Fractional-Order Interval Parameter State Space Model of the One-Dimensional Heat Transfer Process
Abstract
1. Introduction
2. Preliminaries
3. The Experimental System and Its Model with Fractional Interval Orders
3.1. The Decomposition of the Spectrum
3.2. The Input and Output Operators
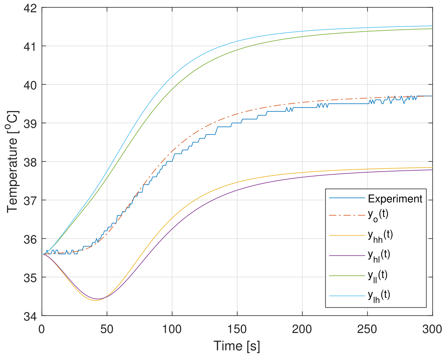
3.3. The Step and Impulse Responses of the System with Interval Orders
3.4. The Steady-State Response
4. Experiments and Simulations
4.1. The Analysis of the Spectrum Decomposition
4.2. The Sensitivity of the Dynamics
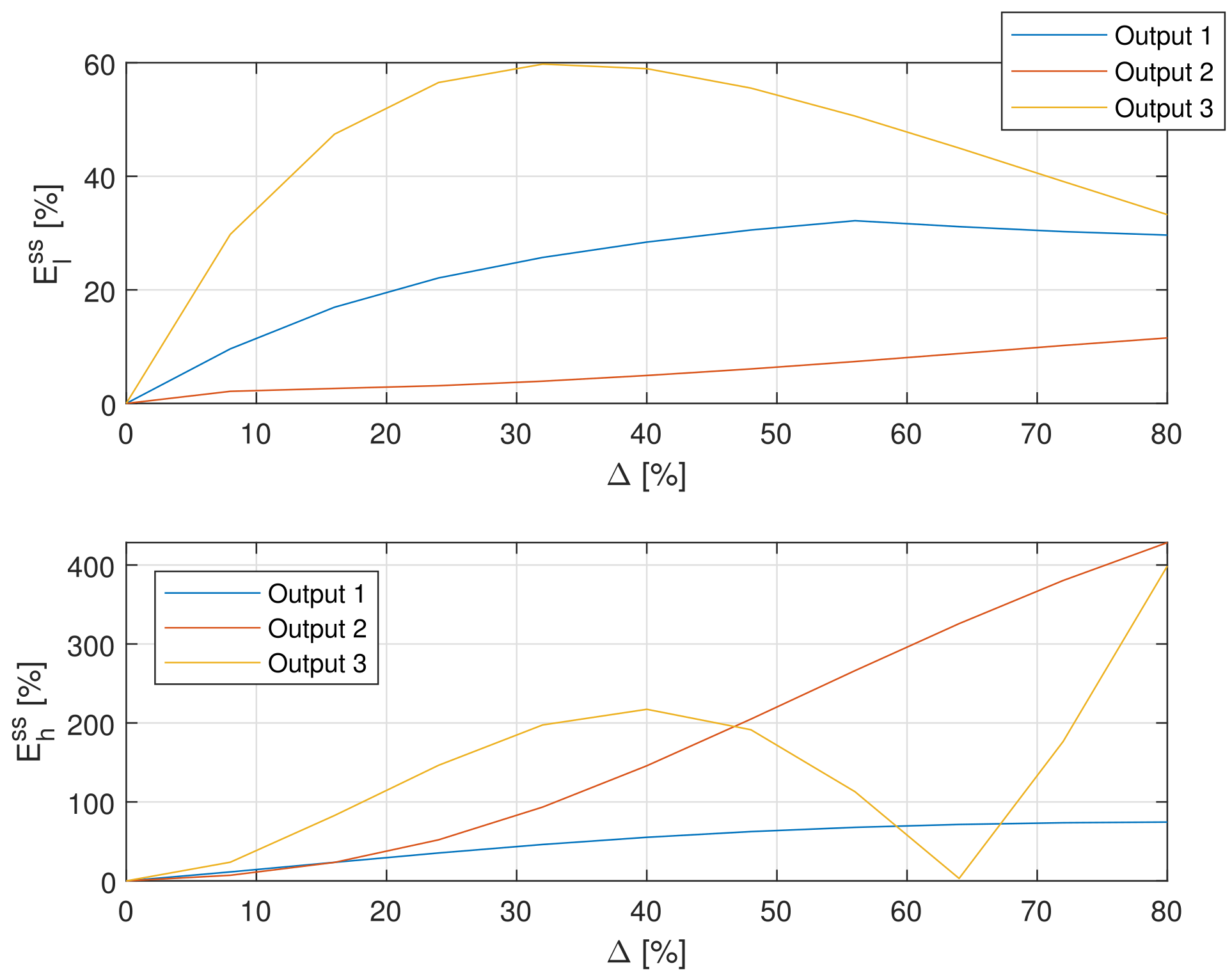
4.3. The Sensitivity of the Steady-State Response
- The sensitivity of the steady-state response to uncertainty strongly depends on the localization of the RTD. Its is highest for the most distant sensor 3 and smaller for sensors 1 and 2.
- For small uncertainty, the deviation is approximately a linear function of , and both deviations are approximately the same.
- For larger uncertainty, the deviation is a nonlinear function of and nonlinearity is various for different outputs. Additionally, the upper deviation is much larger than lower .
5. Final Conclusions
Funding
Data Availability Statement
Conflicts of Interest
Abbreviations
| Acronym | Explanation |
| CF | Caputo–Fabrizio |
| CFE | Continuous Fraction Expansion |
| FO | Fractional Order |
| FOBD | Fractional-Order Backward Difference |
| IO | Integer Order |
| PDE | Partial Differential Equation |
| PLC | Programmable Logic Controller |
| RTD | Resistive Temperature Detector |
| SCADA | Supervisory Control and Data Acquisition |
References
- Podlubny, I. Fractional Differential Equations; Academic Press: San Diego, CA, USA, 1999. [Google Scholar]
- Dzieliński, A.; Sierociuk, D.; Sarwas, G. Some applications of fractional order calculus. Bull. Pol. Acad. Sci. Tech. Sci. 2010, 58, 583–592. [Google Scholar] [CrossRef]
- Caponetto, R.; Dongola, G.; Fortuna, L.; Petras, I. Fractional Order Systems: Modeling and Control Applications. In World Scientific Series on Nonlinear Science; Chua, L.O., Ed.; University of California: Berkeley, CA, USA, 2010; pp. 1–178. [Google Scholar]
- Das, S. Functional Fractional Calculus for System Identification and Controls; Springer: Berlin/Heilderberg, Germany, 2010. [Google Scholar]
- Gal, C.; Warma, M. Elliptic and parabolic equations with fractional diffusion and dynamic boundary conditions. Evol. Equ. Control Theory 2016, 5, 61–103. [Google Scholar]
- Popescu, E. On the fractional Cauchy problem associated with a Feller semigroup. Math. Rep. 2010, 12, 181–188. [Google Scholar]
- Sierociuk, D.; Skovranek, T.; Macias, M.; Podlubny, I.; Petras, I.; Dzielinski, A.; Ziubinski, P. Diffusion process modeling by using fractional-order models. Appl. Math. Comput. 2015, 257, 2–11. [Google Scholar] [CrossRef]
- Gómez, J.F.; Torres, L.; Escobar, R.F. Fractional Derivatives with Mittag-Leffler Kernel. Trends and Applications in Science and Engineering. In Studies in Systems, Decision and Control; Kacprzyk, J., Ed.; Springer: Cham, Switzerland, 2019; Volume 194, pp. 1–339. [Google Scholar]
- Boudaoui, A.; El hadj Moussa, Y.; Hammouch, Z.; Ullah, S. A fractional-order model describing the dynamics of the novel coronavirus (COVID-19) with nonsingular kernel. Chaos Solitons Fractals 2021, 146, 1–11. [Google Scholar] [CrossRef] [PubMed]
- Farman, M.; Akgül, A.; Askar, S.; Botmart, T.; Ahmad, A.; Ahmad, H. Modeling and analysis of fractional order Zika model. AIMS Math. 2022, 7, 3912–3938. [Google Scholar] [CrossRef]
- Dlugosz, M.; Skruch, P. The application of fractional-order models for thermal process modelling inside buildings. J. Build. Phys. 2015, 1, 1–13. [Google Scholar] [CrossRef]
- Ryms, M.; Tesch, K.; Lewandowski, W. The use of thermal imaging camera to estimate velocity profiles based on temperature distribution in a free convection boundary layer. Int. J. Heat Mass Transf. 2021, 165, 120686. [Google Scholar] [CrossRef]
- Wu, S.Y.; Yuan, X.F.; Li, Y.R. Two non-dimensional exergy transfer performance parameters of heat exchanger. Int. J. Exergy 2010, 7, 130–145. [Google Scholar] [CrossRef]
- Khan, H.; Shah, R.; Kumam, P.; Arif, M. Analytical Solutions of Fractional-Order Heat and Wave Equations by the Natural Transform Decomposition Method. Entropy 2019, 21, 597. [Google Scholar] [CrossRef] [PubMed]
- Olsen-Kettle, L. Numerical Solution of Partial Differential Equations; The University of Queensland: St. Lucia, QLD, Australia, 2011. [Google Scholar]
- Al-Omari, S.K. A fractional Fourier integral operator and its extension to classes of function spaces. Adv. Differ. Equ. 2018, 1, 1–9. [Google Scholar] [CrossRef]
- Xue, W.; Wang, Y.; Liang, Y.; Wang, T.; Ren, B. Efficient hydraulic and thermal simulation model of the multi-phase natural gas production system with variable speed compressors. Appl. Therm. Eng. 2024, 242, 122411. [Google Scholar] [CrossRef]
- Oprzędkiewicz, K.; Gawin, E.; Mitkowski, W. Modeling heat distribution with the use of a non-integer order, state space model. Int. J. Appl. Math. Comput. Sci. 2016, 26, 749–756. [Google Scholar] [CrossRef]
- Oprzędkiewicz, K.; Gawin, E.; Mitkowski, W. Parameter identification for non integer order, state space models of heat plant. In Proceedings of the MMAR 2016: 21th international conference on Methods and Models in Automation and Robotics, Międzyzdroje, Poland, 29 August–1 September 2016; pp. 184–188. [Google Scholar]
- Oprzedkiewicz, K.; Stanislawski, R.; Gawin, E.; Mitkowski, W. A new algorithm for a CFE approximated solution of a discrete-time non integer-order state equation. Bull. Pol. Acad. Sci. Tech. Sci. 2017, 65, 429–437. [Google Scholar]
- Oprzędkiewicz, K.; Mitkowski, W.; Gawin, E. An accuracy estimation for a non integer order, discrete, state space model of heat transfer process. In Proceedings of the Automation 2017: Innovations in Automation, Robotics and Measurment Techniques, Warsaw, Poland, 15–17 March 2017; pp. 86–98. [Google Scholar]
- Oprzędkiewicz, K.; Mitkowski, W.; Gawin, E.; Dziedzic, K. The Caputo vs. Caputo-Fabrizio operators in modeling of heat transfer process. Bull. Pol. Acad. Sci. Tech. Sci. 2018, 66, 501–507. [Google Scholar]
- Oprzędkiewicz, K.; Gawin, E. The practical stability of the discrete, fractional order, state space model of the heat transfer process. Arch. Control Sci. 2018, 28, 463–482. [Google Scholar] [CrossRef]
- Oprzędkiewicz, K.; Mitkowski, W. A memory efficient non integer order discrete time state space model of a heat transfer process. Int. J. Appl. Math. Comput. Sci. 2018, 28, 649–659. [Google Scholar] [CrossRef]
- Oprzędkiewicz, K. Non integer order, state space model of heat transfer process using Atangana-Baleanu operator. Bull. Pol. Acad. Sci. Tech. Sci. 2020, 68, 43–50. [Google Scholar] [CrossRef]
- Oprzędkiewicz, K. Fractional order, discrete model of heat transfer process using time and spatial Grünwald-Letnikov operator. Bull. Pol. Acad. Sci. Tech. Sci. 2021, 69, 1–10. [Google Scholar] [CrossRef]
- Oprzędkiewicz, K.; Mitkowski, W.; Rosol, M. Fractional order model of the two dimensional heat transfer process. Energies 2021, 14, 6371. [Google Scholar] [CrossRef]
- Oprzędkiewicz, K.; Mitkowski, W.; Rosol, M. Fractional order, state space model of the temperature field in the PCB plate. Acta Mech. Autom. 2023, 17, 180–187. [Google Scholar] [CrossRef]
- Kaczorek, T. Stability of interval positive fractional discrete-time systems. Int. J. Appl. Math. Comput. Sci. 2018, 28, 451–456. [Google Scholar] [CrossRef]
- Kaczorek, T. Singular fractional linear systems and electrical circuits. Int. J. Appl. Math. Comput. Sci. 2011, 21, 379–384. [Google Scholar] [CrossRef]
- Kaczorek, T.; Rogowski, K. Fractional Linear Systems and Electrical Circuits; Bialystok University of Technology: Bialystok, Poland, 2014. [Google Scholar]
- Bandyopadhyay, B.; Kamal, S. Solution, Stability and Realization of Fractional Order Differential Equation. In Stabilization and Control of Fractional Order Systems: A Sliding Mode Approach; Lecture Notes in Electrical Engineering; Springer: Cham, Switzerland, 2015; Volume 317, pp. 55–90. [Google Scholar]
- Mozyrska, D.; Girejko, E.; Wyrwas, M. Comparison of h-difference fractional operators. In Advances in the Theory and Applications of Non-integer Order Systems; Mitkowski, W., Kacprzyk, J., Baranowski, J., Eds.; Springer: Cham, Switzerland, 2013; pp. 1–178. [Google Scholar]
- Oprzędkiewicz, K. The interval parabolic system. Arch. Control Sci. 2003, 13, 415–430. [Google Scholar]
- Oprzędkiewicz, K. A controllability problem for a class of uncertain parameters linear dynamic systems. Arch. Control Sci. 2004, 14, 85–100. [Google Scholar]
- Oprzędkiewicz, K. An observability problem for a class of uncertain-parameter linear dynamic systems. Int. J. Appl. Math. Comput. Sci. 2005, 15, 331–338. [Google Scholar]
- Oprzędkiewicz, K. Positivity problem for the one dimensional heat transfer process. ISA Trans. 2021, 112, 281–291. [Google Scholar] [CrossRef] [PubMed]










| 0.14 | 0.06 | 0.26 | 0.47 | 0.70 |
| N | ||||
|---|---|---|---|---|
| 0.930289 | 1.998808 | 0.000410 | 0.0677066 | 22 |
| 2 | 10 | 0.3045 |
| 2 | 30 | 0.4242 |
| 5 | 20 | 0.2011 |
| 10 | 25 | 0.1173 |
| 15 | 25 | 0.0622 |
| 20 | 25 | 0.0262 |
| 25 | 30 | 0.0205 |
Disclaimer/Publisher’s Note: The statements, opinions and data contained in all publications are solely those of the individual author(s) and contributor(s) and not of MDPI and/or the editor(s). MDPI and/or the editor(s) disclaim responsibility for any injury to people or property resulting from any ideas, methods, instructions or products referred to in the content. |
© 2024 by the author. Licensee MDPI, Basel, Switzerland. This article is an open access article distributed under the terms and conditions of the Creative Commons Attribution (CC BY) license (https://creativecommons.org/licenses/by/4.0/).
Share and Cite
Oprzędkiewicz, K. Fractional-Order Interval Parameter State Space Model of the One-Dimensional Heat Transfer Process. Energies 2024, 17, 3490. https://doi.org/10.3390/en17143490
Oprzędkiewicz K. Fractional-Order Interval Parameter State Space Model of the One-Dimensional Heat Transfer Process. Energies. 2024; 17(14):3490. https://doi.org/10.3390/en17143490
Chicago/Turabian StyleOprzędkiewicz, Krzysztof. 2024. "Fractional-Order Interval Parameter State Space Model of the One-Dimensional Heat Transfer Process" Energies 17, no. 14: 3490. https://doi.org/10.3390/en17143490
APA StyleOprzędkiewicz, K. (2024). Fractional-Order Interval Parameter State Space Model of the One-Dimensional Heat Transfer Process. Energies, 17(14), 3490. https://doi.org/10.3390/en17143490
