Research on an Intelligent Fault Diagnosis Method for Small Modular Reactors
Abstract
1. Introduction
2. Small Modular Reactor Simulator Introduction
2.1. System-Integrated Modular Advanced ReacTor
2.2. PCTRAN Software
2.3. SMR and PWR LOCA Accident Simulation Analysis
3. CNN-BILSTM Neural Network Model
3.1. CNN Neural Network
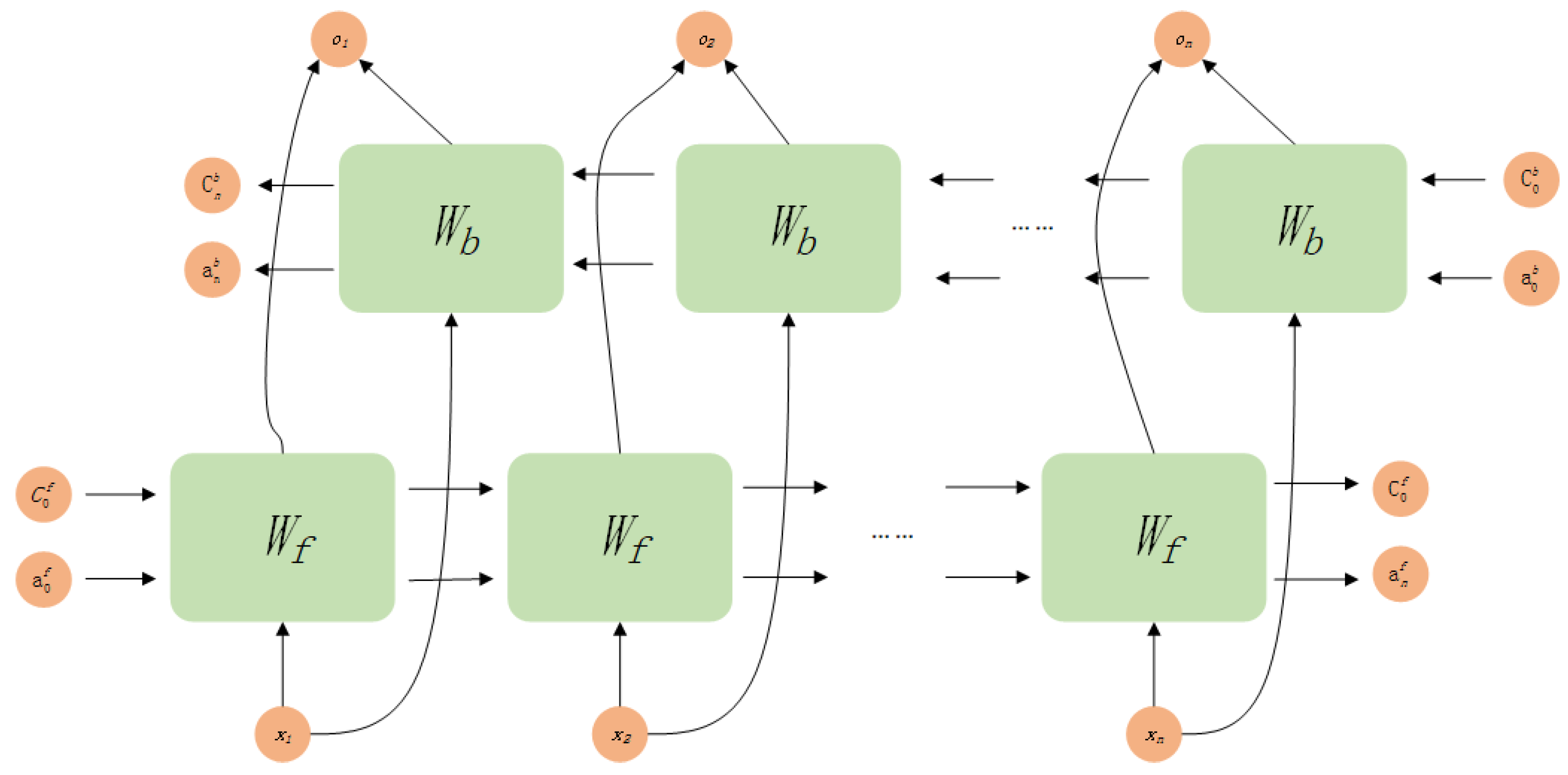
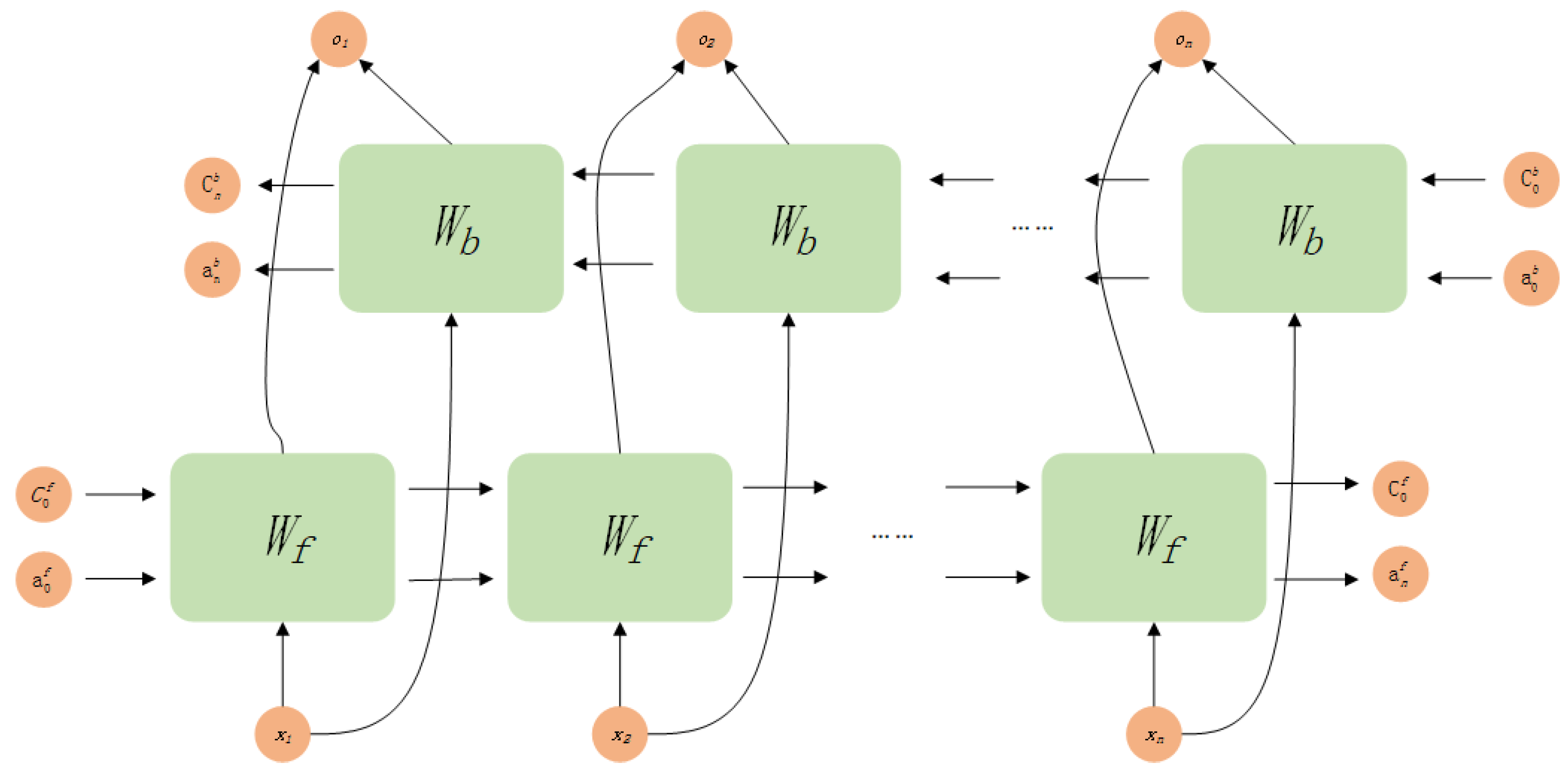
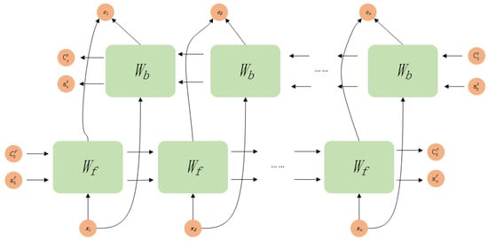
3.2. BiLSTM Neural Network
4. Nuclear Power Plant Accident Diagnosis
4.1. Data Preprocessing
4.2. Model Training and Prediction
4.3. Discussion
5. Conclusions
Author Contributions
Funding
Data Availability Statement
Conflicts of Interest
Abbreviations
| Abbreviations | Definitions |
| SMR | Small modular reactor |
| SMART | System-integrated Modular Advanced ReacTor |
| LOCA | Loss-of-coolant accident |
| CVCS | Chemical and Volume Control System |
| CDS | Shutdown Cooling System |
| SG | Steam generator |
| SI | Safety Injection |
| CS | Containment Spray |
| RPS | Reactor Protection System |
| ESFAS | Emergency Safety Features Actuation System |
| IRWST | In-Containment Refueling Water Storage Tank |
| KINS | Korea Institute of Nuclear Safety |
| KEPCO | Korea Electric Power Corporation |
| KHNP | Korea Hydro & Nuclear Power |
| PWR | Pressurized water reactor |
| CNN | Convolutional Neural Network |
| RNN | Recurrent Neural Network |
| LSTM | Long Short-Term Memory |
| BILSTM | Bidirectional Long Short-Term Memory |
References
- Locatelli, G.; Bingham, C.; Mancini, M. Small modular reactors: A comprehensive overview of their economics and strategic aspects. Prog. Nucl. Energy 2014, 73, 75–85. [Google Scholar] [CrossRef]
- Cooper, M. Small modular reactors and the future of nuclear power in the United States. Energy Res. Soc. Sci. 2014, 3, 161–177. [Google Scholar] [CrossRef]
- Shobeiri, E.; Genco, F.; Hoornweg, D.; Tokuhiro, A. Small modular reactor deployment and obstacles to Be overcome. Energies 2023, 16, 3468. [Google Scholar] [CrossRef]
- Zarębski, P.; Katarzyński, D. Small Modular Reactors (SMRs) as a Solution for Renewable Energy Gaps: Spatial Analysis for Polish Strategy. Energies 2023, 16, 6491. [Google Scholar] [CrossRef]
- Temiz, M.; Dincer, I. Development of a hybridized small modular reactor and solar-based energy system for useful commodities required for sustainable cities. Energy 2024, 286, 129562. [Google Scholar] [CrossRef]
- Vujić, J.; Bergmann, R.M.; Škoda, R.; Miletić, M. Small modular reactors: Simpler, safer, cheaper? Energy 2012, 45, 288–295. [Google Scholar] [CrossRef]
- Mignacca, B.; Locatelli, G. Economics and finance of Small Modular Reactors: A systematic review and research agenda. Renew. Sustain. Energy Rev. 2020, 118, 109519. [Google Scholar] [CrossRef]
- Zohuri, B.; McDaniel, P. Advanced Smaller Modular Reactors; Springer: Berlin/Heidelberg, Germany, 2019. [Google Scholar]
- Calle, V. Applicability of the IAEA Safety Standards to Non-Water-Cooled Reactors and Small Modular Reactors; International Atomic Energy Agency: Vienna, Austria, 2024. [Google Scholar]
- International Atomic Energy Agency. Instrumentation and Control Systems for Advanced Small Modular Reactors; International Atomic Energy Agency: Vienna, Austria, 2017. [Google Scholar]
- Bhowmik, P.K.; Perez, C.E.E.; Fishler, J.D.; Prieto, S.A.B.; Reichow, I.D.; Johnson, J.T.; Sabharwall, P.; O’Brien, J.E. Integral and separate effects test facilities to support water cooled small modular reactors: A review. Prog. Nucl. Energy 2023, 160, 104697. [Google Scholar] [CrossRef]
- Saeed, H.A.; Peng, M.; Wang, H.; Rasool, A. Autonomous control model for emergency operation of small modular reactor. Ann. Nucl. Energy 2023, 190, 109874. [Google Scholar] [CrossRef]
- Xie, W.; Atherton, J.; Bai, J.; Farazi, F.; Mosbach, S.; Akroyd, J.; Kraft, M. A nuclear future? Small Modular Reactors in a carbon tax-driven transition to clean energy. Appl. Energy 2024, 364, 123128. [Google Scholar] [CrossRef]
- Kim, K.K.; Lee, W.; Choi, S.; Kim, H.R.; Ha, J. SMART: The first licensed advanced integral reactor. J. Energy Power Eng. 2014, 8, 94. [Google Scholar]
- Liu, B.; Lei, J.; Xie, J.; Zhou, J. Development and Validation of a Nuclear Power Plant Fault Diagnosis System Based on Deep Learning. Energies 2022, 15, 8629. [Google Scholar] [CrossRef]
- Gu, H.; Liu, G.; Li, J.; Xie, H.; Wen, H. A Framework Based on Deep Learning for Predicting Multiple Safety-Critical Parameter Trends in Nuclear Power Plants. Sustainability 2023, 15, 6310. [Google Scholar] [CrossRef]
- Wang, L.; Sun, W.; Zhao, J.; Liu, D. A speed-governing system model with over-frequency protection for nuclear power generating units. Energies 2019, 13, 173. [Google Scholar] [CrossRef]
- Wang, L.; Zhao, J.; Liu, D.; Lin, Y.; Zhao, Y.; Lin, Z.; Zhao, T.; Lei, Y. Parameter identification with the random perturbation particle swarm optimization method and sensitivity analysis of an advanced pressurized water reactor nuclear power plant model for power systems. Energies 2017, 10, 173. [Google Scholar] [CrossRef]
- Lu, J.; Tan, L.; Jiang, H. Review on convolutional neural network (CNN) applied to plant leaf disease classification. Agriculture 2021, 11, 707. [Google Scholar] [CrossRef]
- Ren, C.; Li, H.; Lei, J.; Liu, J.; Li, W.; Gao, K.; Huang, G.; Yang, X.; Yu, T. A CNN-LSTM–Based Model to Fault Diagnosis for CPR1000. Nucl. Technol. 2023, 209, 1365–1372. [Google Scholar] [CrossRef]
- Salehi, A.W.; Khan, S.; Gupta, G.; Alabduallah, B.I.; Almjally, A.; Alsolai, H.; Siddiqui, T.; Mellit, A. A study of CNN and transfer learning in medical imaging: Advantages, challenges, future scope. Sustainability 2023, 15, 5930. [Google Scholar] [CrossRef]
- Santos, A.A.; Marcato Junior, J.; Araújo, M.S.; Di Martini, D.R.; Tetila, E.C.; Siqueira, H.L.; Aoki, C.; Eltner, A.; Matsubara, E.T.; Pistori, H.; et al. Assessment of CNN-based methods for individual tree detection on images captured by RGB cameras attached to UAVs. Sensors 2019, 19, 3595. [Google Scholar] [CrossRef]
- Tropea, M.; Fedele, G.; De Luca, R.; Miriello, D.; De Rango, F. Automatic stones classification through a CNN-based approach. Sensors 2022, 22, 6292. [Google Scholar] [CrossRef] [PubMed]
- Ghimire, S.; Deo, R.C.; Wang, H.; Al-Musaylh, M.S.; Casillas-Pérez, D.; Salcedo-Sanz, S. Stacked LSTM sequence-to-sequence autoencoder with feature selection for daily solar radiation prediction: A review and new modeling results. Energies 2022, 15, 1061. [Google Scholar] [CrossRef]
- Lei, J.; Ren, C.; Li, W.; Fu, L.; Li, Z.; Ni, Z.; Li, Y.; Liu, C.; Zhang, H.; Chen, Z.; et al. Prediction of crucial nuclear power plant parameters using long short-term memory neural networks. Int. J. Energy Res. 2022, 46, 21467–21479. [Google Scholar] [CrossRef]
- Siami-Namini, S.; Tavakoli, N.; Namin, A.S. The performance of LSTM and BiLSTM in forecasting time series. In Proceedings of the 2019 IEEE International Conference on Big Data (Big Data), Los Angeles, CA, USA, 9–12 December 2019; IEEE: Piscataway, NJ, USA, 2019; pp. 3285–3292. [Google Scholar]
- Lei, J.; Chen, Z.; Zhou, J.; Yang, C.; Ren, C.; Li, W.; Xie, C.; Ni, Z.; Huang, G.; Li, L.; et al. Research on the preliminary prediction of nuclear core design based on machine learning. Nucl. Technol. 2022, 208, 1223–1232. [Google Scholar] [CrossRef]
- Lei, J.C.; Zhou, J.D.; Zhao, Y.N.; Chen, Z.P.; Zhao, P.C.; Xie, C.; Ni, Z.N.; Yu, T.; Xie, J.S. Prediction of burn-up nucleus density based on machine learning. Int. J. Energy Res. 2021, 45, 14052–14061. [Google Scholar] [CrossRef]
- Rezaeian, N.; Gurina, R.; Saltykova, O.A.; Hezla, L.; Nohurov, M.; Kashyzadeh, K.R. Novel GA-Based DNN Architecture for Identifying the Failure Mode with High Accuracy and Analyzing Its Effects on the System. Appl. Sci. 2024, 14, 3354. [Google Scholar] [CrossRef]
- Lei, J.; Yang, C.; Ren, C.; Li, W.; Liu, C.; Sun, A.; Li, Y.; Chen, Z.; Yu, T. Development and validation of a deep learning-based model for predicting burnup nuclide density. Int. J. Energy Res. 2022, 46, 21257–21265. [Google Scholar] [CrossRef]
- AL-Ghamdi, M.; AL-Ghamdi AA, L.M.; Ragab, M. A Hybrid DNN Multilayered LSTM Model for Energy Consumption Prediction. Appl. Sci. 2023, 13, 11408. [Google Scholar] [CrossRef]
- Ren, C.; He, L.; Lei, J.; Liu, J.; Huang, G.; Gao, K.; Qu, H.; Zhang, Y.; Li, W.; Yang, X.; et al. Neutron transport calculation for the BEAVRS core based on the LSTM neural network. Sci. Rep. 2023, 13, 14670. [Google Scholar] [CrossRef] [PubMed]
- Aksan, F.; Li, Y.; Suresh, V.; Janik, P. CNN-LSTM vs. LSTM-CNN to predict power flow direction: A case study of the high-voltage subnet of northeast Germany. Sensors 2023, 23, 901. [Google Scholar] [CrossRef] [PubMed]
- Khorram, S.; Jehbez, N. A hybrid CNN-LSTM approach for monthly reservoir inflow forecasting. Water Resour. Manag. 2023, 37, 4097–4121. [Google Scholar] [CrossRef]
- Méndez, M.; Merayo, M.G.; Núñez, M. Long-term traffic flow forecasting using a hybrid CNN-BiLSTM model. Eng. Appl. Artif. Intell. 2023, 121, 106041. [Google Scholar] [CrossRef]
- Fu, G.; Wei, Q.; Yang, Y.; Li, C. Bearing fault diagnosis based on CNN-BiLSTM and residual module. Meas. Sci. Technol. 2023, 34, 125050. [Google Scholar] [CrossRef]












| Neural Network Model | Prediction Accuracy | Neural Network Model | Prediction Accuracy |
|---|---|---|---|
| CNN Model | 83.67% | CNN-LSTM Model | 92.67% |
| LSTM Model | 91.83% | CNN-BiLSTM Model | 97.33% |
Disclaimer/Publisher’s Note: The statements, opinions and data contained in all publications are solely those of the individual author(s) and contributor(s) and not of MDPI and/or the editor(s). MDPI and/or the editor(s) disclaim responsibility for any injury to people or property resulting from any ideas, methods, instructions or products referred to in the content. |
© 2024 by the authors. Licensee MDPI, Basel, Switzerland. This article is an open access article distributed under the terms and conditions of the Creative Commons Attribution (CC BY) license (https://creativecommons.org/licenses/by/4.0/).
Share and Cite
Ren, C.; Lei, J.; Liu, J.; Hong, J.; Hu, H.; Fang, X.; Yi, C.; Peng, Z.; Yang, X.; Yu, T. Research on an Intelligent Fault Diagnosis Method for Small Modular Reactors. Energies 2024, 17, 4049. https://doi.org/10.3390/en17164049
Ren C, Lei J, Liu J, Hong J, Hu H, Fang X, Yi C, Peng Z, Yang X, Yu T. Research on an Intelligent Fault Diagnosis Method for Small Modular Reactors. Energies. 2024; 17(16):4049. https://doi.org/10.3390/en17164049
Chicago/Turabian StyleRen, Changan, Jichong Lei, Jie Liu, Jun Hong, Hong Hu, Xiaoyong Fang, Cannan Yi, Zhiqiang Peng, Xiaohua Yang, and Tao Yu. 2024. "Research on an Intelligent Fault Diagnosis Method for Small Modular Reactors" Energies 17, no. 16: 4049. https://doi.org/10.3390/en17164049
APA StyleRen, C., Lei, J., Liu, J., Hong, J., Hu, H., Fang, X., Yi, C., Peng, Z., Yang, X., & Yu, T. (2024). Research on an Intelligent Fault Diagnosis Method for Small Modular Reactors. Energies, 17(16), 4049. https://doi.org/10.3390/en17164049

