Power Quality Transient Disturbance Diagnosis Based on Dynamic Large Convolution Kernel and Multi-Level Feature Fusion Network
Abstract
1. Introduction
2. Theoretical Background
2.1. Dynamic Large Convolution Kernel Module
- Inappropriate large convolution kernel positions may decrease the performance of the network;
- It is difficult to determine the size of the large convolution kernels when the network achieves optimal performance;
- Large convolution kernels will increase the number of parameters and the computational cost in the network.
2.2. Multilevel Feature Fusion Module
2.3. Classification Module
3. The Proposed Network
4. Experimental Validation and Analysis
4.1. Experimental Setup and Evaluation Metrics
4.2. Dataset Description and Preprocessing
4.3. Comparative Experimental Results
4.3.1. Experimental Results with Noise Data
4.3.2. Experimental Results with Different Models
4.4. Ablation Studies
4.4.1. Without DLCK or MLFF
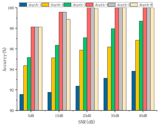
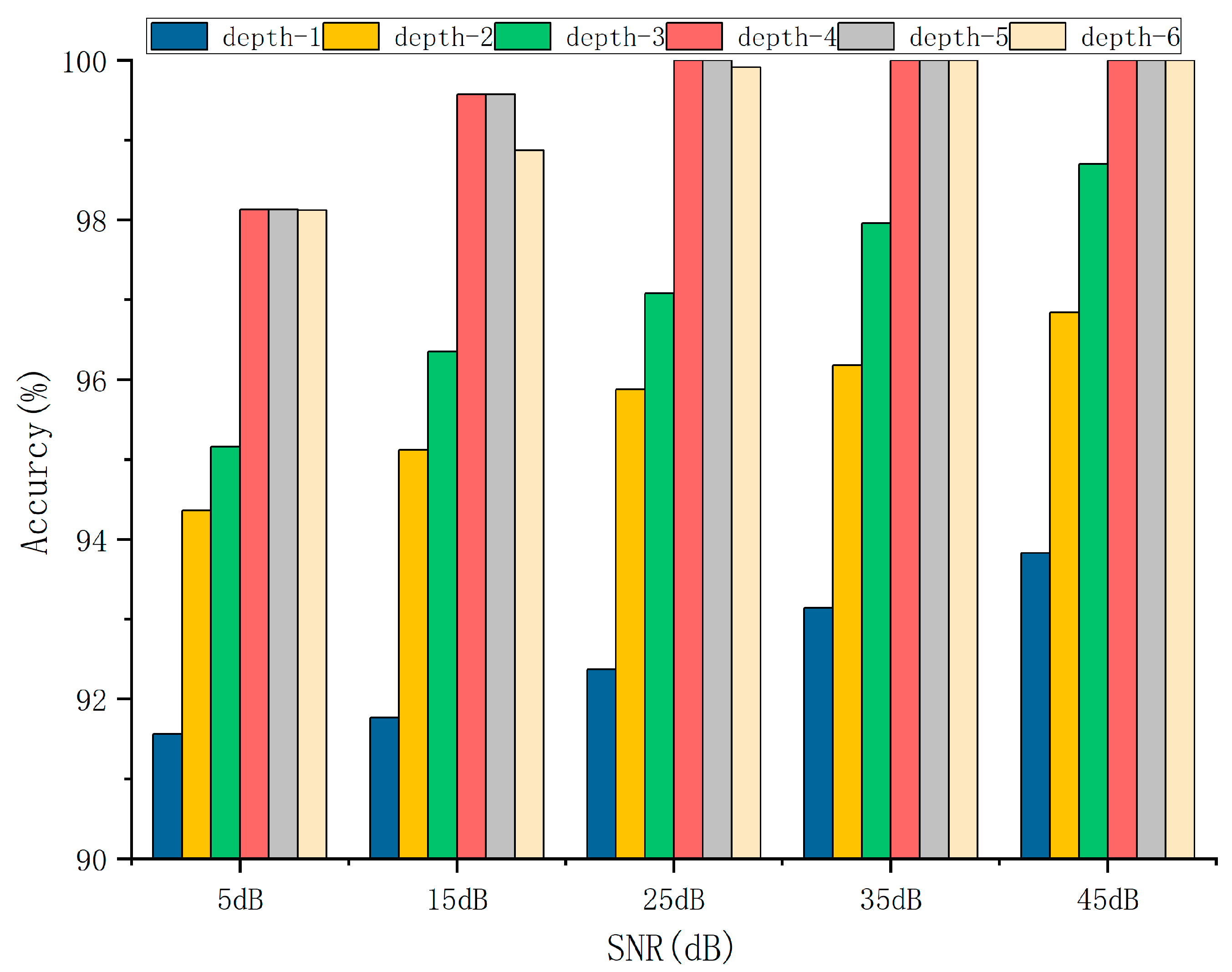
4.4.2. Network Depth
4.5. Real Data Validation
5. Conclusions
Author Contributions
Funding
Data Availability Statement
Conflicts of Interest
References
- Veizaga, M.; Delpha, C.; Diallo, D.; Bercu, S.; Bertin, L. Classification of voltage sags causes in industrial power networks using multivariate time-series. IET Gener. Transm. Distrib. 2023, 17, 1568–1584. [Google Scholar] [CrossRef]
- Li, D.; Mei, F.; Zhang, C.; Sha, H.; Zheng, J. Self-Supervised Voltage Sag Source Identification Method Based on CNN. Energies 2019, 12, 1059. [Google Scholar] [CrossRef]
- Raza, A.; Benrabah, A.; Alquthami, T.; Akmal, M. A Review of Fault Diagnosing Methods in Power Transmission Systems. Appl. Sci. 2020, 10, 1312. [Google Scholar] [CrossRef]
- Carvalho, L.; Lucas, G.; Rocha, M.; Fraga, C.; Andreoli, A. Undervoltage Identification in Three Phase Induction Motor Using Low-Cost Piezoelectric Sensors and STFT Technique. Proceedings 2020, 42, 72. [Google Scholar]
- Xiong, S.; Zhang, F.; Zhou, Z.; Zeng, Y. Power data prediction method of new energy system based on wavelet transform and adaptive hybrid optimization. Int. J. Low-Carbon Technol. 2024, 19, 723–732. [Google Scholar] [CrossRef]
- Qiu, W.; Tang, Q.; Liu, J.; Teng, Z.; Yao, W. Power Quality Disturbances Recognition Using Modified S Transform and Parallel Stack Sparse Auto-encoder. Electr. Power Syst. Res. 2019, 174, 105876.1–105876.10. [Google Scholar] [CrossRef]
- Malik, H.; Almutairi, A.; Alotaibi, M.A. Power quality disturbance analysis using data-driven EMD-SVM hybrid approach. J. Intell. Fuzzy Syst. 2021, 42, 669–678. [Google Scholar] [CrossRef]
- Singh, S.; Sharma, A.; Garg, A.R.; Mahela, O.P.; Khan, B.; Boulkaibet, I.; Neji, B.; Ali, A.; Ballester, J.B. Power Quality Detection and Categorization Algorithm Actuated by Multiple Signal Processing Techniques and Rule-Based Decision Tree. Sustainability 2023, 15, 4317. [Google Scholar] [CrossRef]
- Shoryu, T.; Wang, L.; Ma, R. A Deep Neural Network Approach using Convolutional Network and Long Short Term Memory for Text Sentiment Classification. In Proceedings of the 2021 IEEE 24th International Conference on Computer Supported Cooperative Work in Design (CSCWD), Dalian, China, 5–7 May 2021. [Google Scholar]
- Qu, H.; Li, X.; Chen, C.; He, L. Classification of power quality disturbances using convolutional neural networks. Eng. J. Wuhan Univ. 2018, 15, 314. [Google Scholar]
- Vaswani, A.; Shazeer, N.; Parmar, N.; Uszkoreit, J.; Jones, L.; Gomez, A.N.; Kaiser, L.; Polosukhin, I. Attention Is All You Need. arXiv 2017, arXiv:1706.03762. [Google Scholar]
- Liang, P.; Yu, Z.; Wang, B.; Xu, X.; Tian, J. Fault transfer diagnosis of rolling bearings across multiple working conditions via subdomain adaptation and improved vision transformer network. Adv. Eng. Inform. 2023, 57, 102075. [Google Scholar] [CrossRef]
- Bhojanapalli, S.; Chakrabarti, A.; Glasner, D.; Li, D.; Unterthiner, T.; Veit, A. Understanding Robustness of Transformers for Image Classification. In Proceedings of the 2021 IEEE/CVF International Conference on Computer Vision (ICCV), Montreal, QC, Canada, 10–17 October 2021; pp. 10211–10221. [Google Scholar] [CrossRef]
- Wu, H.; Xiao, B.; Codella, N.; Liu, M.; Dai, X.; Yuan, L.; Zhang, L. CvT: Introducing Convolutions to Vision Transformers. arXiv 2021, arXiv:2103.15808. [Google Scholar]
- Ding, X.; Zhang, X.; Zhou, Y.; Han, J.; Ding, G.; Sun, J. Scaling Up Your Kernels to 31 × 31: Revisiting Large Kernel Design in CNNs. arXiv 2022, arXiv:2203.06717. [Google Scholar]
- Liu, Z.; Lin, Y.; Cao, Y.; Hu, H.; Wei, Y.; Zhang, Z.; Lin, S.; Guo, B. Swin Transformer: Hierarchical Vision Transformer using Shifted Windows. In Proceedings of the 2021 IEEE/CVF International Conference on Computer Vision (ICCV), Montreal, QC, Canada, 10–17 October 2021. [Google Scholar]
- Teng, Q.; Tang, Y.; Hu, G. Large Receptive Field Attention: An Innovation in Decomposing Large-Kernel Convolution for Sensor-Based Activity Recognition. IEEE Sens. J. 2024, 24, 13488–13499. [Google Scholar] [CrossRef]
- Liu, H.; Watanabe, H. Feature Transfer Block for Feature Fusion in Lightweight Object Detectors. In Proceedings of the 2023 IEEE 12th Global Conference on Consumer Electronics (GCCE), Nara, Japan, 10–13 October 2023; pp. 302–305. [Google Scholar] [CrossRef]
- Pathak, A.K.; Virmani, R.; Garg, A.; Singh, G.; Arya, I.; Chaurasiya, A. Deep Learning based PQD Classification using Time and Frequency Domain Features. In Proceedings of the 2024 IEEE International Students’ Conference on Electrical, Electronics and Computer Science (SCEECS), Bhopal, India, 24–25 February 2024; pp. 1–6. [Google Scholar] [CrossRef]
- Ma, J.; Tang, Q.; He, M.; Peretto, L.; Teng, Z. Complex PQD Classification Using Time– Frequency Analysis and Multiscale Parallel Attention Residual Network. IEEE Trans. Ind. Electron. 2024, 71, 9658–9667. [Google Scholar] [CrossRef]
- Ding, C.; Luktarhan, N.; Lu, B.; Zhang, W. A Hybrid Analysis-Based Approach to Android Malware Family Classification. Entropy 2021, 23, 1009. [Google Scholar] [CrossRef] [PubMed]
- Lee, C.Y.; Shen, Y.X. Optimal Feature Selection for Power-Quality Disturbances Classification. IEEE Trans. Power Deliv. 2011, 26, 2342–2351. [Google Scholar] [CrossRef]
- Husodo, B.Y.; Ramli, K.; Ihsanto, E.; Gunawan, T.S. Real-Time Power Quality Disturbance Classification Using Convolutional neural networkss. In Recent Trends in Mechatronics Towards Industry 4.0; Springer: Singapore, 2022. [Google Scholar] [CrossRef]
- Chiam, D.H.; Lim, K.H. Power Quality Disturbance Classification Using Transformer Network; Springer: Cham, Switzerland, 2022. [Google Scholar] [CrossRef]
- Junior, W.L.R.; Borges, F.A.S.; Rabelo, R.D.; De Lima, B.V.; De Alencar, J.E. Classification of Power Quality Disturbances Using Convolutional Network and Long Short-Term Memory Network. In Proceedings of the 2019 International Joint Conference on Neural Networks (IJCNN), Budapest, Hungary, 14–19 July 2019. [Google Scholar] [CrossRef]
- Li, B.; Li, K.-C.; Xiao, X.-G. Composite power quality disturbance identification based on multi-scale convolutional fusion time series Transformer. Grid Technol. 2024, 23, 1–12. [Google Scholar]
- Cai, J.; Zhang, K.; Jiang, H. Power Quality Disturbance Classification Based on Parallel Fusion of CNN and GRU. Energies 2023, 16, 4029. [Google Scholar] [CrossRef]











| Structure | Layers | Parameters | Output Size |
|---|---|---|---|
| Input | Input | / | 1024 × 1 × 1 |
| Downsample layer1 | Convolutional layer | kernel: 7, stride: 2 | 512 × 64 × 1 |
| DLCK Block | / | / | 512 × 64 × 1 |
| MLFF Block | / | / | 512 × 64 × 1 |
| Downsample layer2 | Convolutional layer | kernel: 2, stride: 2 | 256 × 128 × 1 |
| DLCK Block | / | / | 256 × 128 × 1 |
| MLFF Block | / | / | 256 × 128 × 1 |
| Downsample layer3 | Convolutional layer | kernel: 2, stride: 2 | 128 × 256 × 1 |
| DLCK Block | / | / | 128 × 256 × 1 |
| MLFF Block | / | / | 128 × 256 × 1 |
| Downsample layer4 | Convolutional layer | kernel: 2, stride: 2 | 64 × 512 × 1 |
| DLCK Block | / | / | 64 × 512 × 1 |
| MLFF Block | / | / | 64 × 512 × 1 |
| Max Pool | Max Pool | kernel: 64, stride: 1 | 512 × 1 |
| FClayer1 | Full Connected layer | / | 256 × 1 |
| FClayer2 | Full Connected layer | / | Class number |
| Signal Type | Signal Models |
|---|---|
| S1 | |
| S2 | |
| S3 | |
| S4 | |
| S5 | |
| S6 | |
| S7 | |
| S8 | |
| S9 | |
| S10 | |
| S11 | |
| S12 | |
| S13 | |
| S14 | |
| S15 | |
| Parameters |
| Signal Type | 5 dB | 15 dB | 25 dB | 35 dB | 45 dB |
|---|---|---|---|---|---|
| Single disturbance | 99.71 | 99.80 | 100 | 100 | 100 |
| Compound disturbance | 96.75 | 97.85 | 99.31 | 100 | 100 |
| Network | 5 dB | 15 dB | 25 dB | 35 dB | 45 dB | Average |
|---|---|---|---|---|---|---|
| CNN [23] | 95.45 | 95.52 | 96.82 | 97.34 | 97.37 | 96.50 |
| Transformer [24] | 95.57 | 96.07 | 96.34 | 97.86 | 98.04 | 96.78 |
| CNN–LSTM [25] | 96.61 | 96.81 | 97.43 | 98.41 | 99.82 | 97.82 |
| CNN–Transformer [26] | 96.27 | 97.51 | 97.66 | 99.32 | 99.67 | 98.09 |
| CNN–GRU [27] | 97.54 | 97.18 | 98.35 | 99.56 | 99.83 | 98.49 |
| OUR | 98.13 | 98.76 | 99.63 | 100 | 100 | 99.30 |
| Network | 5 dB | 15 dB | 25 dB | 35 dB | 45 dB |
|---|---|---|---|---|---|
| W/O–MLFF | 96.45 | 96.57 | 97.03 | 98.11 | 98.50 |
| W/O–DLCK | 97.58 | 97.91 | 98.45 | 98.71 | 99.84 |
| OUR | 98.13 | 99.57 | 100 | 100 | 100 |
| Depth | 5 dB | 15 dB | 25 dB | 35 dB | 45 dB |
|---|---|---|---|---|---|
| depth-1 | 91.56 | 91.77 | 92.37 | 93.14 | 93.83 |
| depth-2 | 94.36 | 95.12 | 95.88 | 96.18 | 96.84 |
| depth-3 | 95.16 | 96.35 | 97.08 | 97.96 | 98.70 |
| depth-4 | 98.13 | 99.57 | 100 | 100 | 100 |
| depth-5 | 98.57 | 99.14 | 99.81 | 100 | 100 |
| depth-6 | 98.12 | 98.87 | 99.91 | 100 | 100 |
Disclaimer/Publisher’s Note: The statements, opinions and data contained in all publications are solely those of the individual author(s) and contributor(s) and not of MDPI and/or the editor(s). MDPI and/or the editor(s) disclaim responsibility for any injury to people or property resulting from any ideas, methods, instructions or products referred to in the content. |
© 2024 by the authors. Licensee MDPI, Basel, Switzerland. This article is an open access article distributed under the terms and conditions of the Creative Commons Attribution (CC BY) license (https://creativecommons.org/licenses/by/4.0/).
Share and Cite
Zheng, C.; Li, Q.; Liu, S.; Dai, S.; Zhang, B.; Liu, Y. Power Quality Transient Disturbance Diagnosis Based on Dynamic Large Convolution Kernel and Multi-Level Feature Fusion Network. Energies 2024, 17, 3227. https://doi.org/10.3390/en17133227
Zheng C, Li Q, Liu S, Dai S, Zhang B, Liu Y. Power Quality Transient Disturbance Diagnosis Based on Dynamic Large Convolution Kernel and Multi-Level Feature Fusion Network. Energies. 2024; 17(13):3227. https://doi.org/10.3390/en17133227
Chicago/Turabian StyleZheng, Chen, Qionglin Li, Shuming Liu, Shuangyin Dai, Bo Zhang, and Yajuan Liu. 2024. "Power Quality Transient Disturbance Diagnosis Based on Dynamic Large Convolution Kernel and Multi-Level Feature Fusion Network" Energies 17, no. 13: 3227. https://doi.org/10.3390/en17133227
APA StyleZheng, C., Li, Q., Liu, S., Dai, S., Zhang, B., & Liu, Y. (2024). Power Quality Transient Disturbance Diagnosis Based on Dynamic Large Convolution Kernel and Multi-Level Feature Fusion Network. Energies, 17(13), 3227. https://doi.org/10.3390/en17133227
