Next Article in Journal
A CFD Model for Spatial Extrapolation of Wind Field over Complex Terrain—Wi.Sp.Ex
Previous Article in Journal
External Insulation Performance under DC Voltages of Polluted Post Insulators for Power Stations in Rainy Weather: A Brief Review and Recent Progress
Previous Article in Special Issue
Analysis of the Temperature Reached by the Traction Battery of an Electric Vehicle during the Drying Phase in the Paint Booth
 
 
Font Type:
Arial Georgia Verdana
Font Size:
Aa Aa Aa
Line Spacing:
Column Width:
Background:
Article

How Much Progress Have We Made towards Decarbonization? Policy Implications Based on the Demand for Electric Cars in Poland

by
Aleksandra Alicja Olejarz
* and
Małgorzata Kędzior-Laskowska
Department of Market and Consumption, Faculty of Economic Sciences, University of Warmia and Mazury in Olsztyn, 1 Cieszyński Sq., 10-957 Olsztyn, Poland
*
Author to whom correspondence should be addressed.
Energies 2024, 17(16), 4138; https://doi.org/10.3390/en17164138
Submission received: 5 July 2024 / Revised: 17 August 2024 / Accepted: 18 August 2024 / Published: 20 August 2024

Abstract

The growing demand for personal mobility is leading to an increase in vehicle use, which is in turn contributing to higher carbon emissions. It is widely acknowledged that emission-free electric vehicles (EVs) will play a pivotal role in the decarbonization process, particularly in the decarbonization of transport systems. The objective of this paper was to present the trends in demand for electric vehicles (EVs) in Poland, together with the identification of market shocks and an assessment of the programs supporting electromobility. The number of imported and domestically purchased new and used electric vehicle (BEV) registrations was analyzed using the TRAMO-SEATS and ARIMA-X-12 seasonal adjustment methods. The rise in sales of electric vehicles in Poland was driven by the government’s electromobility support programs and alterations to tax legislation, with no discernible seasonal impact. The number of registrations in Poland increased significantly, exhibiting an upward trajectory. However, this growth is constrained by the inadequate number of charging stations, which are primarily powered by electricity derived from coal. Consequently, while the development of electromobility in Poland is evident, the decarbonization process remains a challenge.

1. Introduction

Transport initiatives are designed to curtail the necessity for individuals to utilize personal mobility and to substitute traditional modes of transportation with those that are more environmentally friendly. The rise in demand for transportation is accompanied by an increase in greenhouse gas (GHG) emissions. In 2019, there was an increase of 33% in transport emissions in comparison to 1990, while GHG emissions decreased by 24%. The European Commission has set a target of carbon neutrality for the European Union by 2050, as part of the introduction of the European Green Deal. The proposed targets include a 55% reduction in carbon dioxide emissions from cars by 2030 and the elimination of emissions from new cars by 2035. It is similarly anticipated that, within a few years, a number of economies at the local and national levels will prohibit the registration of vehicles powered by internal combustion engines (ICEs) [1]. It is anticipated that this may result in a reduction in CO2 emissions, which contribute to the decarbonization of the transport sector, particularly in urban areas. In this paper, we concentrate on the decarbonization of private vehicles, focusing on the reduction in CO2 emissions.
The negative impact of motorized transport on the environment has been described in official government documents and statistics, scientific publications and reports from industry organizations. It is undoubtedly necessary to tackle climate change and minimize the destructive influence of humans on the environment [2,3,4]. Previous projections of transportation development, encompassing the necessity to facilitate human mobility, have been verified [5,6], and the demand for passenger transport (mobility) will continue to grow, regardless of the forecasting method used [7,8]. Mobility has a new meaning. It affects an individual’s standard of living and makes it easier to pursue hobbies [9,10,11]. It represents independence, especially for the elderly [12]. In [13], it was agreed that freedom is a manifestation of economic and psychological perspectives. The author proposed a sociological approach that “goes furthest in explaining car demand” and “sees transport technology embedded in contemporary patterns of urban social reproduction” and “associates car use with the new middle-class lifestyle that corresponds to capitalist modernization in developing countries” [13], p. 246. In addition, the decline in the supply and weak competition of public transport, particularly in urban areas, has led to greater reliance on private cars for mobility needs [14,15]. European Environment Agency [16] also confirms that private cars are the key mode of passenger transport.
The growth of the urban population is another factor contributing to the demand for mobility and cars [17]. Today’s conditions indicate a greater expansion of automobility rather than a reduction in the role of cars in mobility patterns. In addition to meeting the evolving mobility needs of modern society, battery electric vehicles (BEVs) also fulfill the need to decarbonize private transportation. BEVs are treated as zero-emission substitutes for internal combustion engine vehicles. They are one of the possible solutions aimed at improving the quality of the environment, especially air quality in cities. “Decarbonisation is often linked to a fuel and the aim of research based on it is to define science and technology’s ability to decrease CO2 emissions” [18]. It can also be defined as the carbon intensity of the energy mix, which may refer to the carbonization index or CO2 emission intensity in relation to GDP [18]. The other important issue for decarbonization and BEVs is energy supply. As renewable electricity supplies increase, the process will be further developed. Moreover, the development of renewable energy and its storage system is also one of the important success factors in the decarbonization process of transport and economies [19].
The existing research and literature on the greening of transport prompted us to undertake a niche study. Our research focuses on one of the promising decarbonizing techniques—BEVs as a component of reducing CO2 emissions from private cars. The research question concerned the process of greening private (passenger) transport in Poland, a less developed and innovative, post-communist country that has one of the highest rates of individual motorization in the EU27. The demand for BEVs was used as an example and was supported by an electromobility program of the Polish government. Our aim was to examine the mechanisms that influence demand for BEVs, rather than an analysis of their characteristics. We tried to analyze the market environment to find mechanisms that underpin the development of the BEV market. To achieve this, we endeavored to identify (a) trends in the market for new and used BEVs and (b) demand shocks. Furthermore, we tried to (c) assess the suitability of seasonal adjustment methods for identifying demand shocks. The number of registered BEVs, excluding those purchased for export, was used to measure effective domestic demand for BEVs. We examined registrations of both new and used cars that were purchased domestically or imported by private consumers. To our knowledge, this approach has not been previously used in research on zero-emission passenger cars. We used the ARIMA-X-12 and TRAMO-SEATS seasonal smoothing methods to identify outliers (potential shocks) and attempt to determine their nature (with reference to selected market conditions), as well as to decompose the time series. The use of both methods allowed us to compare the results and recommend the best method for future research which may be implemented in cross-national evaluations.
In the second part, we provide a comprehensive literature review on decarbonizing transport, including BEVs and policies to support demand growth. We outline the justification for exploring the BEV market in the context of the decarbonization process but also in the environment of a post-communist, less developed and innovative country. The statistical background of our study is presented in the Section 3. The Section 2 provides an overview of the variables included in our study and data extraction procedure. In the Section 4, research methods are described. The Section 5 and Section 6 present research findings on the BEV market in Poland, including a discussion of market trends, seasonality and demand shocks in both the new and used BEV market. In the Section 7, we present conclusions, discuss the findings and highlight potential future research directions.

2. Literature Review

Alternative fuels are a substitute for fossil oil sources. There are six options for alternative fuels: electricity, hydrogen, biofuels, synthetic and paraffinic fuels, compressed natural gas (CNG) including biomethane, liquefied natural gas (LNG) and liquefied petroleum gas (LPG) [20]. Electric and hydrogen cars are zero-emission, and, in our perspective, they are the only options that align with decarbonizing road transport and achieving carbon neutrality by 2050. Fuel types other than those derived from fossil fuels, such as liquefied petroleum gas (LPG), liquefied natural gas (LNG) and biofuels, are classified as low-carbon sources. They are undergoing a transitional phase as part of the wider initiative to improve sustainability in transportation systems.
There are various electric vehicle (EV) models available on the market, but their definitions and classification are determined by domestic regulations. The category of EVs encompasses BEVs, plug-in hybrid electric vehicles (PHEVs), hybrid electric vehicles (HEVs), fuel-cell electric vehicles (FCEVs), and extended-range electric vehicles (EREVs).
The zero-emission vehicle category includes BEVs (with a battery to power the vehicle when connected to an external power source) and FCEVs (with hydrogen in fuel cells to generate energy). In our research, we explore the demand for BEVs, which are categorized as M1—motor vehicles designed to carry passengers, with a maximum of eight seats including the driver’s seat [21]. Zero-emission BEVs were selected as part of decarbonization efforts. Due to limited demand and infrastructure in the European and Polish markets, we excluded zero-emission FCEVs from our analysis. A total of 4299 FCEVs (0.0017% of all passenger cars) and 136 refueling stations were recorded in the EU in 2022 [20,21].
In Table 1, the data for BEVs are presented. We observed a significant change in the passenger car structure in different European countries. In 2013, the highest percentage of BEVs among all passenger cars was recorded in Iceland (1%), Norway (0.72%) and Estonia (0.11%). In the year 2022, the situation underwent a significant transformation, and Norway emerged as the top country with the highest percentage of BEVs (20.12%). Denmark, Sweden, Iceland, the Netherlands and Luxembourg followed but with much lower shares (4.02%, 3.97%, 3.88%, 3.70% and 3.13%, respectively). However, the largest increase in BEVs was observed in Poland (37,975%), Hungary (27,024%), Latvia (25,447%) and Finland (24,679%).
The European Commission supports the growth of the market for vehicles with zero or low emissions. BEVs have been described as a medicine for the problems caused by carbon dioxide emissions [23]. By 2030, it is recommended that 40% of energy should be derived from renewable sources. This requires building or modernizing the existing infrastructure [24]. It should be also optimized for the production, distribution, and storage of renewable energy [25]. Internationally, the charging infrastructure in European countries is currently at different stages of development (see Table 2). This includes the number of charging stations, their distribution and the types of chargers, which have been widely described in the literature [26,27,28,29,30,31,32]. A dense network of fast charging stations is crucial for BEV market development. In 2022, the Netherlands had the highest number of charging points, followed by Germany and France. However, these are countries with a relatively large surface area. The absolute number of charging points is not an objective measure of charging infrastructure development. Comparing the number of charging points with the number of BEVs sheds new light on the subject; with 1.1 and 1.4 BEVs per charging point, Belgium and Türkiye have the highest ratio of charging points to BEVs. The highest ratios were observed in Norway (24) and Ireland (11.9). This measure is also subject to errors. The analysis does not include information regarding the distribution of charging points to ensure their availability for long-distance journeys. Furthermore, it does not consider the ratio of BEVs to conventionally powered automobiles. The data from Table 2 also allow us to state that AC charging points were common in all European countries.
The availability of rapid, contemporary (e.g., wireless) in-vehicle chargers and geospatial data on such stations would facilitate the demand for BEVs, particularly in relation to long-distance journeys. However, the data on the availability of charging infrastructure are incomplete. In some countries, such as Poland, the installation of a charging station or point does not require a building permit. Consequently, the promotion and dissemination of information about the availability of charging possibilities may be limited to local communities, owners and companies that install such technology.
In our research, we concentrated on the decarbonization and greening of the passenger car fleet. However, it is also important to consider the energy supply. In this regard, Norway is a leading country, with over 90% of its energy derived from renewable resources. In Luxembourg and Austria, more than 70% of energy comes from renewable resources. Figure 1 presents further information on energy supply, which suggests that Cyprus, Estonia and Poland are the most dependent on fossil energy, with over 80% of their energy supply dependent on fossil energy. We can therefore assume that countries offering more renewable electricity are closer to achieving carbon neutrality. However, it is likely that transport carbon neutrality cannot be achieved without low- and zero-emission cars, especially in urban areas. In countries such as Poland, which are heavily dependent on coal, it seems that achieving carbon neutrality by 2050 may be challenging due to the current supply of renewable resources [34]. This is a crucial aspect of the ongoing discourse on the energy efficiency of BEVs, particularly in countries that still rely heavily on coal [35,36].
Reductions in CO2 emissions have been observed in countries promoting the purchase of new cars with zero and low emissions [37]. To illustrate the extensive promotion of electric vehicles, Norway and the Netherlands were selected as case studies. However, it is noteworthy that in Norway, about 90% of electricity was generated from renewable sources [38], whereas in the Netherlands, this figure was 16% [39]. That promotion aims to shift demand away from ICEVs towards greener cars and is based on specific policy instruments.
In the alternative fuel vehicle market, government intervention is needed in changing and greening the fleet structure [40,41]. Programs aimed at promoting the purchase of electric vehicles include tax incentives (for private owners and corporations) and support initiatives (purchase and infrastructure). ACEA [42] points to different forms of support, which are regulated at the national level. Tax benefits are contingent on the user’s status, including private ownership and corporate vehicles. A number of European countries, including Austria [43,44,45], Belgium [46], Hungary [47], Luxembourg [48] and Greece [49], have introduced tax incentives for private and corporate purchases. The tax reduction in Malta [50], Slovakia [51] and Cyprus [52] is only applicable to private purchases. Estonia [53] and Slovenia [54] have not implemented any tax reductions. Purchase incentives (partial repayment of purchase costs/price) and measures to support the development of infrastructure (mainly charging stations and hydrogen refueling points) will also promote electric vehicles. Infrastructure incentive programs have been implemented in France [55], Croatia [56,57] and Luxembourg [48], among other countries [58]. There are countries, such as Denmark, that have only introduced infrastructure incentives without any additional tax benefits. There are also countries, such as Italy, Czech Republic and Austria, that have both purchase and infrastructure incentive schemes. Conversely, Belgium, Finland, and Latvia have not yet introduced any incentive schemes [58]. One reason for the variety of solutions for boosting the demand for EVs is the level of socio-economic development. The promotion of BEVs as technological innovation necessitates a longer period and the implementation of incentive policies by governments to stimulate BEV take-up. This is a costly undertaking, as evidenced by the findings of studies [59,60]. Conversely, the cessation of or reduction in BEV purchase subsidies will result in a decrease in sales [61].
The demand for automobility is being influenced more and more by cultural factors. Arising environmental awareness is one of them. BEVs are relatively more expensive, and the higher price is due to innovative technologies and a lack of economies of scale [23,25,62,63]. Therefore, major efforts should be directed at changing purchasing behavior. BEVs are usually heavier, and most models have a lower range than traditional ICEVs [64]. In contrast, He and Hao [65] showed that EV buyers particularly value competitively priced cars, with a medium range and low energy consumption. On the other hand, engine power does not determine purchase decisions [66]. Purchase decisions can also be influenced by geographic location, income [67] and the density of the charger network [68]. It should be mentioned that in most households, an EV is the second or subsequent car [69]. Littlejohn and Proost [70] pointed out that car users are segmented according to the number of short and long trips they make each year. Passenger cars are mainly used for short-distance trips, up to 7 km, which can be successfully made by active forms of transport [71,72,73]. Decarbonization is favored by these latter modes and is consistent with sustainable urban mobility plans [74]. At the same time, the ongoing process of suburbanization may contribute to a further increase in mobility need demand. The development of mobility in suburbanized areas is inevitable but also so dynamic that it is referred to as hypermobility [75]. Suburbs of large cities are also characterized by rather poor access to public facilities [76]. This means that most social needs are satisfied in cities, creating a need for travel and contributing to increased GHG emissions and congestion in agglomerations [77]. Alonso et al. [78] also point to population growth in peripheral areas. They describe this community as car-dependent due to the low competitiveness (and efficiency) of alternatives to cars. Wang and Murie [76] highlight that transport is the largest contributor to urban pollution. In London, for example, residents lose an average of 156 h in traffic jams [79]. In less developed regions, the problem of congestion is exacerbated because road construction and traffic management have not kept pace with the rapid growth of individual motorization [45].
Given the current attempts to minimize and ultimately eliminate the use of ICEVs for mobility needs, Nordfjærn et al. [80] show that demographic, spatial and psychological factors are important in line with this action. The results of their study show that a reduction in the use of ICEVs will promote an increase in electric vehicle demand. There are many factors influencing the individual choice of mobility modes, including, e.g., education and income [80], environmental awareness [81,82], weather conditions [83], household roles [84] or the number of children in a household [85]. It is difficult to influence the behavior of transport users, and it is therefore difficult to identify factors that may influence the demand for alternatively powered vehicles. EVs should be considered as a substitute for ICEVs. They are a greener form of automobility—they help reduce carbon dioxide emissions but do not solve other environmental problems. Moriarty [86] even suggests that the importance of EVs for climate and environmental protection may have been overestimated in many countries. Nordfjærn et al. [80] suggest that increased demand for EVs does not necessarily reduce the negative externalities of transport. The substitution of ICEVs with EVs may worsen other environmental and social problems (including congestion and the number and cost of traffic accidents). We would like to emphasize that decarbonization is one of many elements of green and sustainable transport. BEVs will certainly contribute, inter alia, to improving air quality (especially in cities). We agree that the substitution process will not necessarily reduce congestion, vibration, road/tire noise or the number and severity of road accidents. The issue is a complex one, and the polemic surrounding electric vehicles and their energy efficiency cannot be overlooked. However, Kannan and Hirschberg [87] make it clear that in the case of EVs, reducing emissions depends on the energy source used.
In the context of mobility in many countries, there are no effective solutions that make travel more sustainable (locally and globally), energy-efficient, and healthier for society [88]. Our research partly addresses the need to explore effective factors supporting decarbonization and BEV uptake. The analysis we are proposing for both new and used BEVs fits into a niche area of research. A comparable approach was used to model the car market [89], where it was highlighted that “many governments regulatory programs have attempted to change automobile sales and use patterns” (p. 195).

3. Poland as a Case Study for BEV Demand Research

Intrigued by the ongoing debate on the development of the environmentally friendly vehicle market, we proposed a demand study in one of the EU countries. We consider Poland a compelling case study due to its “heavy reliance on coal for electricity generation and its difficulties in moving away from the fossil fuel regime in both the energy and transport sectors, despite more than a decade of EU-driven climate and energy policies” [36], p. 2. This is also in line with the findings of [34]. The increasing trend of suburbanization in the country is a major concern [90] that contributes to the further development of automobility. More and more, culture is a key driver of demand as it influences buyer attitudes, preferences and behavior. Żakowska [91] refers to the concept of “auto-holism”, which means the strong attachment to private cars observed in Poland. The car is a deeply rooted symbol of the prosperity that society was trying to achieve after communism collapsed. This constitutes a great challenge in creating ecological mobility patterns. In Poland, there is also a high private motorization rate. In 2021, the rate was 687 cars per 1.000 inhabitants and was the highest among the EU27. Luxembourg followed with 682, and Italy with 670. Additionally, according to Eurostat statistics, over 41% of private vehicles in Poland are over 20 years old. Old cars also represent old technology and much lower emission standards. This provides further justification for the investigation of environmentally friendly vehicles and the decarbonization of the existing vehicle fleet. Another problem occurs where car prices are concerned. BEV prices are relatively higher when compared to similar ICEV models. This makes it even more difficult to green the structure of the private vehicle sector.
Comparing EU members and Polish markets reveals important points to consider. Data from [92] show some similarities in terms of the market for electric vehicles and clarify the distinction between BEVs, PHEVs, H2 (FCEV), LPG, CNG and LNG. In the EU27, alternative fuel vehicles accounted for 5.4% of the total fleet. In contrast, the number was more than double (12.1%) in Poland, mostly created by LPG cars. This represents 98% of Polish passenger vehicles powered by alternative fuels (in the EU27—52%) and 12% of the total fleet (in the EU27—3%). When considering new registrations in groups M1 (vehicles for carriage of passengers with a maximum of eight seats) and N1 (vans with a maximum mass below 3.5 tons), the share of BEVs in the Polish fleet accounts for 59% (41% are PHEVs), which is slightly lower compared to the EU27 structure (65% for BEVs and 35% for PHEVs in the general EV fleet).
Furthermore, according to data [37], in Poland, the actual average emissions of new cars have slightly increased since 2004. The capital city of Poland, Warsaw, was used as a case study [40] to highlight the negative impact of imported (mostly) ICEVs. It has been suggested that high carbon dioxide emissions could be tackled by creating zones free of older (combustion) vehicles, which would significantly improve the quality of the city’s air. Poland is a significant importer of ICEVs, but mostly older ones. Since Poland’s economic integration with the EU in 2004, there has been a two-fold increase in the demand for cars. An increasing number of used cars is imported mostly from Germany but also Italy, France and USA. Our research aims to contribute to the literature focusing on the demand for used cars in the used car market by focusing on the case of BEVs in the Polish market.
The 2018 Act [92] implemented the “My electric car” program (“Mój elektryk” in Polish), aimed at boosting the EV market’s growth. In [90], there are two categories of EVs: FCEVs and BEVs. FCEVs have a minor impact on the alternative fuel car structure. According to data [20,21,92], a total of 115 FCEVs are registered in Poland. This number also reflects the data we have collected (112 cars in 2022). According to Alternative Fuels Infrastructure Inventory data, there are no refueling stations; however, data from the H2stations organization [93] identified three of them, primarily designed for urban bus needs. Due to the limited number of registered FCEVs, insufficient infrastructure and difficulties in obtaining data, our analysis is based on BEV data.
The initial announcement about subsidies for BEVs in Poland was made publicly in 2016. The first call for individuals was made in July 2021. Table 3 presents actions aimed at increasing the demand for zero-emission passenger cars. Purchase subsidies were available to individuals who met all formal and legal requirements for buying new domestic or imported BEVs. In the initial program phase [94], subsidies were only available for cars that were not previously registered or were purchased and registered by a car dealer, importer or leasing company with the restriction that mileage must not exceed 50 km. To be eligible for a refund, the owner had to provide both the purchase invoice and proof of registration and insurance policy (from 12 July 2021 until the deadline of the electromobility program—30 September 2025).
BEVs need special charging infrastructure. A promising technology now is wireless charging due to “its safety, flexibility and convenience” offered to users [97]. However, most BEVs in Europe need a stationary battery-charging infrastructure [98]. Investments are very required in Poland’s charging point infrastructure. The government has created programs for the development of electric mobility and associated infrastructure to address this need. The program assumed building the charging points dedicated to BEVs with an alternating current (AC) charging contact, which allows charging at various locations. There are also direct current (DC) contacts available which are more powerful. In Poland, these are chargers with a maximum output of 150 kW. Unfortunately, in this less innovative and developed country, the rapid development of infrastructure follows great investments and is rather questionable.
Table 4 presents charging station quantity data from Poland. Due to availability and different sources of data, the number of charging points varies between organizations and sectors. The data gained from the Electromobility Counter is the most precise. The Alternative Fuel Infrastructure Register is based on points reported by station owners or managers. The Electromobility Map is based on data from the Polish Alternative Fuels Association (the map is the result of the Polish–German Int-E-Grid project).
The development of the charging infrastructure must be a priority and requires significant attention. Between 2019 and 2022, the number of charging points increased by 176%, from 1815 in 2019 to more than 5000 by the end of 2022. The dynamic development of charging infrastructure is in line with the government’s plans. Nevertheless, the number of stations is considerably lower than anticipated [100]. To enhance the efficacy of the decarbonization process, it is imperative to allocate further resources towards infrastructure development.

4. Research Data

In our research, we included demand for zero-emission passenger cars and focused on BEVs. These vehicles require a category B driving license and belong to the M1 category (for carrying no more than eight people). We therefore excluded electric micromobility and personal transport vehicles (e.g., electric scooters, bicycles, microcars, scooters) from this study. In our analysis, we considered both new and used BEVs that were purchased in Poland or imported ones that were registered in Poland. We would like to point out that most research on demand for EVs focuses on sales volumes. We believe that this figure may not fully reflect domestic demand, as it may also include cars bought by foreign buyers and then exported.
Some industry organizations measure demand in terms of new car registrations. The European Automobile Manufacturers Association and the International Energy Agency are two such examples. Pelegov and Chanaron [102] state that information sources about the EV market are generally paid reports from international organizations and analyst firms. They noticed that the information primarily represents annual vehicle sales, rather than the monthly summaries that we have chosen to use in our research. A novel approach to identifying demand shocks in the market for both new and used BEVs is used in our research, which targets a specific research niche.

4.1. Description and Process of Data Collection

To investigate shocks in the passenger electric car market in Poland, we acquired data from the Central Register of Vehicles and Drivers in Poland (CEPIK, Centralna Ewidencja Pojazdów i Kierowców in Polish). CEPIK application programming interface (API) limitations resulted in downloading monthly vehicle registrations for Poland’s 16 voivodships from January 2008. This study consisted of a total of 2688 files, and each of them had 6000 to 60,000 records. Furthermore, a minimum of twelve attributes were used to describe each observation in this study. The data transformation tool filtered observations that met certain criteria: the vehicle type had to be passenger car, and the fuel type had to be electric. Based on the additional criteria of “origin of the vehicle”, “date of first registration in the country”, “date of last registration in the country”, “date of registration abroad” and “year of production”, a time-series dataset from January 2008 to March 2024 was obtained. The dataset included the following variables:
-
Number of registrations of new BEVs that were individually imported passenger cars not previously registered in Poland or abroad; these are vehicles purchased abroad and considered as new imported cars (NBEVs-I);
-
Number of new domestic registrations of BEVs (NBEVs-D), defined as newly purchased cars registered for the first time in Poland;
-
Number of registrations of used BEVs imported by individuals (UBEVs-I), purchased and registered outside Poland prior to the first registration in Poland;
-
Number of registrations of used BEVs purchased within the domestic market of Poland (UBEVs-D) that were not previously registered abroad and re-registered in Poland;
-
Total number of new BEV registrations (NBEVs);
-
Total number of used BEV registrations (UBEVs).
We also implemented the additional criterion “date of registration” because the term “USED.INDIVIDUAL IMPORT” in the CEPIK database included used import vehicles registered in Poland for the first time, as well as vehicles that were later sold in Poland and re-registered by new owners. This study excluded vehicles re-registered after theft recovery and those seized and auctioned by the state to settle debts. During the study period, the number of these cases was very low (only a few).
Statistics Poland (GUS, Główny Urząd Statystyczny in Polish) publishes vehicle registration reports also based on CEPIK data. However, such statements are usually published on an annual or quarterly basis. They provide data on the total number of registered vehicles as well as on new vehicles registered for the first time. There are also summaries about the number of vehicles by age, engine capacity or type of fuel used. It is worth mentioning that GUS data do not provide individual electric vehicle data.
In our research, we obtained information directly from the CEPIK database. This facilitated the ability to independently create queries with the desired characteristics and then aggregate the data. The aggregation process required manual checking of almost every record due to information inconsistencies. The collected data were related to vehicle registration and did not include vehicle identification or history. Inaccuracies in the origin of the vehicle required verification based on the year of manufacture, the date of first registration abroad and the date of first registration in Poland. There were cases where the origin of the vehicle was listed as “newly purchased in the country”, alongside details of its first and last registration in the same country. In our research, we consider such a case as a “used car purchased in the country”. The scenario was alike for privately imported vehicles. The engine type also required verification during data gathering. At the very beginning of BEV registrations, numerous errors were identified, mainly related to classifying the engine type. The registration in the CEPIK database was possible to be verified because of the low number of BEV registrations. This problem mainly affected the first few years.

4.2. Methods

Our research attempts to identify development and policies towards decarbonization in Poland focusing on the example of demand for BEVs. Seasonal adjustment techniques (time-series analysis methods) were used to achieve this goal. Our proposal to identify demand shocks is the opposite of trend smoothing. By identifying demand shocks, it is possible to analyze the changes in demand and to look for the changes’ origin. ARIMA class models were used; they combine an autoregressive model with a mechanical moving average process and are useful for analyzing time series with a high frequency of fluctuations but are limited to stationary series and do not allow clear identification of outliers [103]. However, to date, no recommendations have been made for the use of specific methods [104]. Similarly, no recommendations have been made for the use of methods to identify outliers, i.e., observations that are so different from the rest of the sample that it is suspected that the observation was generated by a different mechanism from the rest of the sample [105]. In the case of time series, the most common methods used to identify outliers are methods [106] dedicated to ARIMA models, using a distance criterion based on the Mahalanobis distance [107], based on the generation of statistical automatic learning methods, e.g., support vector machines (SVMs).
As noted by [108], the analysis of demand series (including vehicle demand) is characterized by high volatility, making them best modeled by autoregressive models with conditional heteroskedasticity (ARCH). In addition, the authors pointed out that series covering the COVID-19 pandemic period should be modeled differently from those without the pandemic years, with ARIMA class models being the most useful [108]. With this in mind, we used the TRAMO-SEATS and ARIMA-X-12 procedures, which are based on ARIMA models, to analyze the number of BEVs registered in Poland. They combine the features of analytical and mechanistic methods and allow the identification of all components of the time series (including abnormal values with determination of their nature). The TRAMO-SEATS procedure was developed by A. Maravell and V. Gomez in 1996 [109]. It is specifically recommended and endorsed by EUROSTAT and the GUS for time-series analysis within the European Statistical System, to improve the overall quality of European statistics and ensure the comparability of national data. Despite the recommendations, it is not widely used due to its level of difficulty. A similar situation applies to the ARIMA X-12 method developed by the United States Census Bureau. It is used for seasonal adjustment and can be used to analyze daily, weekly, monthly or quarterly data. Both procedures allow the identification of four types of abnormal observations in time series [110,111,112,113]:
  • Additive outliers (AOs)—one-off, significant deviations from the predicted value of the phenomenon under study that do not affect values in subsequent periods;
  • Level shift (LS)—a permanent change in the level of a variable;
  • Temporary change (TC)—a temporary change in the level of a variable and a return to the initial level, usually according to an exponential or linear function;
  • Innovation outliers (IOs)—innovative impulses, e.g., caused by the application of a new production technology, that lead to a change in the whole process generating the data, including a change in the form of the trend.
The two procedures, ARIMA-X-12 and TRAMO-SEATS, are similar in terms of the initial estimation of the ARIMA model, but the use of different information criteria to select the optimal model means that the results of the two procedures may differ. In addition, the procedures for detecting outliers are slightly different, so a given outlier observation may be classified differently. In this case, the parallel use of both procedures is justified. The identified shocks allow us to point to a time when a significant change in demand appeared and analyze that change environment.
The ARIMA-X-12 and TRAMO-SEATS seasonal adjustment procedures are used to smooth a time series (decomposition) by removing the seasonal component and calendar effects. This leaves a series that contains an irregular component (outlier), a trend or a cycle. Seasonality, on the other hand, is identified using an algorithm that isolates the presence of identifiable seasonality, including cyclical moving seasonality (Figure 2).
The calendar effect is the effect of working days and movable holidays. The working day effect is understood as the effect of a different number of working days in certain periods (months, quarters). It is widely acknowledged that economic activities are more active on working days compared to holidays. The effect of working days in the case of economic categories is expressed as a variable, D i , t [114]:
D i , t = 1 1 0           f o r   i w e e k d a y f o r   S u n d a y o t h e r s
where i = 1 ,   ,   6 ; i = 1 stands for Monday, i = 2 stands for Tuesday, etc.
For economic variables that are subject to fluctuations, the total number of working days is very important. Assuming each working day is equally important, the estimation considers the ratio of the number of working days to the number of holidays and the effect of a leap year. It is expressed by the following formula:
N t = N w o r k i n g _ t 5 2 N w e e k e n d _ t
where the following definitions hold:
  • N w o r k i n g _ t —number of working days per month t.
  • N w o r k i n g _ t —number of Saturdays and Sundays per month t.
When the phenomenon under study varies in intensity depending on the day of the week, the variable characterizing the effect of weekdays is k i , t :
k i , t = K i , t K 7 , t
where the following definitions hold:
  • k i , t —number of i-weekdays per month t , i = 1 ,   ,   6 ;   i = 1 stands for Monday, i = 2 stands for Tuesday, etc.
  • K 7 , t —number of Sundays per month t.
The moving holiday effect in Poland, in particular the Easter and Corpus Christi effect, affects variable economic activity in the time around the holiday. The timing of the holiday and the length of the pre-holiday work period are crucial factors. The effect of fixed holidays is not considered separately in the seasonal smoothing of the time series, as fixed holidays are included in the effect of working days.
The JB Demetra+ 2.2.4. software was employed for the calculations. The software is a dedicated program for seasonal adjustment methods, and at the same time, it is supported and standardized by Eurostat. It is also noteworthy that other statistical software has only implemented partial versions of the TRAMO-SEATS and ARIMA-X-12 procedures. Moreover, it is crucial to emphasize that these procedures are subject to continuous modification, particularly regarding ARIMA-X-12, with the objective of enhancing the fit of the resulting models, especially in time series covering the period of the COVID-19 pandemic [115,116]. The Demetra+ software is updated on a regular basis, and its extensive availability facilitates its frequent use in time-series analyses.

5. Trend and Seasonality in New and Used BEV Market

Analyzing the number of NBEV registrations in the CEPIK database, we did not record a single case of NBEVs-I registration between 2008 and 2011. Moreover, NBEVs-I production did not exceed two vehicles per month until the end of 2017. Imports only increased from the start of 2018, with a noticeable shock occurring in mid-2020 and early 2022. On the other hand, the first NBEVs-D were registered in 2010, and the number of registrations has increased since then, but not systematically (Figure 3). Based on the notion that a market exists when there are systematic sales, the NBEVs-D market in Poland began in 2017. Before this period, registrations were irregular. As a result of fluctuations indicating shocks, NBEV registration trends tend to become evident only after time series have been de-seasonalized.
A decomposition of NBEV registration numbers was analyzed with TRAMO-SEATS and ARIMA-X-12 procedures and made it possible to extract a trend. According to the analysis, imports of NBEVs-I are almost constant (6–7 cars per month). In the case of NBEVs-D, there is an upward trend with increasing fluctuations.
The results of the estimates using the ARIMA-X-12 procedure and TRAMO-SEATS gave different ARIMA class models for the registration numbers of NBEVs-D and NBEVs-I. The parameters differed for both seasonal and non-seasonal parts. However, the results were consistent when it came to the effect of working days or Easter. These effects were absent—no seasonality was observed (Table 5).
In terms of UBEV registrations, there were only occasional UBEVs-D and UBEVs-I registrations until 2015 (Figure 4), with UBEVs-I registrations being more popular. Systematic registrations of UBEVs-I were first observed in mid-2015, whereas the registration of UBEVs-D was first noticed in May 2016. In both cases, there was an upward trend in the number of vehicle registrations for almost the entire period of study, with rather irregular fluctuations, indicating the occurrence of market shocks. Only the number of UBEVs-D registrations showed a noticeable downward trend from mid-2022 onwards. Despite the increase in UBEV registrations, the market can still be considered relatively small, as the total number of registrations did not exceed 250 units per month by the end of 2022 (UBEVs-I and UBEVs-D). In 2023, the number of UBEVs-I registrations increased, resulting in a monthly level of 300 units and a monthly level of 500 units for UBEVs-D (Figure 4).
The trends extracted for UBEV, both from domestic purchases and imports, demonstrated an upward trajectory and comparable levels until the end of 2021. Furthermore, there was an increase in UBEV registrations in the final two years of the study period.
The results of the estimates using the ARIMA-X-12 procedure and TRAMO-SEATS, as with the NBEVs, yielded different ARIMA class models for the number of UBEV-K and UBEVs-I registrations. Again, both seasonal and non-seasonal parts differed in parameters. There was no effect of working days, Easter or seasonality (Table 6).
The registration of new and used BEVs in Poland is increasing annually. However, current registration figures and the rate of growth do not suggest a swift transition from combustion cars to BEVs. Currently, new BEVs sales account for around 2.7% of total new passenger car sales [117].

6. Demand Shocks in the New and Used Car Market

ARIMA-X-12 and TRAMO-SEATS were used for shock identification in the BEV market, both individually imported and domestically purchased. The study of demand shocks considered the period during which regular car registrations started to be observed. For NBEVs-I, four market shocks were identified in July 2018 (increase), July 2020 (increase), April 2021 (decrease) and October 2022 (decrease). However, it is difficult to see the impact of legislative factors on this situation given the overall level of NBEVs-I registrations of a dozen units in 2018 and a few dozen units per month in 2020. On the other hand, the decline recorded in April 2021, although small, may reflect the delay of individual import decisions due to the restrictions on movement between countries caused by the COVID-19 pandemic, while the decline in October 2022 may reflect the delay of purchase decisions for NBEVs-I and their purchase a month later. This is consistent with the identified pattern of NBEVs-D for November 2022. An analogous occurrence was also observed in 2023. Although the data collected did not provide information on whether the vehicle was purchased and registered by an individual or a company, it can be assumed that the shock was related to the postponement of the purchase decision by one month to reduce taxes (value-added tax—VAT) by entrepreneurs. Lewicki and Olejarz-Wahba [118] found an analogous situation in the ICEV market. The identified shocks in the NBEVs-I market were not reflected in the total number of NBEV registrations in Poland. It can therefore be concluded that individual imports did not affect the overall NBEV registrations.
Significantly more demand shocks were identified in NBEV registration numbers. The nature of the shocks differed according to the procedure used. The ARIMA-X-12 procedure identified more additive outliers (AOs). The TRAMO-SEATS procedure showed a greater variety of shocks. A full summary of the shocks is presented in Table 7. A decline in demand for BEVs is evident in 2022. It should be noted that the shocks identified correspond to those observed in the car market. During the first quarter of this year, 13.4% fewer cars left showrooms. Imports fell by 12.8% due to a shortage of cars in foreign markets [119] (Table 7).
Based on the identified shocks in NBEV registration numbers (domestically purchased and individually imported), milestones in the development of the Polish market can be identified. The basis for determining the milestones is the number of registrations, specifically their constant level, which in the case of Poland was determined by registration numbers of 100, 200, 500, 1000 and 1200 units per month (Figure 5). We have shown two milestones, in 2020 and 2021, where there is a two-fold increase in registrations. In contrast, there was a shock at the end of 2022, but with a smaller increase (of 200 registrations). During this period, we also observe a decrease in the dynamics of the number of registrations.
An analysis of NBEV registrations in January 2018 provided interesting information (milestone). There was an increase in registrations of Nissan cars, mainly in Wroclaw and Warsaw. These cars were a part of the city’s electric car rental company fleet—Vozilla. The milestones (and demand shocks) were revealed at the end of the calendar year. A significant number of enterprises in Poland are sole entrepreneurs or micro-enterprises (with fewer than 10 employees). Demand shocks at the end of the year (September–December) are related to minimizing tax liabilities to the State Treasury. At the end of the fiscal year, entrepreneurs look for tax optimization, and the purchase of cars (new and used) allows them to reduce the amount of income tax paid. In our opinion, this may explain the shocks. This is also illustrated by the December 2021 milestone. In November 2021, the leasing companies for subsidy payments were selected, and from December onwards, the number of registrations per month rose and exceeded 1000 units. Although there was an increase in the sales of new-energy vehicles (NEVs) in 2022 and 2023, these years cannot be considered to represent a new milestone. Sales fluctuated between periods of decline and growth, preventing the identification of a change in the trend level.
Using the TRAMO-SEATS and ARIMA-X-12 procedures to detect UBEV market shocks, it is difficult to expect that detected shocks are related to a legislative measure to promote the use of electricity, especially when sales of these vehicles hardly exceeded 250 units per month.
The number of UBEVs-I registrations was increasing. They were not subjected to the same market shocks as domestically purchased ones. On the other hand, UBEVs-D registration numbers have decreased significantly since mid-2022, which has led to an overall decrease in UBEV registrations. But with new car registrations at around 400 units per month, it is difficult to talk about a decline in UBEV demand. A summary of the demand shocks is presented in Table 8.
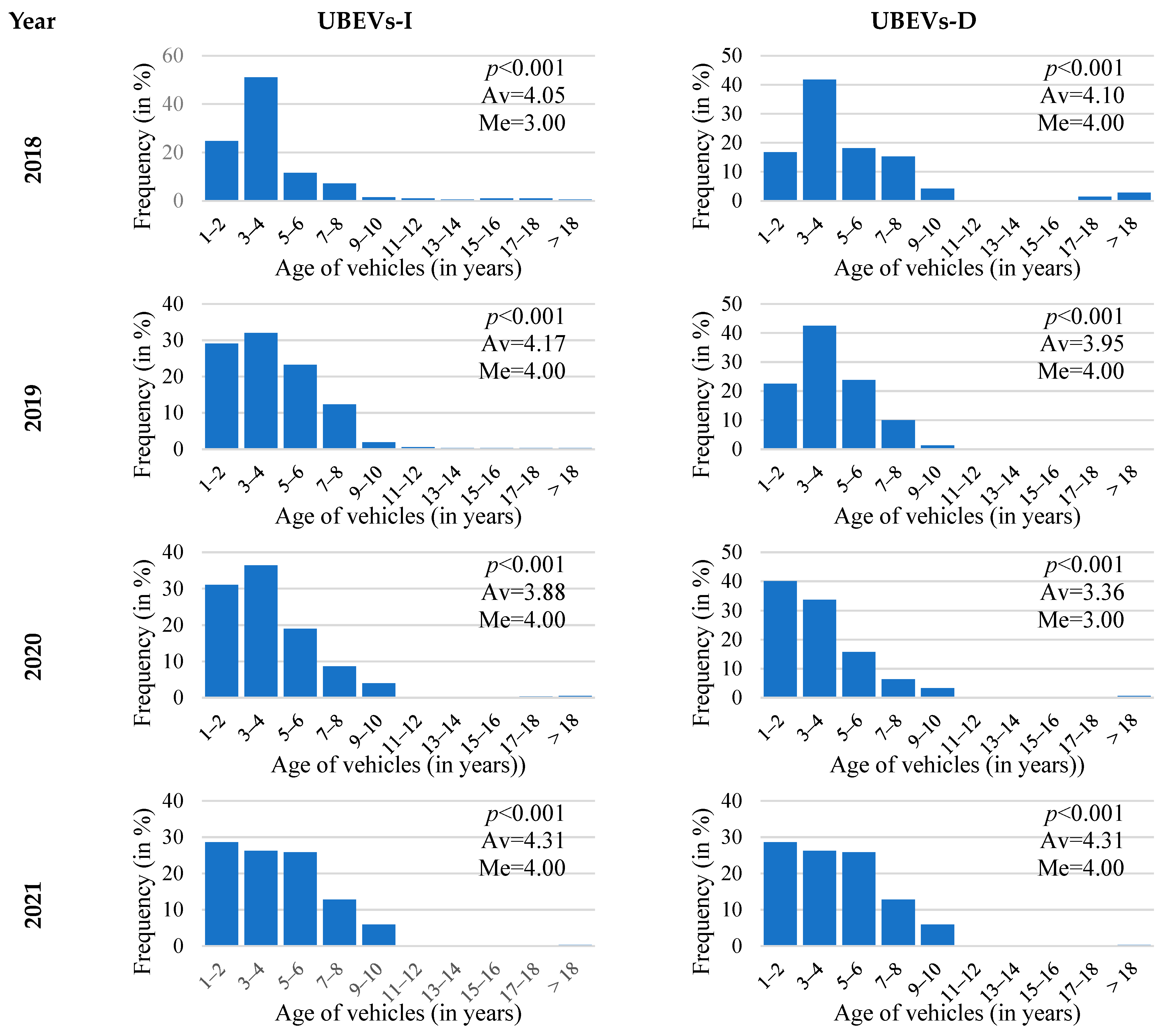
The identified shocks should rather be seen as changes due to the number of used EVs on the market and the desire of the first owners to sell them after, for example, the end of the loan or leasing agreement. It is challenging to discuss sales figures following the expiration of the warranty period, particularly in the case of batteries, which typically last for eight years. Between 2018 and 2023, the average age of registered UBEVs (imported and domestically purchased) was 4 years. The Shapiro–Wilk test indicated that the age distribution of registered UBEVs did not confirm a normal distribution (Figure 6). Furthermore, there is a significant asymmetry in the distribution, which means that the median age of the vehicles can be considered as a valid measure of the average age of the vehicles. It was mostly 4 years for imported cars and 3 years for domestically purchased cars.
BEVs change ownership at a relatively “young” age, which may indicate the end of leases, loans or long-term rental contracts. Most BEVs in Poland are fixed assets of a company and are used for business purposes. In addition, the eligibility of the purchase subsidy assumes that BEVs cannot be sold for at least two years after the positive decision about the subsidy. Due to the high interest in the program in Poland, the waiting period for the subsidy is up to one year. Miłek [8] confirms that cars financed from external sources (leasing and credit) are most often resold at the end of the financing contracts.

7. Conclusions and Discussion

Our research is part of the decarbonization debate with a regional approach and market. One of the Central and Eastern European countries was chosen as a case study [120]. The regional attribute of research in this area has also been suggested by [13,70]. Our research aim points to real problems of market functioning, facilitates identification and validity of the implementation of intervention instruments, and makes it possible to point to examples of good practice in greening transport. The added value of studying regional economies and markets is the possibility of implementing good practices.
The results of our study show that the demand for BEVs in Poland does not vary seasonally. This result is different from the study on the demand for ICEVs in Poland presented in [121]. At the same time, an increase in registrations of ICEVs was observed towards the end of the year as a result of annual sales (vehicles produced and sold in the same year) [118] and purchases due to tax optimization (opportunities to reduce annual tax liabilities to the State Treasury) [122]. We did not observe any seasonality in the BEV market. A limitation of the current investigation is the relatively short time series of the data series. However, the scope of this study encompasses the entire period from the date of the initial BEV registration in 2010 until March 2024. We are also aware that the relatively small number of registrations may affect the results of this study. Similarly, the COVID-19 pandemic period is not indifferent to the results of a vehicle market study, as pointed out by [108,115,116].
In Poland, the decarbonization goal has not been achieved. The government assumptions on electromobility and the widespread use of BEVs to meet mobility needs have not been observed. The increasing number of BEV registrations is a positive phenomenon, but it is far from the assumptions and goals of electromobility development. Based on Ministry of Environment forecasts, there should be 3715 zero-emission vehicle registrations in 2020, 8840 in 2021 and 15,250 in 2022. The highest number of BEV registrations was observed in December 2022, with 1216 units, followed by November 2023, with a total of 1889 units. This is twelve times less than the number predicted by the Ministry. However, these projections include all vehicles capable of traveling at speeds above 25 km/h (a broader segment than the M1 BEV segment we analyzed). A deeper analysis of the other vehicles would be interesting. This would show the consistency of the state of the art in registrations with the government’s calculations. According to [123], 66 electric vehicles were registered in Poland by the end of 2009. This figure includes passenger cars, but also trucks, buses, trolleybuses, tractors, mopeds and motorcycles. Our research showed that the first BEV registrations took place in 2010 (two units). The difference between the results of [123] and ours may indicate that BEVs are the least popular in the EV segment. In efforts to decarbonize private mobility in Poland, we suggest extending the research on EVs and including all types of cars (also with weights over 3.5 tons designed to carry freight and passengers). We also recommend expanding research to include other alternative fuels in less innovative countries with high rates of individual motorization. Following the literature review and our research results, we believe that using standardized research methods (e.g., TRAMO-SEATS) and considering the “greening” vehicle fleet issue, it would be of considerable insight to identify the “drivers” of all alternative fuel cars groups: HEVs, PHEVs, FCEVs. Aside from being defined as zero- or low-emission [124], they also support the decarbonization process by lowering CO2 emissions from cars. On the other hand, adapting research to the specific characteristics of regional economies could lead to the development of tools to help reduce greenhouse gas emissions. Comparisons within a group of less developed and innovative countries would be advisable to identify best practices, benchmark electromobility development paths and propose instruments aimed at greening the domestic fleet. A limitation of our study is the lack of analysis of the market supply and the relationship between the number of registrations and the availability of BEVs (brands/models). However, we note that in the international context, it would be important to consider the “status” of the country in international trade (membership and affiliation to trade, monetary or economic organizations).
The findings of this study indicated that between 2010 and March 2024, the most significant factor influencing the number of registered BEVs was the sales of new cars in the domestic market (accounting for 65% of total registrations). This is followed by imports of used cars (16.5%) and imports of new cars (1.5%). As far as UBEVs-D registrations are concerned, we treat them as a “change of owner”, and in our opinion, this does not necessarily represent progress in the decarbonization process. Registrations of BEVs-D represent 17% of total registrations but do not change the number of BEVs on Polish roads. We consider the information on the structure of used cars to be valuable. It is possible to limit the demand for UBEVs by supporting the development of the NBEV segment. In Poland, the share of UBEVs in the BEV fleet is relatively high, accounting for almost one-fifth of total registrations. Briceno-Garmendia et al. [46] proved a significant share of used cars in the ICEV fleet. At the same time, the authors stressed that “a rapid transition to electric mobility in developed countries could accelerate the export of used ICEVs to LMICs (low- and medium-income countries)” [125], p. 7. A similar process may take place in Poland in the UBEV market. Export of UBEVs from Western European countries and the USA may increase, as happened with ICEVs.
The limited domestic supply of BEVs may be considered in terms of different incentives to support NBEV demand growth. Depending on the importing country (international agreements and conventions), it is possible to consider, inter alia, the modification of excise duties, customs duties or registration costs in order to favor the import of NBEVs. From our perspective, continued study of the BEV market’s evolution and structure will allow for the recognition of areas that may need intervention to support the success of electromobility and the growth of the NBEV fleet in Poland. NBEVs are characterized by the highest demand. However, we observe a low and insufficient growth rate. Stronger government initiatives are required to drive the demand for BEVs. Over the next few years, we anticipate a slight increase in the demand for BEVs due to the need for local government agencies to update their vehicle fleets. An audit conducted by the National Audit Office revealed that the administration failed to fulfill its obligation to include a proportion of electric vehicles in its fleet between the years 2018 and 2022. Starting on 1 January 2025, half of the vehicles owned by the government and 30% owned by local governments must be electric vehicles [126]. Furthermore, in 2025, the “My Electric Car” programs will end, and BEVs will no longer be subsidized. We propose conducting additional research on the market for BEVs in Poland and other countries where decarbonization programs have a limited timeframe to evaluate the efficiency of supporting initiatives. Our results confirmed that purchase subsidies were important for BEV market development. The current length of the time series did not allow us to verify whether there is a cause-and-effect relationship. However, it is reasonable to assume that such a relationship exists. In [70,127], an increased demand for EVs was found after the implementation of policy instruments aimed at decarbonizing a car fleet. Littlejohn and Proost [70] showed that the structure of a passenger car fleet alone is not necessarily a measure of the effectiveness of decarbonization policies. We agree with [87] that emission reduction and decarbonization of transport are affected by energy resources. Our research shows that in a country with a high dependence on coal, there is little demand for BEVs, with a strong increase seen after the implementation of subsidies. It is therefore worth considering an increase in carbon and fuel taxes as part of the decarbonization policy and Polish society’s dependence on cars. These instruments could contribute to an increase in the price and use of ICEVs, thus helping to direct demand towards zero-emission cars.
Another factor supporting the decarbonization process is charging infrastructure development. Poland has the potential, but research suggests that the country’s environmental transformation will take time [36]. One of the limitations of our analysis was the attempt to link the number of BEV registrations with the development of infrastructure. There was a problem with data availability in the investigated time series. This leads to difficulties in interpretation and renders it unviable to establish a correlation between the development of infrastructure and the demand for BEVs. The point infrastructure has developed, but the rate of change is much lower than expected [101]. The number of charging points is too low and does not provide an incentive for BEV purchases. We agree with [36,128] that a significant increase in demand for zero-emission vehicles in Poland is unlikely. However, we would suggest deepening research about the new charging method of wireless power transmission [97]. In comparison to available AC chargers in Poland, its convenience and technical characteristics are unmatched and may be crucial to the future development of the BEV market. We consider the Polish BEV market to be young due to the low registration numbers and the level of infrastructure development. This is a result of user preferences, which may also influence the investment decisions of manufacturers, importers or car dealers. Future research on decarbonization and the BEV market should also include suppliers as well. It will then be possible to identify instruments that help to “reduce the risk for manufacturers and importers who are unsure whether the market for a relatively new and locally unproven technology will be profitable” [129], especially in young markets and less developed and innovative countries. As [120] points out, transport research has considered the wider context of research for many years and recommended changes to existing government efforts to develop sustainable mobility. This is a prerequisite for change at local, national and regional levels, which is where and when our research fits.
It can be concluded that there has been an observable increase in the number of BEVs registered in Poland. The introduction of government subsidies for the purchase of electric vehicles has been a significant contributing factor in accelerating the number of registrations. These programs constituted a catalyst for BEV growth and represented a provisional, transitional solution, in line with the findings of studies [46,59,60,61]. The government’s electromobility support program did not result in a notable increase in the registration of these vehicles, which might be interpreted as a significant market shock. Nevertheless, there was a noticeable increase in registrations at the end of the year, particularly during November. This can be considered a consequence of VAT the deductibility, which represents a significant incentive for buyers. Consequently, tax legislation has a positive impact on the development of the BEV market, despite not being specifically dedicated to the development of electromobility. Moreover, the expansion of public charging infrastructure also plays an important role. It is therefore evident that the construction of charging infrastructures should be a priority, particularly in smaller towns and rural areas. Furthermore, the promotion of environmentally conscious behaviors and attitudes is essential to alter driving habits and increase demand for BEVs. Poland has witnessed a notable surge in the number of BEVs registered, ranking among the European countries with the highest growth rates. This indicates that the greening of the fleet is gaining traction, although the share of BEVs in the overall vehicle population remains insufficient to substantiate progress in the fleet decarbonization process. It is important to note that the transition to an electric fleet is just one of many elements of decarbonization. While the increasing share of BEVs, particularly in cities, is undoubtedly contributing to improvements in local air quality, the environmental effects may not be immediately apparent, as energy production in Poland still relies on non-renewable sources [130]. The results of this study demonstrate that electromobility is gaining traction in Poland, evident in the rising demand. However, the decarbonization process, as measured by the penetration of zero-emission passenger vehicles, is at an early stage.
The seasonal adjustment procedures employed in the analysis, namely ARIMA-X-12 and TRAMO-SEATS, yielded comparable modeling outcomes. For both procedures, there were no seasonality and calendar effects observed. Similarly, outliers and their nature were identified. In several cases, the nature of the shocks varied based on the procedure employed. When confronted with the real values, the results of the TRAMO-SEATS procedure estimates reflected the nature of the outliers. Both methods are useful for analyzing the BEV market in Poland, but the results obtained using the TRAMO-SEATS method are closer to reality, and the identified shocks are easier to interpret. Similar conclusions were reached by authors who analyzed the market for newly registered vehicles and the market for new and used passenger cars [116,120,131]. We recommend using the TRAMO-SEATS method, which is more sensitive, and implementing it in cross-national evaluations.

Author Contributions

Conceptualization, A.A.O. and M.K.-L.; methodology, A.A.O. and M.K.-L.; software, A.A.O.; validation, A.A.O.; formal analysis, A.A.O.; investigation, A.A.O. and M.K.-L.; resources, A.A.O. and M.K.-L.; data curation, A.A.O.; writing—original draft preparation, A.A.O. and M.K.-L.; writing—review and editing, A.A.O. and M.K.-L.; visualization, A.A.O. and M.K.-L.; supervision, A.A.O. and M.K.-L.; project administration, A.A.O. and M.K.-L.; funding acquisition, A.A.O. and M.K.-L. All authors have read and agreed to the published version of the manuscript.

Funding

This research received no external funding.

Data Availability Statement

The original contributions presented in this study are included in the article; further inquiries can be directed to the corresponding author.

Conflicts of Interest

The authors declare no conflicts of interest.

Abbreviations

AFOEuropean Alternative Fuels Observatory
AOAdditive outlier
APIApplication programming interface
ARIMAAutoregressive integrated moving average
AVAverage
BEVsZero-emission battery electric vehicles
CEPIKCentralna Ewidencja Pojazdów i Kierowców (eng. Central Register of Vehicles and Drivers)
CNGCompressed natural gas
EREVExtended-range electric vehicle
EVElectric vehicle
FCEVFuel-cell electric vehicle
GHGGreenhouse gas
GUSStatistics Poland (pl. Główny Urząd Statystyczny)
HEVHybrid electric vehicle
ICEVInternal combustion engine vehicle
IOInnovation outlier
LNGLiquefied natural gas
LPGLiquefied petroleum gas
LSLevel shift
MEMean
NBEVsTotal number of new BEV registrations
NBEVs-DNumber of new domestic registrations of BEVs, defined as newly purchased cars registered for the first time in Poland
NBEVs-INumber of registrations of new BEVs that were individually imported passenger cars not previously registered in Poland or abroad; these are vehicles purchased abroad and considered as new imported cars
PHEVPlug-in hybrid electric vehicles
PLNPolish New Zloty
RESRenewable energy sources
SEATSSignal Extraction in ARIMA Time Series
TCTemporary change
TRAMOTime-series regression with ARIMA noise, missing values and outliers
UBEVsTotal number of used BEV registrations
UBEVs-DNumber of registrations of used BEVs purchased within the domestic market of Poland that were not previously registered abroad and re-registered in Poland
UBEVs-INumber of registrations of used BEVs imported by individuals, purchased and registered outside Poland prior to the first registration in Poland

References

  1. Wappelhorst, S. The End of the Road? An Overview of Combustion-Engine Car Phase-Out Announcements across Europe. 2020. Available online: https://theicct.org/publication/the-end-of-the-road-an-overview-of-combustion-engine-car-phase-out-announcements-across-europe/ (accessed on 8 March 2023).
  2. Bamwesigye, D.; Hlavackova, P. Analysis of Sustainable Transport for Smart Cities. Sustainability 2019, 11, 2140. [Google Scholar] [CrossRef]
  3. Stjepanović, S.; Tomić, D.; Škare, M. A new database on Green GDP; 1970-2019: A framework for assessing the green economy. Oeconomia Copernic. 2022, 13, 949–975. [Google Scholar] [CrossRef]
  4. Brodny, J.; Tutak, M. The level of implementing sustainable development goal “Industry, innovation and infrastructure” of Agenda 2030 in the European Union countries: Application of MCDM methods. Oeconomia Copernic. 2023, 14, 47–102. [Google Scholar] [CrossRef]
  5. Scholl, L.; Schipper, L.; Kiang, N. CO2 emissions from passenger transport. Energy Policy 1996, 24, 17–30. [Google Scholar] [CrossRef]
  6. IEA. World Energy Outlook. International Energy Agency 2009. Available online: https://iea.blob.core.windows.net/assets/ac80b701-bdfc-48cf-ac4c-00e60e1246a0/weo2009.pdf (accessed on 6 January 2023).
  7. Klumpp, M.; Bioly, S.; Sandhaus, G. Methods, inputs and examples for future transport volume prognosis in Germany. In Pioneering Supply Chain Design. A Comprehensive Insight into Emerging Trends, Technologies and Applications; Blecker, T., Kersten, W., Ringle, C.M., Eds.; Josef EUL Verlag GmbH: Lohmar-Köln, Germany, 2012; pp. 147–157. [Google Scholar]
  8. Miłek, D. Disparities in the Level of Regional Technical Infrastructure Development in Poland: Multicriteria Analysis. Equilib. Q. J. Econ. Econ. Policy 2022, 17, 1087–1113. [Google Scholar] [CrossRef]
  9. Andrienko, G.; Andrienko, N.; Chen, W.; Maciejewski, R.; Zhao, Y. Visual analytics of mobility and transportation: State of the art and further research directions. IEEE Trans. Intell. Transp. Syst. 2017, 18, 2232–2249. [Google Scholar] [CrossRef]
  10. Kliestik, T.; Novak Sedlackova, A.; Bugaj, M.; Novak, A. Stability of Profits and Earnings Management in the Transport Sector of Visegrad Countries. Oeconomia Copernic. 2022, 13, 475–509. [Google Scholar] [CrossRef]
  11. Gavurova, B.; Rigelsky, M.; Mikeska, M. Relationships between road transport indicators and expenditure of visitors in the context of European countries’ tourism competitiveness. Equilib. Q. J. Econ. Econ. Policy 2023, 18, 393–418. [Google Scholar] [CrossRef]
  12. Berg, J.; Levin, L.; Abramsson, M.; Hagberg, J.E. “I want complete freedom”: Car use and everyday mobility among the newly retired. Eur. Transp. Res. Rev. 2015, 7, 31. [Google Scholar] [CrossRef]
  13. Vasconcellos, E.A. The demand for cars in developing countries. Transp. Res. Part A Policy Pract. 1997, 31, 245–258. [Google Scholar] [CrossRef]
  14. Janovská, K.; Vozňáková, I.; Besta, P.; Šafránekz, M. Ecological and economic multicriteria optimization of operating alternative propulsion vehicles within the city of Ostrava in the Czech Republic. Equilib. Q. J. Econ. Econ. Policy 2021, 16, 907–943. [Google Scholar] [CrossRef]
  15. Zuniga-Garcia, N.; Gurumurthy, K.M.; Yahia, C.N.; Kockelman, K.M.; Machemehl, R.B. Integrating shared mobility services with public transit in areas of low demand. J. Public Transp. 2022, 24, 100032. [Google Scholar] [CrossRef]
  16. EEA. Transport and Environment Report. Digitalisation in Mobility System: Challenges and Opportunities. European Environment Agency 2022. Available online: https://www.eea.europa.eu/publications/transport-and-environment-report-2022/transport-and-environment-report/view (accessed on 20 August 2023).
  17. WCR. Envisaging the Future of Cities. World Cities Report (WCR) 2022. Available online: https://unhabitat.org/wcr/ (accessed on 15 June 2023).
  18. Sun, J.W. The decrease of CO2 emission intensity is decarbonization at national and global levels. Energy Policy 2005, 33, 975–978. [Google Scholar] [CrossRef]
  19. Sun, C.; Negro, E.; Vezzù, E.; Pagot, G.; Cavinato, G.; Nale, A.; Bang, Y.H.; Di Noto, V. Hybrid inorganic-organic proton-conducting membranes based on SPEEK doped with WO3 nanoparticles for application in vanadium redox flow batteries. Electrochim. Acta 2019, 309, 311–325. [Google Scholar] [CrossRef]
  20. AFO. Alternative Fuels. European Alternative Fuels Observatory 2023. Available online: https://alternative-fuels-observatory.ec.europa.eu/general-information/alternative-fuels (accessed on 8 July 2023).
  21. AFO. EU Classification of Vehicle Types. European Alternative Fuels Observatory 2023. Available online: https://alternative-fuels-observatory.ec.europa.eu/general-information/vehicle-types (accessed on 8 July 2023).
  22. Eurostat Dataset. Available online: https://ec.europa.eu/eurostat/databrowser/product/page/road_eqs_carpda (accessed on 20 June 2024).
  23. McCollum, D.L.; Wilson, C.; Bevione, M.; Carrara, S.; Edelenbosch, O.Y.; Emmerling, J.; Guivarch, C.; Karkatsoulis, P.; Keppo, I.; Krey, V.; et al. Interaction of consumer preferences and climate policies in the global transition to low-carbon vehicles. Nat. Energy 2018, 3, 664–673. [Google Scholar] [CrossRef]
  24. Delucchi, M.A.; Jacobson, M.Z. Providing all global energy with wind, water, and solar power, Part II: Reliability, system and transmission costs, and policies. Energy Policy 2011, 39, 1170–1190. [Google Scholar] [CrossRef]
  25. García-Olivares, A.; Solé, J.; Osychenko, O. Transportation in a 100% renewable energy system. Energy Convers. Manag. 2018, 158, 266–285. [Google Scholar] [CrossRef]
  26. Macioszek, E.; Sierpiński, G. Charging Stations for Electric Vehicles—Current Situation in Poland. In Research and the Future of Telematics. TST 2020. Communications in Computer and Information Science; Mikulski, J., Ed.; Springer: Cham, Switzerland, 2020; Volume 1289. [Google Scholar] [CrossRef]
  27. Rivera, S.; Goetz, A.M.; Kouro, S.; Legn, P.W.; Pathmanathan, M.; Bauer, P.; Mastromauro, R.A. Charging Infrastructure and Grid Integration for Electromobility. Proc. IEEE 2023, 111, 371–396. [Google Scholar] [CrossRef]
  28. Lee, J.H.; Chakraborty, D.; Hardman, S.C.; Tal, G. Exploring electric vehicle charging patterns: Mixed usage of charging infrastructure. Transp. Res. Part D Transp. Environ. 2020, 79, 102249. [Google Scholar] [CrossRef]
  29. Khan, H.A.U.; Price, S.; Avraam, C.; Dvorkin, Y. Inequitable access to EV charging infrastructure. Electr. J. 2022, 35, 107096. [Google Scholar] [CrossRef]
  30. Alkawsi, G.; Baashar, Y.; Abbas, U.D.; Alkahtani, A.A.; Tiong, S.K. Review of Renewable Energy-Based Charging Infrastructure for Electric Vehicles. Appl. Sci. 2021, 11, 3847. [Google Scholar] [CrossRef]
  31. Mutarraf, M.U.; Guan, Y.; Xu, L.; Su, C.-L.; Vasquez, J.C.; Guerrero, J.M. Electric cars, ships, and their charging infrastructure—A comprehensive review. Sustain. Energy Technol. Assess. 2022, 52 Pt B, 102177. [Google Scholar] [CrossRef]
  32. Sachan, S.; Deb, S.; Singh, S.N. Different charging infrastructures along with smart charging strategies for electric vehicles. Sustain. Cities Soc. 2020, 60, 102238. [Google Scholar] [CrossRef]
  33. AFO Dataset. Available online: https://alternative-fuels-observatory.ec.europa.eu/ (accessed on 20 June 2024).
  34. Marks-Bielska, R.; Bielski, S.; Pik, K.; Kurowska, K. The importance of renewable energy sources in Poland’s energy mix. Energies 2020, 13, 4624. [Google Scholar] [CrossRef]
  35. Połom, M. E-revolution in post-communist country? A critical review of electric public transport development in Poland. Energy Res. Soc. Sci. 2021, 80, 102227. [Google Scholar] [CrossRef]
  36. Lis, A.; Szymanowski, R. Greening Polish transportation? Untangling the nexus between electric mobility and a carbon-based regime. Energy Res. Soc. Sci. 2022, 83, 102336. [Google Scholar] [CrossRef]
  37. EEA. Fiscal Instruments Favoring Electric over Conventional Cars Are Greener. European Environment Agency 2019. Available online: https://www.eea.europa.eu/publications/fiscal-instruments-favouring-electric-over (accessed on 5 June 2023).
  38. Abrahamsen, F.E.; Ruud, S.G.; Gebremedhin, A. Moving toward a sustainable energy system: A case study of Viken County of Norway. Energies 2020, 13, 5912. [Google Scholar] [CrossRef]
  39. Oritz, P.S.; Flórez-Orrego, D.; de Oliveira Junior, S.; Filho, R.M.; Osseweijer, P.; Posada, J. Unit exergy cost and specific CO2 emissions of the electricity generation in the Netherlands. Energy 2020, 208, 118279. [Google Scholar] [CrossRef]
  40. Albatayneh, A.; Juaidi, A.; Jaradat, M.; Manzano-Agugliaro, F. Future of electric and hydrogen cars and trucks: An overview. Energies 2023, 16, 3230. [Google Scholar] [CrossRef]
  41. Toktaş-Palut, P. The fuel cell electric vehicle market growth: Analyses of contracts and government incentives. Comput. Ind. Eng. 2023, 176, 108988. [Google Scholar] [CrossRef]
  42. ACEA. Electric Vehicles Tax Benefits and Purchase in the European Union. 2023. Available online: https://www.acea.auto/files/Electric-Vehicles-Tax-Benefits-Purchase-Incentives-2022.pdf (accessed on 26 August 2023).
  43. Maier, C.; Pfeiffer, C.; Millendorfer, M. A User Perspective on current Drivers and Barriers for Electric Vehicle Usage in Austria. In Proceedings of the 16th Conference on Sustainable Development of Energy, Water and Environment Systems, Dubrovnik, Croatia, 10–15 October 2021; Available online: https://people.fh-burgenland.at/entities/publication/3517ae6b-2f6e-4922-b400-5d4f0890026f/details (accessed on 15 January 2024).
  44. Morrison, K.; Wappelhorst, S. Battery Electric Vehicle Access in Europe: A Comparison of Rural, Intermediate, and Urban Regions; Battery Electric Vehicle Access in Europe. Working Paper, 2022–18; International Council on Celan Transportation: Washington, DC, USA, 2022; Available online: https://theicct.org/wp-content/uploads/2022/06/bev-access-europe-jun22.pdf (accessed on 18 January 2024).
  45. Ali, Y.A. Understanding Consumer’s Intentions to Electric Vehicle Adoption and Preferences for Charging Infrastructure in Innsbruck, Austria. Master’s Thesis, Technical University of Munich, München, Germany, 15 June 2022. Available online: https://mediatum.ub.tum.de/doc/1684459/document.pdf (accessed on 18 January 2024).
  46. Martins, H.; Henriques, C.O.; Figueira, J.R.; Silva, C.S.; Costa, A.S. Assessing policy interventions to stimulate the transition of electric vehicle technology in the European Union. Socio-Econ. Plan. Sci. 2023, 87 Pt B, 101505. [Google Scholar] [CrossRef]
  47. Szabo, J.; Deák, A.; Szalavetz, A.; Túry, G. The Hungarian automobile industry: Towards an understanding of the transition to electromobility. In On the Way to Electromobility—A Green(er) but More Unequal Future? Galgóczi, B., Ed.; European Trade Union Institute (ETUI): Brussels, Belgium, 2023. [Google Scholar]
  48. Arababadi, A.; Leyer, S.; Hansen, J.; Arababadi, R. Characterizing the Theory of Spreading Electric Vehicles in Luxembourg. Sustainability 2021, 13, 9068. [Google Scholar] [CrossRef]
  49. Mpoi, G.; Milioti, C.; Mitropoulos, L. Factors and incentives that affect electric vehicle adoption in Greece. Int. J. Transp. Sci. Technol. 2023, 12, 1064–1079. [Google Scholar] [CrossRef]
  50. Shah, K.U.; Awojobi, M.; Soomauroo, Z. Electric vehicle adoption in small island economies: Review from a technology transition perspective. Wiley Interdiscip. Rev. Energy Environ. 2022, 11, e432. [Google Scholar] [CrossRef]
  51. Neshat, N.; Kaya, M.; Zare, S.G. Exploratory policy analysis for electric vehicle adoption in European countries: A multi-agent-based modelling approach. J. Clean. Prod. 2023, 414, 137401. [Google Scholar] [CrossRef]
  52. Bugeja, A.; Azzopardi, B.; Loizou, E. A Comparative Analysis of Electric Mobility Operations in the Island States: A Case Study of Malta and Cyprus. J. Energy 2023, 72, 15–19. [Google Scholar] [CrossRef]
  53. Tatomir, S. Estonia’s climate policy: Challenges and opportunities. In OECD Economic Surveys: Estonia; OECD Publishing: Paris, France, 2022. [Google Scholar] [CrossRef]
  54. Knez, M.; Jereb, B.; Gago, E.G.; Rosak-Szyrocka, J.; Obrecht, M. Features influencing policy recommendations for the promotion of zero-emission vehicles in Slovenia, Spain and Poland. Clean. Technol. Environ. Policy 2021, 23, 749–764. [Google Scholar] [CrossRef]
  55. Bernard, M.R.; Hall, D.; Lutsey, N. Chaging Infrastructure to Support the Electric Mobility Transition in France; ICCT White Paper; International Council on Clean Transportation: Wshington, DC, USA, 2021. [Google Scholar]
  56. Mutavdžija, M.; Kovačić, M.; Buntak, K. Assessment of Selected Factors Influencing the Purchase of Electric Vehicles—A Case Study of the Republic of Croatia. Energies 2022, 15, 5987. [Google Scholar] [CrossRef]
  57. Emanović, M.; Jakara, M.; Barić, D. Challenges and Opportunities for Future BEVs Adoption in Croatia. Sustainability 2022, 14, 8080. [Google Scholar] [CrossRef]
  58. Simen Rostad Sæther, S.R. Mobility at the crossroads—Electric mobility policy and charging infrastructure lessons from across Europe. Transp. Res. Part A Policy Pract. 2022, 157, 144–159. [Google Scholar] [CrossRef]
  59. Wang, Y.; Liu, Z.; Shi, J.; Wu, G.; Wang, R. Joint Optimal Policy for Subsidy on Electric Vehicles and Infrastructure Construction in Highway Network. Energies 2018, 11, 2479. [Google Scholar] [CrossRef]
  60. Lu, T.; Yao, E.; Jin, F.; Pan, L. Alternative Incentive Policies against Purchase Subsidy Decrease for Battery Electric Vehicle (BEV) Adoption. Energies 2020, 13, 1645. [Google Scholar] [CrossRef]
  61. Zheng, X.; Lin, H.; Liu, Z.; Li, D.; Llopis-Albert, C.; Zeng, S. Manufacturing Decisions and Government Subsidies for Electric Vehicles in China: A Maximal Social Welfare Perspective. Sustainability 2018, 10, 672. [Google Scholar] [CrossRef]
  62. Newbery, D.; Strbac, G. What is needed for battery electric vehicles to become socially cost competitive? Econ. Transp. 2016, 5, 1–11. [Google Scholar] [CrossRef]
  63. Stoma, M.; Dudziak, A. Future Challenges of the Electric Vehicle Market Perceived by Individual Drivers from Eastern Poland. Energies 2023, 16, 7212. [Google Scholar] [CrossRef]
  64. Thomas, T.C.; Turienzo, J.; Lampón, J.F.; Chico-Tato, R.; Cabanelas, P. Electric cars: The future technological potential. In Electrifying Mobility: Realising a Sustainable Future for the Car; Parkhurst, G., Clayton, W., Eds.; Emerald Publishing Limited: Bingley, UK, 2022; pp. 191–210. [Google Scholar] [CrossRef]
  65. He, W.; Hao, X. Competition and welfare effects of introducing new products into the new energy vehicle market: Empirical evidence from Tesla’s entry into the Chinese market. Transp. Res. Part A Policy Pract. 2023, 174, 103730. [Google Scholar] [CrossRef]
  66. Bahamonde-Birke, F.J.; Hanappi, T. The potential of electromobility in Austria: Evidence from hybrid choice models under the presence of unreported information. Transp. Res. Part A Policy Pract. 2016, 83, 30–41. [Google Scholar] [CrossRef]
  67. Barff, R.; Mackay, D.B.; Olshavsky, R.W. A selective review of travel-mode choice models. J. Consum. Res. 1982, 8, 370–380. [Google Scholar] [CrossRef]
  68. Alaee, P.; Bems, J.; Anvari-Moghaddam, A. A Review of the Latest Trends in Technical and Economic Aspects of EV Charging Management. Energies 2023, 16, 3669. [Google Scholar] [CrossRef]
  69. Schäfer, P.K.; Blättel-Mink, B.; Hermenau, U.; Schmidt, K.; Lanzendorf, M.; Tandler, M.; Knese, D.; Buchsbaum, M.; Hermann, A.; Dalichau, D.; et al. Sozialwissenschaftliche Begleitforschung in der Modellregion Elektromobilität Rhein Main; Frankfurt Goethe University: Frankfurt, Germany, 2015. [Google Scholar] [CrossRef]
  70. Littlejohn, C.; Proost, S. What role for electric vehicles in the decarbonization of the car transport sector in Europe? Econ. Transp. 2022, 32, 100283. [Google Scholar] [CrossRef]
  71. Rosenbloom, S. Sustainability and automobility among the elderly: An international assessment. Transportation 2001, 28, 375–408. [Google Scholar] [CrossRef]
  72. Mueller, N.; Rojas-Rueda, D.; Cole-Hunter, T.; de Nazelle, A.; Dons, E.; Gerike, R.; Götschi, T.; Int Panis, L.; Kahlmeier, S.; Nieuwenhuijsen, M. Health impact assessment of active transportation: A systematic review. Prev. Med. 2015, 76, 103–114. [Google Scholar] [CrossRef] [PubMed]
  73. Cong, C.; Kwak, Y.; Deal, B. Incorporating active transportation modes in large scale urban modeling to inform sustainable urban development. Comput. Environ. Urban Syst. 2022, 91, 101726. [Google Scholar] [CrossRef]
  74. Maltese, I.; Gatta, V.; Marcucci, E. Active Travel in Sustainable Urban Mobility Plans. An Italian overview. Res. Transp. Bus. Manag. 2021, 40, 100621. [Google Scholar] [CrossRef]
  75. Adams, J. The Social Implications of Hypermobility. Speculations about the Social Consequences of the OECD Scenarios for Environmentally Sustainable Transport and Business-as-Usual Trend Projection; OECD: Paris, France, 1999; Available online: https://iris.ucl.ac.uk/iris/publication/36139/1 (accessed on 28 March 2023).
  76. Wang, Y.P.; Murie, A. Social and spatial implications of housing reform in China. Int. J. Urban Reg. Res. 2000, 24, 397–417. [Google Scholar] [CrossRef]
  77. Kruszyna, M.; Śleszyński, P.; Rychlewski, J. Dependencies between Demographic Urbanization and the Agglomeration Road Traffic Volumes: Evidence from Poland. Land 2021, 10, 47. [Google Scholar] [CrossRef]
  78. Alonso, A.; Monzón, A.; Cascajo, R. Measuring negative synergies of urban sprawl and economic crisis over public transport efficiency. Int. Reg. Sci. Rev. 2017, 41, 540–576. [Google Scholar] [CrossRef]
  79. INRIX. Global Traffic Scorecard. 2023. Available online: https://inrix.com/scorecard/ (accessed on 25 August 2023).
  80. Nordfjærn, T.; Simsekoglu, Ö.; Rundmo, T. Active transport, public transport and electric car as perceived alternatives in a motorized Norwegian sample. Transp. Res. Part F Traffic Psychol. Behav. 2016, 42, 70–79. [Google Scholar] [CrossRef]
  81. Hunecke, M.; Blöbaum, A.; Matthies, E.; Höger, R. Responsibility and environment: Ecological norm orientation and external factors in the domain of travel mode choice behavior. Environ. Behav. 2001, 33, 830–852. [Google Scholar] [CrossRef]
  82. Lind, H.B.; Nordfjærn, T.; Jørgensen, S.H.; Rundmo, T. The value-belief-norm theory, personal norms and sustainable travel mode choice in urban areas. J. Environ. Psychol. 2015, 44, 119–125. [Google Scholar] [CrossRef]
  83. Liu, C.; Susilo, Y.O.; Karlström, A. The influence of weather characteristics variability on individual’s travel mode choice in different seasons and regions in Sweden. Transp. Policy 2015, 41, 147–157. [Google Scholar] [CrossRef]
  84. Ji, Y.; Liu, Y.; Liu, Q.; He, B.; Cao, Y. How household roles influence individuals’ travel mode choice under intra-household interactions? KSCE J. Civ. Eng. 2018, 22, 4635–4644. [Google Scholar] [CrossRef]
  85. Ye, N.; Gao, L.; Juan, Z.; Ni, A. Are people from household with children more likely to travel by car? An empirical investigation of individual travel mode choices in Shanghai, China. Sustainability 2018, 10, 4573. [Google Scholar] [CrossRef]
  86. Moriarty, P. Electric vehicles can only a minor role in reducing transport’s energy and environmental challenges. AIMS Energy J. 2022, 10, 131–148. [Google Scholar] [CrossRef]
  87. Kannan, R.; Hirschberg, S. Interplay between electricity and transport sectors—Integrating the Swiss car fleet and electricity system. Transp. Res. Part A Policy Pract. 2016, 94, 514–531. [Google Scholar] [CrossRef]
  88. Miller, H.J. Movement analytics for sustainable mobility. J. Spat. Inf. Sci. 2020, 20, 115–123. [Google Scholar] [CrossRef]
  89. Berkovec, J. New car sales and used car stock: A model of the automobile market. RAND J. Econ. 1985, 16, 195–214. [Google Scholar] [CrossRef]
  90. Gałka, J.; Warych-Juras, A. Suburbanization and migration in Polish metropolitan areas during political transition. Acta Geogr. Slov. 2018, 58, 63–72. [Google Scholar] [CrossRef]
  91. Żakowska, M. Autoholizm. Jak Odstawić Samochód w Polskim Mieście; Wydawnictwo Krytyki Politycznej: Warszawa, Poland, 2023. [Google Scholar]
  92. AFO. Euroepan Alternative Fuels Observatory 2023. Available online: https://alternative-fuels-observatory.ec.europa.eu/transport-mode/road (accessed on 8 July 2023).
  93. Lee, K.; Bernard, Y.; Dallmann, T.; Tietge, U.; Pniewska, I.; Rintanen, I. Evaluation of Real-World Vehicles Emissions in Warsaw; TRUE The Real Urban Emissions Initiative: London, UK, 2022; Available online: https://www.trueinitiative.org/media/792226/true-warsaw-report-en.pdf (accessed on 12 July 2023).
  94. Ustawa z dnia 11 stycznia 2018 r. o elektromobilności i paliwach alternatywnych. Dz. U. 2018 poz. 317. Available online: https://isap.sejm.gov.pl/isap.nsf/DocDetails.xsp?id=WDU20180000317 (accessed on 20 December 2023).
  95. Ustawa z dnia 5 grudnia 2014 r. o Karcie Dużej Rodziny. Dz. U. 2014 poz. 1863. Available online: https://isap.sejm.gov.pl/isap.nsf/DocDetails.xsp?id=WDU20140001863 (accessed on 15 December 2023).
  96. Serwis Rzeczpospolitej Polskiej. Available online: https://www.gov.pl/web/elektromobilnosc/o-programie (accessed on 18 June 2023).
  97. Song, K.; Lan, Y.; Zhang, X.; Jiang, J.; Sun, C.; Yang, G.; Yang, F.; Lan, H. A Review on Interoperability of Wireless Charging Systems for Electric Vehicles. Energies 2023, 16, 1653. [Google Scholar] [CrossRef]
  98. Kumar, M.; Panda, K.P.; Naayagi, R.T.; Thakur, R.; Panda, G. Comprehensive review of electric vehicle technology and its impacts: Detailed investigation of charging infrastructure, power management, and control techniques. Appl. Sci. 2023, 13, 8919. [Google Scholar] [CrossRef]
  99. Ewidencja Infrastruktury Paliw Alternatywnych. Available online: https://eipa.udt.gov.pl (accessed on 30 August 2023).
  100. Mapa Elektromobilności. Available online: https://mapaelektromobilnosci.pl/ (accessed on 26 September 2023).
  101. Licznik Elektromobilności. PZPM. Available online: https://www.pzpm.org.pl/pl/Elektromobilnosc/LICZNIK-ELEKTROMOBILNOSCI (accessed on 30 August 2023).
  102. Pelegov, D.V.; Chanaron, J.J. Electric car market analysis using open data: Sales, volatility assessment and forecasting. Sustainability 2023, 15, 399. [Google Scholar] [CrossRef]
  103. Osińska, M. Ekonometria Współczesna; Dom Organizatora: Toruń, Poland, 2007. [Google Scholar]
  104. Adams, S.O.; Ipinyomi, R.A. A new smoothing method for time series data in the presence of autocorrelated error. Asian J. Probab. Stat. 2019, 4, 1–19. [Google Scholar] [CrossRef]
  105. Hawkins, D.M. Outliers from the linear model. In Indentification of Outliers. Monograph on Applied Probability and Statistics; Springer: Dordrecht, The Netherlands, 1980. [Google Scholar] [CrossRef]
  106. Chen, C.; Liu, L.M. Joint estimation of model parameters and outlier effects in time series. J. Am. Stat. Assoc. 1993, 88, 284–297. [Google Scholar] [CrossRef]
  107. Healy, M.J. Multivariate normal plotting. J. R. Stat. Society. Ser. C Appl. Stat. 1968, 17, 157–161. [Google Scholar] [CrossRef]
  108. Toppur, B.; Thomas, T.C. Forecasting Commercial Vehicle Production Using Quantitive Techniques. Contemp. Econ. 2023, 17, 10–23. [Google Scholar] [CrossRef]
  109. Bee Dagum, E.; Bianconcini, S. Seasonal adjustment based on ARIMA model decomposition: TRAMO-SEATS. In Seasonal Adjustment Methods and Real Time Trend-Cycle Estimation; Bee Dagum, E., Bianconcini, S., Eds.; Springer International Publishing: Berlin/Heidelberg, Germany, 2016; pp. 115–145. [Google Scholar] [CrossRef]
  110. Muirhead, C.R. Distinguishing outlier types in time series. J. R. Stat. Soc. Ser. B Methodol. 1986, 48, 39–47. [Google Scholar] [CrossRef]
  111. Fox, A.J. Outliers in time series. J. R. Stat. Soc. Ser. B Stat. Methodol. 1972, 34, 350–363. [Google Scholar] [CrossRef]
  112. Handbook on Seasonal Adjustment; Publications Office of the European Union: Luxembourg, 2018. [CrossRef]
  113. Ladiray, D.; Quenneville, B. Seasonal Adjustment with the X-11 Method; Springer: New York, NY, USA, 2001. [Google Scholar] [CrossRef]
  114. Grudkowska, S.; Paśnicka, E. X-12-ARIMA i TRAMO/SEATS—Empiryczne Porównanie Metod Wyrównania Sezonowego w Kontekście Długości Próby; Materiały i Studia; Narodowy Bank Polski: Warszawa, Poland, 2007; Volume 220. [Google Scholar]
  115. Findley, D.F.; McElroy, T.S. Background and Perspectives for ARIMA Model-Based Seasonal Adjustment. Research Report Series. 2018; pp. 1–49. Available online: https://www.census.gov/library/working-papers/2018/adrm/RRS2018-07.html (accessed on 23 April 2023).
  116. McElroy, T.; Roy, A. A Review of Seasonal Adjustment Diagnostics. Int. Stat. Rev. 2021, 90, 259–284. [Google Scholar] [CrossRef]
  117. IEA. World Energy Outlook. International Energy Agency 2023. Available online: https://iea.blob.core.windows.net/assets/dacf14d2-eabc-498a-8263-9f97fd5dc327/GEVO2023.pdf (accessed on 12 February 2024).
  118. Lewicki, W.; Olejarz-Wahba, A.A. Modeling of Trend in Sales of New Passenger Vehicles in Poland Using the Arima-X-12 and Tramo-Seats Methods. Stat. Stat. Econ. J. 2020, 10, 333–334. [Google Scholar]
  119. PZPM. Automative Industry Report, Polski Związek Przemysłu Motoryzacyjnego (PZPM). 2023. Available online: https://www.pzpm.org.pl/pl/Publikacje/Raporty/Rocznik-Raport-Branzy-Motoryzacyjnej-PZPM-i-KPMG-2022-2023 (accessed on 22 September 2023).
  120. Ryghaug, M.; Subotički, I.; Smeds, E.; von Wirth, T.; Scherrer, A.; Foulds, C.; Robison, R.; Bertolini, L.; Beyazit İnce, E.; Brand, R.; et al. A Social Sciences and Humanities research agenda for transport and mobility in Europe: Key themes and 100 research questions. Transp. Rev. 2023, 43, 755–779. [Google Scholar] [CrossRef]
  121. Lewicki, W.; Olejarz-Wahba, A.A.; Nurzyńska, A. Ekonomiczne, Organizacyjne i Prawne Uwarunkowania Rozwoju Rynku Motoryzacyjnego w Polsce. Przykłady Teorii i Praktyki; Wydawnictwo Naukowe Sophia: Katowice, Poland, 2018. [Google Scholar]
  122. Lewicki, W.; Olejarz-Wahba, A.A. Analiza sezonowości sprzedaży nowych pojazdów w Polsce w latach 2013-2018. Prace Komisji Geografii Komunikacji PTG 2020, 23, 87–98. [Google Scholar] [CrossRef]
  123. Dyba, W. Hybrid and electric cars. Rare nvelty for elites or a future ubiquitous good? In The Economic Geography of the Car Market. The Automobile Revolution in an Emerging Economy; Kołsut, W.B., Stryjakiewicz, T., Eds.; Routledge: London, UK, 2022; pp. 127–158. [Google Scholar] [CrossRef]
  124. Kowalska-Pyzalska, A.; Kott, J.; Kott, M. Why Polish market of alternative fuel vehicles (AFVs) is the smallest in Europe? SWOT analysis of opportunities and threats. Renew. Sustain. Energy Rev. 2020, 133, 110076. [Google Scholar] [CrossRef]
  125. Tang, J.; McNabola, A.; Misstear, B. The Potential Impacts of Different Traffic Management Strategies on Air Pollution and Public Health for a More Sustainable City: A Modelling Case Study from Dublin, Ireland. Sustain. Cities Soc. 2020, 60, 102229. [Google Scholar] [CrossRef]
  126. NIK. Finansowanie Przedsięwzięć Służących Rozwojowi Elektromobilności w Polsce, Najwyższa Izba Kontroli. 2023. Available online: https://www.nik.gov.pl/kontrole/P/22/070/ (accessed on 12 August 2023).
  127. Arakawa, K. Assessing consumer valuations of future costs versus purchase process in Japan’s auto market. Econ. Transp. 2022, 30, 100260. [Google Scholar] [CrossRef]
  128. Pollák, F.; Markovič, P.; Majdúchová, H. Reputation of Electric Vehicles in the Environment of Carbon Reduction and Accelerated Digitization. Energies 2023, 16, 3836. [Google Scholar] [CrossRef]
  129. Briceno-Garmendia, C.; Qiao, W.; Foster, V. The Economics of Electric Vehicles for Passenger Transportation; Sustainable Infrastructure Series; World Bank: Washington, DC, USA, 2023. [Google Scholar] [CrossRef]
  130. Costa, C.M.; Barbosa, J.C.; Castro, H.; Gonçalves, R.; Lanceros-Méndez, S. Electric vehicles: To what extent are environmentally friendly and cost effective?—Comparative study by european countries. Renew. Sustain. Energy Rev. 2021, 151, 111548. [Google Scholar] [CrossRef]
  131. SAMAR. Rejestracje Samochodów Osobowych i Dostawczych w Sierpniu 2020 r; Instytut Badań Rynku Motoryzacyjnego SAMAR: Warsaw, Poland, 2022. [Google Scholar]
Figure 1. The structure of net electricity production in selected European countries by fuel type. Source: own calculations based on Eurostat dataset [22].
Figure 1. The structure of net electricity production in selected European countries by fuel type. Source: own calculations based on Eurostat dataset [22].
Energies 17 04138 g001
Figure 2. Algorithm for assessing the presence of seasonality in a time series. Source: own study based on [113].
Figure 2. Algorithm for assessing the presence of seasonality in a time series. Source: own study based on [113].
Energies 17 04138 g002
Figure 3. Number of registrations of NBEVs between 2010 and 2024.
Figure 3. Number of registrations of NBEVs between 2010 and 2024.
Energies 17 04138 g003
Figure 4. Number of registrations of UBEVs between 2010 and 2024.
Figure 4. Number of registrations of UBEVs between 2010 and 2024.
Energies 17 04138 g004
Figure 5. Milestones in the development of the NBEV market in Poland.
Figure 5. Milestones in the development of the NBEV market in Poland.
Energies 17 04138 g005
Figure 6. Age structure of UBEVs registered in Poland between 2018 and 2023. Note: Av—average; Me—mean (median).
Figure 6. Age structure of UBEVs registered in Poland between 2018 and 2023. Note: Av—average; Me—mean (median).
Energies 17 04138 g006aEnergies 17 04138 g006b
Table 1. Passenger electric vehicles in selected European countries, 2013–2022 1.
Table 1. Passenger electric vehicles in selected European countries, 2013–2022 1.
CountryPercentage of Electric Vehicles among Passenger CarsIncrease in the Number of Electric Passenger VehiclesCountryPercentage of Electric Vehicles among Passenger CarsIncrease in the Number of Electric Passenger Vehicles
201320222013 = 100%201320222013 = 100%
Albania 20.00%0.19%9477%Latvia0.00%0.50%25,447%
Austria0.04%2.14%5225%Liechtenstein0.07%3.10%4650%
Belgium0.02%1.20%7697%Lithuania 60.01%0.44%10,336%
Bosnia and Herzegovina0.00%0.01%13,700%Luxembourg0.07%3.13%5189%
Bulgaria 30.07%0.22%226%Malta0.02%0.88%4651%
Cyprus0.00%0.14%13,733%Moldova0.01%0.21%5077%
Czechia0.01%0.23%5889%Netherlands 70.12%3.70%3214%
Denmark0.07%4.02%7231%North Macedonia0.01%0.04%459%
Estonia0.11%0.41%389%Norway0.72%20.12%3275%
Finland0.01%1.27%24,679%Poland0.00%0.14%37,975%
France0.05%1.53%3373%Portugal0.01%1.17%14,669%
Georgia 40.08%0.24%284%Romania0.04%0.31%1109%
Germany0.03%2.08%8342%Slovenia 60.01%0.66%5898%
Hungary0.00%0.73%27,024%Spain0.01%0.36%3276%
Iceland 51.00%3.88%316%Sweden0.02%3.97%19,475%
Ireland0.01%1.58%13,104%Switzerland0.06%2.30%4023%
Italy0.01%0.39%3414%Türkiye0.00%0.10%4022%
Kosovo 40.00%0.02%1300%United Kingdom 70.08%193%2414%
Note: 1—Croatia, Greece, Montenegro, Serbia, Slovakia not included due to missing EUROSTAT data; 2—data from 2016; 3—data from 2020; 4—data from 2017; 5—data from 2018; 6—data from 2014; 7—data from 2014. Source: own calculations based on [22].
Table 2. The number of publicly accessible charging points for electric cars in selected European countries in 2022 1.
Table 2. The number of publicly accessible charging points for electric cars in selected European countries in 2022 1.
CountryNumber of Charging PointsPercentage of AC Recharging PointsPercentage of DC Recharging StationsNumber of BEVs per Charging PointCountryNumber of Charging PointsPercentage of AC Recharging PointsPercentage of DC Recharging StationsNumber of BEVs per Charging Point
Austria22,74981.1618.844.8Italy46,88284.9915.013.4
Belgium62,33394.765.241.1Latvia85163.6936.314.5
Bulgaria245267.7432.262.6Lithuania334782.0117.992.2
Croatia155065.3534.653.1Luxembourg218689.7510.256.4
Cyprus40392.807.202.1Netherlands162,10197.222.782.0
Czechia520172.6427.362.7Norway25,29166.3133.8424.0
Denmark27,39987.8712.134.1Poland762269.2330.774.0
Estonia80854.9545.054.3Portugal955275.1824.827.1
Finland13,32975.7024.303.5Romania365664.7235.286.8
France131,11883.1516.854.5Slovenia188081.0118.994.2
Greece625089.1210.88-Spain30,40175.2824.723.1
Germany137,72679.3920.617.4Sweden43,65986.4613.544.5
Hungary377880.0219.987.9Switzerland14,77883.3516.657.5
Iceland179281.8118.196.2Türkiye10,43959.7040.301.4
Ireland309481.1918.8111.9United Kingdom75,02282.3817.628.3
Note: 1—Albania, Bosnia and Herzegovina, Georgia, Greece, Kosovo, Liechtenstein, Malta, Moldova, North Macedonia, Türkiye, Montenegro, Serbia not included due to missing AFO data. Source: own calculations based on AFO dataset [33].
Table 3. Agenda of the “My electric car” program activities.
Table 3. Agenda of the “My electric car” program activities.
DateAction
12 July 2021Call for proposals for individuals
Conditions for subsidy:
(a)
subsidy amount: PLN 18,750 and PLN 27,000 with Large Family Card *
(b)
price of the car below PLN 225,000 (the limit does not apply to holders of the Large Family Card *)
26 July 2021Announcement of a call for banks interested in distributing car leasing subsidies
16 November 2021First cooperation agreements signed with three leasing companies
2 November 2021Call for proposals from companies, public financial institutions, research institutes, associations, foundations, cooperatives, individual farmers, churches and other religious organizations.
* Large Family Card—a system of discounts and additional entitlements in public institutions and private companies for families with more than two children [95]. Source: author’s study based on [96].
Table 4. Number of BEV charging points in Poland.
Table 4. Number of BEV charging points in Poland.
Data SourceNumber of Charging PointsAs of
Alternative Fuel Infrastructure Inventory (Ewidencja Infrastruktury Paliw Alternatywnych in Polish) [99]1993September 2023
Electromobility Map (Mapa Elektromobilności in Polish)
https://mapaelektromobilnosci.pl/ [100] 1
3003August 2023
Electromobility Counter (Licznik elektromobilności in Polish) [101]5016December 2022
Note: 1—assessed 26 September 2023. Source: author’s study.
Table 5. Results of the model estimation of the number of NBEV registrations in Poland between 2010 and 2024.
Table 5. Results of the model estimation of the number of NBEV registrations in Poland between 2010 and 2024.
NBEVs-DNBEVs-I
SpecificationTRAMO-SEATSARIMA-X-12TRAMO-SEATSARIMA-X-12
Model(0, 1, 1) × (0, 0, 1)(3, 1, 1) × (0, 1, 1)(0, 1, 1) × (0, 1, 1)(2, 1, 1) × (0, 1, 0)
TransformationLogarithmicLogarithmicLogarithmicLogarithmic
Trading Day EffectNoNoNoNo
Moving Holiday EffectNoNoNoNo
Friedman Test0.0450 **0.0001 ***0.47510.0016 **
Kruskal–Wallis Test0.0025 **0.0000 ***0.49540.0000 ***
Moving Seasonality Test0.0000 ***0.0000 ***0.0000 ***0.0000 ***
Composite Seasonality TestIdentifiable seasonality not presentIdentifiable seasonality not presentIdentifiable seasonality not presentIdentifiable seasonality not present
OutliersYesYesYesYes
Note: Significance at the following levels: ***—0.001; **—0.05; *—0.1.
Table 6. Results of the model estimation of the number of UBEV registrations between 2010 and 2024.
Table 6. Results of the model estimation of the number of UBEV registrations between 2010 and 2024.
UBEVs-DUBEVs-I
SpecificationTRAMO-SEATSARIMA-X-12TRAMO-SEATSARIMA-X-12
Model(2, 2, 1) × (0, 0, 0)(3, 1, 1) × (0, 1, 1)(0, 1, 1) × (1, 0, 0)(0, 1, 1) × (1, 1, 0)
TransformationLogarithmicLogarithmicLogarithmicLogarithmic
Trading Day EffectNoNoNoNo
Moving Holiday EffectNoNoNoNo
Friedman Test0.96000.0033 **0.62390.0018 **
Kruskal–Wallis Test0.92680.0010 **0.08670.0000 ***
Moving Seasonality Test0.97240.0001 ***0.0000 ***0.0000 ***
Composite Seasonality TestIdentifiable seasonality not presentIdentifiable seasonality not presentIdentifiable seasonality not presentIdentifiable seasonality not present
OutliersYesYesYesYes
Note: Significance at the following levels: ***—0.001; **—0.05; *—0.1.
Table 7. Results of the model estimation of the number of NBEV registrations between 2010 and 2024.
Table 7. Results of the model estimation of the number of NBEV registrations between 2010 and 2024.
DateNBEVs-INBEVs-DNBEVs
TRAMO SEATSARIMA-X-12TRAMO SEATSARIMA-X-12TRAMO SEATSARIMA-X-12
January 2018 AO (52.15 ***)AO (47.41 ***)AO (51.08 ***)TC (46.30 ***)
April 2018 TC (22.06 ***)TC (33.99 ***)
July 2018LS (2.56 ***)TC (2.88 ***)
March 2019 TC (114.6 ***)TC (133.6 ***)TC (113.8 ***)TC (78.81 ***)
May 2019 TC (−44.89 ***)LS (−49.84 ***)LS (−46.01 ***)LS (−46.61 ***)
May 2020 LS (52.93 ***)AO (26.07 ***)LS (48.94 ***)AO (56.75 ***)
July 2020AO (15.20 ***)AO (15.33 ***)
September 2020 LS (51.46 ***)AO (23.35 ***)LS (53.06 ***)LS (29.14 ***)
November 2020 TC (47.61 ***)LS (35.99 ***)LS (62.86 ***)
December 2020 TC (102.1 ***)TC (31.53 ***)TC (105.4 ***)
February 2021 AO (−227.6 ***)AO (−214.3 ***)AO (−220,0 ***)AO (−153.0 ***)
April 2021TC (−4.41 ***)AO (−6.48 ***)
July 2021 AO (−130.1 ***)TC (−184.2 ***)AO (−127.7 ***)TC (−201.6 ***)
September 2021 TC (182.4 ***)AO (104.2 ***)LS (207.2 ***)LS (100.3 ***)
November 2021 AO (225.6 ***)LS (152.4 ***)TC (227.5 ***)
December 2021 AO (730.4 ***)AO (424.3 ***)AO (594.0 ***)AO (365.7 ***)
January 2022 AO (−103.1 ***)AO (−395.4 ***)AO (−166.0 ***)AO (−469.2 ***)
March 2022 LS (561.7 ***)AO (268.7 ***)LS (587.8 ***)AO (442.7 ***)
May 2022 AO (−154.3 ***)AO (−128.5 ***)TC (−147.2 ***)
July 2022 TC (−207.4 ***)TC (−186.5 ***)TC (−230.8 ***)LS (−193.9 ***)
September 2022 AO (360.4 ***)AO (357.0 ***)AO (350.5 ***)AO (359.9 ***)
October 2022AO (−4.80 ***)AO (−4.53 ***)
November 2022 LS (128.3 ***)LS (119,44 ***)TC (141.8 ***)AO (68.41 ***)
January 2023AO (−10.04 ***)AO (−6.33 ***)
February 2023AO (−3.25 ***)AO (3.24 ***)
March 2023 AO (426.97 ***)AO (543.15 ***)AO (445.59 ***)AO (504.09 ***)
May 2023AO (7.95 ***)AO (14.35 ***) AO (231.07 ***)AO (277.99 ***)
June 2023 AO (454.16 ***)AO (585.15 ***)AO (486.72 ***)AO (516.32 ***)
October 2023LS (10.72 ***)LS (13.79 ***)
November 2023AO (10.42 ***)AO (10.32 ***)AO (312.29 ***)AO (510.85 ***)AO (311.73 ***)AO (556.92 ***)
January 2024 AO (−193.34 ***)AO (−310.97 ***)AO (−191.18 ***)AO (−386.69 ***)
February 2024AO (16.29 ***)LS (18.64 ***)
Note: LS—level shift; TC—temporary change; AO—additive outlier. Statistical significance at the following levels: ***—0.001; **—0.05; *—0.1.
Table 8. Outliers in the number of UBEVs registered in Poland between 2008 and 2024.
Table 8. Outliers in the number of UBEVs registered in Poland between 2008 and 2024.
DateUBEVs-IUBEVs-DUBEVs (General)
TRAMO-SEATSARIMA-X-12TRAMO-SEATSARIMA-X-12TRAMO-SEATSARIMA-X-12
June 2018 AO (8.82 ***)AO (5.04 ***)
November 2019 LS (5.64 ***)AO (11.98 ***)
January 2020 LS (21.74 ***)LS (24.07 ***)
March 2020LS (−15.03 ***)TC (−23.61 ***) TC (−42.12 ***)TC (−52.53 ***)
April 2020 AO (−18.23 ***)AO (−13.48 ***)
June 2020 LS (29.68 ***)AO (29.58 ***)
September 2020 AO (23.12 ***)TC (41.08 ***)LS (51.62 ***)TC (78.87 ***)
January 2021 AO (73.10 ***)AO (69.70 ***)AO (85.46 ***)LS (59.52 ***)
March 2021 LS (22.12 ***)LS (21.36 ***)
April 2021 LS (44.21 ***)LS (45.22 ***)LS (32.56 ***)AO (45.89 ***)
June 2021AO (23.19 ***)AO (32.49 ***)
September 2021LS (74.36 ***)LS (74.36 ***)TC (31.22 ***)TC (34.57 ***)LS (109.44 ***)LS (78.87 ***)
November 2021 TC (62.46 ***)TC (55.01 ***)
January 2022TC (−82.38 ***)TC (−82.38 ***)LS (−51.53 ***)LS (−48.55 ***)LS (−118.7 ***)LS (−168.9 ***)
March 2022LS (56.51 ***)TC (57.56 ***)LS (142.39 ***)LS (115.56 ***)LS (201.7 ***)LS (200.31 ***)
April 2022AO (−37.73 ***)AO (−22.64 ***) AO (−48.45 ***)TC (−38.09 ***)
June 2022 LS (10.82 ***)LS (28.44 ***)
August 2022TC (−39.30 ***)LS (−47.88 ***)LS (−37.99 ***)LS (−14.09 ***)LS (−88.71 ***)LS (−79.52 ***)
September 2022 TC (25.74 ***)
October 2022 AO (−17.91 ***)
November 2022 LS (−49.81 ***)TC (−50.77 ***)
December 2022 LS (24.69 ***)TC (−75.69 ***)AO (35.48 ***)
January 2023TC (−52.95 ***)LS (−80.01 ***) TC (−66.70 ***)
March 2023 LS (18.02 ***)
April 2023 AO (−105.28 ***)TC (−188.57 ***)
June 2023 LS (72.12 ***)LS (50.92 ***)
August 2023LS (57.95 ***)LS (4341 ***)
September 2023AO (−30.43 ***)TC (−27.99 ***)
March 2024LAO (82.99 ***)AO (59,66 ***) AO (23.51 ***)AO (81.46 ***)
Note: LS—level shift; TC—temporary change; AO—additive outlier. Statistical significance at the following levels: ***—0.001; **—0.05; *—0.1.
Disclaimer/Publisher’s Note: The statements, opinions and data contained in all publications are solely those of the individual author(s) and contributor(s) and not of MDPI and/or the editor(s). MDPI and/or the editor(s) disclaim responsibility for any injury to people or property resulting from any ideas, methods, instructions or products referred to in the content.

Share and Cite

MDPI and ACS Style

Olejarz, A.A.; Kędzior-Laskowska, M. How Much Progress Have We Made towards Decarbonization? Policy Implications Based on the Demand for Electric Cars in Poland. Energies 2024, 17, 4138. https://doi.org/10.3390/en17164138

AMA Style

Olejarz AA, Kędzior-Laskowska M. How Much Progress Have We Made towards Decarbonization? Policy Implications Based on the Demand for Electric Cars in Poland. Energies. 2024; 17(16):4138. https://doi.org/10.3390/en17164138

Chicago/Turabian Style

Olejarz, Aleksandra Alicja, and Małgorzata Kędzior-Laskowska. 2024. "How Much Progress Have We Made towards Decarbonization? Policy Implications Based on the Demand for Electric Cars in Poland" Energies 17, no. 16: 4138. https://doi.org/10.3390/en17164138

APA Style

Olejarz, A. A., & Kędzior-Laskowska, M. (2024). How Much Progress Have We Made towards Decarbonization? Policy Implications Based on the Demand for Electric Cars in Poland. Energies, 17(16), 4138. https://doi.org/10.3390/en17164138

Note that from the first issue of 2016, this journal uses article numbers instead of page numbers. See further details here.

Article Metrics

Back to TopTop