Multizone Modeling for Hybrid Thermal Energy Storage
Abstract
1. Introduction
2. Materials and Methods
2.1. Multizone Storage Tank Model
2.1.1. Water Zone
2.1.2. PCM Zone
2.2. Numerical Iteration Methodology
3. Experimental Design and Validation
3.1. Experimental Setup
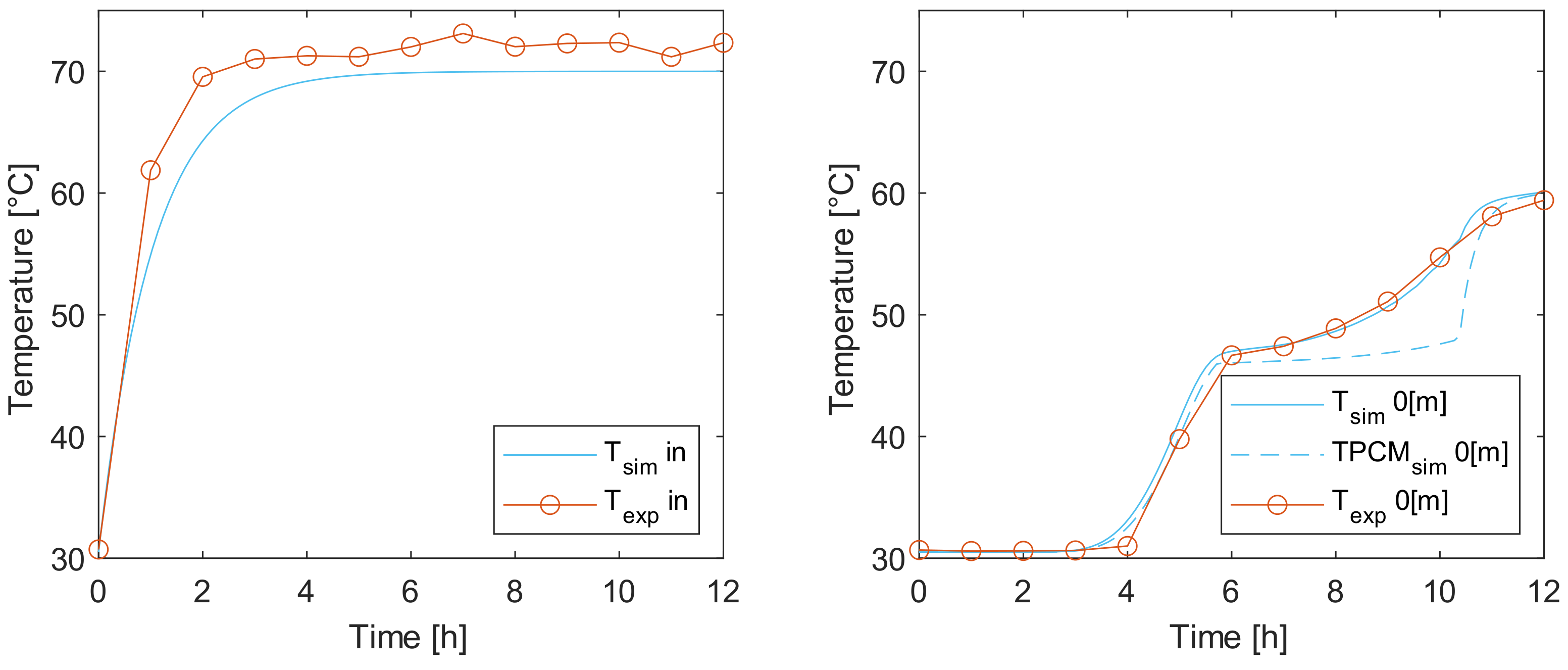
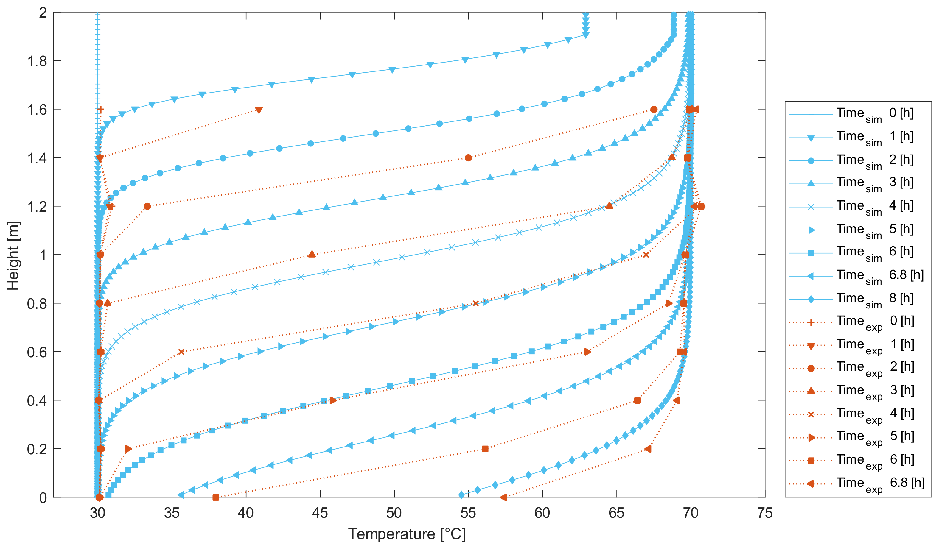
3.2. Model Validation with Experimental Setup
4. Evaluating Different PCM Materials and Storage Tank Dimensions for Thermal Efficiency
5. Conclusions
Author Contributions
Funding
Data Availability Statement
Conflicts of Interest
Nomenclature
| Symbol | Unit | Quantity |
| m2/s | thermal diffusivity | |
| m2 | area | |
| J/(kg K) | specific heat capacity at constant pressure | |
| m | diameter | |
| dk | m | diameter of equivalent geometric surface |
| J | energy | |
| Fform | - | form factor |
| m/s2 | gravitational acceleration | |
| m | height | |
| J/m3 | sensible volumetric enthalpy | |
| m | length | |
| kg | mass | |
| kg/s | mass flow | |
| J | heat | |
| J/s | heat flux | |
| K/W | thermal resistance | |
| m | radius | |
| T | K | temperature |
| t | s | time |
| W/(m2 K) | overall heat transfer coefficient | |
| m/s | velocity magnitude | |
| m3 | volume | |
| α | W/(m2 K) | heat transfer coefficient |
| ε | - | porosity |
| λ | W/(m K) | thermal conductivity |
| μ | kg/(m s) | dynamic viscosity |
| ν | m2/s | kinematic viscosity |
| ρ | kg/m3 | density |
| ax | axial | |
| amb | ambience | |
| C | capsule | |
| ch | charge | |
| down | downwards | |
| dis | discharge | |
| eff | effective | |
| ext | extern | |
| exp | experiment | |
| Fl | fluid | |
| exp | experiment | |
| +g | with gravity | |
| i | number of layer | |
| in | intern | |
| l | liquid | |
| lam | laminar | |
| m | melting | |
| n | numbers of layer | |
| PCM | phase change material | |
| s | solid | |
| sim | simulation | |
| Tank | tank | |
| up | upwards | |
| turb | turbulent | |
| W | wall | |
| zero-g | without gravity | |
References
- Zalba, B.; Marín, J.M.; Cabeza, L.F.; Mehling, H. Review on thermal energy storage with phase change: Materials, heat transfer analysis and applications. Appl. Therm. Eng. 2003, 23, 251–283. [Google Scholar] [CrossRef]
- Sharma, A.; Pitchumani, R.; Chauhan, R. Solar air heating systems with latent heat storage—A review of state-of-the-art. J. Energy Storage 2022, 48, 104013. [Google Scholar] [CrossRef]
- Sun, X.; Zhang, Y.; Xie, K.; Medina, M.A. A parametric study on the thermal response of a building wall with a phase change material (PCM) layer for passive space cooling. J. Energy Storage 2022, 47, 103548. [Google Scholar] [CrossRef]
- Liu, G.; Li, Q.; Wu, J.; Xie, R.; Zou, Y.; Marson, A.; Scipioni, A.; Manzardo, A. Improving system performance of the refrigeration unit using phase change material (PCM) for transport refrigerated vehicles: An experimental investigation in South China. J. Energy Storage 2022, 51, 104435. [Google Scholar] [CrossRef]
- Nallusamy, N.; Sampath, S.; Velraj, R. Experimental investigation on a combined sensible and latent heat storage system integrated with constant/varying (solar) heat sources. Renew. Energy 2007, 32, 1206–1227. [Google Scholar] [CrossRef]
- Sun, B.; Liu, Z.; Ji, X.; Gao, L.; Che, D. Thermal energy storage characteristics of packed bed encapsulating spherical capsules with composite phase change materials. Appl. Therm. Eng. 2022, 201, 117659. [Google Scholar] [CrossRef]
- Teamah, H.M.; Lightstone, M.F.; Cotton, J.S. An alternative approach for assessing the benefit of phase change materials in solar domestic hot water systems. Sol. Energy 2017, 158, 875–888. [Google Scholar] [CrossRef]
- Regin, A.F.; Solanki, S.C.; Saini, J.S. Heat transfer characteristics of thermal energy storage system using PCM capsules: A review. Renew. Sustain. Energy Rev. 2008, 12, 2438–2458. [Google Scholar] [CrossRef]
- Grabo, M.; Acar, E.; Kenig, E.Y. Modeling and improvement of a packed bed latent heat storage filled with non-spherical encapsulated PCM-Elements. Renew. Energy 2021, 173, 1087–1097. [Google Scholar] [CrossRef]
- Hariti, Y.; Hader, A.; Faraji, H.; Boughaleb, Y. Scaling law of permeability and porosity for fluid transport phenomena in porous PCM media. Appl. Comput. Mech. 2020, 7, 84–92. [Google Scholar]
- Babaharra, O.; Choukairy, K.; Faraji, H.; Hamdaoui, S. Improved heating floor thermal performance by adding PCM microcapsules enhanced by single and hybrid nanoparticles. Heat Trans. 2023, 52, 3817–3838. [Google Scholar] [CrossRef]
- Cabeza, L.F.; Martínez, F.R.; Borri, E.; Ushak, S.; Prieto, C. Thermal Energy Storage Using Phase Change Materials in High-Temperature Industrial Applications: Multi-Criteria Selection of the Adequate Material. Materials 2024, 17, 1878. [Google Scholar] [CrossRef] [PubMed]
- Jaffray, C.; Siddiqui, K.; Straatman, A.G. An efficient method for modelling thermal energy storage in packed beds of spherically encapsulated phase change material. J. Energy Storage 2024, 81, 110462. [Google Scholar] [CrossRef]
- de Gracia, A.; Cabeza, L.F. Numerical simulation of a PCM packed bed system: A review. Renew. Sustain. Energy Rev. 2017, 69, 1055–1063. [Google Scholar] [CrossRef]
- Kong, W.; Wang, G.; Englmair, G.; Nielsen, E.N.N.; Dragsted, J.; Furbo, S.; Fan, J. A simplified numerical model of PCM water energy storage. J. Energy Storage 2022, 55, 105425. [Google Scholar] [CrossRef]
- Pabst, V.; Güttel, R.; Renze, P. Experimental and Numerical Investigation of the Melting of a Spherical Encapsulated Phase Change Material with Variable Material Data. In Proceedings of the 14th International Renewable Energy Storage Conference 2020 (IRES 2020), Bonn, Germany, 25–26 May 2020; Atlantis Press: Paris, France, 2021. [Google Scholar]
- Felix Regin, A.; Solanki, S.C.; Saini, J.S. An analysis of a packed bed latent heat thermal energy storage system using PCM capsules: Numerical investigation. Renew. Energy 2009, 34, 1765–1773. [Google Scholar] [CrossRef]
- Baeten, B.; Confrey, T.; Pecceu, S.; Rogiers, F.; Helsen, L. A validated model for mixing and buoyancy in stratified hot water storage tanks for use in building energy simulations. Appl. Energy 2016, 172, 217–229. [Google Scholar] [CrossRef]
- Brian, J. Newton. Modeling of Solar Storage Tanks. Master’s Thesis, University of Wisconsin-Madison, Madison, WI, USA, 1995. [Google Scholar]
- Pabst, V.; Mengedoht, G.; Renze, P. A Comparison of Stratified Heat Storage with and without Modular PCM Storage through Simulation. In Proceedings of the ISES EuroSun 2018 Conference—12th International Conference on Solar Energy for Buildings and Industry, Rapperswil, Switzerland, 10–13 September 2018; Häberle, A., Ed.; International Solar Energy Society: Freiburg, Germany, 2018; pp. 1–12, ISBN 978-3-9820408-0-6. [Google Scholar]
- VDI-Wärmeatlas: Mit 320 Tabellen. VDI-Gesellschaft Verfahrenstechnik und Chemieingenieurwesen, 11., bearb. und erw., Aufl. Springer Vieweg: Berlin/Heidelberg, Germany, 2013; ISBN 978-3-642-19982-0. [Google Scholar]
- Carmona, M.; Rincón, A.; Gulfo, L. Energy and exergy model with parametric study of a hot water storage tank with PCM for domestic applications and experimental validation for multiple operational scenarios. Energy Convers. Manag. 2020, 222, 113189. [Google Scholar] [CrossRef]
- National Instruments Corp. LabVIEW 2018 Austin, United States. Available online: https://www.ni.com/de/shop/labview.html (accessed on 2 October 2023).
- Findeisen, F.; Urbaneck, T.; Platzer, B. Radial Diffusers—Simulation of Three-Dimensional Flow Effects with CFD (Part 1). Chem. Ing. Tech. 2018, 90, 956–968. [Google Scholar] [CrossRef]
- Findeisen, F.; Urbaneck, T.; Platzer, B. Radial Diffusers—Simulation of Three-Dimensional Flow Effects with CFD (Part 2). Chem. Ing. Tech. 2018, 90, 969–978. [Google Scholar] [CrossRef]
- CRODA. Crodatherm. Available online: https://www.crodaindustrialspecialties.com/en-gb (accessed on 18 February 2024).
- KraftBoxx. KraftBoxx. Available online: https://heatstixx.de/ (accessed on 18 February 2024).
- Powell, K.M.; Edgar, T.F. An adaptive-grid model for dynamic simulation of thermocline thermal energy storage systems. Energy Convers. Manag. 2013, 76, 865–873. [Google Scholar] [CrossRef]
- Goeke, J. Thermische Energiespeicher in der Gebäudetechnik; Springer Fachmedien Wiesbaden: Wiesbaden, Germany, 2021; ISBN 978-3-658-34509-9. [Google Scholar]











| Material Property | Crodatherm47 | Crodatherm60 |
|---|---|---|
| density [kg/m3] | 940 (solid)/829 (liquid) | 922 (solid)/824 (liquid) |
| specific heat capacity [J/kgK] | 1900(solid)/2000 (liquid) | 2300 (solid)/1400 (liquid) |
| thermal conductivity [W/mK] | 0.25 (solid)/0.16 (liquid) | 0.29 (solid)/0.17 (liquid) |
| melting temperature [°C] | 45 (solid)/47 (liquid) | 58 (solid)/60 (liquid) |
| latent heat [kJ/kg] | 210–213 | 215–219 |
| Number of layer | 40 | 20 | 60 | 80 | 20 | 40 | 60 | 40 | 40 |
| Max. time-step [s] | 373 | 747 | 249 | 186 | 373 | 186 | 124 | 747 | 93 |
| MAPE [%] | 5.85 | 6.44 | 6.5 | 7.3 | 6.1 | 5.4 | 5.9 | 7.1 | 5.2 |
| Computing time [s] | 12.4 | 5.9 | 29.0 | 37.3 | 11.4 | 33.5 | 36.8 | 6.9 | 67.1 |
| Simulated time up to melting last PCM [h] | 8.09 | 6.02 | 8.44 | 8.40 | 5.53 | 8.15 | 8.47 | 8.09 | 8.15 |
| Material Property | Crodatherm37 | Crodatherm53 |
|---|---|---|
| density [kg/m3] | 957 (solid)/819 (liquid) | 904 (solid)/829 (liquid) |
| specific heat capacity [J/kgK] | 2300(solid)/1400 (liquid) | 1900 (solid)/2200 (liquid) |
| thermal conductivity [W/mK] | 0.24 (solid)/0.17 (liquid) | 0.28 (solid)/0.16 (liquid) |
| melting temperature [°C] | 37 (solid)/53 (liquid) | 53 (solid)/51 (liquid) |
| latent heat [kJ/kg] | 216–217 | 220–219 |
Disclaimer/Publisher’s Note: The statements, opinions and data contained in all publications are solely those of the individual author(s) and contributor(s) and not of MDPI and/or the editor(s). MDPI and/or the editor(s) disclaim responsibility for any injury to people or property resulting from any ideas, methods, instructions or products referred to in the content. |
© 2024 by the authors. Licensee MDPI, Basel, Switzerland. This article is an open access article distributed under the terms and conditions of the Creative Commons Attribution (CC BY) license (https://creativecommons.org/licenses/by/4.0/).
Share and Cite
Jäger, S.; Pabst, V.; Renze, P. Multizone Modeling for Hybrid Thermal Energy Storage. Energies 2024, 17, 2854. https://doi.org/10.3390/en17122854
Jäger S, Pabst V, Renze P. Multizone Modeling for Hybrid Thermal Energy Storage. Energies. 2024; 17(12):2854. https://doi.org/10.3390/en17122854
Chicago/Turabian StyleJäger, Sarah, Valerie Pabst, and Peter Renze. 2024. "Multizone Modeling for Hybrid Thermal Energy Storage" Energies 17, no. 12: 2854. https://doi.org/10.3390/en17122854
APA StyleJäger, S., Pabst, V., & Renze, P. (2024). Multizone Modeling for Hybrid Thermal Energy Storage. Energies, 17(12), 2854. https://doi.org/10.3390/en17122854
