Two-Stage Optimal Scheduling for Urban Snow-Shaped Distribution Network Based on Coordination of Source-Network-Load-Storage †
Abstract
1. Introduction
- (1)
- In the day-ahead stage, the model is developed to minimize operation costs and load imbalances, which takes into account network reconfiguration, energy storage, and flexible load. The optimization runs at 1 h intervals to obtain dynamic reconfiguration schemes and economic scheduling.
- (2)
- In the intra-day phase, the optimal interval is 15 min, and the rolling optimization correction is carried out to minimize operational costs and power adjustment penalty costs, improving the accuracy of scheduling and finely regulating and controlling the output of ESSs and FL.
- (3)
- The results confirm that the proposed method maximizes the advantages of load transfer and source-network-load-storage coordination potential in SDNs. And it fully utilizes the synergistic flexible regulating characteristics of ESSs and FL, which effectively cope with the uncertainties of source and load.
2. Snow-Shaped Distribution Network
3. Two-Stage Optimal Scheduling Framework
- (1)
- Day-ahead optimal scheduling
- (2)
- Intra-day rolling optimization based on model predictive control
4. Day-Ahead Optimal Scheduling Model
4.1. Objective Function
4.2. Constraints
- (1)
- Power flow constraints
- (2)
- Power balance constraints
- (3)
- Node voltage limit constraints
- (4)
- Current constraints
- (5)
- Dynamic reconfiguration constraints
- (6)
- Switching action count constraints
- (7)
- Energy storage constraints
- (8)
- Flexible load constraints
5. Intra-Day Rolling Optimal Scheduling Model
5.1. The Rolling Optimization Model
- (1)
- Costs of purchasing electricity
- (2)
- Energy storage dispatch operating costs
- (3)
- Flexible load dispatch operating costs
- (4)
- Penalty costs for the deviations from day-ahead scheduling values
5.2. Feedback Correction Process
6. Solution Methodology
7. Case Study
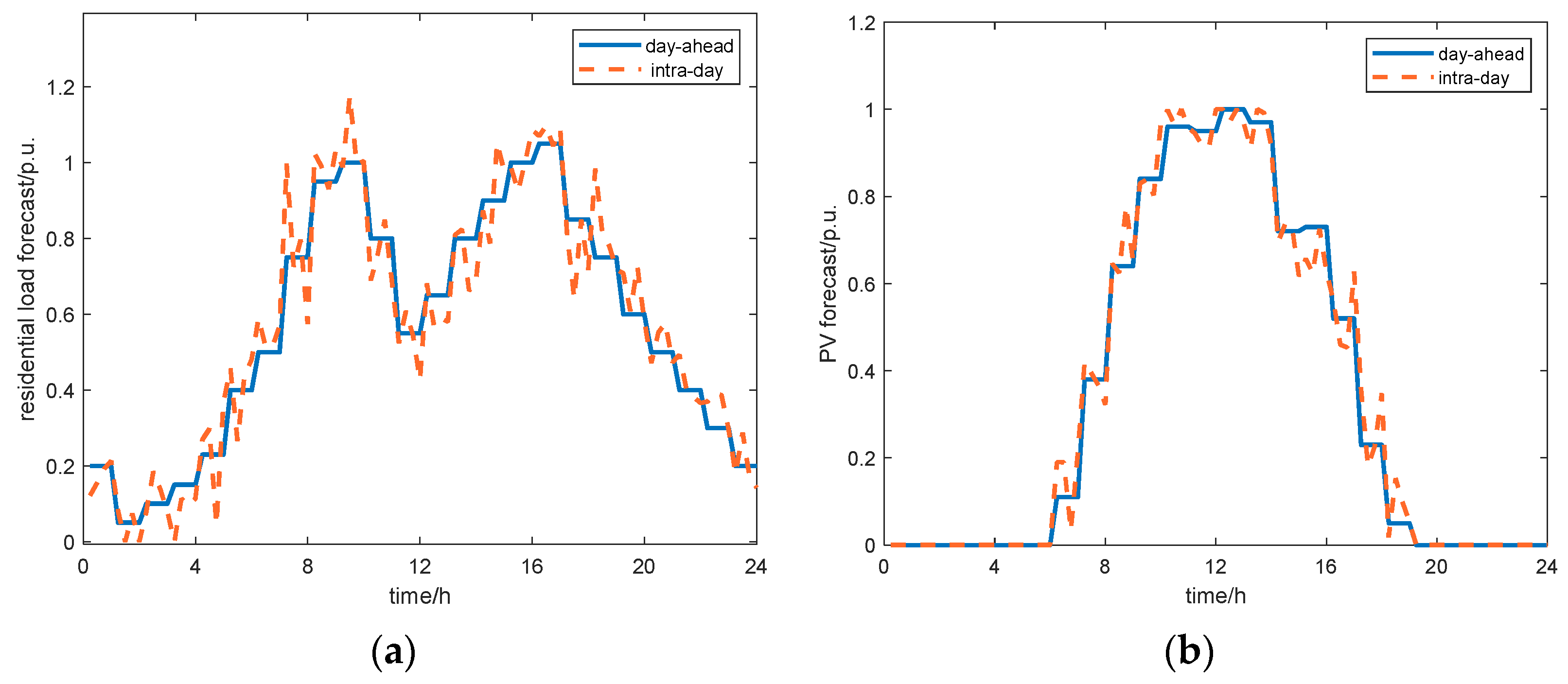
7.1. Case Introduction
7.2. Result Analysis
7.2.1. Day-Ahead Optimal Scheduling Results
7.2.2. Intra-Day Rolling Optimal Scheduling Results
8. Conclusions
- (1)
- During the day-ahead optimal scheduling stage, dynamic reconfiguration is employed to alter the status of contact switches and sectional switches for load transfer. This improves system load balance, taps into the snow-shaped distribution network’s power supply potential, and enhances system stability. Simultaneously, energy storage and flexible loads are considered to cooperate with power, avoiding frequent switch operations.
- (2)
- The intra-day rolling optimization stage is based on MPC to adjust the day-ahead optimal scheduling, regulate energy storage and flexible load output in a more refined way, and accurately track the planned feeder power output from the day-ahead stage. This helps to effectively address the uncertainties in new energy and load variations, ensuring the scheduling plan’s reasonableness.
- (3)
- The snow-shaped distribution network structure proposed in this paper is flexible and reliable. Taking advantage of intra-station and inter-station connections, it enables extensive load transfer, bolsters the precision of urban distribution network operations, and accommodates the high penetration of distributed power sources, flexible loads, energy storage, and other new elements for versatile integration.
Author Contributions
Funding
Data Availability Statement
Acknowledgments
Conflicts of Interest
Abbreviations
| Abbreviations | ||
| SDN | snow-shaped distribution network | |
| ESS | energy storage system | |
| FL | flexible load | |
| DRs | distributed resources | |
| SP | stochastic programming | |
| MPC | model predictive control | |
| ADN | active distribution network | |
| MINLP | mixed-integer nonlinear programming | |
| MISOCP | mixed-integer second-order cone programming | |
| Symbols | ||
| FDA | the total objective function | |
| Fenc | the total economic operation cost | |
| Fbal | the load balancing degree | |
| the initial operating cost | ||
| the initial load balancing degree | ||
| ω1 | the weight of the total economic operation cost | |
| ω2 | the weight of the load balancing degree | |
| CEXT | the cost of purchasing electricity in the day-ahead stage | |
| CESS | the cost of ESS dispatching in the day-ahead stage | |
| CDR | the cost of FL dispatching in the day-ahead stage | |
| CNR | the cost of switch actions in dynamic reconfiguration in the day-ahead stage | |
| ψEXT | the node set of the loop network connected with the upper substation | |
| ψESS | the node set of the loop network connected with ESS | |
| ψDR | the node set of the loop network connected with FL | |
| ψNR | the set of branches that can participate in dynamic reconfiguration | |
| λ | the electricity price | |
| PEXT,i | the purchased electric power at ring node i | |
| PESS,ch,i | the charging power of ESS in the day-ahead stage | |
| PESS,dis,i | the discharging power of ESS in the day-ahead stage | |
| PDR,i | the amount of load reduction at ring node i | |
| Δt | the time step in the day-ahead stage | |
| T | the total period of the time horizon in the day-ahead stage | |
| λESS | the unit operating cost of electricity for ESS | |
| λDR | the unit reimbursement cost of electricity for FL | |
| λNR | the unit cost of switching operations | |
| BNR | the number of switching operations | |
| Sij | the apparent power of branch ij | |
| Sij,max | the maximum apparent power of branch ij | |
| Pij | the active power flowing from ring node i to ring node j | |
| Qij | the reactive power flowing from ring node i to ring node j | |
| Ωl | the set of all branches | |
| aij | the switch casting state on branch ij | |
| Ωin,j | the sets of ring nodes in SDN with node j as the end ring node | |
| Ωout,j | the sets of ring nodes in SDN with node j as the first ring node | |
| Uj | the voltage magnitude at ring node j | |
| Pj | the active power injected at ring node j | |
| Qj | the reactive power injected at ring node j | |
| Rij | the resistance magnitude of branch ij | |
| Xij | the reactance magnitude of branch ij | |
| Iij | the current magnitude of branch ij | |
| PDG,j | the active power of the distributed photovoltaic at ring node j | |
| Pload,j | the active power of the load at ring node j | |
| Qload,j | the reactive power of the load at ring node j | |
| Uj,max | the upper voltage limit at ring node j | |
| Uj,min | the lower voltage limit at ring node j | |
| Iij,max | the maximum current magnitude of branch ij | |
| Nbus | the number of ring nodes in SDN | |
| Ntrans | the number of transformers in SDN | |
| Kij,max | the maximum number of switching operations on branch ij | |
| SESS,i | the energy of ESS in ring node i | |
| ηch | the charging efficiency of ESS | |
| ηdis | the discharging efficiency of ESS | |
| CESS,max | the maximum state of charge | |
| CESS,min | the minimum state of charge | |
| EESS,i | the rated capacity of ESS at ring node j | |
| PESS,i | the rated power of ESS at ring node i | |
| μdis | the discharging state at ring node i | |
| μch | the charging state at ring node i | |
| NESS | the charging or discharging count | |
| the limited charging or discharging count in a day | ||
| ΔPcut,i,min, ΔPcut,i,max | the lower and upper limit of the curtailable load at ring node i | |
| ΔPcut,min, ΔPcut,max | the lower and upper limit of the curtailable load in a dispatch cycle | |
| μcut,i | the curtailment state of curtailable load at ring node i | |
| FID | the objective function of the rolling optimal model | |
| the cost of purchasing electricity in the intra-day stage | ||
| the cost of ESS dispatching in the intra-day stage | ||
| the cost of FL dispatching in the intra-day stage | ||
| the penalty cost for the deviations from the day-ahead stage | ||
| P(t′ + mΔt′) | the vector of power values at time t′ + mΔt′ in the intra-day stage | |
| the vector of scheduling reference values at time t′ + mΔt′ in the day-ahead stage | ||
| μ | the vector of penalty coefficients for intra-day optimal power adjustment | |
References
- Wang, Z.; Duan, J.L.; He, P.; Wang, W.C.; Xu, J.; Zhang, Z. Exploration on Snow-shaped Grid Structure of Urban Medium Voltage Distribution Network. Proc. CSU EPSA 2023, 1–11. (In Chinese) [Google Scholar] [CrossRef]
- Mehrbakhsh, A.; Javadi, S.; Aliabadi, M.H.; Radmanesh, H. A robust optimization framework for scheduling of active distribution networks considering DER units and demand response program. Sustain. Energy Grids Netw. 2022, 31, 100708. [Google Scholar] [CrossRef]
- Sun, W.Q.; Qiao, Y.K.; Liu, W. Economic scheduling of mobile energy storage in distribution networks based on equivalent reconfiguration method. Sustain. Energy Grids Netw. 2022, 342, 100879. [Google Scholar] [CrossRef]
- Du, P.L.; Gong, X.M.; Hu, W.; Zhao, Y. A multi-layer scheduling framework for transmission network overload alleviation considering capabilities of active distribution networks. Sustain. Energy Grids Netw. 2023, 36, 101188. [Google Scholar] [CrossRef]
- Alshehri, M.; Yang, J. Voltage Optimization in Active Distribution Networks—Utilizing Analytical and Computational Approaches in High Renewable Energy Penetration Environments. Energies 2024, 17, 1216. [Google Scholar] [CrossRef]
- Ke, Q.P.; Dong, D.; Liu, T.; Xiong, S.B.; Jiang, W.; Shi, X.T.; Lou, R.B. Review on development prospect of operation scheduling strategies for flexible interconnected distribution network in renewable energy-penetrated power system. J. Comput. Methods Sci. Eng. 2024, 24, 921–933. [Google Scholar] [CrossRef]
- Evangelopoulos, V.A.; Georgilakis, P.S.; Hatziargyriou, N.D. Optimal operation of smart distribution networks: A review of models, methods and future research. Electr. Power Syst. Res. 2016, 140, 95–106. [Google Scholar] [CrossRef]
- Wu, X.M.; Xiong, H.Z.; Li, S.Y.; Gan, S.F.; Hou, C.H.; Ding, Z.L. Improved Light Robust Optimization Strategy for Virtual Power Plant Operations With Fluctuating Demand. IEEE Access 2023, 11, 53195–53206. [Google Scholar] [CrossRef]
- Shin, H.; Baldick, R. Optimal Battery Energy Storage Control for Multi-Service Provision Using a Semidefinite Programming-Based Battery Model. IEEE Trans. Sustain. Energy 2023, 14, 2192–2204. [Google Scholar] [CrossRef]
- Zhang, J.C.; Li, M.; Liu, Z.W.; Tan, J.; Tao, Y.G.; Luo, T.L. An Evaluation Method for Multi-type Flexible Resource Regulation Capability on the User Side of Distribution Networks. Electr. Power 2023, 56, 96–103. (In Chinese) [Google Scholar]
- Wang, H.D.; Yao, H.Y.; Zhou, J.Z.; Guo, Q. Optimized scheduling study of user side energy storage in cloud energy storage model. Sci. Rep. 2023, 13, 18872. [Google Scholar] [CrossRef]
- Hao, W.B.; Xu, M.D.; Lin, J.M.; Fu, L.D.; Cao, X.N.; Jia, Q.Q. Multi-Time Scale Cloud-Edge Collaborative Scheduling Strategy for Distribution Network Considering Spatiotemporal Characteristics of Demand Response. Energies 2024, 17, 1933. [Google Scholar] [CrossRef]
- Wang, Y.; Gao, J.; Guo, F.; Meng, Q. Optimal siting of shared energy storage projects from a sustainable development perspective: A two-stage framework. J. Energy Storage 2024, 79, 110213. [Google Scholar] [CrossRef]
- Aljohani, T. Intelligent Type-2 Fuzzy Logic Controller for Hybrid Microgrid Energy Management with Different Modes of EVs Integration. Energies 2024, 17, 2949. [Google Scholar] [CrossRef]
- Behbahani, M.R.; Jalilian, A.; Bahmanyar, A.; Ernst, D. Comprehensive Review on Static and Dynamic Distribution Network Reconfiguration Methodologies. IEEE Access 2024, 12, 9510–9525. [Google Scholar] [CrossRef]
- Mahdavi, M.; Schmitt, K.; Chamana, M.; Bayne, S. Distribution Systems Reconfiguration Considering Dependency of Loads on Grid Voltage and Temperature. IEEE Trans. Power Deliv. 2024, 39, 882–897. [Google Scholar] [CrossRef]
- Sadeghi, S.; Jahangiri, A.; Shamim, A.G. Optimal reconfiguration of a smart distribution network in the presence of shunt capacitors. Electr. Eng. 2023, 106, 603–614. [Google Scholar] [CrossRef]
- Wu, Z.S.; Qin, C.; Yu, Y.X. Two-stage Optimal Dispatching Method for Distribution System Flexibility Improvement Considering Dynamic Reconfiguration. Power Syst. Technol. 2020, 44, 4644–4653. [Google Scholar]
- Gao, H.J.; Ma, W.; Xiang, Y.M.; Tang, Z.; Xu, X.D.; Pan, H.J.; Zhang, F.; Liu, J.Y. Multi-objective Dynamic Reconfiguration for Urban Distribution Network Considering Multi-level Switching Modes. J. Mod. Power Syst. Clean Energy 2022, 10, 1241–1255. [Google Scholar] [CrossRef]
- Liu, G.D.; Ferrari, M.F.; Chen, Y. A Mixed integer linear programming-based distributed energy management for networked microgrids considering network operational objectives and constraints. IET Energy Syst. Integr. 2023, 5, 320–337. [Google Scholar] [CrossRef]
- Tian, Z.; Wu, W.; Zhang, B.; Bose, A. Mixed-integer second-order cone programing model for VAR optimisation and network reconfiguration in active distribution networks. IET Gener. Transm. Distrib. 2016, 10, 1938–1946. [Google Scholar] [CrossRef]
- Nassef, A.M.; Abdelkareem, M.A.; Maghrabie, H.M.; Baroutaji, A. Review of Metaheuristic Optimization Algorithms for Power Systems Problems. Sustainability 2023, 15, 9434. [Google Scholar] [CrossRef]
- Wang, Z.J.; Wei, W.; Pang, J.Z.F.; Liu, F.; Yang, B.; Guan, X.P.; Mei, S.W. Online Optimization in Power Systems With High Penetration of Renewable Generation: Advances and Prospects. IEEE CAA J. Autom. Sin. 2023, 10, 839–858. [Google Scholar] [CrossRef]
- Li, Z.M.; Xu, Y.; Wang, P.; Xiao, G.X. Restoration of Multi Energy Distribution Systems With Joint District Network Recon Figuration by a Distributed Stochastic Programming Approach. IEEE Trans. Smart Grid 2024, 15, 2667–2680. [Google Scholar] [CrossRef]
- Li, Z.M.; Xu, Y.; Wang, P.; Xiao, G.X. Coordinated preparation and recovery of a post-disaster Multi-energy distribution system considering thermal inertia and diverse uncertainties. Appl. Energy 2023, 336, 120736. [Google Scholar] [CrossRef]
- Li, Z.M.; Xu, Y. Temporally-coordinated optimal operation of a multi-energy microgrid under diverse uncertainties. Appl. Energy 2019, 240, 719–729. [Google Scholar] [CrossRef]
- Li, X.Y.; Han, X.S.; Yang, M. Risk-Based Reserve Scheduling for Active Distribution Networks Based on an Improved Proximal Policy Optimization Algorithm. IEEE Access 2023, 11, 15211–15228. [Google Scholar] [CrossRef]
- Liu, X.J.; Kong, X.B. Present Situation and Prospect of Model Predictive Control Application in Complex Power Industrial Process. Proc. Chin. Soc. Electr. Eng. 2013, 33, 79–85. (In Chinese) [Google Scholar]
- Du, Y.G.; Wu, J.; Li, S.Y.; Long, C.N. Distributed MPC for Coordinated Energy Efficiency Utilization in Microgrid Systems. IEEE Trans. Smart Grid 2019, 10, 1781–1790. [Google Scholar] [CrossRef]
- Xie, P.; Jia, Y.W.; Chen, H.K.; Wu, J.; Cai, Z.X. Mixed-Stage Energy Management for Decentralized Microgrid Cluster Based on Enhanced Tube Model Predictive Control. IEEE Trans. Smart Grid 2021, 12, 3780–3792. [Google Scholar] [CrossRef]
- Wu, M.; Luo, Z.; Ji, Y.; Li, Y.; Kou, L.F. Optimal Dynamic Dispatch for Combined Cooling Heating and Power Microgrid Based on MPC. Proc. CSEE 2017, 10, 1781–1790. (In Chinese) [Google Scholar]
- Ren, J.Y.; Gu, W.; Wang, Y.; Ji, W.L.; Liu, H.B.; Cao, G. Multi-time Scale Active and Reactive Power Coordinated Optimal Dispatch in Active Distribution Network Based on Model Predictive Control. Proc. CSEE 2018, 38, 1397–1407. (In Chinese) [Google Scholar]
- Yang, X.D.; Xu, C.B.; Zhang, Y.B.; Yao, W.; Wen, J.Y.; Cheng, S.J. Real-Time Coordinated Scheduling for ADNs With Soft Open Points and Charging Stations. IEEE Trans. Power Syst. 2021, 36, 5486–5499. [Google Scholar] [CrossRef]
- Xie, Y.Y.; Liu, L.; Wu, Q.W.; Zhou, Q. Robust model predictive control based voltage regulation method for a distribution system with renewable energy sources and energy storage systems. Int. J. Electr. Power Energy Syst. 2020, 118, 105749. [Google Scholar] [CrossRef]
- Luo, F.Z.; Wu, X.; Wang, S.Y.; Wang, Z.; Duan, J.L. Multi-Stage Optimization for Urban Snow-shaped Distribution Networks Considering Spatial-Temporal Uncertainty and Feeder Load Balancing. In Proceedings of the 2024 IEEE Power & Energy Society General Meeting, Seattle, WA, USA, 21–25 July 2024. [Google Scholar]
- Shao, L.X.; Wan, C.; Zhang, X.B.; Luo, Q.; Chen, Y. Two-stage Dispatching for Urban Integrated Energy System Considering Uncertainty and Interactive Power. Autom. Electr. Power Syst. 2023, 47, 59–69. (In Chinese) [Google Scholar]












| Cases | Optimal Scheduling Results | |
|---|---|---|
| Time | Disconnected Branch Number | |
| case 1/case 2 | 0:00~24:00 | B42-B43-B44-B45-B46-B47 |
| case 3 | 0:00~8:00 | B42-B43-B44-B45-B46-B47 |
| 9:00~16:00 | B4-B26-B33-B42-B44-B46 | |
| 17:00~19:00 | B5-B26-B33-B42-B44-B46 | |
| 20:00~24:00 | B42-B43-B44-B45-B46-B47 | |
| case 4 | 0:00~8:00 | B42-B43-B44-B45-B46-B47 |
| 9:00~19:00 | B5-B26-B33-B42-B44-B46 | |
| 20:00~24:00 | B42-B43-B44-B45-B46-B47 | |
| Cases | CEXT/CNY | CNR/CNY | CESS + CDR/CNY | /CNY |
|---|---|---|---|---|
| case 1 | 259,086.65 | 0 | 0 | 259,086.65 |
| case 2 | 253,085.16 | 0 | 2401.14 | 255,486.3 |
| case 3 | 234,088.66 | 3200 | 0 | 237,288.66 |
| case 4 | 213,380.09 | 2800 | 2427.18 | 218,607.27 |
| Feeder | Non-MPC | MPC | Value of Change |
|---|---|---|---|
| F1 | 0.18 | 0.06 | ↓0.12 |
| F2 | 0.24 | 0.11 | ↓0.13 |
| F5 | 0.14 | 0.05 | ↓0.09 |
| / | CEXT/CNY | CNR/CNY | CESS + CDR/CNY | /CNY |
|---|---|---|---|---|
| non-MPC | 212,902.47 | 2800 | 2427.18 | 218,129.65 |
| MPC | 212,945.97 | 2800 | 3129.99 | 218,875.96 |
Disclaimer/Publisher’s Note: The statements, opinions and data contained in all publications are solely those of the individual author(s) and contributor(s) and not of MDPI and/or the editor(s). MDPI and/or the editor(s) disclaim responsibility for any injury to people or property resulting from any ideas, methods, instructions or products referred to in the content. |
© 2024 by the authors. Licensee MDPI, Basel, Switzerland. This article is an open access article distributed under the terms and conditions of the Creative Commons Attribution (CC BY) license (https://creativecommons.org/licenses/by/4.0/).
Share and Cite
Wang, Z.; Duan, J.; Luo, F.; Wu, X. Two-Stage Optimal Scheduling for Urban Snow-Shaped Distribution Network Based on Coordination of Source-Network-Load-Storage. Energies 2024, 17, 3583. https://doi.org/10.3390/en17143583
Wang Z, Duan J, Luo F, Wu X. Two-Stage Optimal Scheduling for Urban Snow-Shaped Distribution Network Based on Coordination of Source-Network-Load-Storage. Energies. 2024; 17(14):3583. https://doi.org/10.3390/en17143583
Chicago/Turabian StyleWang, Zhe, Jiali Duan, Fengzhang Luo, and Xuan Wu. 2024. "Two-Stage Optimal Scheduling for Urban Snow-Shaped Distribution Network Based on Coordination of Source-Network-Load-Storage" Energies 17, no. 14: 3583. https://doi.org/10.3390/en17143583
APA StyleWang, Z., Duan, J., Luo, F., & Wu, X. (2024). Two-Stage Optimal Scheduling for Urban Snow-Shaped Distribution Network Based on Coordination of Source-Network-Load-Storage. Energies, 17(14), 3583. https://doi.org/10.3390/en17143583

