Recycling and Reuse of Mn-Based Spinel Electrode from Spent Lithium-Ion Batteries
Abstract
1. Introduction
2. Experimental Procedure
2.1. Plasma Treatment of Used LIBs
2.2. Characterizations
2.3. Electrode Preparation and Electrochemical Characterizations
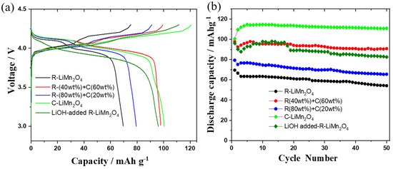
3. Results and Discussion
4. Conclusions
Supplementary Materials
Author Contributions
Funding
Data Availability Statement
Conflicts of Interest
References
- Innocenzi, V.; Prisciandaro, M. Technical feasibility of biodiesel production from virgin oil and waste cooking oil: Comparison between traditional and innovative process based on hydrodynamic cavitation. Waste Manag. 2021, 122, 15–25. [Google Scholar] [CrossRef] [PubMed]
- Ali, H.; Khan, H.A.; Pecht, M.G. Circular economy of Li Batteries: Technologies and trends. J. Energy Storage 2021, 40, 102690. [Google Scholar] [CrossRef]
- Yang, J.; Gu, F.; Guo, J. Environmental feasibility of secondary use of electric vehicle lithium-ion batteries in communication base stations. Resour. Conserv. Recycl. 2020, 156, 104713. [Google Scholar] [CrossRef]
- Armand, M.; Tarascon, J.-M. Building better batteries. Nature 2008, 451, 652–657. [Google Scholar] [CrossRef] [PubMed]
- Yoshino, A. The birth of the lithium-ion battery. Angew. Chem. Int. Ed. 2012, 51, 5798–5800. [Google Scholar] [CrossRef] [PubMed]
- Schmuch, R.; Wagner, R.; Hörpel, G.; Placke, T.; Winter, M. Performance and cost of materials for lithium-based rechargeable automotive batteries. Nat. Energy 2018, 3, 267–278. [Google Scholar] [CrossRef]
- Placke, T.; Kloepsch, R.; Dühnen, S.; Winter, M. Lithium ion, lithium metal, and alternative rechargeable battery technologies: The odyssey for high energy density. J. Solid State Electrochem. 2017, 21, 1939–1964. [Google Scholar] [CrossRef]
- Armand, M.; Axmann, P.; Bresser, D.; Copley, M.; Edström, K.; Ekberg, C.; Guyomard, D.; Lestriez, B.; Novák, P. Lithium-ion batteries–Current state of the art and anticipated developments. J. Power Sources 2020, 479, 228708. [Google Scholar] [CrossRef]
- Melin, H.E.; Rajaeifar, M.A.; Ku, A.Y.; Kendall, A.; Harper, G.; Heidrich, O. Global implications of the EU battery regulation. Science 2021, 373, 384–387. [Google Scholar] [CrossRef]
- Habib, K.; Hansdóttir, S.T.; Habib, H. Critical metals for electromobility: Global demand scenarios for passenger vehicles, 2015–2050. Resour. Conserv. Recycl. 2020, 154, 104603. [Google Scholar] [CrossRef]
- Costa, C.M.; Barbosa, J.C.; Gonçalves, R.; Castro, H.; Del Campo, F.; Lanceros-Méndez, S. Recycling and environmental issues of lithium-ion batteries: Advances, challenges and opportunities. Energy Storage Mater. 2021, 37, 433–465. [Google Scholar] [CrossRef]
- Shaqsi, A.Z.A.; Sopian, K.; Al-Hinai, A. Review of energy storage services, applications, limitations, and benefits. Energy Rep. 2020, 6, 288–306. [Google Scholar] [CrossRef]
- Altiparmak, S.O. China and lithium geopolitics in a changing global market. Chin. Political Sci. Rev. 2023, 8, 487–506. [Google Scholar] [CrossRef]
- Natarajan, S.; Aravindan, V. Burgeoning prospects of spent lithium-ion batteries in multifarious applications. Adv. Energy Mater. 2018, 8, 1802303. [Google Scholar] [CrossRef]
- Harper, G.; Sommerville, R.; Kendrick, E.; Driscoll, L.; Slater, P.; Stolkin, R.; Walton, A.; Christensen, P.; Heidrich, O.; Lambert, S. Recycling lithium-ion batteries from electric vehicles. Nature 2019, 575, 75–86. [Google Scholar] [CrossRef] [PubMed]
- Wanger, T.C. The Lithium future—Resources, recycling, and the environment. Conserv. Lett. 2011, 4, 202–206. [Google Scholar] [CrossRef]
- Sun, X.; Hao, H.; Zhao, F.; Liu, Z. Global lithium flow 1994–2015: Implications for improving resource efficiency and security. Environ. Sci. Technol. 2018, 52, 2827–2834. [Google Scholar] [CrossRef] [PubMed]
- Ellis, B.L.; Lee, K.T.; Nazar, L.F. Positive electrode materials for Li-ion and Li-batteries. Chem. Mater. 2010, 22, 691–714. [Google Scholar] [CrossRef]
- Diekmann, J.; Hanisch, C.; Froböse, L.; Schälicke, G.; Loellhoeffel, T.; Fölster, A.-S.; Kwade, A. Ecological recycling of lithium-ion batteries from electric vehicles with focus on mechanical processes. J. Electrochem. Soc. 2016, 164, A6184. [Google Scholar] [CrossRef]
- Kawamura, T.; Okada, S.; Yamaki, J.-I. Decomposition reaction of LiPF6-based electrolytes for lithium ion cells. J. Power Sources 2006, 156, 547–554. [Google Scholar] [CrossRef]
- Chen, Y.; Kang, Y.; Zhao, Y.; Wang, L.; Liu, J.; Li, Y.; Liang, Z.; He, X.; Li, X.; Tavajohi, N. A review of lithium-ion battery safety concerns: The issues, strategies, and testing standards. J. Energy Chem. 2021, 59, 83–99. [Google Scholar] [CrossRef]
- Dunn, J.B.; Gaines, L.; Sullivan, J.; Wang, M.Q. Impact of recycling on cradle-to-gate energy consumption and greenhouse gas emissions of automotive lithium-ion batteries. Environ. Sci. Technol. 2012, 46, 12704–12710. [Google Scholar] [CrossRef] [PubMed]
- Jing, W.; Jinglong, L.; Hui, L.; Dongbin, W. Status and prospects of treatment methods for valuable metals in spent lithium-ion battery. Hot Work. Technol. 2018, 22, 12–15. [Google Scholar]
- Lee, C.K.; Rhee, K.-I. Preparation of LiCoO2 from spent lithium-ion batteries. J. Power Sources 2002, 109, 17–21. [Google Scholar] [CrossRef]
- Fu, Y.; He, Y.; Li, J.; Qu, L.; Yang, Y.; Guo, X.; Xie, W. Improved hydrometallurgical extraction of valuable metals from spent lithium-ion batteries via a closed-loop process. J. Alloys Compd. 2020, 847, 156489. [Google Scholar] [CrossRef]
- Sloop, S.E.; Parker, R. System and Method for Processing an End-of-Life or Reduced Performance Energy Storage and/or Conversion Device Using a Supercritical Fluid. U.S. Patent 8067107B2, 29 November 2011. [Google Scholar]
- Li, X.; Zhang, J.; Song, D.; Song, J.; Zhang, L. Direct regeneration of recycled cathode material mixture from scrapped LiFePO4 batteries. J. Power Sources 2017, 345, 78–84. [Google Scholar] [CrossRef]
- Shi, Y.; Chen, G.; Liu, F.; Yue, X.; Chen, Z. Resolving the compositional and structural defects of degraded LiNixCoyMnzO2 particles to directly regenerate high-performance lithium-ion battery cathodes. ACS Energy Lett. 2018, 3, 1683–1692. [Google Scholar] [CrossRef]
- Gaines, L. The future of automotive lithium-ion battery recycling: Charting a sustainable course. Sustain. Mater. Technol. 2014, 1, 2–7. [Google Scholar] [CrossRef]
- Wei, G.; Liu, Y.; Jiao, B.; Chang, N.; Wu, M.; Liu, G.; Lin, X.; Weng, X.; Chen, J.; Zhang, L. Direct Recycling of Spent Li-ion Batteries: Challenges and Opportunities towards Practical Applications. iScience 2023, 26, 107676. [Google Scholar] [CrossRef]
- Ciez, R.E.; Whitacre, J. Examining different recycling processes for lithium-ion batteries. Nat. Sustain. 2019, 2, 148–156. [Google Scholar] [CrossRef]
- Meduri, P.; Pendyala, C.; Kumar, V.; Sumanasekera, G.U.; Sunkara, M.K. Hybrid tin oxide nanowires as stable and high capacity anodes for Li-ion batteries. Nano Lett. 2009, 9, 612–616. [Google Scholar] [CrossRef] [PubMed]
- Sunkara, S.; Vendra, V.K.; Kim, J.H.; Druffel, T.; Sunkara, M.K. Scalable synthesis and photoelectrochemical properties of copper oxide nanowire arrays and films. Catal. Today 2013, 199, 27–35. [Google Scholar] [CrossRef]
- Kumar, V.; Kim, J.H.; Jasinski, J.B.; Clark, E.L.; Sunkara, M.K. Alkali-assisted, atmospheric plasma production of titania nanowire powders and arrays. Cryst. Growth Des. 2011, 11, 2913–2919. [Google Scholar] [CrossRef]
- Nguyen, T.Q.; Atla, V.; Vendra, V.K.; Thapa, A.K.; Jasinski, J.B.; Druffel, T.L.; Sunkara, M.K. Scalable solvo-plasma production of porous tin oxide nanowires. Chem. Eng. Sci. 2016, 154, 20–26. [Google Scholar] [CrossRef]
- Ajayi, B.P.; Thapa, A.K.; Cvelbar, U.; Jasinski, J.B.; Sunkara, M.K. Atmospheric plasma spray pyrolysis of lithiated nickel-manganese-cobalt oxides for cathodes in lithium ion batteries. Chem. Eng. Sci. 2017, 174, 302–310. [Google Scholar] [CrossRef]
- Akram, M.Z.; Atla, V.; Nambo, A.; Ajayi, B.P.; Jasinski, J.B.; He, J.; Gong, J.R.; Sunkara, M. Low-temperature and fast kinetics for CO2 sorption using Li6WO6 nanowires. Nano Lett. 2018, 18, 4891–4899. [Google Scholar] [CrossRef]
- Lau, K.C.; Qiu, D.; Luo, X.; Greeley, J.; Curtiss, L.A.; Lu, J.; Amine, K. Theoretical exploration of various lithium peroxide crystal structures in a Li-air battery. Energies 2015, 8, 529–548. [Google Scholar] [CrossRef]
- Nam, K.-W.; Yoon, W.-S.; Shin, H.; Chung, K.Y.; Choi, S.; Yang, X.-Q. In situ X-ray diffraction studies of mixed LiMn2O4−LiNi1/3Co1/3Mn1/3O2 composite cathode in Li-ion cells during charge–discharge cycling. J. Power Sources 2009, 192, 652–659. [Google Scholar] [CrossRef]
- Jang, D.H.; Shin, Y.J.; Oh, S.M. Dissolution of spinel oxides and capacity losses in 4 V Li/LixMn2O4 cells. J. Electrochem. Soc. 1996, 143, 2204. [Google Scholar] [CrossRef]
- Nishimura, K.; Douzono, T.; Kasai, M.; Andou, H.; Muranaka, Y.; Kozono, Y. Spinel-type lithium–manganese oxide cathodes for rechargeable lithium batteries. J. Power Sources 1999, 81, 420–424. [Google Scholar] [CrossRef]
- Terada, Y.; Nishiwaki, Y.; Nakai, I.; Nishikawa, F. Study of Mn dissolution from LiMn2O4 spinel electrodes using in situ total reflection X-ray fluorescence analysis and fluorescence XAFS technique. J. Power Sources 2001, 97, 420–422. [Google Scholar] [CrossRef]
- Lu, C.-H.; Lin, S.-W. Dissolution kinetics of spinel lithium manganate and its relation to capacity fading in lithium ion batteries. J. Mater. Res. 2002, 17, 1476–1481. [Google Scholar] [CrossRef]
- Leung, K. First-principles modeling of Mn (II) migration above and dissolution from LixMn2O4 (001) surfaces. Chem. Mater. 2017, 29, 2550–2562. [Google Scholar] [CrossRef]
- Shilina, Y.; Ziv, B.; Meir, A.; Banerjee, A.; Ruthstein, S.; Luski, S.; Aurbach, D.; Halalay, I.C. Combined electron paramagnetic resonance and atomic absorption spectroscopy/inductively coupled plasma analysis as diagnostics for soluble manganese species from Mn-based positive electrode materials in Li-ion cells. Anal. Chem. 2016, 88, 4440–4447. [Google Scholar] [CrossRef]
- Banerjee, A.; Shilina, Y.; Ziv, B.; Ziegelbauer, J.M.; Luski, S.; Aurbach, D.; Halalay, I.C. On the oxidation state of manganese ions in Li-ion battery electrolyte solutions. J. Am. Chem. Soc. 2017, 139, 1738–1741. [Google Scholar] [CrossRef] [PubMed]
- Han, X.; Ouyang, M.; Lu, L.; Li, J.; Zheng, Y.; Li, Z. A comparative study of commercial lithium ion battery cycle life in electrical vehicle: Aging mechanism identification. J. Power Sources 2014, 251, 38–54. [Google Scholar] [CrossRef]
- Zhan, C.; Lu, J.; Jeremy Kropf, A.; Wu, T.; Jansen, A.N.; Sun, Y.-K.; Qiu, X.; Amine, K. Mn (II) deposition on anodes and its effects on capacity fade in spinel lithium manganate–carbon systems. Nat. Commun. 2013, 4, 2437. [Google Scholar] [CrossRef] [PubMed]
- Hawley, W.B.; Parejiya, A.; Bai, Y.; Meyer, H.M., III; Wood, D.L., III; Li, J. Lithium and transition metal dissolution due to aqueous processing in lithium-ion battery cathode active materials. J. Power Sources 2020, 466, 228315. [Google Scholar] [CrossRef]
- Gao, H.; Yan, Q.; Xu, P.; Liu, H.; Li, M.; Liu, P.; Luo, J.; Chen, Z. Efficient direct recycling of degraded LiMn2O4 cathodes by one-step hydrothermal relithiation. ACS Appl. Mater. Interfaces 2020, 12, 51546–51554. [Google Scholar] [CrossRef]
- Bang, H.J.; Donepudi, V.; Prakash, J. Preparation and characterization of partially substituted LiMyMn2−yO4 (M=Ni, Co, Fe) spinel cathodes for Li-ion batteries. Electrochim. Acta 2002, 48, 443–451. [Google Scholar] [CrossRef]
- Liu, W.; Farrington, G.; Chaput, F.; Dunn, B. Synthesis and electrochemical studies of spinel phase LiMn2O4 cathode materials prepared by the Pechini process. J. Electrochem. Soc. 1996, 143, 879. [Google Scholar] [CrossRef]
- Hashem, A.; Abdel-Ghany, A.; Abuzeid, H.; El-Tawil, R.; Indris, S.; Ehrenberg, H.; Mauger, A.; Julien, C. EDTA as chelating agent for sol-gel synthesis of spinel LiMn2O4 cathode material for lithium batteries. J. Alloys Compd. 2018, 737, 758–766. [Google Scholar] [CrossRef]
- Xia, Y.; Yoshio, M. An investigation of lithium ion insertion into spinel structure li-mn-o compounds. J. Electrochem. Soc. 1996, 143, 825. [Google Scholar] [CrossRef]
- Huang, W.; Wang, G.; Luo, C.; Xu, Y.; Xu, Y.; Eckstein, B.J.; Chen, Y.; Wang, B.; Huang, J.; Kang, Y. Controllable growth of LiMn2O4 by carbohydrate-assisted combustion synthesis for high performance Li-ion batteries. Nano Energy 2019, 64, 103936. [Google Scholar] [CrossRef]
- Li, L.; Fan, E.; Guan, Y.; Zhang, X.; Xue, Q.; Wei, L.; Wu, F.; Chen, R. Sustainable recovery of cathode materials from spent lithium-ion batteries using lactic acid leaching system. ACS Sustain. Chem. Eng. 2017, 5, 5224–5233. [Google Scholar] [CrossRef]
- Palaniyandy, N.; Rambau, K.; Musyoka, N.; Ren, J. A facile segregation process and restoration of LiMn2O4 cathode material from spent lithium-ion batteries. J. Electrochem. Soc. 2020, 167, 090510. [Google Scholar] [CrossRef]
- Lin, J.; Fan, E.; Zhang, X.; Li, Z.; Dai, Y.; Chen, R.; Wu, F.; Li, L. Sustainable upcycling of spent lithium-ion batteries cathode materials: Stabilization by in situ Li/Mn disorder. Adv. Energy Mater. 2022, 12, 2201174. [Google Scholar] [CrossRef]








Disclaimer/Publisher’s Note: The statements, opinions and data contained in all publications are solely those of the individual author(s) and contributor(s) and not of MDPI and/or the editor(s). MDPI and/or the editor(s) disclaim responsibility for any injury to people or property resulting from any ideas, methods, instructions or products referred to in the content. |
© 2024 by the authors. Licensee MDPI, Basel, Switzerland. This article is an open access article distributed under the terms and conditions of the Creative Commons Attribution (CC BY) license (https://creativecommons.org/licenses/by/4.0/).
Share and Cite
Thapa, A.K.; Nouduri, A.C.; Mohiuddin, M.; Reddy Kannapu, H.P.; Bai, L.; Wang, H.; Sunkara, M.K. Recycling and Reuse of Mn-Based Spinel Electrode from Spent Lithium-Ion Batteries. Energies 2024, 17, 3996. https://doi.org/10.3390/en17163996
Thapa AK, Nouduri AC, Mohiuddin M, Reddy Kannapu HP, Bai L, Wang H, Sunkara MK. Recycling and Reuse of Mn-Based Spinel Electrode from Spent Lithium-Ion Batteries. Energies. 2024; 17(16):3996. https://doi.org/10.3390/en17163996
Chicago/Turabian StyleThapa, Arjun K., Abhinav C. Nouduri, Mohammed Mohiuddin, Hari Prasad Reddy Kannapu, Lihui Bai, Hui Wang, and Mahendra K. Sunkara. 2024. "Recycling and Reuse of Mn-Based Spinel Electrode from Spent Lithium-Ion Batteries" Energies 17, no. 16: 3996. https://doi.org/10.3390/en17163996
APA StyleThapa, A. K., Nouduri, A. C., Mohiuddin, M., Reddy Kannapu, H. P., Bai, L., Wang, H., & Sunkara, M. K. (2024). Recycling and Reuse of Mn-Based Spinel Electrode from Spent Lithium-Ion Batteries. Energies, 17(16), 3996. https://doi.org/10.3390/en17163996

