Spark Timing Optimization through Co-Simulation Analysis in a Spark Ignition Engine
Abstract
1. Introduction
2. Materials and Methods
2.1. Experimental Setup
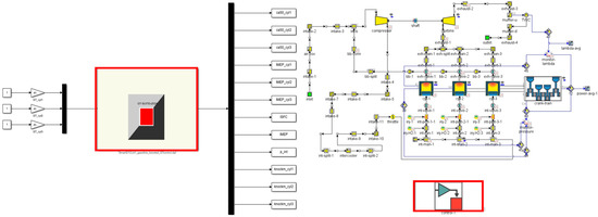
2.2. 1-D Engine Model
2.3. Spark Timing Optimization
3. Results and Discussion
3.1. Engine Model Validation
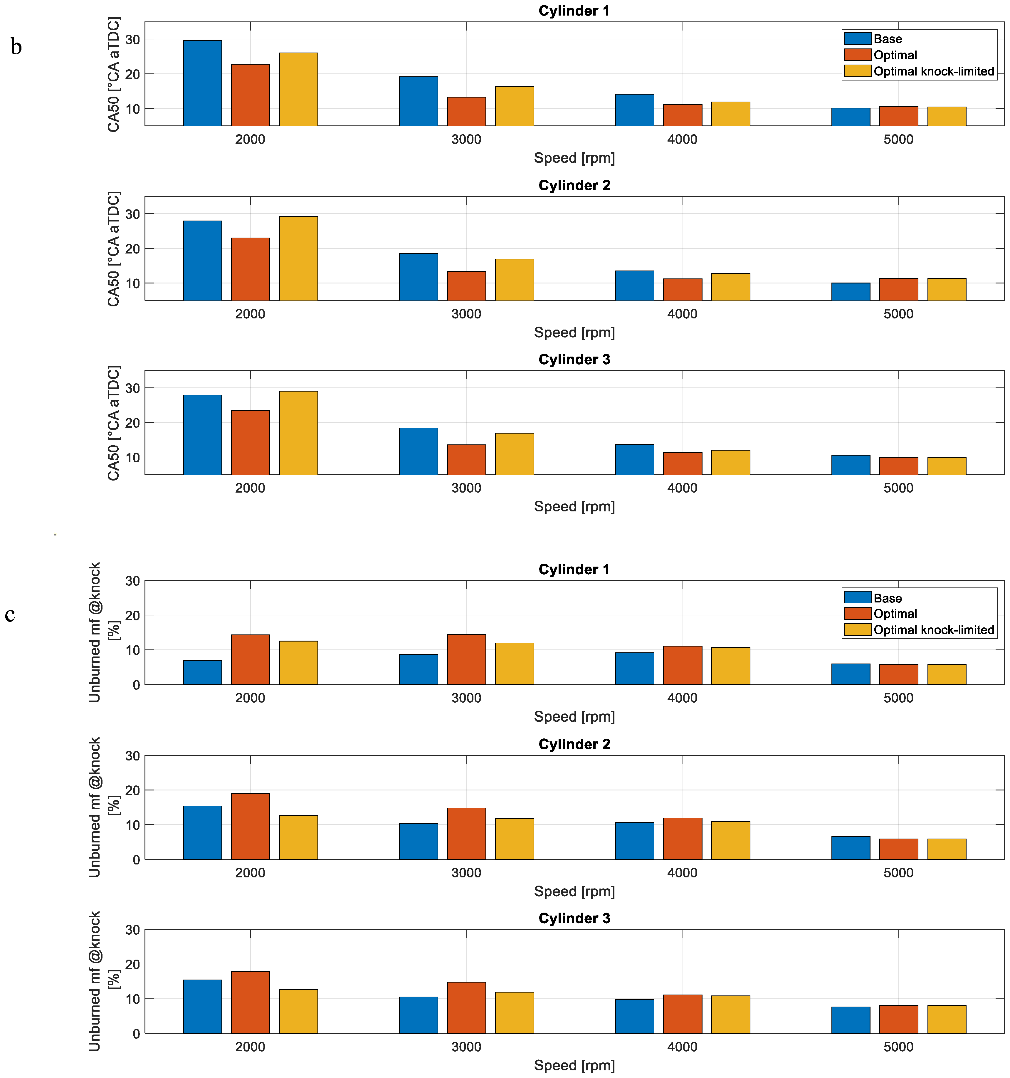
3.2. Spark Timing Optimization at Full Load
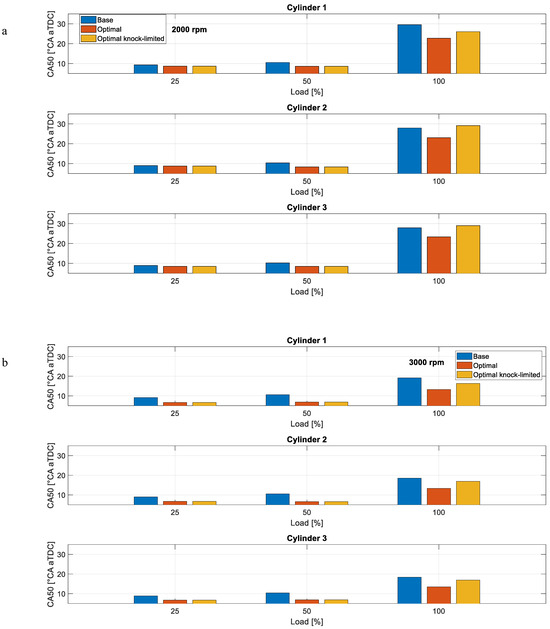
3.3. Effect of Load Reduction
4. Conclusions and Future Developments
Author Contributions
Funding
Data Availability Statement
Conflicts of Interest
Nomenclature
| Abbreviations | |
| aTDC | After top dead center |
| BEV | Battery electric vehicle |
| bTDC | Before top dead center |
| CNG | Compressed natural gas |
| DOI | Duration of injection |
| ECU | Engine control unit |
| ICE | Internal combustion engine |
| IMEP | Indicated mean effective pressure |
| ISFC | Indicated specific fuel consumption |
| IVC | Intake valve closing |
| KLSA | Knock-limited spark advance |
| OEM | Original equipment manufacturer |
| PFI | Port fuel injection |
| PID | Proportional integral derivative |
| SI | Spark ignition |
| ST | Spark timing |
| WOT | Wide open throttle |
| ZEV | Zero-emission vehicle |
| Symbols | |
| CA50 | Crank angle at the 50% of burned fuel [°CA aTDC] |
| c | Constraint applied to the penalty function |
| Fobj | Objective function to be minimized |
| umfknock | Unburned fuel mass fraction at knock onset |
References
- Commission Regulation (EU). Regulation (EU) No 443/2009 of the European Parliament and of the Council. 2009. Available online: https://eur-lex.europa.eu/eli/reg/2009/443/oj (accessed on 12 October 2022).
- The International Council of Clean Transport. ICCT’s Comments and Technical Recommendations on Future EURO 7/VII Emission Standards. Available online: https://theicct.org/sites/default/files/eu-commission-euro-7-and-VI-may2021.pdf (accessed on 23 July 2024).
- European Council. Fit for 55 Package: Council Reaches General Approaches Relating to Emissions Reductions and Their Social Impacts. Available online: https://www.consilium.europa.eu/en/press/press-releases/2022/06/29/fit-for-55-council-reaches-general-approaches-relating-to-emissions-reductions-and-removals-and-their-social-impacts (accessed on 28 March 2024).
- Kalghatgi, G. Is it really the end of internal combustion engines and petroleum in transport? Appl. Energy 2018, 225, 965–974. [Google Scholar] [CrossRef]
- Boretti, A. Hydrogen internal combustion engines to 2030. Int. J. Hydrogen Energy 2020, 45, 23692–23703. [Google Scholar] [CrossRef]
- Verhelst, S.; Wallner, T. Hydrogen-fueled internal combustion engines. Prog. Energy Combust. Sci. 2009, 35, 490–527. [Google Scholar] [CrossRef]
- Onorati, A.; Payri, R.; Vaglieco, B.; Agarwal, A.; Bae, C.; Bruneaux, G.; Canakci, M.; Gavaises, M.; Günthner, M.; Hasse, C.; et al. The role of hydrogen for future internal combustion engines. Int. J. Engine Res. 2022, 23, 529–540. [Google Scholar] [CrossRef]
- Heywood, J.B. Internal Combustion Engine Fundamentals; McGraw-Hill Education: New York, NY, USA, 2018. [Google Scholar]
- Shi, X.; Ryu, J.I.; Chen, J.-Y.; Dibble, R.W. Modes of reaction front propagation and end-gas combustion of hydrogen/air mixtures in a closed chamber. Int. J. Hydrogen Energy 2017, 42, 10501–10512. [Google Scholar] [CrossRef]
- Verhelst, S. Recent progress in the use of hydrogen as a fuel for internal combustion engines. Int. J. Hydrogen Energy 2014, 39, 1071–1085. [Google Scholar] [CrossRef]
- Di Ilio, G.; Bella, G.; Jannelli, E. Performance Evaluation of Extended-Range Electric Vehicles Equipped with Hydrogen-Fueled Rotary Engine; SAE Technical Papers; SAE International: Warrendale, PA, USA, 2020. [Google Scholar] [CrossRef]
- Frasci, E.; Cervone, D.; Nacci, G.; Sementa, P.; Arsie, I.; Jannelli, E.; Vaglieco, B.M. Energy and Pollutants Analysis of a Series HEV Equipped with a Hydrogen-Fueled SI Engine; SAE Technical Papers; SAE International: Warrendale, PA, USA, 2023. [Google Scholar] [CrossRef]
- Frasci, E.; Sementa, P.; Arsie, I.; Jannelli, E.; Vaglieco, B.M. Experimental and numerical investigation of the impact of the pure hydrogen fueling on fuel consumption and NOx emissions in a small DI SI engine. Int. J. Engine Res. 2023, 24, 3574–3587. [Google Scholar] [CrossRef]
- Verhelst, S.; Turner, J.W.; Sileghem, L.; Vancoillie, J. Methanol as a Fuel for Internal Combustion Engines; Elsevier Ltd.: Amsterdam, The Netherlands, 2019. [Google Scholar] [CrossRef]
- Pearson, R.J.; Eisaman, M.D.; Turner, J.W.G.; Edwards, P.P.; Jiang, Z.; Kuznetsov, V.L.; Littau, K.A.; Di Marco, L.; Taylor, S.R.G. Energy Storage via Carbon-Neutral Fuels Made from CO2, Water, and Renewable Energy. Proc. IEEE 2011, 100, 440–460. [Google Scholar] [CrossRef]
- Cardona, C.A.; Sánchez, Ó.J. Fuel ethanol production: Process design trends and integration opportunities. Bioresour. Technol. 2007, 98, 2415–2457. [Google Scholar] [CrossRef]
- Yates, A.; Bell, A.; Swarts, A. Insights relating to the autoignition characteristics of alcohol fuels. Fuel 2009, 89, 83–93. [Google Scholar] [CrossRef]
- Li, J.; Gong, C.-M.; Su, Y.; Dou, H.-L.; Liu, X.-J. Effect of injection and ignition timings on performance and emissions from a spark-ignition engine fueled with methanol. Fuel 2010, 89, 3919–3925. [Google Scholar] [CrossRef]
- Iodice, P.; Langella, G.; Amoresano, A. Ethanol in gasoline fuel blends: Effect on fuel consumption and engine out emissions of SI engines in cold operating conditions. Appl. Therm. Eng. 2018, 130, 1081–1089. [Google Scholar] [CrossRef]
- Yoo, J.; Lee, T.; Go, P.; Cho, Y.; Choi, K.; Park, Y. An experimental study on optimal spark timing control for improved performance of a flex fuel vehicle engine. Proc. Inst. Mech. Eng. Part D J. Automob. Eng. 2019, 234, 1294–1303. [Google Scholar] [CrossRef]
- Gong, C.; Zhang, Z.; Sun, J.; Liu, F. Optimization on timings of injection and spark of a high compres-sion-ratio stratified-charge methanol engine under ultra-lean burn. Fuel 2021, 285, 119227. [Google Scholar] [CrossRef]
- Irimescu, A.; Vaglieco, B.M.; Merola, S.; Zollo, V.; De Marinis, R. Conversion of a Small Size Passenger Car to Hydrogen Fueling: Focus on Rated Power and Injection Phasing Effects; SAE Technical Papers; SAE International: Warrendale, PA, USA, 2022. [Google Scholar] [CrossRef]
- Irimescu, A.; Vaglieco, B.M.; Merola, S.S.; Zollo, V.; De Marinis, R. Conversion of a Small-Size Passenger Car to Hydrogen Fueling: Simulation of CCV and Evaluation of Cylinder Imbalance. Machines 2023, 11, 135. [Google Scholar] [CrossRef]
- Irimescu, A.; Vaglieco, B.M.; Merola, S.S.; Zollo, V.; De Marinis, R. Conversion of a Small-Size Passenger Car to Hydrogen Fueling: 0D/1D Simulation of EGR and Related Flow Limitations. Appl. Sci. 2024, 14, 844. [Google Scholar] [CrossRef]
- Ortiz-Soto, E.; Assanis, D.; Babajimopoulos, A. A comprehensive engine to drive-cycle modelling framework for the fuel economy assessment of advanced engine and combustion technologies. Int. J. Engine Res. 2011, 13, 287–304. [Google Scholar] [CrossRef]
- Arsie, I.; Criscuolo, I.; De Simio, L.; Iannaccone, S. Optimization of Control Parameters for a Heavy-Duty CNG Engine via Co-Simulation Analysis. In SAE 2011 World Congress and Exhibition; SAE International: Warrendale, PA, USA, 2011. [Google Scholar] [CrossRef]
- Gamma Technologies. GT-Power Engine Performance Analysis Manual, Version v2024; Gamma Technologies: Westmont, IL, USA, 2024. [Google Scholar]
- Capata, R.; Sciubba, E. Use of modified Balje maps in the design of low Reynolds number turbocompressors. In Proceedings of the 2012 ASME International Mechanical Engineering Congress and Exposition, Houston, TX, USA, 9–15 November 2012. [Google Scholar] [CrossRef]
- Cuturi, N.; Sciubba, E. Design of a Tandem Compressor for the Electrically-Driven Turbocharger of a Hybrid City Car. Energies 2021, 14, 2890. [Google Scholar] [CrossRef]
- Irimescu, A.; Cecere, G.; Sementa, P. Combustion Phasing Indicators for Optimized Spark Timing Settings for Methane-Hydrogen Powered Small Size Engines; SAE Technical Papers; SAE International: Warrendale, PA, USA, 2022. [Google Scholar] [CrossRef]
- Irimescu, A.; Catapano, F.; Di Iorio, S.; Merola, S.; Sementa, P.; Vaglieco, B.M. Quasi-Dimensional Simulation of Downsizing and Inverter Application for Efficient Part Load Operation of Spark Ignition Engine Driven Micro-Cogeneration Systems; SAE Technical Papers; SAE International: Warrendale, PA, USA, 2018. [Google Scholar] [CrossRef]
- Perini, F.; Paltrinieri, F.; Mattarelli, E. A quasi-dimensional combustion model for performance and emissions of SI engines running on hydrogen–methane blends. Int. J. Hydrogen Energy 2010, 35, 4687–4701. [Google Scholar] [CrossRef]
- Frasci, E.; Sementa, P.; Arsie, I.; Jannelli, E.; Vaglieco, B.M. Experimental and Numerical Investigation of a Lean SI Engine to Be Operated as Range Extender for Hybrid Powertrains; SAE Technical Papers; SAE International: Warrendale, PA, USA, 2021. [Google Scholar] [CrossRef]
- Douaud, A.; Eyzat, P. Four-Octane-Number Method for Predicting the Anti-Knock Behavior of Fuels and Engines; SAE Technical Papers; SAE International: Warrendale, PA, USA, 1978. [Google Scholar] [CrossRef]
- Nelder, J.A.; Mead, R. A Simplex Method for Function Minimization. Comput. J. 1965, 7, 308–313. [Google Scholar] [CrossRef]
- Olsson, D.M.; Nelson, L.S. The Nelder-Mead Simplex Procedure for Function Minimization. Technometrics 1975, 17, 45–51. [Google Scholar] [CrossRef]
- Lagarias, J.C.; Reeds, J.A.; Wright, M.H.; Wright, P.E. Convergence Properties of the Nelder--Mead Simplex Method in Low Dimensions. SIAM J. Optim. 1998, 9, 112–147. [Google Scholar] [CrossRef]
- Kalghatgi, G. Knock onset, knock intensity, superknock and preignition in spark ignition engines. Int. J. Engine Res. 2018, 19, 7–20. [Google Scholar] [CrossRef]
- Ghandhi, J.; Kim, K.S. A Statistical Description of Knock Intensity and Its Prediction; SAE Technical Papers; SAE International: Warrendale, PA, USA, 2017. [Google Scholar] [CrossRef]
- Li, T.; Yin, T.; Wang, B. A phenomenological model of knock intensity in spark-ignition engines. Energy Convers. Manag. 2017, 148, 1233–1247. [Google Scholar] [CrossRef]















| Description | |
|---|---|
| Displacement [cm3] | 599 |
| Number of cylinders [-] | 3 in-line |
| Rated power [kW] | 40 (@ 5250 rpm) |
| Rated torque [Nm] | 80 (@ 2000–4000 rpm) |
| Bore [mm] | 63.5 |
| Stroke [mm] | 63 |
| Connecting rod length [mm] | 114 mm |
| Compression ratio [-] | 9.5 |
| Number of valves per cylinder [-] | 2 |
| Intake valve opening/closure | 363/164 °CA bTDC |
| Exhaust valve opening/closure | 157/349 °CA a/bTDC |
| Injection system | Port fuel injection at 3.5 bar for gasoline and 5 bar for hydrogen |
| Ignition | Inductive discharge; 2 spark plugs per cylinder |
Disclaimer/Publisher’s Note: The statements, opinions and data contained in all publications are solely those of the individual author(s) and contributor(s) and not of MDPI and/or the editor(s). MDPI and/or the editor(s) disclaim responsibility for any injury to people or property resulting from any ideas, methods, instructions or products referred to in the content. |
© 2024 by the authors. Licensee MDPI, Basel, Switzerland. This article is an open access article distributed under the terms and conditions of the Creative Commons Attribution (CC BY) license (https://creativecommons.org/licenses/by/4.0/).
Share and Cite
Arsie, I.; Frasci, E.; Irimescu, A.; Merola, S.S. Spark Timing Optimization through Co-Simulation Analysis in a Spark Ignition Engine. Energies 2024, 17, 3695. https://doi.org/10.3390/en17153695
Arsie I, Frasci E, Irimescu A, Merola SS. Spark Timing Optimization through Co-Simulation Analysis in a Spark Ignition Engine. Energies. 2024; 17(15):3695. https://doi.org/10.3390/en17153695
Chicago/Turabian StyleArsie, Ivan, Emmanuele Frasci, Adrian Irimescu, and Simona Silvia Merola. 2024. "Spark Timing Optimization through Co-Simulation Analysis in a Spark Ignition Engine" Energies 17, no. 15: 3695. https://doi.org/10.3390/en17153695
APA StyleArsie, I., Frasci, E., Irimescu, A., & Merola, S. S. (2024). Spark Timing Optimization through Co-Simulation Analysis in a Spark Ignition Engine. Energies, 17(15), 3695. https://doi.org/10.3390/en17153695

