Abstract
Emerging economies and ecosystems rely heavily on fossil fuels, and a country’s energy dependence is a strong indicator of its reliance on foreign suppliers. This study investigates the impact of energy dependence on energy intensity, CO2 emission intensity, and the exploitation of renewable resources in 35 developing and 20 developed nations. It also explores the correlation between renewable energy, GDP growth, and CO2 emissions. This study utilizes the Generalized Linear Model (GLM) and the Robust Least Squares (RLS) method to investigate the negative correlation between renewable energy and policymakers in established and emerging economies. It also employs distinctive linear panel estimation techniques spanning from 1970 to 2022. This study examines the impact of renewable energy on economic growth, energy consumption, and CO2 emissions across four continents. Developing countries see an increase in per capita CO2 emissions when their utilization of renewable energy exceeds their capacity. Even with the introduction of several proxies for renewable energy use using changed techniques, this discovery remains valid. Moreover, this is particularly crucial for industrialized nations with well-established institutions. Energy dependency has increased the energy and carbon intensity needed for expansion across all components, which is surprising. The regional study discovered a spillover impact in most regions, indicating that the consequences of energy reliance are similar in neighboring countries. Regional energy exchange unions play a vital role in reducing the adverse environmental and economic impacts of energy dependence, which is essential for the growth of the renewable energy sector and the decrease in greenhouse gas emissions. Undeveloped countries need to enhance their investment in research and development to advance technologically.
1. Introduction
Currently, climate warming poses a significant threat to the survival of humanity. Increasing greenhouse gas emissions from the growth of fossil fuel usage and industrial activities have been universally acknowledged as a significant factor in global warming [1,2]. Although the energy required for high-value manufacturing and the extraction of natural resources is beneficial to the economy [3], the waste it produces can have a negative effect on the environment [4]. Theoretically, the growth of industries significantly influences the distribution of scarce resources, the progression of economic development, the allocation of energy consumption, and the pace of environmental degradation [5,6]. Utilizing polluting energy sources in manufacturing and the growing industrialization of developing regions have raised environmental CO2 emissions and depleted natural resources [7]. This process is considered a major energy consumer at its present growth pace. Indeed, high-frequency power consumption is negatively impacting CO2 emissions in a number of industries, most notably manufacturing [8,9]. Extensive study has focused on identifying the origins of CO2 emissions and developing measures to mitigate their impact on global warming [10,11]. The use of non-renewable energy sources, particularly fossil fuels, which supply around 80% of the world’s energy, was found to be a major contributor to chemical emissions [12]. The usage of fossil fuels and other non-renewable energy sources is known to significantly increase emissions of carbon dioxide [13]. However, renewable energy capacity is projected to grow by 50% worldwide between 2019 and 2024, which may lessen the impact of greenhouse gas emissions on ecosystems and people’s well-being [14,15]. In this regard, one corpus of literature has shown that a decrease in CO2 emissions occurs throughout the world when renewable energy (REN) sources are used [11,16].
The Environmental Kuznets Curve (EKC) has explored different ideas about CO2 emissions. Developing countries should pursue an alternative development trajectory instead of the Environmental Kuznets Curve (EKC), which prioritizes fast economic growth over environmental conservation [17,18,19]. Giving priority to Gross Domestic Product (GDP) as the main measure of advancement presents a complicated situation when examining the relationship between economic activity and sustainable development, especially in emerging and developed countries. Developing countries generally focus on achieving quick economic expansion, which can lead to GDP growth through practices such as deforestation, overfishing, and fossil fuel use. However, these activities come with a high environmental and natural resource sustainability cost [20]. Developed countries experience the issue of separating economic progress from environmental harm. The focus may shift to technical innovation and green measures to sustain economic growth while reducing ecological damage. This emphasizes the necessity of a sophisticated strategy for sustainable development that recognizes the distinct situations of emerging and industrialized nations. In the future, both need different measurements that extend beyond GDP to include environmental and social welfare. Nations can aim for a future where economic growth supports long-term sustainability and societal well-being for everyone by adopting these comprehensive strategies [21].
The relationship between income and environmental degradation is demonstrated by the Environmental Kuznets Curve (EKC), showing that growth is both the cause and solution to air pollution [22]. Agricultural output increases with income, leading to a rise in EKC. Connecting energy policy and economic growth to the energy industry, however, does not come without consequences. The energy industry’s influence on economic growth and industrial strategy is not without its repercussions, though. There can be no simultaneous protection of the natural world and rapid economic growth, hence the former must be curbed [23]. A decline in environmental performance is associated with economic development, according to the most recent analysis of the Environmental Kuznets Curve (EKC) [24,25]. Given this situation, individuals are more concerned about issues like air pollution, global warming, and emissions from machinery and factories than they are about the significant reduction in energy use per person [26,27]. According to the environmental Kuznets Curve (EKC) hypothesis, economic growth initially leads to environmental degradation, which is then followed by environmental improvement [28]. The EKC theory has been extensively studied in studies that evaluate the correlation between GDP growth and CO2 emissions, but the findings have been contradictory. The research demonstrates a negative link between GDP and per capita CO2 emissions, lending credence to the EKC theory [8,29]. Per capita CO2 emissions start to rise again after high-income nations hit a particular level, according to the second piece of research [2,30,31]. Recent studies indicate that, in high-income countries, there is a point at which CO2 emissions per person start to increase again. Thus, reducing environmental damage caused by CO2 emissions can be achieved by using renewable energy sources and improving energy efficiency.
An effective energy efficiency management program for a corporation can help reduce environmental risk. Energy management can now be carried out using the same technological knowledge that has been used to manage other important aspects of the growth of developing and developed economies, such as industrial value added, energy consumption per person, and fossil fuel consumption. This study provides practical suggestions for tactics considering the aspects discussed above. Extensive study has focused on identifying the origins of CO2 emissions and developing measures to mitigate their impact on global warming [10,11]. Since fossil fuels provide around 80% of the world’s energy consumption, it was concluded that non-renewable energy consumption is a major contributor to CO2 emissions [12]. It is well-established that a significant source of CO2 emissions is the utilization of non-renewable energy sources [13]. The sources and distribution of atmospheric CO2 have been the subject of extensive research across a wide range of geographical and chronological scales [32,33]. The analysis found that energy intensity was the main factor influencing global CO2 emissions, whereas economic growth and population increase were the key variables driving CO2 emissions at the country level [34].
These studies use various methods and data to explore this impact, with most of them assuming a linear connection between REN consumption, non-renewable energy consumption, GDP per capita, and CO2 emissions per capita. Refer to Section 2 for a detailed overview of the literature [3,35]. This study stands out for its focus on economic growth. Previous research has also explored the dynamic relationship between energy use in emerging nations and economic growth [31,36]. This study utilizes newly developed panel threshold models to examine panel data from 97 nations between 1970 and 2022 to determine the presence of a nonlinear correlation between three factors and CO2 emissions [37]. Once a country achieves a certain threshold of renewable energy consumption, there is no adverse relationship between renewable energy consumption and the increase in carbon dioxide emissions per person [38]. So, when REN consumption increases, only countries with REN consumption levels above a certain threshold will witness a decrease in CO2 emissions per capita [39].
From a theoretical perspective, it appears that there is a nonlinear link between the percentage of renewable energy sources (REN) used by an individual and their CO2 emissions. Both the upfront and continuing costs of REN are more than those of traditional energy sources. At times of heavy energy demand, there may be shortages in supply because to the lesser storage capacity of REN compared to non-renewable energy sources [40,41]. One such analysis indicated that REN usage did not lead to a decrease in CO2 emissions; the research covered the years 1984–2007 and included 19 developed and developing nations [42]. However, due to improvements in technologies [43], REN has lately been utilized. In addition, REN sources have become more affordable in recent years, and the quality of REN technology has greatly improved due to significant investments in research and development [44,45]. Consequently, we anticipate that REN consumption will have a substantial impact on lowering CO2 emissions, industrial industry energy consumption, and fossil fuel energy consumption once nations reach a certain REN consumption threshold [27,46]. This is because REN may not have much of an effect on CO2 emissions at lower consumption levels due to high investment costs and storage issues. The primary finding of this study is that REN behavior is a dependent variable in the context of growth and CO2 emissions; this finding has implications for the classification of developing and developed nations by continent.
In certain respects, our paper contributes to the current literature. Firstly, most of the earlier works on EKC (e.g., Refs. [46,47,48,49,50,51] among numerous others) use a quadratic term of GDP per capita to depict the effects of REN. Prior studies have focused on the impact of GDP per capita on CO2 emissions but have not thoroughly explored the interconnection between renewable energy (REN), economic growth, energy consumption, and CO2 emissions. This study utilizes a panel dataset to forecast the correlation among CO2 emissions, energy use per capita, industries, construction, and fossil fuel energy consumption. It enables the examination of all possible connections using the Generalized Linear Model (GLM) and Robust Least Squares (RLS). The study utilizes the Generalized Linear Model (GLM) and the Robust Least Square (RLS) method to quantify the inverse correlation of REN as the dependent variable and highlight the impact of policymakers in developing and affluent nations on a continental level. It considers the effect of CO2 emissions and other gases from burning fossil fuels in trapping heat and contributing to the rise in both the frequency and severity of catastrophic storms [52]. Most of the existing research chose to prioritize the first-generation unit root test above considering cross-sectional dependence. We conduct second-generation unit root tests in this paper after verifying cross-sectional dependence. The variables in the regression model are determined based on the unit root findings.
Subsequent portions of the paper are organized as follows. Section 2 of this research investigates the factors behind REN and CO2 emissions. Details of the empirical estimation methods are outlined in Section 3. Details of the dataset used for this investigation are available in Section 4. Section 5 presents the outcomes of the dynamic linear and threshold estimations, together with the robustness analysis, cross-sectional dependence, and panel unit root tests. Section 6 concludes the report and provides policy recommendations.
2. Renewable Energy and CO2 Emissions
Major construction projects and infrastructure, such as roads, bridges, power plants, dams, cement, and steel, have been proven to have a substantial impact on global warming [4,11,13,53,54]. Therefore, improving environmental quality will grow, and developing alternatives is widely acknowledged as a feasible method to reduce CO2 emissions. Consequently, there will be a significant enhancement in environmental quality, and developing alternatives is widely acknowledged as an effective approach to decrease CO2 emissions.
The energy development levels vary significantly across developing and industrialized countries, while some impoverished nations possess abundant renewable resources [55]. Emerging and industrialized countries show a notable disparity in energy development, with some developing nations possessing these abundant renewable resources [9,56]. Despite extensive academic research, achieving ambitious goals and executing strategic objectives remains challenging and risky [57,58,59]. This study contributes in four ways. Insights from this study are valuable additions to the body of written material. This research supports the hypothesis that rapid economic growth affects the green economy [2]. While conclusive research is lacking, it is safe to assume that national market mechanisms are impacted by the structure of economic growth. Factors such as the role of energy, economic growth, and the influence of CO2 emissions were discovered to be positively connected with rapid changes in national structures [60].
The correlation between the implementation of renewable energy and the decrease in CO2 emissions is a widely studied study topic. Nevertheless, there are substantial gaps in our comprehension of this process, especially when examining the differences between emerging and industrialized nations. Previous research has confirmed a negative association between renewable energy consumption and CO2 emissions. Ref. [61] analyzed panel data indicates that higher utilization of renewable energy results in reduced CO2 emissions per person in developing nations. Refs. [62,63] indicate that renewable energy has a more pronounced negative effect on CO2 emissions in the leading carbon-emitting economies. The results support the overall assertion that shifting to renewable energy sources can be a crucial tactic for addressing climate change [64]. Second, the research gap highlights the moderating factors and enduring consequences. Despite the presence of current research, there are still some significant gaps. One important aspect to investigate further is the discovery of elements that could influence the link between renewable energy and CO2 emissions. The possible impact of financial development on this connection is emphasized [65]. A well-established financial market can improve the efficiency of renewable energy in decreasing emissions [66]. Additional research is required to investigate other possible moderators, such as energy efficiency legislation, infrastructure development, and industrial structure, especially in developing nations. Further research is needed to explore the long-term effects of implementing renewable energy on CO2 emissions [67]. Current research indicates a negative link, but further investigation into the enduring impact of extensive renewable energy integration on emissions is necessary through prolonged investigations and scenario modeling. Third, the discrepancies between developing and developed countries are displayed. The research gap pertains to the specific intricacies of the interaction between renewable energy and CO2 emissions in developing and industrialized countries [68]. Although certain studies focus on poor countries, a more thorough comprehension is required. Developed countries typically possess advanced infrastructure and grid systems, potentially impacting the efficiency of incorporating renewable energy in comparison to developing nations with less developed infrastructure [69]. Developing nations may require tailored strategies to optimize the CO2 reduction capacity of implementing renewable energy, taking into account their economic circumstances and energy sources. Additional study is necessary to explore these variations and create customized approaches that can impact policy decisions to promote the use of renewable energy and decrease emissions at different developmental phases [70].
Recent study shows that economic expansion has various effects on CO2 emissions in industrialized and developing nations, highlighting the statistical significance of the relationship between economic growth and CO2 emissions [71,72]. Some viewpoints suggest that many industrialized and developing countries have reduced their CO2 emissions by including CO2 in the products they acquire through international trade [73]. The country responsible for producing the emissions is held liable. A study using the Generalized Linear Model (GLM) and Robust Least Square (RLS) approaches found a negative correlation between CO2 emissions and economic development in developed countries [74,75]. Renewable energy use has been shown to greatly reduce CO2 emissions, whereas sustainable economic growth has been proven to increase CO2 emissions [76]. The research discovered a reciprocal causal relationship that runs in multiple directions: from renewable energy consumption to CO2 emissions, technological innovation to CO2 emissions, GDP to renewable energy consumption, and renewable energy consumption to technical innovation [77]. Economic diversification and investing natural resource extraction profits in emerging technology can help progress sustainable development [78]. Although there are other important criteria than technological progress and ecological security, the double-edged impact on reducing CO2 emissions has received less attention [52,79].
The expansion of efficiency has lagged behind the changes in infrastructure and development, such as urbanization and lifestyle changes, which have contributed to increased CO2 emissions [48,52,80,81]. Although both economic growth and environmental sustainability are crucial, many see the two as mutually exclusive because of the dangers posed by the former [82]. In 2020, wind power also prevented the emission of 600 million tons of CO2 into the air. Although there are systemic challenges to the energy transition, renewable energy’s promise to bolster sustainable development over the long run is encouraging [83,84]. REN has some significant disadvantages, such as expensive investment costs, limited scientific and technological advancements, demanding infrastructure requirements, and poor information accessibility. While REN has shown environmental benefits, their practical advantages are still being debated [42]. There has been a change in attention towards REN sources because of their reduced environmental footprint. Solar photovoltaics and wind power are considered potential renewable energy sources in relation to CO2 emissions [85,86].
Significant implications for these areas and environmental policy are revealed by this study’s examination of the links between industrialized and emerging nations in relation to CO2 emissions, economic growth, renewable energy utilization, industries, and trade [87,88]. There has been a shift in focus in recent years toward the interdependence of energy waste, energy transitions, and environmental sustainability as potential causes of excessive pollution. Strong technical capacities and strict environmental regulations are hallmarks of both developed and developing nations [89,90]. The industrialized world, despite having a significant capacity to absorb environmental dangers, nonetheless struggles to effectively regulate and reduce ongoing emissions. Both developed and growing nations have implemented strict environmental regulations and possess advanced technologies, giving them a significant capacity to manage environmental threats [26,91]. Industrialized nations’ attempts to control and reduce ongoing emissions are still being obstructed. Nathaniel and Iheonu used the Augmented Panel Mean Group (APMG) estimator to analyze the impact of CO2 emissions from renewable energy sources in 19 Sub-Saharan nations. They found that this sort of energy had a minimal effect on global emissions [92]. Recent study indicates that REN must achieve a specific degree of development before it can effectively reduce CO2 emissions. At this stage, the emphasis will move from reducing the cost of an energy transition to enhancing energy efficiency.
Firstly, REN sources are gaining popularity due to the increasing integration of the global economy. Renewable energy sources benefit from economic globalization by gaining access to financial resources and knowledge from many countries [93,94]. Its secondary effects improve environmental quality [95]. Developing countries can access environmentally friendly commodities and energy-saving technologies from established renewable energy enterprises in wealthy countries through liberalized trade. [96]. Additionally, when nations work together to develop a robust market for REN, a substantial reduction in the cost of transitioning to this energy source is possible. Secondly, political globalization promotes eco-friendly legislation and international cooperation in lowering carbon dioxide emissions. For example, the Paris Agreement to address climate change was approved by 196 UNFCCC parties in 2015. The Paris Accord established a framework for the distribution of financial and technical assistance to nations [97]. Third, cultural globalization is promoting REN use and environmental conservation as social norms. Because of information spreading, everyone on every continent now knows how important it is to safeguard the environment. Therefore, as countries of the globe become more linked, REN should be able to reduce CO2 emissions to a greater extent. It is still debatable whether or not globalization changes the connection between REN and CO2 emission levels from OECD countries.
While other studies have investigated the correlation between REN and CO2 emissions by focusing on exogenous variables like globalization, the present investigation accounts for endogenous elements, such as REN and CO2 emissions [98,99]. In order to find out whether globalization has changed the link between REN and CO2 emissions, this study use the Panel Smooth Transition Regression Model (PSTR) model, where globalization is the transition variable. One of our objectives is to study the role of globalization in the relationship between REN and CO2 emissions, since the two are interdependent. In addition to making strides in their own areas, the aforementioned research provides us with an opportunity to delve further into the link between REN and CO2 emissions. In contrast to the aforementioned, our research is focused on understanding how REN can reduce CO2 emissions dynamically in response to changes in globalization levels.
3. Materials and Methods
3.1. Data and Variables
The data period covers 1970–2022 for a panel consisting of 55 developing and developed countries (Appendix A). The nations are distributed throughout all continents, with 20 developed nations and 35 developing nations included. The availability of the panel dataset limited our examination in this study to 55 nations. Out of the overall number of countries listed, we will only be looking at 12, 4, 26, and 13 in the ECA, MENA, and East Asia (EAS) regions, respectively. There is a clear division between developing and developed countries across all four continents. In the EAS, SES, ECA, and MENA regions, there are 8, 4, 16, and 7 developing countries, and 4, 10, and 6 developed countries, respectively, throughout every continent. Countries’ development in calculating the proportion of green economic growth due to investments in GDP growth, CO2 emissions, research and development, and renewable energy was studied. The end product of an econometric estimation process using a Generalized Linear Model (GLM) and Robust Least Square (RLS) combination of two stages. In addition to positive benefits in composition and technology, there is also a positive statistical influence. The fields of economic growth and environmental degradation are two areas where both methods offer substantial benefits [100,101]. Panel datasets can manage a wide range of data distributions, including continuous data, and are more flexible, resilient, and interpretable than other types of datasets [102,103]. This also makes it easier to understand how the predictors relate to the response variable. By mitigating the effects of outliers, RLS resistance to outliers improves accuracy over regular least squares resistance [104,105]. In the end, this provides tools that are robust, flexible, and easy to understand for improving the reliability and accuracy of statistical inferences [106]. The composition impact was found to be much more influential than the technical effect during the course of the investigation [107]. This study also analyzes how the most influential potential public funding channels affect green economic growth in relation to REN. Findings suggest that higher government spending on education will benefit industries that rely on human capital. Government funding for research and development can accelerate technological progress.
Data sources and definitions for the explanatory variables used in the analysis are listed in Appendix B; these are abbreviated in Table 1. Factors to examine when discussing REN are GDP growth and CO2 emissions. The first diagram illustrates the relationship between REN, CO2 emissions, and CMIC. The second diagram shows the connections between REN, CMIC, EPC, and GDPC. The third diagram displays the relationship between REN and IVA. Each subgroup offers further evidence of its connection to developing and developed states across different continents. The pragmatic analysis utilizes yearly data from 55 developing and developed countries spanning from 1970 to 2022. REN provides primary energy equivalents from hydro (excluding pumped storage), solar, geothermal, tidal, and wave sources to Total Primary Energy Consumption (TPES). The source includes renewable municipal waste as well as various biofuels, such as bio-gasoline, biodiesel, liquid biofuels, and biogases. Biomass, derived from living or recently deceased organisms, serves as the basis for biofuels. Municipal authorities collect waste from businesses, residences, and government agencies. Thus, CO2 is not emitted during production, and a greater REN value is associated with technological advancements and significant expenditures in infrastructure. CO2 emissions occur during the combustion of fossil fuels and the production of cement utilizing a mix of solid, liquid, and gaseous fuels, as well as from flaring gas and gas fuels. EPC calculates the energy generated locally, and energy imported and stored, minus the energy exported with fuel subsidies. Manufacturing, construction, water, electricity, and gas all contribute to the industrial value added (IVA) as a proportion of GDP. The origin value is denoted by International Standard Industrial Classification (ISIC), versions 3 and 4. GDP per capita (GDPC) is the result of dividing the domestic product by the midyear population, taking into account the depletion of natural resources. CO2 emissions from manufacturing industries and construction (CMIC) result from the combustion of fuel in industrial processes. Fossil fuel energy consumption (FFE) includes oil, natural gas, and petroleum products.
Table 1.
Variables’ descriptions.
Extensive manufacturing and export growth negatively influence the environment by emitting CO2, while CMIC and FFE impact the infrastructure of this large-scale enterprise. Initially, increasing earnings lead to higher CO2 emissions at every phase of economic progress. An analysis of panel causality data revealed that REN has significantly influenced CO2 emissions, IVA, and GDPC, but did not have any effects on CMIC. CO2 emissions have had a notable impact on EPC, GDPC, and FFE in the SES region. Additionally, in the ECA region, CO2 emissions have affected EPC. We start by examining all possible explanatory factors in a panel dataset, utilizing Generalized Linear Models (GLM) if the data lacks stationarity, and conducting maximum likelihood estimation with various distributions. QML estimators are dependable as they consistently estimate the conditional mean of the parameters. The second-generation test applies the panel unit root test to each variable separately, allowing for serial correlation across different sections. Estimating the stationarity of each explanatory variable is essential for this purpose. Several unit root tests, like the IPS Augmented test and cross-sectional panel unit root test, validate the data.
3.2. Econometric Methods
The panel data identification approach includes a wide range of specifications, such as the Poisson model and Negative Binomial model. The Generalized Linear model (GLM) assumes that the data processes are stationary. The unit root test evaluates each variable to determine its stationary level and confirm the reliability of the results. The first-generation unit root test is conducted separately for each variable. We then calculated the robust estimation using the least squares method. The same findings were reached by [108], whose study utilized the Generalized Linear Model (GLM) and Robust Least Square (RLS) estimation methodologies, along with the Granger causality test, to analyze 102 nations between 1990 and 2015. In [109], it was found that each of the three regions in China had a distinct impact on the carbon dioxide emissions resulting from renewable energy networks. The middle region of China remained mostly unharmed by the negative impacts of REN that impacted the eastern and western areas of the country. It was theorized that the difference could be due to a geological factor in the surroundings. The GLM assumptions imply the first two moments of as a function of the linear predictor, where the Poisson Count .
Equation (1) demonstrates that the mean-variance relationship is exhibited by the equation , and is a possibly known scale factor. Equation (2) indicates that is the weight that modifies scaling between observations. GLM’s Likelihood estimator requires only the mean and the link assumption to obtain an estimate, with the distribution governing the mean–variance connection. The quasi-maximum likelihood (QML) estimator is a valuable tool for estimating GLM-like models that include the mean-variance specification of individual variables with an exponential family distribution that does not meet the distribution conditions (Equations (3) and (4)). The Poisson and Negative Binomial distributions are both part of the exponential family:
Dispersion is limited to 1 and prior weighting is prohibited. We adhere to the methodology of REN in analyzing CO2 emissions, average annual energy consumption, GDP, and industrial value. The data includes CO2 emissions from manufacturing and construction, as well as fossil fuel energy consumption.
Equation (5), where REN shows the REN and i = 1, …, 53 and t = 1970, …, 2022, specifies the region and time frame for calculating REN based on statistics related to per capita energy consumption, industrial value added, GDP growth rate, manufacturing industries, and fossil fuel consumption. It specifies the nation it fixed effect, 1i − 7i, are the parameters of elasticities for each explanatory variable of this panel data, and it specifies the country fixed effect.
Equation (6) indicates the second model for the robust least square by M-Estimation. If the scale is known, then the k-vector of coefficient estimates used for solving the k nonlinear 1st order equations. Regarding , where , the derivative of the function and specify the j-th regresses for observation. The model first calculated the S-estimates of the coefficient and scale prior to MM-estimation. It then utilized the scale as a constant value with the Bi-square function (4.683), resulting in 95% relative efficiency for normal error. The coefficient’s significance in the equation determines the direction of causation.
The REN is as in Equation (7), with “i” countries and “t” time period, and 1i − 7i are the parameters of each variable, with it the fixed effect of country.
4. Results
4.1. Descriptive Statistics and Unit Root
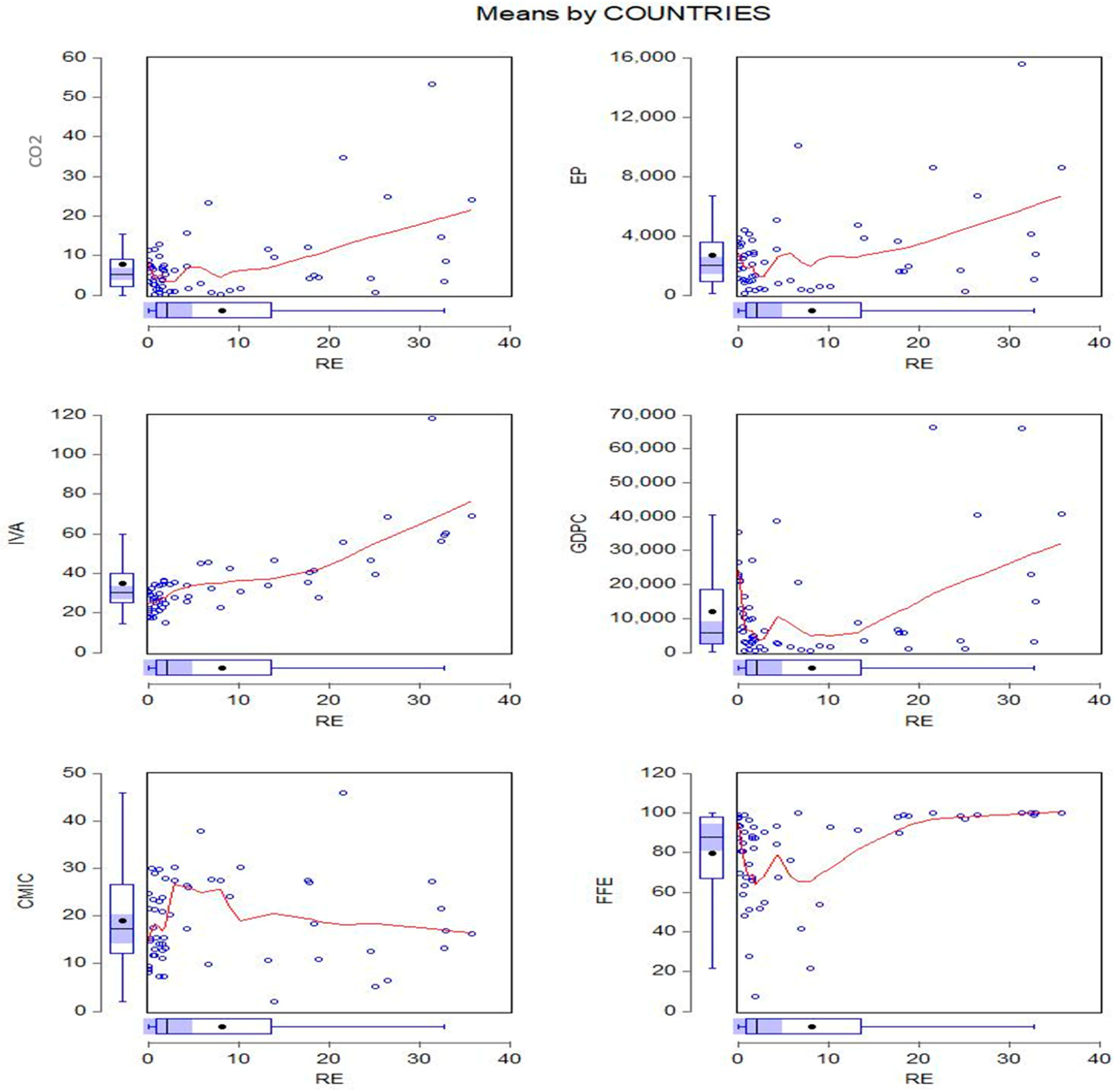
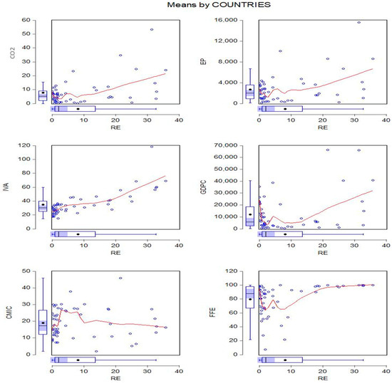
We utilized linear panel estimation methods to analyze data from developing and developed economies spanning from 1970 to 2022. The study aimed to investigate the influence of renewable energy as a dependent variable on economic growth, energy consumption, and CO2 emissions across four continents, with a detailed focus on each country’s renewable energy sector. Regarding the boxplot element analyzed in Figure 1, the median is represented by a 95% confidence interval with defined upper and lower whiskers of a predefined width.
Figure 1.
Continents distribution of countries. Sources: Authors’ compiling by the continents (EAS, SES, ECA and MENA).
REN predictors are closely linked to countries, as evidenced by the lower whisker of REN having the least number of outliers compared to FFE, EPC, and GDPC. Extensive analysis of dispersion in REN has been conducted, as depicted in Figure 2. The MENA region will require an investment of over $200 billion for a substantial project aimed at advancing REN and bolstering the socio-economic growth of the area. The impact of CO2 emissions and REN is rather little when compared to the impact of GDPC and EPC.
Figure 2.
State dispersal by variables.
Appendix C includes the following tests: LLC, IPS, ADF, PP, Hadri panel unit root, individual and trend intercept, stationary test, first generation unit root tests with a common root, CMIC, per capita GDP (Constant 2010 US dollar), and IVA as primary variables, other explanatory variables for both levels, and first difference to eliminate inconvenience. The cointegration test by Pedroni and Kao was conducted before assessing the GLM and RLS methods empirically (Appendix D). These methods are now widely used as dynamic approaches in relevant studies [49,110,111]. It is crucial to examine the dynamic interaction of factors while analyzing separate individual variables. The initial fluctuation in time is a critical factor for analyzing Granger causality between variables. Variables are directly affected by the delayed impact of policy decisions or past data. Thirdly, the relationship between variables changes with time, requiring dynamic computations for both short and long-term periods. The significant short-run coefficient indicates an imminent decrease in the short term [112]. The conclusion is based on the observation that the logarithm of the coefficient does not consider significant order relationships or transepts. The variance decomposition shows the percentage of focus arrow variance explained by a certain variable indicator over a five-year period in both the short and long term. In the long run, the influence of REN on itself diminishes over time, while the impact of predictor variables increases as time progresses. This indicates that predictors are showing a strong endogenous influence on REN in the future, while REN itself is displaying a weak endogenous influence [49,91]. For instance, in the short run, REN alone accounts for 100% of the focus arrow variance in period one.
Table 2 displays descriptive data for seven variables, probably associated with environmental influences. Let us analyze the facts and pinpoint possible connections. REN likely refers to a value with a mean of 0.915 and a standard deviation of 1.096. The dataset shows varying levels of renewable energy usage, with a somewhat positively skewed distribution (Skewness = 0.336). The CO2 emissions have a mean of 0.809 and a standard deviation of 0.888. The emissions show variability and skewed negatively with a skewness value of 0.507, indicating that certain data points may be below the average. The CMIC displays a mean of 1.210 and a standard deviation of 1.021. This suggests a stable trend in the prices of construction materials. The EPC has a mean of 3.364 and a standard deviation of 3.398. The high standard deviation indicates substantial variability in energy performance among the data points. The GDPC has a mean of 4.060 and a low standard deviation of 4.186, suggesting consistent economic growth across the dataset. The IVA has a mean of 1.530 and a standard deviation of 1.128. There appears to be some diversity in industrial activity among the data points. The FFE has a high mean of 1.894 and a low standard deviation of 1.368. The data indicates a steady dependence on fossil fuels throughout the dataset, showing a modest negative skew with a Skewness value of −1.220. Further investigation is required to confirm the probable association between REN and CO2 emissions and to investigate the connections with other variables. The significant standard deviation in EPC and IVA indicates that these elements could be promising subjects for more research, particularly regarding their influence on REN or CO2. The continually high FFE indicates a necessity to investigate options for decreasing reliance on fossil fuels.
Table 2.
Descriptive statistics.
Figure 3A,B illustrates the residual presence of REN in various countries by region. The null hypothesis remains unchallenged in most cases, except for CO2 emissions, IVA, and GDPC.

Figure 3.
(A) Regression of East and South Asia. (B) Regression of Central Europe and the Middle East.
We calculated the Generalized Linear Model (GLM) using Poisson Quasi-likelihood, followed by the Wald test. The value was evaluated using Negative Binomial (k) with a family parameter. Panel Least Square (PLS) was conducted before the empirical assessment of Robust Least Square (RLS) estimations.
4.2. Panel Regression Analysis
The study examines the relationship between REN, CO2 emissions, energy consumption, economic growth of countries, the industrial revolution, energy consumption from fossil fuels, and energy consumption per capita. In applied economics, the split between dynamics and statistics is not a division between realism and abstraction, but rather a comparable differentiation seen in economic history. It is important to recognize this divergence as confirmation. The concept of equilibrium is essential in static, dynamic, and statistical contexts. Equilibrium is crucial in both statics and dynamics. If not handled carefully in dynamic situations, it can disrupt the balance totally and alter the equilibrium level.
A dynamic model needs to be created with lagged endogenous variables and serially correlated error, since the static model’s endogenous explanatory variables do not contain information about the variables’ historical values and the error term is serially and mutually independent. GLM and RLS estimations use lagged dependent variables as explanatory factors in the regression equation, demonstrating the dynamic relationship and enabling the development of a dynamic model for the endogenous variables. These methods are frequently employed in the dynamic methodologies of numerous associated inquiries. When analyzing variables independently, it is crucial to consider their dynamic relationship. When examining mean-variance, the initial time variation is an essential factor to take into account. The delayed effects of the policy or past information directly influence changes in variables. When studying developing countries, it is important to analyze the dynamic lagging, which is rooted in the historical economic foundation and the progress made through an economic corridor. RLS requires estimation of M, S, and MM in different places because of the differences in the connection between variables.
4.3. Covariance of GLM
Table 3 shows the covariance that has been computed by Quasi-maximum Likelihood (QML) z-Statistics in negative binominal log-likelihood with ordinary, Huber–White and HAC (Newley–West) for different regions. Equation (5) uses a Poisson regression to find out what values the dependent variable should take. The z-statistics of the coefficient are significantly positive, including overdispersion in the residuals of individuals. The presence of overdispersion is k = 0.536 in EAS, 0.047 in South Asia, 0.819 in ECA Central and 0.0001 in the MENA.
Table 3.
Covariance by GLM.
4.4. Robust Least Square
Figure 4A,B indicates the robust regression by M-estimation. S-estimation and MM-estimation, which employ the REN of the panel dataset with explanatory variables. Before the estimation of robust regression, the ordinary least squares have been computed in the work file and findings confirmed using diagnostic influence statistics to examine leverages for the second model. The Bi-square function with a default tuning parameter value of 4.685 was utilized in each estimation performed using the median absolute deviation approach, and z-statistics were calculated using the estimated covariance matrix from the Huber distribution. The impact of switching from least squares to M-estimation on the estimated coefficients is shown (Table 4). The pursuit of economic progress through robust regression has unique socio-economic ramifications for both developing and established nations. Developing countries frequently prioritize quick economic growth to reduce poverty and enhance living conditions. This can result in a compromise between immediate benefits and enduring viability. Actions such as deforestation, overfishing, and dependence on fossil fuels, although boosting GDP, can worsen income inequality and societal problems [113]. Environmental deterioration from these practices can harm health through pollution, disturb traditional livelihoods, and endanger cultural heritage [46]. Furthermore, environmental influences can limit schooling and social mobility chances. Challenges differ for developed nations.

Figure 4.
(A) East and South Asia GDPC and CO2 emissions. (B) Europe and Central Asia GDPC and CO2 emissions.
Table 4.
Robust least square.
Table 5 displays the correlation coefficient “r” calculated using the similar deletion approach compared to the standard method, indicating the strength and direction of the linear association between variables in various regions. There was a modest positive linear association between CO2 emissions and REN in ECA central with a correlation coefficient of 0.129, and a moderate positive link in EAS with a correlation coefficient of 0.443. likewise, the highest positive uphill linear relationship between EPC to CO2 emissions was 0.921 in ECA and MENA with 0.733. Furthermore, GDPC and CO2 show the highest attitude in SES and MENA with 0.892 and 0.873. A highest correlation coefficient greater than 0.8 is generally considered a strong positive correlation. This means that there is a substantial linear relationship between EPC and CO2, and between GDPC and CO2. As EPC and GDPC increase, the CO2 tends also to increase, in a relatively predictable way. A correlation greater than 0.8 suggests a substantial and likely linear association between two variables.
Table 5.
Continents’ correlation.
In the EAS, the results of robust estimates show statistically more CO2 emissions, IVA, CMIC and FFE on REN than ordinary panel least squares, and strongly reject the null hypothesis, where the robust estimation indicates less coefficient value via comparatively least squares. Consequently, Equation (7) suggests the observation of high leverage for the relationship between them. EPC and GDPC do not show any change in robust estimation. Furthermore, the R2 (24.65) and R2 (81.26) adjusted and goodness-of-fit measure indicate that the model provides approximately 60–90% of the variation in the constant-only model.
Likewise, in the SES, CO2 emissions, EPC and IVA strongly reject the null hypothesis, suggesting the high leverage relationship among them. GDPC, CMIC and FFE do not reject the null hypothesis. In ECA central CO2 emissions, IVA and FFE on REN strongly reject the null hypothesis, where the robust estimation indicates less value relatively to panel least squares. CMIC has not rejected the null hypothesis and EPC and GDPC show no effect in robust estimation. In the MENA region, rigorous estimates indicate a significant negative effect of CMIC and FFE on REN compared to ordinary least squares. The null hypothesis is strongly rejected, indicating a high leverage in the link between REN, CMIC, and FFE. The least squares analysis of CO2 emissions and IVA suggests that the null hypothesis is not rejected. Additionally, the robust estimation indicates no change in EPC and GDPC. The M-estimation yielded a turning parameter of 4.684, and the results from M-estimation and MM-estimation are consistently identical across all regions’ robust estimations.
5. Discussion
In Figure 4A,B, high economic growth had a favorable impact but led to increased CO2 emissions in all EAS countries, except Australia, Japan, and New Zealand. Employing a Panel Autoregressive Distributed Lag (PARDL) model, [48,81,96,114] examined the effect of transitioning to renewable energy sources on CO2 emissions in developed nations. Ref. [115] is ideal for examining changes in parameters over time. This research uses the PSTR model to gain a deeper understanding of energy challenges. Aydin and Cetintas found an inverted U-shaped relationship between economic advancement and environmental deterioration while considering REN as the transition variable. Chiu and Lee [116,117,118,119] employed several transition variables to analyze how countries’ risks affect the relationship between energy and finance. Both short-term and long-term evaluations showed that switching to REN reduced CO2 emissions. Bilgili et al. base their conclusions on research carried out in 17 OECD nations. Ref. [120] illustrated that carbon dioxide emissions decreased while economic growth grew due to the implementation of renewable energy sources. Despite the challenge of “GDP”, which results in environmental damage, the social impacts are typically less noticeable. The long-term effects of climate change, resource depletion, and environmental degradation jeopardize future generations [46,121,122]. To decouple economic activity from environmental impact, investments in green programs and technology may lead to employment losses in particular sectors. This transformation offers opportunities for new sectors and green technology, promoting creativity and investment. Ultimately, ssaustainable development involves a transition from maximizing GDP to a comprehensive approach that incorporates socio-economic impacts for everybody. Both developing and developed nations must adopt environmental and social well-being criteria [52,123]. In the future, developing countries are anticipated to be the origin of climatic disaster in Asia [107]. Their inadequate infrastructure and limited resources will hinder their ability to adjust to and maintain economic growth in response to climate change. This is shown by Singapore’s significant economic growth with comparatively low CO2 emissions and Brunei’s emissions exceeding the median level.
Ref. [124], conducted on the economies of Brazil, Russia, India, Indonesia, China, Turkey, and South Africa (BRIICS), found that Renewable Energy Sources (REN) are beneficial for enhancing environmental quality [48,125]. Any environmentally conscious industrial strategy should prioritize boosting the usage of REN sources and solving issues related to energy demand, it was agreed. Despite a plethora of research, results about the ecological effects of REN have been highly variable. Two main ideas arise from the actual results [126]. The initial set of studies demonstrates that reducing CO2 emissions and increasing the utilization of renewable energy sources benefit the environment. The growing utilization of renewable energy sources has adverse effects on the environment, depletes vital green areas, and worsens pollution, hindering efforts to reduce CO2 emissions [127]. Therefore, it is crucial to examine the influence of REN on CO2 emissions. Another perspective suggested that REN had no significant effect on the environment, with certain scholars providing evidence to support this assertion. Ref. [128] posited that nations with lower per capita wealth did not experience the CO2 emissions reduction advantages of REN. Reduction effects are significant in countries with both low and high per capita income. Countries with higher revenues are believed to possess the necessary cash, advanced scientific understanding, and infrastructure to effectively decrease CO2 emissions.
The United Arab Emirates and Qatar, countries with the second-highest ecological footprint globally, are raising CO2 emissions in the MENA region. Romania saw a 14.6% decrease in fossil fuel combustion in 2012. Turkmenistan experienced a significant increase in CO2 emissions from 19 million to 100 million in tonnes between 1997 and 2016, with an annual growth rate of 10–20%. Hungary and Ukraine are showing slight decreases in emissions. Applying the Generalized Spatial Two-stage Least Squares (GS2SLS) approach, Redmehr et al. [129] examined the direct causes of the rise in CO2 emissions from 1995 to 2014 within the framework of ECA. They established a one-way causal link between REN and CO2 emissions, suggesting that CO2 reduction methods should be integrated into investment strategies for REN.
CO2 emissions, EPC, IVA, GDPC, CMIC, and FFE make significant exogenous contributions, leading to areas being influenced in different ways. CMIC and FFE have a significant impact on predictor factors in the EAS and MENA regions, but a minor impact on predicting REN in the SES and ECA regions. A predator is expected to have a significant endogenous impact on REN in the future, while REN itself shows a minor endogenous influence by itself. Refs. [48,50,119,130] argue that reducing CO2 emissions would only become noticeable until the renewable energy supply in total energy supply for the 20 OECD countries reached 8.39% between 1996 and 2005, as indicated by one analysis. Efforts to establish a cause-and-effect connection between renewable energy consumption (REC) and CO2 emissions have produced diverse outcomes, potentially influenced by several factors. Considering the relationship between REC and CO2 emissions, it is crucial to acknowledge the significant influence of globalization. Globalization has various environmental advantages, such as encouraging the use of renewable energy sources and reducing pollution.
6. Conclusions and Recommendation
Developing and developed countries exemplify economic cooperation within continents, structured around two cores with varying income levels. The data analysis reveals a correlation among CO2 consumption, REN, manufacturing industry, construction value added, fossil fuel, and GDP per capita for the entire group, as well as regional economic growth and possibilities for energy consumption cooperation among the countries. Developing and industrialized countries on the same continent exhibit distinct economic behaviors, leading to region-specific policy suggestions for energy. Significant and swift economic expansion was observed in EAS countries, with a connection identified among GDPs per capita, industry value added, and REN.
The results from developing countries emphasize the importance of renewable energy sources (REN) and improving industrial structures. Many developing countries, such as China, are maintaining economic growth while reducing CO2 emissions. This underscores the importance of renewable energy sources. To investigate various renewable energy sources, such as geothermal energy, solar power, hydropower, and wind turbines for electricity generation, it is necessary to invest in technological advancements and finance. Continental countries’ trade and financial investments are advancing through initiatives that involve constructing transportation, energy, and infrastructure for cable networks. The New Development Bank (NDB) of the BRICS countries, along with the World Bank (WB), Asian Infrastructure Investment Bank (AIIB), Asian Development Bank (ADB), and China Development Bank (CDB), should collaborate to support long-term investment in energy infrastructure through Renewable Energy (REN) development. This collaboration aims to reduce energy market volatility with the assistance of the International Energy Agency (IEA) and the Organization of Petroleum Exporting Countries (OPEC).
Renewable energy (REN) development strategies should consider the unique characteristics of each country and region. For example, Chinese enterprises have completed more than 3100 projects with developing nations in areas such as hydraulics and biomass. India has had a negative impact on global warming, and there is no statistically significant correlation between renewable energy consumption and economic growth in SES countries. Due to their low GDP and relatively low energy use, the United Arab Emirates (UAE) and Oman exhibit weaker causality in ECA countries. Economic growth and increased diversification of energy sources have had a profound impact on the MENA area. The conclusion implies that the most important sources of economic development come from traditional fossil fuel energy rather than REN, and global energy demand is expanding by an average of 1 percent per year from 2010 to 2040. Natural gas is expected to see the most significant economic growth and has become essential in meeting future energy needs. Advancing developing nations’ economies can involve power-transmission routes, cross-border power supply networks, continental power grid upgrades, and establishing cross-value-added enterprises. Additional theoretical analysis of the relationship identified in the empirical study may provide valuable insights to enhance the formulation of more sophisticated and comprehensive future policy suggestions. Analyzing the connection revealed in the empirical study through a theoretical framework might enhance understanding of the subject and help policymakers adjust relevant policies more comprehensively in the future.
These findings have significant implications for policies and initiatives aimed at achieving a transition to renewable energy and net-zero emissions. Our research emphasized that addressing income inequality through income redistribution would result in a substantial increase in the utilization of renewable energy sources, accompanied by a reduction in energy intensity and non-renewable energy consumption. By implementing redistributive measures, like taxation, particularly on windfall profits from the extraction of non-renewable energy, policymakers could generate adequate funds to support welfare programs targeting low-income households, thereby promoting energy efficiency and a greater demand for renewable energy sources. Furthermore, managing corruption represents an additional pathway towards improving energy efficiency and fostering energy transition. To eliminate inefficiencies in energy policy and prevent misuse of money intended for renewable energy, we need to effectively monitor industrialization, per capita energy consumption, and fossil fuel usage, especially in the energy sector. Promoting the absence of consequences for corrupt practices could foster moral hazard and impede the implementation of policies, programs, and initiatives aimed at attaining the net-zero objective via the utilization of renewable energy sources and energy efficiency. Despite the fact that this study investigates the ways in which the adoption of renewable energy affects CO2 emissions, particularly from important industries such as manufacturing and construction, it is quite likely that it does not capture the complete picture. There is a possibility that it may not take into consideration the differences that exist between developed and developing economies, as well as the impact of particular policies and technological breakthroughs. Another factor that can have an effect on these correlations is that it is also possible that the findings are not as thorough as they may be because of the measurements and timeframe that were selected for interpretation. Despite providing a moderate empirical contribution to policy concerns around the attainment of energy transition and net zero, this study is not without its constraints. For our research, we used a global sample of 55 countries. Although utilizing a sizable sample size enhances the validity of generalizations and conclusions, it is likely that the policy recommendations it generates do not pertain to specific countries. Because of this limitation, more research can look into the link between REN, economic growth, energy use, and the interaction of CO2 emissions in developing and industrialized nations by using analytical methods that are specific to each nation. Further investigation into the adoption of renewable energy sources can be conducted by targeting certain sectors, taking socioeconomic aspects into account, and investigating the effects of regulations, new technology, and funding methods. To fully comprehend the energy transition in both established and emerging economies, it is necessary to make regional assessments, case studies, and long-term assessment of climate change and socioeconomic benefits. By doing so, policymakers would have a far better understanding of the political and economic factors that make it difficult to achieve carbon neutrality and complete the energy transition by the year 2050. Nonetheless, our findings may help shape global energy transition and net-zero policies through their policy implications.
Author Contributions
Conceptualization, R.K.; Methodology, Z.B. and R.K.; Software, R.K.; Validation, Z.B. and R.K.; Formal analysis, Z.B., R.G. and R.K.; Investigation, R.G. and R.K.; Resources, R.K.; Data curation, R.K.; Writing—original draft, R.K.; Writing—review & editing, R.K.; Visualization, R.G.; Supervision, Z.B.; Funding acquisition, R.G. All authors have read and agreed to the published version of the manuscript.
Funding
Fujian University of Technology Launch Project “Multi-party information sharing incentive of Internet finance in China” (E2100068).
Data Availability Statement
No new data were created or analyzed in this study.
Acknowledgments
We are receptive to sound advice, and I appreciate the support and knowledge that my teachers have given me. I have the highest regard for the educational options offered by Fujian University of Technology. In my pursuit, the encouragement of those closest to me has been priceless. A disabled child’s value is immeasurable if they are prepared to put their emotions on the back burner in order to succeed academically. When I am down, I know that love is there to pick me up and carry me on. A grant of 22BGL007 from the Chinese National Social Science Foundation supported this endeavor.
Conflicts of Interest
The authors declare no conflict of interest.
Appendix A
Table A1.
Countries classification by continents.
Table A1.
Countries classification by continents.
| EAS | SES | ECA | MENA |
|---|---|---|---|
| 20 Developed countries | |||
| Australia | Cyprus | Bahrain | |
| Brunei Darussalam | Czech Republic | Kuwait | |
| New Zealand | Estonia | Oman | |
| Singapore | Greece | Qatar | |
| Hungary | Saudi Arabia | ||
| Latvia | United Arab Emirates | ||
| Lithuania | |||
| Poland | |||
| Slovak Republic | |||
| Slovenia | |||
| 35 Developing countries | |||
| China | Afghanistan | Albania | Egypt |
| Indonesia | Bangladesh | Armenia | Iran |
| Jamaica | Nepal | Azerbaijan | Iraq |
| Malaysia | Pakistan | Belarus | Tunisia |
| Myanmar | Bosnia and Herzegovina | Syrian Arab Republic | |
| Philippines | Bulgaria | Lebanon | |
| Thailand | Georgia | Yemen | |
| Vietnam | Kazakhstan | ||
| Macedonia FYR | |||
| Montenegro | |||
| Romania | |||
| Russian Federation | |||
| Serbia | |||
| Turkey | |||
| Ukraine | |||
| Uzbekistan | |||
Appendix B
Data availability: CO2 emissions, CMIC, EPC, GDPC, IVA, and FFE statistics from https://databank.worldbank.org/home.aspx; REN from https://data.oecd.org/energy/renewable-energy.htm.
Appendix C
Table A2.
The unit root of individual variables.
Table A2.
The unit root of individual variables.
| Individual Intercept | Individual Intercept and Trend | ||||||||||
|---|---|---|---|---|---|---|---|---|---|---|---|
| Var | CR | Individual Root | Hadri | CR | Individual Root | Hadri | |||||
| LLC | IPS | ADF | PP | LLC | Breitung | IPS | ADF | PP | |||
| REN | −45.081 *** | −14.655 *** | 277.811 *** | 319.731 *** | 8.561 *** | −41.623 *** | −1.624 *** | −11.946 *** | 474.533 *** | 262.246 *** | 8.890 *** |
| CO2 | 3.793 | 3.378 | 112.976 | 174.445 *** | 14.834 *** | −0.049 | 6.733 | 0.1345 | 146.778 *** | 223.562 *** | 14.875 *** |
| CMIC | −4.591 *** | −2.782 *** | 165.829 *** | 198.960 *** | 20.743 *** | −0.883 | 0.589 | −0.671 | 138.004 *** | 161.442 *** | 13.319 *** |
| EPC | 0.821 | −1.927 *** | 246.719 *** | 170.106 *** | 22.295 *** | −8.444 *** | 7.478 | −4.858 *** | 487.043 *** | 508.021 *** | 17.956 *** |
| GDPC | 7.889 | 10.048 * | 65.195 * | 44.285 | 28.153 *** | 2.286 * | 5.111 | 3.553 | 105.392 * | 88.310 | 12.075 *** |
| IVA | −3.238 *** | −2.456 *** | 130.173 ** | 148.074 *** | 16.561 *** | 1.618 | 1.532 | 1.144 | 93.617 | 100.423 | 14.261 *** |
| FFE | −23.229 *** | −6.334 *** | 143.534 *** | 173.255 *** | 27.032 *** | −41.326 *** | 5.076 | −7.894 ** | 380.645 *** | 396.682 *** | 16.261 *** |
| 1st Difference | |||||||||||
| Var | LLC | IPS | ADF | PP | Hadri | LLC | Breitung | IPS | ADF | PP | |
| REN | −32.655 *** | −35.511 *** | 982.475 *** | 1436.691 *** | 3.203 *** | −26.232 *** | −12.969 *** | −28.873 *** | 1067.373 *** | 2195.09 *** | 14.318 *** |
| CO2 | −16.64 *** | −21.214 *** | 690.793 *** | 1491.563 *** | 0.814 * | −15.710 *** | −7.088 *** | −15.851 *** | 578.604 *** | 1538.474 *** | 4.917 *** |
| CMIC | −19.291 *** | −26.095 *** | 825.346 *** | 1444.552 *** | 0.834 | −15.844 *** | −13.674 *** | −20.958 *** | 688.297 *** | 2357.971 *** | 8.227 *** |
| EPC | −16.810 *** | −20.811 *** | 670.102 *** | 1147.910 *** | 2.535 *** | −13.042 *** | −7.679 *** | −16.7054 *** | 554.147 *** | 1320.893 *** | 3.396 *** |
| GDPC | −7.350 *** | −13.544 *** | 449.304 *** | 620.338 *** | −2.216 * | −8.883 *** | −7.504 *** | −12.234 *** | 401.142 *** | 607.094 *** | 2.035 *** |
| IVA | −13.510 *** | −19.119 *** | 600.795 *** | 1055.217 *** | −0.070 *** | −10.398 *** | −10.417 *** | −15.742 *** | 496.242 *** | 1155.780 *** | 4.247 *** |
| FFE | 47.808 * | −18.366 *** | 947.362 *** | 1391.544 *** | 5.573 *** | 96.177 | −7.014 *** | −10.535 *** | 940.241 *** | 2310.390 *** | 8.933 *** |
Sources: Authors’ computation. The user has calculated the individual impacts of exogenous variables using preset lags of 1 in Newely–West automatic bandwidth selection and Bartlett kernel. The probability for Fisher tests follows an asymptotic square distribution. The definition of variables in Table 1 indicates significance levels at 1%, 5%, and 10% denoted by ***, **, and *, respectively.
Appendix D
| Individual Intercept | Individual Intercept and Individual Trend | No Intercept or Trend | ||||
|---|---|---|---|---|---|---|
| Statistic | Weighted Statistics | Statistic | Weighted Statistics | Statistic | Weighted Statistics | |
| Panel v-Statistic | 0.018 * | −3.087 * | −1.621 * | −5.502 | 0.071 * | −3.047 * |
| Panel rho-Statistic | 1.960 * | 2.227 * | 3.349 * | 5.075 | 2.175 * | 1.213 * |
| Panel PP-Statistic | −4.011 *** | −6.898 *** | −4.834 *** | −6.201 *** | −2.899 *** | −6.859 *** |
| Panel ADF-Statistic | −0.399 * | −4.414 *** | −1.057 * | −5.301 *** | −0.434 * | −3.353 *** |
| Alternative hypothesis: individual AR coefs. (between-dimension) | ||||||
| Individual intercept | Individual intercept and individual trend | No intercept or trend | ||||
| Group rho-Statistic | 5.901 | 7.801 | 4.528 | |||
| Group rho-Statistic | −13.944 *** | −12.481 *** | −12.697 *** | |||
| Group rho-Statistic | −9.249 *** | −8.129 *** | −4.723 *** | |||
*** defines the levels of statistical significance at 1%, * defines the levels of statistical significance at 10%.
Specified with lag length 1 with Newey–West automatic bandwidth (Bartlett Kernel). Furthermore, the Kao Residual Cointegration (t-Statistics) are −8.129 *** (ADF), 16.394 (Residual variance) and 10.121 (HAC Variance).
References
- Le, T.H. Connectedness between nonrenewable and renewable energy consumption, economic growth and CO2 emission in Vietnam: New evidence from a wavelet analysis. Renew. Energy 2022, 195, 442–454. [Google Scholar] [CrossRef]
- Jiang, Q.; Rahman, Z.U.; Zhang, X.; Guo, Z.; Xie, Q. An assessment of the impact of natural resources, energy, institutional quality, and financial development on CO2 emissions: Evidence from the B&R nations. Resour. Policy 2022, 76, 102716. [Google Scholar] [CrossRef]
- Rahman, M.M.; Alam, K.; Velayutham, E. Reduction of CO2 emissions: The role of renewable energy, technological innovation and export quality. Energy Rep. 2022, 8, 2793–2805. [Google Scholar] [CrossRef]
- Sheraz, M.; Deyi, X.; Sinha, A.; Mumtaz, M.Z.; Fatima, N. The dynamic nexus among financial development, renewable energy and carbon emissions: Moderating roles of globalization and institutional quality across BRI countries. J. Clean. Prod. 2022, 343, 130995. [Google Scholar] [CrossRef]
- Hu, M.; Li, R.; You, W.; Liu, Y.; Lee, C.-C. Spatiotemporal evolution of decoupling and driving forces of CO2 emissions on economic growth along the Belt and Road. J. Clean. Prod. 2020, 277, 123272. [Google Scholar] [CrossRef]
- Hussain, J.; Khan, A.; Zhou, K. The impact of natural resource depletion on energy use and CO2 emission in Belt & Road Initiative countries: A cross-country analysis. Energy 2020, 199, 117409. [Google Scholar] [CrossRef]
- Wang, X.; Liu, Y.; Bi, J.; Liu, M. New challenges of the Belt and Road Initiative under China’s “3060” carbon target. J. Clean. Prod. 2022, 376, 134180. [Google Scholar] [CrossRef]
- Muhammad, S.; Long, X. Rule of law and CO2 emissions: A comparative analysis across 65 belt and road initiative(BRI) countries. J. Clean. Prod. 2021, 279, 123539. [Google Scholar] [CrossRef]
- Schulhof, V.; van Vuuren, D.; Kirchherr, J. The Belt and Road Initiative (BRI): What Will it Look Like in the Future? Technol. Forecast. Soc. Chang. 2022, 175, 121306. [Google Scholar] [CrossRef]
- Anwar, M.A.; Nasreen, S.; Tiwari, A.K. Forestation, renewable energy and environmental quality: Empirical evidence from Belt and Road Initiative economies. J. Environ. Manag. 2021, 291, 112684. [Google Scholar] [CrossRef]
- Deng, X.; Du, L. Estimating the environmental efficiency, productivity, and shadow price of carbon dioxide emissions for the Belt and Road Initiative countries. J. Clean. Prod. 2020, 277, 123808. [Google Scholar] [CrossRef]
- Wang, X.; Wang, Y.; Wei, C. The impact of natural resource abundance on green economic growth in the belt and road countries: The role of institutional quality. Environ. Impact Assess. Rev. 2023, 98, 106977. [Google Scholar] [CrossRef]
- Yang, Y.; Wang, H.; Löschel, A.; Zhou, P. Patterns and determinants of carbon emission flows along the Belt and Road from 2005 to 2030. Ecol. Econ. 2022, 192, 107260. [Google Scholar] [CrossRef]
- Li, R.C.L.; Dao, K.K.M.; Ho, D.W.H.; Lui, S.C.L. Development & Use of Renewable Energy in Sewage Treatment Facilities. Energy Procedia 2019, 158, 502–508. [Google Scholar] [CrossRef]
- Somoza-Tornos, A.; Guerra, O.J.; Crow, A.M.; Smith, W.A.; Hodge, B.-M. Process modeling, techno-economic assessment, and life cycle assessment of the electrochemical reduction of CO2: A review. iScience 2021, 24, 102813. [Google Scholar] [CrossRef] [PubMed]
- Saidi, K.; Omri, A. Reducing CO2 emissions in OECD countries: Do renewable and nuclear energy matter? Prog. Nucl. Energy 2020, 126, 103425. [Google Scholar] [CrossRef]
- Balsalobre-Lorente, D.; Driha, O.M.; Leitão, N.C.; Murshed, M. The carbon dioxide neutralizing effect of energy innovation on international tourism in EU-5 countries under the prism of the EKC hypothesis. J. Environ. Manag. 2021, 298, 113513. [Google Scholar] [CrossRef] [PubMed]
- Beyene, S.D. Human activities and environmental quality: Evidence beyond the conventional EKC hypothesis. Heliyon 2022, 8, e10756. [Google Scholar] [CrossRef]
- Awan, A.; Abbasi, K.R.; Rej, S.; Bandyopadhyay, A.; Lv, K. The impact of renewable energy, internet use and foreign direct investment on carbon dioxide emissions: A method of moments quantile analysis. Renew. Energy 2022, 189, 454–466. [Google Scholar] [CrossRef]
- Madaleno, M.; Nogueira, M.C. How Renewable Energy and CO2 Emissions Contribute to Economic Growth, and Sustainability—An Extensive Analysis. Sustainability 2023, 15, 4089. [Google Scholar] [CrossRef]
- Oliveira, J.C.; Nogueira, M.C.; Madaleno, M. Do the Reduction of Traditional Energy Consumption and the Acceleration of the Energy Transition Bring Economic Benefits to South America? Energies 2023, 16, 5527. [Google Scholar] [CrossRef]
- Liu, Y.; Lai, X. EKC and carbon footprint of cross-border waste transfer: Evidence from 134 countries. Ecol. Indic. 2021, 129, 107961. [Google Scholar] [CrossRef]
- Leal, P.H.; Marques, A.C. Rediscovering the EKC hypothesis for the 20 highest CO2 emitters among OECD countries by level of globalization. Int. Econ. 2020, 164, 36–47. [Google Scholar] [CrossRef]
- Liu, Z.; Qiu, C.; Zhu, L. Dynamic Role of Green Energy Efficiency and Climate Technologies in Realizing Environmental Sustainability: Fresh Insights from China. Front. Environ. Sci. 2022, 10, 908470. [Google Scholar] [CrossRef]
- Bradley, P. An Institutional Economics Framework to Explore Sustainable Production and Consumption. Sustain. Prod. Consum. 2021, 27, 1317–1339. [Google Scholar] [CrossRef]
- Kaika, D.; Zervas, E. The environmental Kuznets curve (EKC) theory. Part B: Critical issues. Energy Policy 2013, 62, 1403–1411. [Google Scholar] [CrossRef]
- Rashid Gill, A.; Viswanathan, K.K.; Hassan, S. The Environmental Kuznets Curve (EKC) and the environmental problem of the day. Renew. Sustain. Energy Rev. 2018, 81, 1636–1642. [Google Scholar] [CrossRef]
- Shittu, W.; Adedoyin, F.F.; Shah, M.I.; Musibau, H.O. An investigation of the nexus between natural resources, environmental performance, energy security and environmental degradation: Evidence from Asia. Resour. Policy 2021, 73, 102227. [Google Scholar] [CrossRef]
- Tenaw, D.; Beyene, A.D. Environmental sustainability and economic development in sub-Saharan Africa: A modified EKC hypothesis. Renew. Sustain. Energy Rev. 2021, 143, 110897. [Google Scholar] [CrossRef]
- Li, W.; Qiao, Y.; Li, X.; Wang, Y. Energy consumption, pollution haven hypothesis, and Environmental Kuznets Curve: Examining the environment–economy link in belt and road initiative countries. Energy 2022, 239, 122559. [Google Scholar] [CrossRef]
- Fakher, H.A.; Ahmed, Z.; Acheampong, A.O.; Nathaniel, S.P. Renewable energy, nonrenewable energy, and environmental quality nexus: An investigation of the N-shaped Environmental Kuznets Curve based on six environmental indicators. Energy 2023, 263, 125660. [Google Scholar] [CrossRef]
- Dong, K.; Dong, X.; Dong, C. Determinants of the global and regional CO2 emissions: What causes what and where? Appl. Econ. 2019, 51, 5031–5044. [Google Scholar] [CrossRef]
- Jiao, J.; Chen, C.; Bai, Y. Is green technology vertical spillovers more significant in mitigating carbon intensity? Evidence from Chinese industries. J. Clean. Prod. 2020, 257, 120354. [Google Scholar] [CrossRef]
- Chang, C.-P.; Dong, M.; Sui, B.; Chu, Y. Driving forces of global carbon emissions: From time- and spatial-dynamic perspectives. Econ. Model. 2019, 77, 70–80. [Google Scholar] [CrossRef]
- Karaaslan, A.; Çamkaya, S. The relationship between CO2 emissions, economic growth, health expenditure, and renewable and non-renewable energy consumption: Empirical evidence from Turkey. Renew. Energy 2022, 190, 457–466. [Google Scholar] [CrossRef]
- Wang, X.; Yan, L. Driving factors and decoupling analysis of fossil fuel related-carbon dioxide emissions in China. Fuel 2022, 314, 122869. [Google Scholar] [CrossRef]
- Abbasi, K.R.; Adedoyin, F.F.; Abbas, J.; Hussain, K. The impact of energy depletion and renewable energy on CO2 emissions in Thailand: Fresh evidence from the novel dynamic ARDL simulation. Renew. Energy 2021, 180, 1439–1450. [Google Scholar] [CrossRef]
- Bekhet, H.A.; Othman, N.S. The role of renewable energy to validate dynamic interaction between CO2 emissions and GDP toward sustainable development in Malaysia. Energy Econ. 2018, 72, 47–61. [Google Scholar] [CrossRef]
- Mendonça, A.K.d.S.; de Andrade Conradi Barni, G.; Moro, M.F.; Bornia, A.C.; Kupek, E.; Fernandes, L. Hierarchical modeling of the 50 largest economies to verify the impact of GDP, population and renewable energy generation in CO2 emissions. Sustain. Prod. Consum. 2020, 22, 58–67. [Google Scholar] [CrossRef]
- Chen, C.; Pinar, M.; Stengos, T. Renewable energy and CO2 emissions: New evidence with the panel threshold model. Renew. Energy 2022, 194, 117–128. [Google Scholar] [CrossRef]
- Ocal, O.; Aslan, A. Renewable energy consumption–economic growth nexus in Turkey. Renew. Sustain. Energy Rev. 2013, 28, 494–499. [Google Scholar] [CrossRef]
- Apergis, N.; Payne, J.E.; Menyah, K.; Wolde-Rufael, Y. On the causal dynamics between emissions, nuclear energy, renewable energy, and economic growth. Ecol. Econ. 2010, 69, 2255–2260. [Google Scholar] [CrossRef]
- Rubin, E.S.; Azevedo, I.M.L.; Jaramillo, P.; Yeh, S. A review of learning rates for electricity supply technologies. Energy Policy 2015, 86, 198–218. [Google Scholar] [CrossRef]
- Schilling, M.A.; Esmundo, M. Technology S-curves in renewable energy alternatives: Analysis and implications for industry and government. Energy Policy 2009, 37, 1767–1781. [Google Scholar] [CrossRef]
- Chen, Y.; Wang, Z.; Zhong, Z. CO2 emissions, economic growth, renewable and non-renewable energy production and foreign trade in China. Renew. Energy 2019, 131, 208–216. [Google Scholar] [CrossRef]
- Khan, R. Catch-up growth with alpha and beta decoupling and their relationships between CO2 emissions by GDP, population, energy production, and consumption. Heliyon 2024, 10, e31470. [Google Scholar] [CrossRef] [PubMed]
- Ali, M.; Tursoy, T.; Samour, A.; Moyo, D.; Konneh, A. Testing the impact of the gold price, oil price, and renewable energy on carbon emissions in South Africa: Novel evidence from bootstrap ARDL and NARDL approaches. Resour. Policy 2022, 79, 102984. [Google Scholar] [CrossRef]
- Khan, R. The impact of a new techno-nationalism era on eco-economic decoupling. Resour. Policy 2023, 82, 103452. [Google Scholar] [CrossRef]
- Rothenberg, G. A realistic look at CO2 emissions, climate change and the role of sustainable chemistry. Sustain. Chem. Clim. Action 2023, 2, 100012. [Google Scholar] [CrossRef]
- Najmuddin, O.; Li, Z.; Khan, R.; Zhuang, W. Valuation of Land-Use/Land-Cover-Based Ecosystem Services in Afghanistan—An Assessment of the Past and Future. Land 2022, 11, 1906. [Google Scholar] [CrossRef]
- Wu, R.; Qin, Z.; Liu, B.-Y. A systemic analysis of dynamic frequency spillovers among carbon emissions trading (CET), fossil energy and sectoral stock markets: Evidence from China. Energy 2022, 254, 124176. [Google Scholar] [CrossRef]
- Khan, R. Beta decoupling relationship between CO2 emissions by GDP, energy consumption, electricity production, value-added industries, and population in China. PLoS ONE 2021, 16, e0249444. [Google Scholar] [CrossRef] [PubMed]
- Wang, Z.; Pham, T.L.H.; Sun, K.; Wang, B.; Bui, Q.; Hashemizadeh, A. The moderating role of financial development in the renewable energy consumption—CO2 emissions linkage: The case study of Next-11 countries. Energy 2022, 254, 124386. [Google Scholar] [CrossRef]
- Wu, Y.; Shi, X.; Hu, C. Per capita CO2 emissions divergence influenced by bilateral trade with china under the belt and road initiative. Sustain. Prod. Consum. 2021, 27, 1589–1601. [Google Scholar] [CrossRef]
- Su, X.; Li, Y.; Fang, K.; Long, Y. Does China’s direct investment in “Belt and Road Initiative” countries decrease their carbon dioxide emissions? J. Clean. Prod. 2022, 339, 130543. [Google Scholar] [CrossRef]
- Chen, J.; Xian, Q.; Zhou, J.; Li, D. Impact of income inequality on CO2 emissions in G20 countries. J. Environ. Manag. 2020, 271, 110987. [Google Scholar] [CrossRef] [PubMed]
- Isik, C.; Ongan, S.; Özdemir, D. The economic growth/development and environmental degradation: Evidence from the US state-level EKC hypothesis. Environ. Sci. Pollut. Res. 2019, 26, 30772–30781. [Google Scholar] [CrossRef]
- Nwaka, I.D.; Nwogu, M.U.; Uma, K.E.; Ike, G.N. Agricultural production and CO2 emissions from two sources in the ECOWAS region: New insights from quantile regression and decomposition analysis. Sci. Total Environ. 2020, 748, 141329. [Google Scholar] [CrossRef]
- Ren, L.; Zhou, S.; Peng, T.; Ou, X. A review of CO2 emissions reduction technologies and low-carbon development in the iron and steel industry focusing on China. Renew. Sustain. Energy Rev. 2021, 143, 110846. [Google Scholar] [CrossRef]
- Muhammad, S.; Long, X.; Salman, M.; Dauda, L. Effect of urbanization and international trade on CO2 emissions across 65 belt and road initiative countries. Energy 2020, 196, 117102. [Google Scholar] [CrossRef]
- Kartal, M.T.; Pata, U.K.; Depren, Ö.; Erdogan, S. Effectiveness of nuclear and renewable electricity generation on CO2 emissions: Daily-based analysis for the major nuclear power generating countries. J. Clean. Prod. 2023, 426, 139121. [Google Scholar] [CrossRef]
- Bergougui, B. Moving toward environmental mitigation in Algeria: Asymmetric impact of fossil fuel energy, renewable energy and technological innovation on CO2 emissions. Energy Strat. Rev. 2024, 51, 101281. [Google Scholar] [CrossRef]
- Perone, G. The relationship between renewable energy production and CO2 emissions in 27 OECD countries: A panel cointegration and Granger non-causality approach. J. Clean. Prod. 2024, 434, 139655. [Google Scholar] [CrossRef]
- Hasanov, F.J.; Mukhtarov, S.; Suleymanov, E. The role of renewable energy and total factor productivity in reducing CO2 emissions in Azerbaijan. Fresh insights from a new theoretical framework coupled with Autometrics. Energy Strat. Rev. 2023, 47, 101079. [Google Scholar] [CrossRef]
- Pradhan, R.P.; Nair, M.S.; Hall, J.H.; Bennett, S.E. Planetary health issues in the developing world: Dynamics between transportation systems, sustainable economic development, and CO2 emissions. J. Clean. Prod. 2024, 449, 140842. [Google Scholar] [CrossRef]
- Hoa, P.X.; Xuan, V.N.; Phuong Thu, N.T. Nexus of innovation, renewable consumption, FDI, growth and CO2 emissions: The case of Vietnam. J. Open Innov. Technol. Mark. Complex. 2023, 9, 100100. [Google Scholar] [CrossRef]
- Khan, A.; Min, J.; Hassan Shah, W.U.; Li, Q.; Sun, C. Efficacy of CO2 emission reduction strategies by countries pursuing energy efficiency, nuclear power, and renewable electricity. Energy 2024, 300, 131418. [Google Scholar] [CrossRef]
- Tang, Q.; Shahla, R.; Leyla, A.; Sevinj, H. Moderating role of carbon emission and institutional stability on renewable energy across developing countries. Renew. Energy 2023, 209, 413–419. [Google Scholar] [CrossRef]
- Dehghan Shabani, Z. Renewable energy and CO2 emissions: Does human capital matter? Energy Rep. 2024, 11, 3474–3491. [Google Scholar] [CrossRef]
- Abdullah Abbas Amer, E.A.; Ali Meyad, E.M.; Meyad, A.M.; Mohsin, A.K.M. Impacts of renewable and disaggregated non-renewable energy consumption on CO2 emissions in GCC countries: A STIRPAT model analysis. Heliyon 2024, 10, e30154. [Google Scholar] [CrossRef]
- Baajike, F.B.; Oteng-Abayie, E.F.; Dramani, J.B.; Amanor, K. Effects of trade liberalization on the global decoupling and decomposition of CO2 emissions from economic growth. Heliyon 2024, 10, e23470. [Google Scholar] [CrossRef]
- Chang, T.; Hsu, C.-M.; Chen, S.-T.; Wang, M.-C.; Wu, C.-F. Revisiting economic growth and CO2 emissions nexus in Taiwan using a mixed-frequency VAR model. Econ. Anal. Policy 2023, 79, 319–342. [Google Scholar] [CrossRef]
- Foster, V.; Dim, J.U.; Vollmer, S.; Zhang, F. Understanding the challenge of decoupling transport-related CO2 emissions from economic growth in developing countries. World Dev. Sustain. 2023, 3, 100111. [Google Scholar] [CrossRef]
- Alam, M.B.; Hossain, M.S. Investigating the connections between China’s economic growth, use of renewable energy, and research and development concerning CO2 emissions: An ARDL Bound Test Approach. Technol. Forecast. Soc. Chang. 2024, 201, 123220. [Google Scholar] [CrossRef]
- Li, L.; Chen, X.; Zhu, P. How do e-commerce anchors’ characteristics influence consumers’ impulse buying? An emotional contagion perspective. J. Retail. Consum. Serv. 2024, 76, 103587. [Google Scholar] [CrossRef]
- Lin, B.; Ullah, S. Effectiveness of energy depletion, green growth, and technological cooperation grants on CO2 emissions in Pakistan’s perspective. Sci. Total Environ. 2024, 906, 167536. [Google Scholar] [CrossRef]
- González-Álvarez, M.A.; Montañés, A. CO2 emissions, energy consumption, and economic growth: Determining the stability of the 3E relationship. Econ. Model. 2023, 121, 106195. [Google Scholar] [CrossRef]
- Alvarado, R.; Murshed, M.; Cifuentes-Faura, J.; Işık, C.; Razib Hossain, M.; Tillaguango, B. Nexuses between rent of natural resources, economic complexity, and technological innovation: The roles of GDP, human capital and civil liberties. Resour. Policy 2023, 85, 103637. [Google Scholar] [CrossRef]
- Ongan, S.; Işık, C.; Bulut, U.; Karakaya, S.; Alvarado, R.; Irfan, M.; Ahmad, M.; Rehman, A.; Hussain, I. Retesting the EKC hypothesis through transmission of the ARMEY curve model: An alternative composite model approach with theory and policy implications for NAFTA countries. Environ. Sci. Pollut. Res. 2022, 29, 46587–46599. [Google Scholar] [CrossRef] [PubMed]
- Işık, C.; Ahmad, M.; Ongan, S.; Ozdemir, D.; Irfan, M.; Alvarado, R. Convergence analysis of the ecological footprint: Theory and empirical evidence from the USMCA countries. Environ. Sci. Pollut. Res. 2021, 28, 32648–32659. [Google Scholar] [CrossRef]
- Khan, R.; Zhuang, W.; Najumddin, O.; Butt, R.S.; Ahmad, I.; Al-Faryan, M.A.S. The impact of agricultural intensification on carbon dioxide emissions and energy consumption: A comparative study of developing and developed nations. Front. Environ. Sci. 2022, 10, 1036300. [Google Scholar] [CrossRef]
- Jahanger, A.; Yu, Y.; Hossain, M.R.; Murshed, M.; Balsalobre-Lorente, D.; Khan, U. Going away or going green in NAFTA nations? Linking natural resources, energy utilization, and environmental sustainability through the lens of the EKC hypothesis. Resour. Policy 2022, 79, 103091. [Google Scholar] [CrossRef]
- Mi, Z.; Zheng, J.; Green, F.; Guan, D.; Meng, J.; Feng, K.; Liang, X.; Wang, S. Decoupling without outsourcing? How China’s consumption-based CO2 emissions have plateaued. iScience 2021, 24, 103130. [Google Scholar] [CrossRef]
- Raihan, A.; Muhtasim, D.A.; Farhana, S.; Hasan, M.A.U.; Pavel, M.I.; Faruk, O.; Rahman, M.; Mahmood, A. Nexus between economic growth, energy use, urbanization, agricultural productivity, and carbon dioxide emissions: New insights from Bangladesh. Energy Nexus 2022, 8, 100144. [Google Scholar] [CrossRef]
- Yousefi, H. Uncertainty quantification of axisymmetric spherical cavities with lining in coupled saturated thermo-poro-elastic media via adaptive second-order central high resolution schemes. Int. J. Hydromechatronics 2019, 2, 111–132. [Google Scholar] [CrossRef]
- Wang, Y.; Sun, T. Life cycle assessment of CO2 emissions from wind power plants: Methodology and case studies. Renew. Energy 2012, 43, 30–36. [Google Scholar] [CrossRef]
- Wu, Y.; Zhu, Q.; Zhu, B. Decoupling analysis of world economic growth and CO2 emissions: A study comparing developed and developing countries. J. Clean. Prod. 2018, 190, 94–103. [Google Scholar] [CrossRef]
- Yang, X.; Ramos-Meza, C.S.; Shabbir, M.S.; Ali, S.A.; Jain, V. The impact of renewable energy consumption, trade openness, CO2 emissions, income inequality, on economic growth. Energy Strat. Rev. 2022, 44, 101003. [Google Scholar] [CrossRef]
- Jahanger, A.; Hossain, M.R.; Usman, M.; Chukwuma Onwe, J. Recent scenario and nexus between natural resource dependence, energy use and pollution cycles in BRICS region: Does the mediating role of human capital exist? Resour. Policy 2023, 81, 103382. [Google Scholar] [CrossRef]
- Abbasi, K.R.; Shahbaz, M.; Zhang, J.; Irfan, M.; Alvarado, R. Analyze the environmental sustainability factors of China: The role of fossil fuel energy and renewable energy. Renew. Energy 2022, 187, 390–402. [Google Scholar] [CrossRef]
- Bashir, M.F.; Shahbaz, M.; Ma, B.; Alam, K. Evaluating the roles of energy innovation, fossil fuel costs and environmental compliance towards energy transition in advanced industrial economies. J. Environ. Manag. 2024, 351, 119709. [Google Scholar] [CrossRef]
- Nathaniel, S.P.; Iheonu, C.O. Carbon dioxide abatement in Africa: The role of renewable and non-renewable energy consumption. Sci. Total Environ. 2019, 679, 337–345. [Google Scholar] [CrossRef]
- Doytch, N.; Narayan, S. Does FDI influence renewable energy consumption? An analysis of sectoral FDI impact on renewable and non-renewable industrial energy consumption. Energy Econ. 2016, 54, 291–301. [Google Scholar] [CrossRef]
- Liu, W.; Xu, X.; Yang, Z.; Zhao, J.; Xing, J. Impacts of FDI Renewable Energy Technology Spillover on China’s Energy Industry Performance. Sustainability 2016, 8, 846. [Google Scholar] [CrossRef]
- You, W.; Lv, Z. Spillover effects of economic globalization on CO2 emissions: A spatial panel approach. Energy Econ. 2018, 73, 248–257. [Google Scholar] [CrossRef]
- Koengkan, M.; Fuinhas, J.A. Exploring the effect of the renewable energy transition on CO2 emissions of Latin American & Caribbean countries. Int. J. Sustain. Energy 2020, 39, 515–538. [Google Scholar] [CrossRef]
- Jiang, Q.; Khattak, S.I.; Rahman, Z.U. Measuring the simultaneous effects of electricity consumption and production on carbon dioxide emissions (CO2e) in China: New evidence from an EKC-based assessment. Energy 2021, 229, 120616. [Google Scholar] [CrossRef]
- Adebayo, T.S.; Acheampong, A.O. Modelling the globalization-CO2 emission nexus in Australia: Evidence from quantile-on-quantile approach. Environ. Sci. Pollut. Res. 2022, 29, 9867–9882. [Google Scholar] [CrossRef]
- Nan, S.; Huo, Y.; You, W.; Guo, Y. Globalization spatial spillover effects and carbon emissions: What is the role of economic complexity? Energy Econ. 2022, 112, 106184. [Google Scholar] [CrossRef]
- Ilyas, M.; Mu, Z.; Akhtar, S.; Hassan, H.; Shahzad, K.; Aslam, B.; Maqsood, S. Renewable energy, economic development, energy consumption and its impact on environmental quality: New evidence from South East Asian countries. Renew. Energy 2024, 223, 119961. [Google Scholar] [CrossRef]
- Zhao, Y.; Hu, S.; Wang, Y.; Cao, L.; Yang, J. Assessing flexibility by ramping factor in power systems with high renewable energy proportion. Int. J. Electr. Power Energy Syst. 2024, 155, 109680. [Google Scholar] [CrossRef]
- Van Poecke, A.; Tabari, H.; Hellinckx, P. Unveiling the backbone of the renewable energy forecasting process: Exploring direct and indirect methods and their applications. Energy Rep. 2024, 11, 544–557. [Google Scholar] [CrossRef]
- Mohammad Husain, A.; Muzaffarul Hasan, M.; Khan, Z.A.; Asjad, M. A robust decision-making approach for the selection of an optimal renewable energy source in India. Energy Convers. Manag. 2024, 301, 117989. [Google Scholar] [CrossRef]
- Kwilinski, A.; Lyulyov, O.; Pimonenko, T. Reducing transport sector CO2 emissions patterns: Environmental technologies and renewable energy. J. Open Innov. Technol. Mark. Complex. 2024, 10, 100217. [Google Scholar] [CrossRef]
- Dada, J.T.; Al-Faryan, M.A.S. Linking per capita income, renewable energy, natural resources, trade, and Urbanisation to material footprint: Insights from Saudi Arabia. Energy Nexus 2024, 13, 100269. [Google Scholar] [CrossRef]
- Meygoonpoury, E.; Ghadim, M.K.; Ziabakhsh-Ganji, Z. Internationalization of renewable energy base businesses with a combined approach to networking and collaborative competition. Results Eng. 2024, 21, 101726. [Google Scholar] [CrossRef]
- Yu, T.-M.; Yan, Y.-T.; Yin, Y.-H.; Yang, M.-G. Are natural resources and oil prices a possible solution to renewable energy electricity? Evidence from global time series data. Resour. Policy 2023, 86, 104288. [Google Scholar] [CrossRef]
- Ben Jebli, M.; Farhani, S.; Guesmi, K. Renewable energy, CO2 emissions and value added: Empirical evidence from countries with different income levels. Struct. Chang. Econ. Dyn. 2020, 53, 402–410. [Google Scholar] [CrossRef]
- Chen, Y.; Zhao, J.; Lai, Z.; Wang, Z.; Xia, H. Exploring the effects of economic growth, and renewable and non-renewable energy consumption on China’s CO2 emissions: Evidence from a regional panel analysis. Renew. Energy 2019, 140, 341–353. [Google Scholar] [CrossRef]
- Rehman, F.U.; Islam, M.M.; Raza, S.A. Does disaggregate energy consumption matter to export sophistication and diversification in OECD countries? A robust panel model analysis. Renew. Energy 2023, 206, 274–284. [Google Scholar] [CrossRef]
- Işık, C.; Ongan, S.; Bulut, U.; Karakaya, S.; Irfan, M.; Alvarado, R.; Ahmad, M.; Rehman, A. Reinvestigating the Environmental Kuznets Curve (EKC) hypothesis by a composite model constructed on the Armey curve hypothesis with government spending for the US States. Environ. Sci. Pollut. Res. 2022, 29, 16472–16483. [Google Scholar] [CrossRef]
- Koengkan, M.; Fuinhas, J.A.; Tavares, A.I.P.; Gonçalves Silva, N.M.B. 9—Does the obesity epidemic increase the consumption of fossil fuels in Latin America and Caribbean countries. In Obesity Epidemic and the Environment: Latin America and the Caribbean Region; Koengkan, M., Fuinhas, J.A., Tavares, A.I.P., Gonçalves Silva, N., Eds.; Academic Press: Cambridge, MA, USA, 2023; pp. 241–273. ISBN 978-0-323-99339-5. [Google Scholar]
- Houssam, N.; Ibrahiem, D.M.; Sucharita, S.; El-Aasar, K.M.; Esily, R.R.; Sethi, N. Assessing the role of green economy on sustainable development in developing countries. Heliyon 2023, 9, e17306. [Google Scholar] [CrossRef]
- Khan, R. Comparing the effects of agricultural intensification on CO2 emissions and energy consumption in developing and developed countries. Front. Environ. Sci. 2023, 10, 1065634. [Google Scholar] [CrossRef]
- Shahbaz, M.; Shahzad, S.J.H.; Mahalik, M.K. Is Globalization Detrimental to CO2 Emissions in Japan? New Threshold Analysis. Environ. Model. Assess. 2018, 23, 557–568. [Google Scholar] [CrossRef]
- Aydin, C.; Cetintas, Y. Does the level of renewable energy matter in the effect of economic growth on environmental pollution? New evidence from PSTR analysis. Environ. Sci. Pollut. Res. 2022, 29, 81624–81635. [Google Scholar] [CrossRef]
- Chiu, Y.-B.; Lee, C.-C. Effects of financial development on energy consumption: The role of country risks. Energy Econ. 2020, 90, 104833. [Google Scholar] [CrossRef]
- Rabnawaz Khan, Y.K. Effects of Energy Consumption on GDP: New Evidence of 24 Countries on Their Natural Resources and Production of Electricity. Ekonomika 2020, 99, 26–49. [Google Scholar] [CrossRef]
- Zheng, S.; Khan, R. Performance evaluation of e-commerce firms in China: Using three-stage data envelopment analysis and the Malmquist productivity index. PLoS ONE 2021, 16, e0255851. [Google Scholar] [CrossRef]
- Bilgili, F.; Koçak, E.; Bulut, Ü. The dynamic impact of renewable energy consumption on CO2 emissions: A revisited Environmental Kuznets Curve approach. Renew. Sustain. Energy Rev. 2016, 54, 838–845. [Google Scholar] [CrossRef]
- Llanos, C.; Kristjanpoller, W.; Michell, K.; Minutolo, M.C. Causal treatment effects in time series: CO2 emissions and energy consumption effect on GDP. Energy 2022, 249, 123625. [Google Scholar] [CrossRef]
- Khan, R. How a New Era of Techno-Nationalism is Shaking up the Eco-Economic Decoupling. Front. Psychol. 2022, 7658. [Google Scholar]
- Aslan, A.; Ilhan, O.; Usama, A.-M.; Savranlar, B.; Polat, M.A.; Metawa, N.; Raboshuk, A. Effect of economic policy uncertainty on CO2 with the discrimination of renewable and non renewable energy consumption. Energy 2024, 291, 130382. [Google Scholar] [CrossRef]
- Wolde-Rufael, Y.; Weldemeskel, E.M. Environmental policy stringency, renewable energy consumption and CO2 emissions: Panel cointegration analysis for BRIICTS countries. Int. J. Green Energy 2020, 17, 568–582. [Google Scholar] [CrossRef]
- Li, T.; Liu, T.; Sawyer, A.O.; Tang, P.; Loftness, V.; Lu, Y.; Xie, J. Generalized building energy and carbon emissions benchmarking with post-prediction analysis. Dev. Built Environ. 2024, 17, 100320. [Google Scholar] [CrossRef]
- Sung, B.; Song, W.-Y.; Park, S.-D. How foreign direct investment affects CO2 emission levels in the Chinese manufacturing industry: Evidence from panel data. Econ. Syst. 2018, 42, 320–331. [Google Scholar] [CrossRef]
- Tran, Q.T.; Huynh, N.; Huynh, N.A. Trading-off between being contaminated or stimulated: Are emerging countries doing good jobs in hosting foreign resources? J. Clean. Prod. 2022, 379, 134649. [Google Scholar] [CrossRef]
- Dong, K.; Dong, X.; Jiang, Q. How renewable energy consumption lower global CO2 emissions? Evidence from countries with different income levels. World Econ. 2020, 43, 1665–1698. [Google Scholar] [CrossRef]
- Radmehr, R.; Henneberry, S.R.; Shayanmehr, S. Renewable Energy Consumption, CO2 Emissions, and Economic Growth Nexus: A Simultaneity Spatial Modeling Analysis of EU Countries. Struct. Chang. Econ. Dyn. 2021, 57, 13–27. [Google Scholar] [CrossRef]
- Chiu, C.-L.; Chang, T.-H. What proportion of renewable energy supplies is needed to initially mitigate CO2 emissions in OECD member countries? Renew. Sustain. Energy Rev. 2009, 13, 1669–1674. [Google Scholar] [CrossRef]
Disclaimer/Publisher’s Note: The statements, opinions and data contained in all publications are solely those of the individual author(s) and contributor(s) and not of MDPI and/or the editor(s). MDPI and/or the editor(s) disclaim responsibility for any injury to people or property resulting from any ideas, methods, instructions or products referred to in the content. |
© 2024 by the authors. Licensee MDPI, Basel, Switzerland. This article is an open access article distributed under the terms and conditions of the Creative Commons Attribution (CC BY) license (https://creativecommons.org/licenses/by/4.0/).





