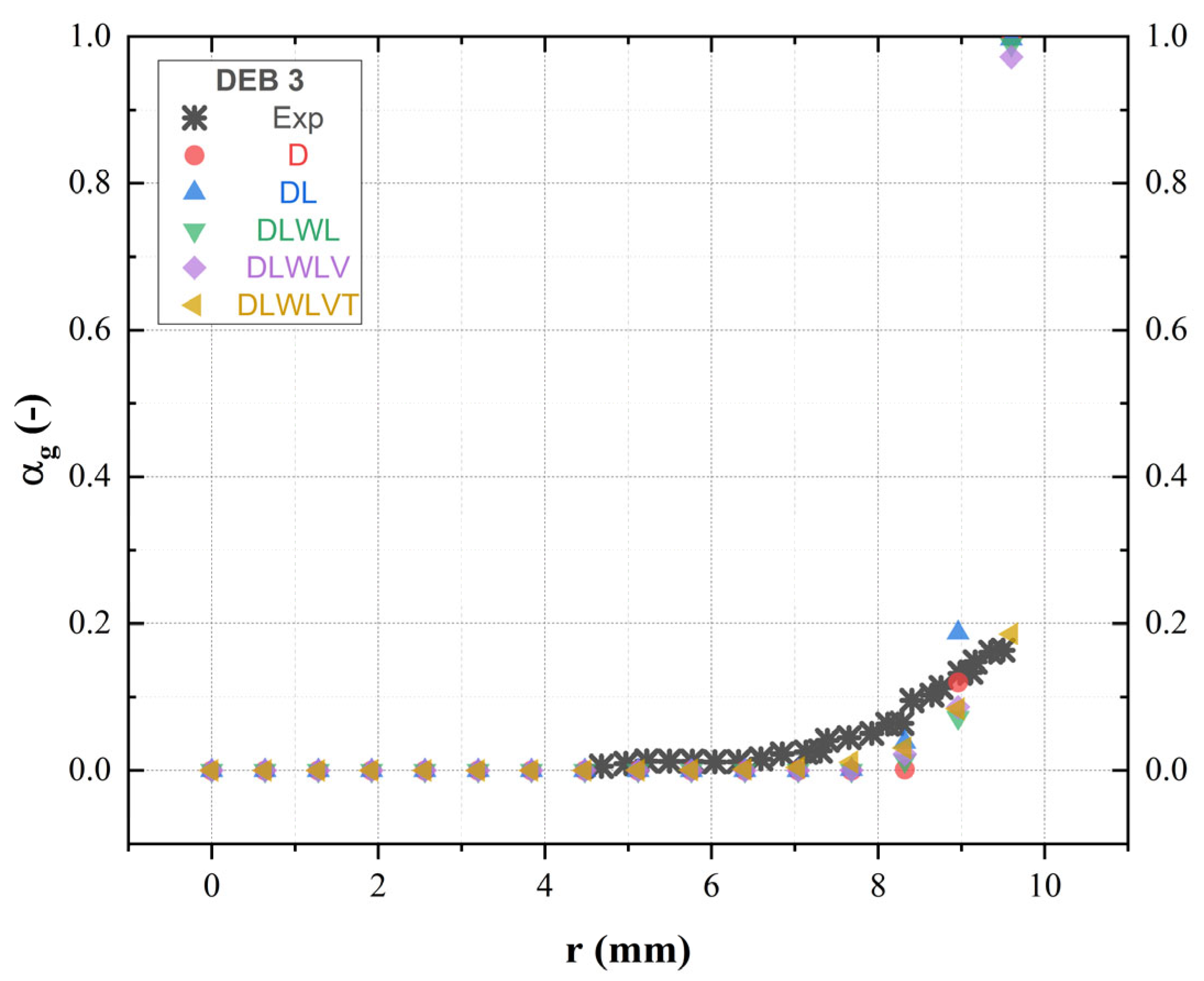
- Analysis of the momentum closure reveals that activating interfacial forces enhances result accuracy, while the exclusion of certain forces detrimentally affects accuracy. The turbulent dispersion force notably influences accuracy, emphasizing the importance of incorporating all five interfacial forces for optimal accuracy.
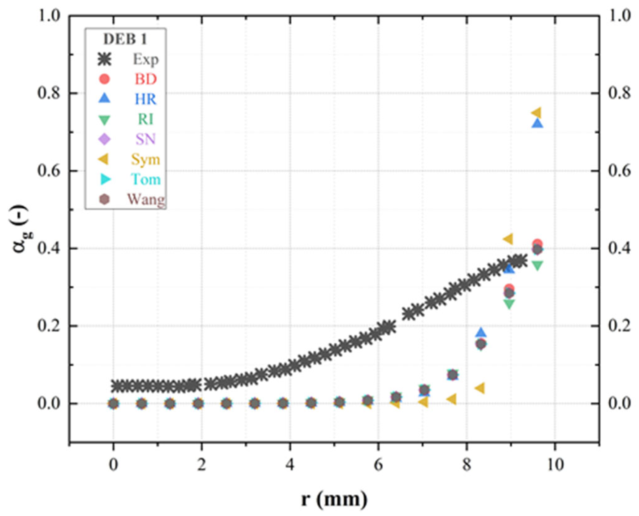
- Sub-closure models for each interfacial force were investigated, highlighting that drag sub-models have a limited impact on temperature but noticeable effects on void fraction. Upon analysis of the simulation outcomes, it was observed that the lift sub-models and the virtual mass force constant demonstrated minimal influence on system behavior. Conversely, a notable impact on both radial profiles of void fraction and liquid temperature was attributed to the turbulence dispersion force constant.
- Incorporating the population balance approach, sensitivity analyses for coalescence and breakage factors were conducted using two different size distribution models (S-Gamma and A MuSigG). These parameters significantly influence momentum exchange within the flow phase and impact the spatial distribution of bubbles. Adjustment of efficiency constants associated with break up and coalescence kernels is deemed crucial based on the analysis of the comparisons observed.
Author Contributions
Funding
Data Availability Statement
Acknowledgments
Conflicts of Interest
Nomenclature
| Calibration constant (1/K) | |
| Interfacial area density (kg/m2) | |
| Linearized drag coefficient (-) | |
| Drag coefficient (-) | |
| Specific heat (J/kg·K) | |
| Single-particle drag coefficient (-) | |
| Lift Coefficient (-) | |
| Calibration constant (m/radian) | |
| Reference diameter (m) | |
| Bubble departure diameter (m) | |
| Energy (J) | |
| Force (N) | |
| Bubble departure frequency (1/s) | |
| Lift correction (-) | |
| Drag correction (-) | |
| Gravity (m/s2) | |
| Enthalpy (J) | |
| Latent heat (J/kg) | |
| Quenching heat transfer coefficient (W/m2·K) | |
| Wall contact area fraction (-) | |
| Effective thermal conductivity (W/mK) | |
| Interaction length scale (m) | |
| Inverted topology length scale (m) | |
| Interphase momentum transfer (N) | |
| Mass transfer rate (kg/s) | |
| Nucleation site number density (1/m2) | |
| Pressure (Pa) | |
| Heat transfer rate (W/m2·K) | |
| Heat flux density (W/m2) | |
| Critical cavity radius (m) | |
| User-defined phase mass source term (-) | |
| Energy source (-) | |
| Temperature (K) | |
| Reference subcooling (K) | |
| Subcooling (K) | |
| Volume (m3) | |
| Distance (m) |
Subscripts
| Cell center | |
| Convective | |
| Drag | |
| Vapor contribution | |
| Superheat exponent | |
| Effective | |
| Evaporative | |
| Gas | |
| Internal | |
| Liquid | |
| Lift | |
| Quenching | |
| Turbulent dispersion | |
| Virtual mass | |
| Wall lubrication | |
| Wall |
Greek Symbols
| Volume fraction (-) | |
| Density (kg/m3) | |
| Velocity (m/s) | |
| Relative velocity (m/s) | |
| Surface tension (N/m) | |
| Molecular Stress (N/m2) | |
| Turbulent stress (N/m2) | |
| Viscous stress (N/m2) | |
| Wall contact angle (°) | |
| Wall contact angle scale (°) | |
| Cavity length scale (m) |
Dimensionless Numbers
| Logarithmic, non-dimensional density function representing the effect of pressure | |
| Morton number | |
| Reynolds number | |
| Wobble number | |
| Eotvos number |
References
- Swanson, T.D.; Birur, G.C. NASA Thermal Control Technologies for Robotic Spacecraft. Appl. Therm. Eng. 2003, 23, 1055–1065. [Google Scholar] [CrossRef]
- Kunkelmann, C.; Stephan, P. CFD Simulation of Boiling Flows Using the Volume-of-Fluid Method within OpenFOAM. Numer. Heat Transf. Part A Appl. 2009, 56, 631–646. [Google Scholar] [CrossRef]
- Kunkelmann, C.; Stephan, P. Numerical Simulation of the Transient Heat Transfer during Nucleate Boiling of Refrigerant HFE-7100. Int. J. Refrig. 2010, 33, 1221–1228. [Google Scholar] [CrossRef]
- Magnini, M.; Thome, J.R. A CFD Study of the Parameters Influencing Heat Transfer in Microchannel Slug Flow Boiling. Int. J. Therm. Sci. 2016, 110, 119–136. [Google Scholar] [CrossRef]
- Magnini, M.; Matar, O.K. Numerical Study of the Impact of the Channel Shape on Microchannel Boiling Heat Transfer. Int. J. Heat Mass Transf. 2020, 150, 119322. [Google Scholar] [CrossRef]
- Liu, Q.; Wang, W.; Palm, B. A Numerical Study of the Transition from Slug to Annular Flow in Micro-Channel Convective Boiling. Appl. Therm. Eng. 2017, 112, 73–81. [Google Scholar] [CrossRef]
- Kurul, N.; Podowski, M.Z. Multidimensional Effects in Forced Convection Subcooled Boiling. In Proceedings of the International Heat Transfer Conference 9, Jerusalem, Israel, 19–24 August 1990; Begellhouse: Jerusalem, Israel, 1990; pp. 21–26. [Google Scholar]
- Yao, W.; Morel, C. Volumetric Interfacial Area Prediction in Upward Bubbly Two-Phase Flow. Int. J. Heat Mass Transf. 2004, 47, 307–328. [Google Scholar] [CrossRef]
- Yeoh, G.H.; Tu, J.Y. Two-Fluid and Population Balance Models for Subcooled Boiling Flow. Appl. Math. Model. 2006, 30, 1370–1391. [Google Scholar] [CrossRef]
- Končar, B.; Matkovič, M. Simulation of Turbulent Boiling Flow in a Vertical Rectangular Channel with One Heated Wall. Nucl. Eng. Des. 2012, 245, 131–139. [Google Scholar] [CrossRef]
- Yun, B.-J.; Splawski, A.; Lo, S.; Song, C.-H. Prediction of a Subcooled Boiling Flow with Advanced Two-Phase Flow Models. Nucl. Eng. Des. 2012, 253, 351–359. [Google Scholar] [CrossRef]
- Krepper, E.; Rzehak, R. CFD for Subcooled Flow Boiling: Simulation of DEBORA Experiments. Nucl. Eng. Des. 2011, 241, 3851–3866. [Google Scholar] [CrossRef]
- Adrian, T.; Vegendla, P.; Obabko, A.; Tomboulides, A.; Fischer, P.; Marin, O.; Merzari, E. Modeling of Two-Phase Flow in a BWR Fuel Assembly with a Highly-Scalable CFD Code. In Proceedings of the 16th International Topical Meeting on Nuclear Reactor Thermal Hydraulics (NURETH-16), Chicago, IL, USA, 30 August–4 September 2015. [Google Scholar]
- Thakrar, R.; Murallidharan, J.; Walker, S.P. Simulations of High-Pressure Subcooled Boiling Flows in Rectangular Channels. In Proceedings of the 16th International Topical Meeting on Nuclear Reactor Thermal Hydraulics, Chicago, IL, USA, 30 August–4 September 2015. [Google Scholar]
- Yang, G.; Zhang, W.; Binama, M.; Li, Q.; Cai, W. Review on Bubble Dynamic of Subcooled Flow Boiling-Part b: Behavior and Models. Int. J. Therm. Sci. 2023, 184, 108026. [Google Scholar] [CrossRef]
- Cheung, S.C.P.; Yeoh, G.H.; Tu, J.Y. On the Numerical Study of Isothermal Vertical Bubbly Flow Using Two Population Balance Approaches. Chem. Eng. Sci. 2007, 62, 4659–4674. [Google Scholar] [CrossRef][Green Version]
- Magnaudet, J.; Eames, I. The Motion of High-Reynolds-Number Bubbles in Inhomogeneous Flows. Annu. Rev. Fluid Mech. 2000, 32, 659–708. [Google Scholar] [CrossRef]
- Yamoah, S.; Martínez-Cuenca, R.; Monrós, G.; Chiva, S.; Macián-Juan, R. Numerical Investigation of Models for Drag, Lift, Wall Lubrication and Turbulent Dispersion Forces for the Simulation of Gas–Liquid Two-Phase Flow. Chem. Eng. Res. Des. 2015, 98, 17–35. [Google Scholar] [CrossRef]
- Khan, I.; Wang, M.; Zhang, Y.; Tian, W.; Su, G.; Qiu, S. Two-Phase Bubbly Flow Simulation Using CFD Method: A Review of Models for Interfacial Forces. Prog. Nucl. Energy 2020, 125, 103360. [Google Scholar] [CrossRef]
- Papoulias, D.; Vichansky, A.; Tandon, M. Multi-Fluid Modelling of Bubbly Channel Flows with an Adaptive Multi-Group Population Balance Method. Exp. Comput. Multiph. Flow 2021, 3, 171–185. [Google Scholar] [CrossRef]
- Ramkrishna, D. Population Balances: Theory and Applications to Particulate Systems in Engineering; Elsevier: Amsterdam, The Netherlands, 2000. [Google Scholar]
- Hu, G.; Ma, Y.; Liu, Q. Evaluation on Coupling of Wall Boiling and Population Balance Models for Vertical Gas-Liquid Subcooled Boiling Flow of First Loop of Nuclear Power Plant. Energies 2021, 14, 7357. [Google Scholar] [CrossRef]
- Gupta, A.; Roy, S. Euler–Euler Simulation of Bubbly Flow in a Rectangular Bubble Column: Experimental Validation with Radioactive Particle Tracking. Chem. Eng. J. 2013, 225, 818–836. [Google Scholar] [CrossRef]
- Tabib, M.V.; Roy, S.A.; Joshi, J.B. CFD Simulation of Bubble Column—An Analysis of Interphase Forces and Turbulence Models. Chem. Eng. J. 2008, 139, 589–614. [Google Scholar] [CrossRef]
- Frank, T.; Zwart, P.J.; Krepper, E.; Prasser, H.-M.; Lucas, D. Validation of CFD Models for Mono- and Polydisperse Air–Water Two-Phase Flows in Pipes. Nucl. Eng. Des. 2008, 238, 647–659. [Google Scholar] [CrossRef]
- Drew, D.; Cheng, L.; Lahey, R.T. The Analysis of Virtual Mass Effects in Two-Phase Flow. Int. J. Multiph. Flow 1979, 5, 233–242. [Google Scholar] [CrossRef]
- Smith, B.L.; Andreani, M.; Bieder, U.; Ducros, F.; Graffard, E.; Heitsch, M.; Henriksson, M.; Höhne, T.; Houkema, M.; Komen, E. Assessment of CFD Codes for Nuclear Reactor Safety Problems-Revision 2; Organisation for Economic Co-Operation and Development: Paris, France, 2015. [Google Scholar]
- Lee, T.H.; Park, G.C.; Lee, D.J. Local Flow Characteristics of Subcooled Boiling Flow of Water in a Vertical Concentric Annulus. Int. J. Multiph. Flow 2002, 28, 1351–1368. [Google Scholar] [CrossRef]
- Roy, R.P.; Velidandla, V.; Kalra, S.P. Velocity Field in Turbulent Subcooled Boiling Flow. J. Heat Transf. 1997, 119, 754–766. [Google Scholar] [CrossRef]
- Garnier, J.; Manon, E.; Cubizolles, G. Local Measurements on Flow Boiling of Refrigerant 12 in a Vertical Tube. Multiph. Sci. Technol. 2001, 13, 111. [Google Scholar] [CrossRef]
- Estrada-Perez, C.E.; Hassan, Y.A. PTV Experiments of Subcooled Boiling Flow through a Vertical Rectangular Channel. Int. J. Multiph. Flow 2010, 36, 691–706. [Google Scholar] [CrossRef]
- Cheung, S.C.P.; Vahaji, S.; Yeoh, G.H.; Tu, J.Y. Modeling Subcooled Flow Boiling in Vertical Channels at Low Pressures—Part 1: Assessment of Empirical Correlations. Int. J. Heat Mass Transf. 2014, 75, 736–753. [Google Scholar] [CrossRef]
- Murallidharan, J.S.; Prasad, B.V.S.S.S.; Patnaik, B.S.V.; Hewitt, G.F.; Badalassi, V. CFD Investigation and Assessment of Wall Heat Flux Partitioning Model for the Prediction of High Pressure Subcooled Flow Boiling. Int. J. Heat Mass Transf. 2016, 103, 211–230. [Google Scholar] [CrossRef]
- Krepper, E.; Končar, B.; Egorov, Y. CFD Modelling of Subcooled Boiling—Concept, Validation and Application to Fuel Assembly Design. Nucl. Eng. Des. 2007, 237, 716–731. [Google Scholar] [CrossRef]
- Bartolomei, G.G.; Chanturiya, V.M. Experimental Study of True Void Fraction When Boiling Subcooled Water in Vertical Tubes. Therm. Eng. 1967, 14, 123–128. [Google Scholar]
- Brooks, C.S.; Silin, N.; Hibiki, T.; Ishii, M. Experimental Investigation of Bubble Departure Diameter and Bubble Departure Frequency in Subcooled Flow Boiling in a Vertical Annulus. In Proceedings of the Volume 2: Heat Transfer Enhancement for Practical Applications; Heat and Mass Transfer in Fire and Combustion Heat Transfer in Multiphase Systems; Heat and Mass Transfer in Biotechnology. American Society of Mechanical Engineers: Minneapolis, MN, USA, 2013; p. V002T07A045. [Google Scholar]
- Lemmert, M.; Chawla, J.M. Influence of Flow Velocity on Surface Boiling Heat Transfer Coefficient. Heat Transf. Boil. 1977, 237, 247. [Google Scholar]
- Hibiki, T.; Ishii, M. Active Nucleation Site Density in Boiling Systems. Int. J. Heat Mass Transf. 2003, 46, 2587–2601. [Google Scholar] [CrossRef]
- Tolubinsky, V.I.; Kostanchuk, D.M. Vapour Bubbles Growth Rate and Heat Transfer Intensity at Subcooled Water Boiling. In Proceedings of the International Heat Transfer Conference 4, Paris, France, 31 September–5 September 1970; Begellhouse: Paris-Versailles, France, 1970; pp. 1–11. [Google Scholar]
- Kocamustafaogullari, G. Pressure Dependence of Bubble Departure Diameter for Water. Int. Commun. Heat Mass Transf. 1983, 10, 501–509. [Google Scholar] [CrossRef]
- Cole, R. A Photographic Study of Pool Boiling in the Region of the Critical Heat Flux. AIChE J. 1960, 6, 533–538. [Google Scholar] [CrossRef]
- Krepper, E.; Rzehak, R.; Lifante, C.; Frank, T. CFD for Subcooled Flow Boiling: Coupling Wall Boiling and Population Balance Models. Nucl. Eng. Des. 2013, 255, 330–346. [Google Scholar] [CrossRef]
- Cong, T.; Lv, X.; Zhang, X.; Zhang, R. Investigation on the Effects of Model Uncertainties on Subcooled Boiling. Ann. Nucl. Energy 2018, 121, 487–500. [Google Scholar] [CrossRef]
- Wang, Q.; Yao, W. Computation and Validation of the Interphase Force Models for Bubbly Flow. Int. J. Heat Mass Transf. 2016, 98, 799–813. [Google Scholar] [CrossRef]
- Gu, J.; Wang, Q.; Wu, Y.; Lyu, J.; Li, S.; Yao, W. Modeling of Subcooled Boiling by Extending the RPI Wall Boiling Model to Ultra-High Pressure Conditions. Appl. Therm. Eng. 2017, 124, 571–584. [Google Scholar] [CrossRef]
- Bartolomei, G.G.; Brantov, V.G.; Molochnikov, Y.S.; Kharitonov, Y.V.; Solodkii, V.A.; Batashova, G.N.; Mikhailov, V.N. An Experimental Investigation of True Volumetric Vapor Content with Subcooled Boiling in Tubes. Therm. Eng. 1982, 29, 132–135. [Google Scholar]
- Gray, G.S.; Ormiston, S.J. A Comparative Study of Closure Relations for CFD Modelling of Bubbly Flow in a Vertical Pipe. OJFD 2021, 11, 98–134. [Google Scholar] [CrossRef]
- Yang, C.-Y.; Nalbandian, H.; Lin, F.-C. Flow Boiling Heat Transfer and Pressure Drop of Refrigerants HFO-1234yf and HFC-134a in Small Circular Tube. Int. J. Heat Mass Transf. 2018, 121, 726–735. [Google Scholar] [CrossRef]
- Manon, E. Contribution à l’analyse et à La Modélisation Locale Des Écoulements Bouillants Sous-Saturés Dans Les Conditions Des Réacteurs à Eau Sous Pression; Ecole centrale de Paris: Châtenay-Malabry, France, 2000. [Google Scholar]
- Ishii, M. Thermo-Fluid Dynamic Theory of Two-Phase Flow. NASA STI/Recon Tech. Rep. A 1975, 75, 29657. [Google Scholar]
- Drew, D.A.; Stephen, L.P. Theory of Multicomponent Fluids; Springer Science & Business Media: Berlin, Germany, 2006; Volume 135. [Google Scholar]
- Wallis, G.B. One-Dimensional Two-Phase Flow; Courier Dover Publications: Mineola, NY, USA, 2020. [Google Scholar]
- Kurul, N.; Podowski, M.Z. On the Modeling of Multidimensional Effects in Boiling Channels. In Proceedings of the 27th National Heat Transfer Conference, Minneapolis, MN, USA, 28–31 July 1991. [Google Scholar]
- Benjamin, R.J.; Balakrishnan, A.R. Nucleation Site Density in Pool Boiling of Binary Mixtures: Effect of Surface Micro-roughness and Surface and Liquid Physical Properties. Can. J. Chem. Eng. 1997, 75, 1080–1089. [Google Scholar] [CrossRef]
- Gao, Y.; Shao, S.; Xu, H.; Zou, H.; Tang, M.; Tian, C. Numerical Investigation on Onset of Significant Void during Water Subcooled Flow Boiling. Appl. Therm. Eng. 2016, 105, 8–17. [Google Scholar] [CrossRef]
- Leong, K.C.; Ho, J.Y.; Wong, K.K. A Critical Review of Pool and Flow Boiling Heat Transfer of Dielectric Fluids on Enhanced Surfaces. Appl. Therm. Eng. 2017, 112, 999–1019. [Google Scholar] [CrossRef]
- Podowski, M.Z.; Podowski, R.M. Mechanistic Multidimensional Modeling of Forced Convection Boiling Heat Transfer. Sci. Technol. Nucl. Install. 2009, 2009, 387020. [Google Scholar] [CrossRef]
- Ünal, H.C. Maximum Bubble Diameter, Maximum Bubble-Growth Time and Bubble-Growth Rate during the Subcooled Nucleate Flow Boiling of Water up to 17.7 MN/M2. Int. J. Heat Mass Transf. 1976, 19, 643–649. [Google Scholar] [CrossRef]
- Euh, D.; Ozar, B.; Hibiki, T.; Ishii, M.; Song, C.-H. Characteristics of Bubble Departure Frequency in a Low-Pressure Subcooled Boiling Flow. J. Nucl. Sci. Technol. 2010, 47, 608–617. [Google Scholar] [CrossRef]
- Ishii, M.; Zuber, N. Drag Coefficient and Relative Velocity in Bubbly, Droplet or Particulate Flows. AIChE J. 1979, 25, 843–855. [Google Scholar] [CrossRef]
- Akbar, M.H.b.M.; Hayashi, K.; Lucas, D.; Tomiyama, A. Effects of Inlet Condition on Flow Structure of Bubbly Flow in a Rectangular Column. Chem. Eng. Sci. 2013, 104, 166–176. [Google Scholar] [CrossRef]
- Rzehak, R.; Kriebitzsch, S. Multiphase CFD-Simulation of Bubbly Pipe Flow: A Code Comparison. Int. J. Multiph. Flow 2015, 68, 135–152. [Google Scholar] [CrossRef]
- Schiller, L.; Maumann, A. Uber Die Grundlegenden Berechnungen Bei Der Schwerkraftaufbereitung. Z. Des Vereines Dtsch. Ingenieure 1933, 77, 318–321. [Google Scholar]
- Rusche, H.; Issa, R.I. The Effect of Voidage on the Drag Force on Particles, Droplets and Bubbles in Dispersed Two-Phase Flow. In Proceedings of the Japanese European Two-Phase Flow Meeting, Tshkuba, Japan, 25–29 September 2000. [Google Scholar]
- Bozzano, G.; Dente, M. Shape and Terminal Velocity of Single Bubble Motion: A Novel Approach. Comput. Chem. Eng. 2001, 25, 571–576. [Google Scholar] [CrossRef]
- Chhabra, R.P. Bubbles, Drops, and Particles in Non-Newtonian Fluids, 2nd ed.; CRC Press: Boca Raton, FL, USA, 2006; ISBN 978-0-429-07480-6. [Google Scholar]
- Tomiyama, A.; Kataoka, I.; Zun, I.; Sakaguchi, T. Drag Coefficients of Single Bubbles under Normal and Micro Gravity Conditions. JSME Int. J. Ser. B 1998, 41, 472–479. [Google Scholar] [CrossRef]
- Wang, D.M. Modelling of Bubbly Flow in a Sudden Pipe Expansion; Technical Report II-34; BRITE/EuRam Project BE-4098; European Union: Luxembourg, 1994. [Google Scholar]
- Behzadi, A.; Issa, R.I.; Rusche, H. Modelling of Dispersed Bubble and Droplet Flow at High Phase Fractions. Chem. Eng. Sci. 2004, 59, 759–770. [Google Scholar] [CrossRef]
- Auton, T.R.; Hunt, J.C.R.; Prud’Homme, M. The Force Exerted on a Body in Inviscid Unsteady Non-Uniform Rotational Flow. J. Fluid Mech. 1988, 197, 241–257. [Google Scholar] [CrossRef]
- Tomiyama, A.; Tamai, H.; Zun, I.; Hosokawa, S. Transverse Migration of Single Bubbles in Simple Shear Flows. Chem. Eng. Sci. 2002, 57, 1849–1858. [Google Scholar] [CrossRef]
- Sugrue, R.M. A Robust Momentum Closure Approach for Multiphase Computational Fluid Dynamics Applications. Ph.D. Thesis, Massachusetts Institute of Technology, Cambridge, MA, USA, 2017. [Google Scholar]
- Shaver, D.R.; Podowski, M.Z. Modeling of Interfacial Forces for Bubbly Flows in Subcooled Boiling Conditions. Trans. Am. Nucl. Soc. 2015, 113, 1368–1371. [Google Scholar]
- Moraga, F.J.; Larreteguy, A.E.; Drew, D.A.; Lahey, R.T. Assessment of Turbulent Dispersion Models for Bubbly Flows in the Low Stokes Number Limit. Int. J. Multiph. Flow 2003, 29, 655–673. [Google Scholar] [CrossRef]
- Mukhopadhyay, S.; Nimbalkar, G. Fundamental Study on Chaotic Transition of Two-Phase Flow Regime and Free Surface Instability in Gas Deaeration Process. Exp. Comput. Multiph. Flow 2021, 3, 258–288. [Google Scholar] [CrossRef]
- Lamb, H. Hydrodynamics; Dover Publications: New York, NY, USA, 1945; Volume 445. [Google Scholar]
- Zuber, N. On the Dispersed Two-Phase Flow in the Laminar Flow Regime. Chem. Eng. Sci. 1964, 19, 897–917. [Google Scholar] [CrossRef]
- Antal, S.P.; Lahey, R.T.; Flaherty, J.E. Analysis of Phase Distribution in Fully Developed Laminar Bubbly Two-Phase Flow. Int. J. Multiph. Flow 1991, 17, 635–652. [Google Scholar] [CrossRef]
- Lo, S.; Rao, P. Modelling of Droplet Breakup and Coalescence in an Oil-Water Pipeline. In Proceedings of the 6th International Conference on Multiphase Flow, ICMF 2007, Leipzig, Germany, 9–13 July 2007. [Google Scholar]
- Lo, S.; Zhang, D. Modelling of Break-up and Coalescence in Bubbly Two-Phase Flows. J. Comput. Multiph. Flows 2009, 1, 23–38. [Google Scholar] [CrossRef]
- Lo, S. Application of Population Balance to CFD Modeling of Bubbly Flow Via the MUSIG Model; AEA Technology: Carlsbad, CA, USA, 1996. [Google Scholar]
- Tsouris, C.; Tavlarides, L.L. Breakage and Coalescence Models for Drops in Turbulent Dispersions. AIChE J. 1994, 40, 395–406. [Google Scholar] [CrossRef]
- Luo, H. Coalescence, Breakup and Liquid Circulation in Bubble Column Reactors. Ph.D. Thesis, Norwegian Institute of Technology, Trondheim, Norway, 1993. [Google Scholar]
- Vlček, D.; Sato, Y. Sensitivity Analysis for Subcooled Flow Boiling Using Eulerian CFD Approach. Nucl. Eng. Des. 2023, 405, 112194. [Google Scholar] [CrossRef]
- Yeo, I.; Lee, S. 2D Computational Investigation into Transport Phenomena of Subcooled and Saturated Flow Boiling in Large Length to Diameter Ratio Micro-Channel Heat Sinks. Int. J. Heat Mass Transf. 2022, 183, 122128. [Google Scholar] [CrossRef]
- Wei, L.; Pan, L.; Liu, H.; Ren, Q.; He, H.; Cen, K.; Wang, D.; Yan, M. Assessment of Wall Heat Flux Partitioning Model for Two-Phase CFD. Nucl. Eng. Des. 2022, 390, 111693. [Google Scholar] [CrossRef]
- Siemens Digital Industries Software. Simcenter STAR-CCM+ User Guide, Version 18.02.010; Siemens Digital Industries Software: Plano, TX, USA, 2023. [Google Scholar]


















| Heat Fluxes | Forms |
|---|---|
| Convective Heat Flux (Liquid and gas) | |
| Evaporative Heat Flux | |
| Bubble Induced Quenching Heat Flux |
| Nucleation Site Density Model | Identifier | Formula |
|---|---|---|
| Lemmert Chawla [37,57] | LC | |
| Hibiki Ishii [38] | HI |
| Bubble Departure Diameter Model | Identifier | Formula |
|---|---|---|
| Tolubinsky Kostanchuk [39] | TK | |
| Kocamustafaogullari [40] | KO | |
| Unal [58] | U |
| No | Identifier | |||
|---|---|---|---|---|
| 1 | LC | TK | Cole | LC-TK |
| 2 | LC | KO | Cole | LC-KO |
| 3 | LC | U | Cole | LC-U |
| 4 | HI | TK | Cole | HI-TK |
| 5 | HI | KO | Cole | HI-KO |
| 6 | HI | U | Cole | HI-U |
| Model | Identifier | Equation |
|---|---|---|
| Schiller and Naumann [63] | SN | |
| Rusche–Issa Drag Coefficient [64,69] | RI | |
| Symmetric Drag Coefficient | Sym | Where as per Schiller and Naumann and |
| Bozzano-Dente Drag Coefficient for Bubbles [65] | BD | Where f friction factor and is a deformation factor |
| Hamard and Rybczynski Drag Coefficient for Droplets [66] | HR | , |
| Tomiyama Drag Coefficient for Bubbles [67] | Tom | |
| Wang Drag Coefficient for Bubbles [68] | Wang |
| Model | Identifier | Formula |
|---|---|---|
| Tomiyama Lift Coefficient [71] | Tom | |
| Sugrue Lift Coefficient [72] | Su |
| Model | Formula |
|---|---|
| Spherical Particle Virtual Mass Coefficient [76] | |
| Zuber Virtual Mass Coefficient [77] |
| No | Model | Break Up Model (BK) | Coalescence Model (CL) |
|---|---|---|---|
| 1 | S-Gamma | - | - |
| 2 | S-Gamma | Power law | - |
| 3 | S-Gamma | - | Luo Coalescence Efficiency |
| 4 | S-Gamma | Power law | Luo Coalescence Efficiency |
| 5 | A-MuSiG | - | - |
| 6 | A-MuSiG | Power law | - |
| 7 | A-MuSiG | - | Luo Coalescence Efficiency |
| 8 | A-MuSiG | Power law | Luo Coalescence Efficiency |
| Case | p [MPa] | G [kg m−2 s−1] | [kW m−2] | Tin [°C] | Tsub[°C] |
|---|---|---|---|---|---|
| DEB1 | 2.62 | 1996 | 73.89 | 68.52 | 17.91 |
| DEB3 | 1.46 | 2028 | 76.2 | 28.52 | 29.58 |
| DEB7 | 1.46 | 2024 | 76.26 | 44.21 | 13.89 |
| Types of Grids | |||||
|---|---|---|---|---|---|
| Label | G1 10 × 100 | G2 20 × 200 | G3 30 × 300 | G4 40 × 400 | G5 50 × 500 |
| Radial division | 10 | 20 | 30 | 40 | 50 |
| Radial cell size | 1.92 mm | 0.96 mm | 0.64 mm | 0.48 mm | 0.384 mm |
| Axial division | 100 | 200 | 300 | 400 | 500 |
| Axial cell Size | 50 mm | 25 mm | 16.67 mm | 12.5 mm | 10 mm |
| Types of Grids | ||||
|---|---|---|---|---|
| Label | V1 30 × 100 | V2 30 × 300 | V3 30 × 600 | V4 30 × 900 |
| Radial division | 30 | 30 | 30 | 30 |
| Axial division | 300 | 400 | 500 | 600 |
| Axial cell Size | 16.67 mm | 12.5 mm | 10 mm | 8.33 mm |
Disclaimer/Publisher’s Note: The statements, opinions and data contained in all publications are solely those of the individual author(s) and contributor(s) and not of MDPI and/or the editor(s). MDPI and/or the editor(s) disclaim responsibility for any injury to people or property resulting from any ideas, methods, instructions or products referred to in the content. |
© 2024 by the authors. Licensee MDPI, Basel, Switzerland. This article is an open access article distributed under the terms and conditions of the Creative Commons Attribution (CC BY) license (https://creativecommons.org/licenses/by/4.0/).
Share and Cite
Shaparia, N.; Pelay, U.; Bougeard, D.; Levasseur, A.; François, N.; Russeil, S. Investigation of Wall Boiling Closure, Momentum Closure and Population Balance Models for Refrigerant Gas–Liquid Subcooled Boiling Flow in a Vertical Pipe Using a Two-Fluid Eulerian CFD Model. Energies 2024, 17, 4225. https://doi.org/10.3390/en17174225
Shaparia N, Pelay U, Bougeard D, Levasseur A, François N, Russeil S. Investigation of Wall Boiling Closure, Momentum Closure and Population Balance Models for Refrigerant Gas–Liquid Subcooled Boiling Flow in a Vertical Pipe Using a Two-Fluid Eulerian CFD Model. Energies. 2024; 17(17):4225. https://doi.org/10.3390/en17174225
Chicago/Turabian StyleShaparia, Nishit, Ugo Pelay, Daniel Bougeard, Aurélien Levasseur, Nicolas François, and Serge Russeil. 2024. "Investigation of Wall Boiling Closure, Momentum Closure and Population Balance Models for Refrigerant Gas–Liquid Subcooled Boiling Flow in a Vertical Pipe Using a Two-Fluid Eulerian CFD Model" Energies 17, no. 17: 4225. https://doi.org/10.3390/en17174225
APA StyleShaparia, N., Pelay, U., Bougeard, D., Levasseur, A., François, N., & Russeil, S. (2024). Investigation of Wall Boiling Closure, Momentum Closure and Population Balance Models for Refrigerant Gas–Liquid Subcooled Boiling Flow in a Vertical Pipe Using a Two-Fluid Eulerian CFD Model. Energies, 17(17), 4225. https://doi.org/10.3390/en17174225

