Environmental Impact Evaluation of CO2 Absorption and Desorption Enhancement by Membrane Gas Absorption: A Life Cycle Assessment Study
Abstract
1. Introduction
2. Materials and Methods
3. Life Cycle Assessment Methodology
3.1. Goal and Scope Definition
3.2. Life Cycle Inventory
3.3. Life Cycle Impact Assessment
3.4. Interpretation
4. Results and Discussion
4.1. Environmental Impact Comparison of Different CO2 Capture Systems
4.2. Process Contribution Analysis of the Membrane Gas Absorption System
5. Sensitivity Analysis
5.1. Sensitivity Analysis of Heat Supply Sources
5.2. Sensitivity Analysis of Electricity Supply
6. Conclusions
- (1)
- At the given function unit of 1 ton CO2 captured from the power plant, the membrane gas absorption system exhibits the lowest environmental impacts across the majority of evaluated categories in comparison with chemical absorption and membrane gas separation systems. In particular, the GWP indicator values are 393 kgCO2 eq., 456 kgCO2 eq. and 461 kgCO2 eq. for membrane gas absorption, chemical absorption and membrane gas separation systems, respectively. Furthermore, membrane gas separation exhibits the lowest environmental impact over water-related impact categories such as WCP, TAP, FEP and MEP.
- (2)
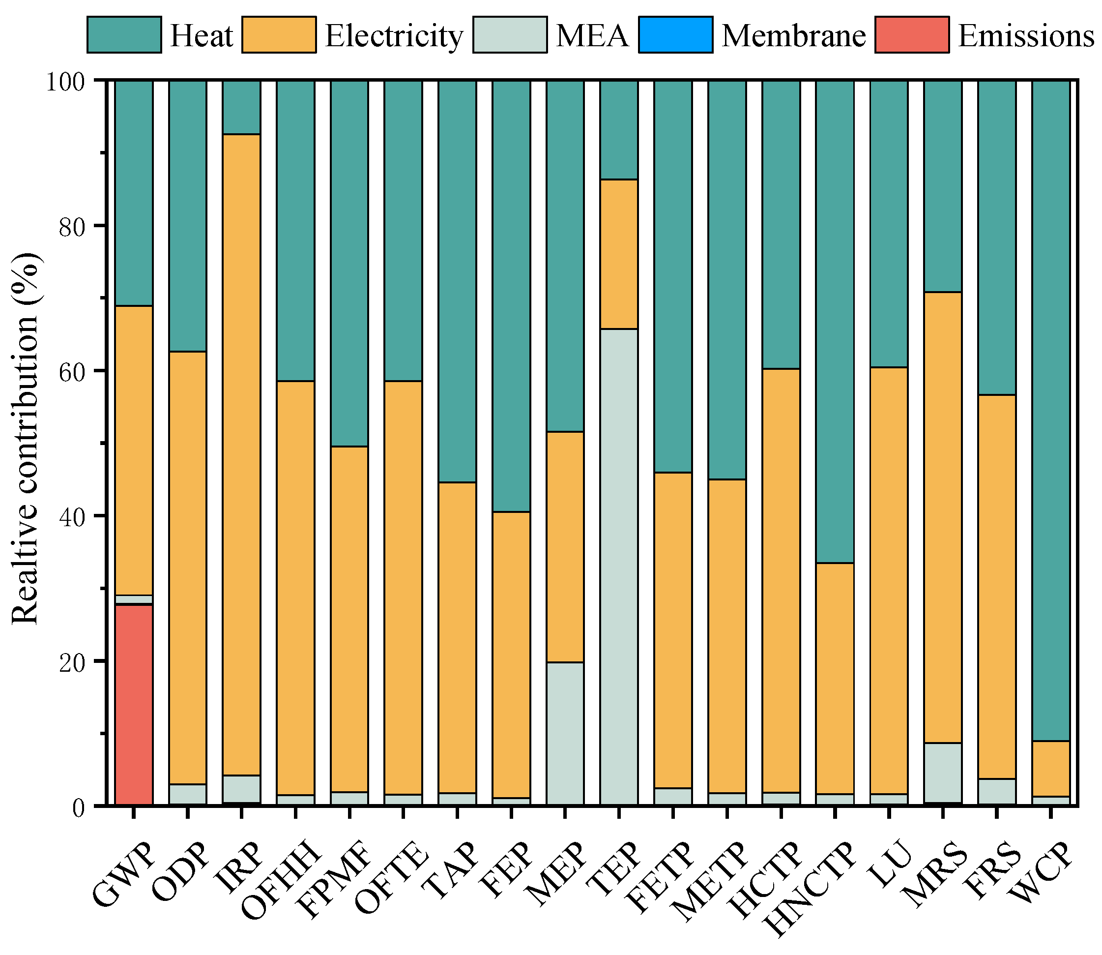
- For the membrane gas absorption system, the contribution of electricity supply and heat consumption are the primary sources of environmental impact within the system life cycle, varying from 8% to 88%, and from 7% to 91%, respectively. Electricity consumption leads to significant impacts in IRP, which contributes 88% of this impact category. Heat consumption’s contribution to water consumption potential is more than 90%, due to the large amount of water consumed during the heat production and supply processes. The impact of heat consumption on human health, ecosystems and resource consumption accounts for 42%, 39% and 38%, respectively, while the impact of electricity consumption corresponds to 43%, 40% and 49%, respectively.
- (3)
- Sensitivity analysis results show that switching the heat supply from coal-fired steam to natural gas can reduce the majority of the impact categories, with a GWP reduction of 12%. The most observable reduction in WCP was nearly 90%, but the SOP and FFP indicators increased by 15% and 5%, respectively. Considering the power structure decarbonization from 2030 to 2050 in China, the global warming potential, fossil resource consumption and ozone formation can be significantly reduced by increasing the utilization of renewable energy. However, ecological and environmental issues are also caused by mineral resource extraction.
Author Contributions
Funding
Data Availability Statement
Conflicts of Interest
References
- The Intergovernmental Panel on Climate Change. Available online: https://www.ipcc.ch/sr15/ (accessed on 26 October 2023).
- EU Action. Available online: https://climate.ec.europa.eu/eu-action/european-climate-law_en (accessed on 26 October 2023).
- Silva Herran, D.; Fujimori, S. Beyond Japanese NDC: Energy and macroeconomic transitions towards 2050 in emission pathways with multiple ambition levels. Sustain. Sci. 2021, 16, 489–501. [Google Scholar] [CrossRef]
- The Long-Term Strategy of the United States. Available online: https://www.whitehouse.gov/wp-content/uploads/2021/10/us-long-term-strategy.pdf (accessed on 8 November 2023).
- China’s Route to Carbon Neutrality: Perspectives and the Role of Renewables. Available online: https://www.irena.org/publications/2022/Jul/Chinas-Route-to-Carbon-Neutrality (accessed on 26 October 2023).
- Zarei, F.; Keshavarz, P. High performance CO2 Absorption/Desorption using Amine-Functionalized magnetic nanoparticles. Sep. Purif. Technol. 2023, 323, 124438. [Google Scholar] [CrossRef]
- Guo, B.; Zhang, J.; Wang, Y.; Qiao, X.; Xiang, J.; Jin, Y. Study on CO2 adsorption capacity and kinetic mechanism of CO2 adsorbent prepared from fly ash. Energy 2023, 263 Pt B, 125764. [Google Scholar] [CrossRef]
- Nandakishora, Y.; Sahoo, R.K.; Murugan, S.; Gu, S. 4E analysis of the cryogenic CO2 separation process integrated with waste heat recovery. Energy 2023, 278 Pt A, 127922. [Google Scholar]
- Ahmadijokani, F.; Molavi, H.; Ahmadipouya, S.; Rezakazemi, M.; Ghaffarkhah, A.; Kamkar, M.; Shojaei, A.; Arjmand, M. Polyurethane-based membranes for CO2 separation: A comprehensive review. Prog. Energy Combust. Sci. 2023, 97, 101095. [Google Scholar] [CrossRef]
- Khan, U.; Ogbaga, C.C.; Abiodun, O.-A.O.; Adeleke, A.A.; Ikubanni, P.P.; Okoye, P.U.; Okolie, J.A. Assessing absorption-based CO2 capture: Research progress and techno-economic assessment overview. Carbon Capture Sci. Technol. 2023, 8, 100125. [Google Scholar] [CrossRef]
- Han, Y.; Yang, Y.; Ho, W.W. Recent progress in the engineering of polymeric membranes for CO2 capture from flue gas. Membranes 2020, 10, 365. [Google Scholar] [CrossRef]
- Villeneuve, K.; Zaidiza, D.A.A.; Roizard, D.; Rode, S. Modeling and simulation of CO2 capture in aqueous ammonia with hollow fiber composite membrane contactors using a selective dense layer. Chem. Eng. Sci. 2018, 190, 345–360. [Google Scholar] [CrossRef]
- Jang, M.-G.; Yun, S.; Kim, J.-K. Process design and economic analysis of membrane-integrated absorption processes for CO2 capture. J. Clean. Prod. 2022, 368, 133180. [Google Scholar] [CrossRef]
- Molina-Fernández, C.; Renson, T.; Deveen, V.; Martín-Chinarro, C.; Chaplier, G.; Vitola, G.; Mazzei, R.; Giorno, L.; Luis, P. Immobilization of carbonic anhydrase on poly(ionic liquid) composite membranes for CO2 absorption by gas-liquid membrane contactors. J. Membr. Sci. 2023, 687, 122011. [Google Scholar] [CrossRef]
- Eskandari, M.; Khaksar, S.A.N.; Keshavarz, P. CO2 absorption using benzylamine as absorbent and promoter in a hollow fiber membrane contactor: A numerical study. J. CO2 Util. 2022, 66, 102287. [Google Scholar] [CrossRef]
- Vaezi, M.; Sanaeepur, H.; Amooghin, A.E.; Nakhjiri, A.T. Modeling of CO2 absorption in a membrane contactor containing 3-diethylaminopropylamine (DEAPA) solvent. Int. J. Greenh. Gas Control 2023, 127, 103938. [Google Scholar] [CrossRef]
- Kim, K.; Lee, H.; Park, H.S.; Song, H.; Kim, S. Surface modification of polypropylene hollow fiber membranes using fluorosilane for CO2 absorption in a gas-liquid membrane contactor. Heliyon 2023, 9, e19829. [Google Scholar] [CrossRef]
- Imtiaz, A.; Othman, M.H.D.; Jilani, A.; Khan, I.U.; Kamaludin, R.; Ayub, M.; Samuel, O.; Kurniawan, T.A.; Hashim, N.; Puteh, M.H. A critical review in recent progress of hollow fiber membrane contactors for efficient CO2 separations. Chemosphere 2023, 325, 138300. [Google Scholar] [CrossRef]
- Shiravi, A.; Maleh, M.S.; Raisi, A.; Sillanpää, M. Hollow fiber membrane contactor for CO2 capture: A review of recent progress on membrane materials, operational challenges, scale-up and economics. Carbon Capture Sci. Technol. 2024, 10, 100160. [Google Scholar] [CrossRef]
- Kim, S.; Scholes, C.A.; Heath, D.E.; Kentish, S.E. Gas-liquid membrane contactors for carbon dioxide separation: A review. Chem. Eng. J. 2021, 411, 128468. [Google Scholar] [CrossRef]
- Koornneef, J.; van Keulen, T.; Faaij, A.; Turkenburg, W. Life cycle assessment of a pulverized coal power plant with post-combustion capture, transport and storage of CO2. Int. J. Greenh. Gas Control 2008, 2, 448–467. [Google Scholar] [CrossRef]
- Petrescu, L.; Bonalumi, D.; Valenti, G.; Cormos, A.-M.; Cormos, C.-C. Life Cycle Assessment for supercritical pulverized coal power plants with post-combustion carbon capture and storage. J. Clean. Prod. 2017, 157, 10–21. [Google Scholar] [CrossRef]
- Surprenant, R. Comparison of life-cycle assessment between bio-catalyzed and promoted potassium carbonate processes and amine-based carbon capture technologies. Int. J. Greenh. Gas Control 2019, 88, 134–155. [Google Scholar]
- Giordano, L.; Roizard, D.; Favre, E. Life cycle assessment of post-combustion CO2 capture: A comparison between membrane separation and chemical absorption processes. Int. J. Greenh. Gas Control 2018, 68, 146–163. [Google Scholar] [CrossRef]
- Wang, Y.; Pan, Z.; Zhang, W.X.; Huang, S.C.; Yu, G.J.; Soltanian, M.R.; Lichtfouse, E.; Zhang, Z.E. Higher efficiency and lower environmental impact of membrane separation for carbon dioxide capture in coal power plants. Environ. Chem. Lett. 2023, 21, 1951–1958. [Google Scholar] [CrossRef]
- Akan, A.P.; Chau, J.; Gullu, G.; Sirkar, K.K. Life Cycle Assessment of Post-Combustion CO2 Capture and Recovery by Hydrophobic Polypropylene Cross-Flow Hollow Fiber Membrane Contactors with Activated Methyldiethanolamine. Atmosphere 2023, 14, 490–513. [Google Scholar] [CrossRef]
- James, R.E., III; Kearins, D.; Turner, M.; Woods, M.; Kuehn, N.; Zoelle, A. Cost and Performance Baseline for Fossil Energy Plants Volume 1: Bituminous Coal and Natural Gas to Electricity; NETL: Pittsburgh, PA, USA; Morgantown, WV, USA, 2019.
- Scholes, C.A. Membrane contactors modelled for process intensification post combustion solvent regeneration. Int. J. Greenh. Gas Control 2019, 87, 203–210. [Google Scholar] [CrossRef]
- Nguyen, K.; Iliuta, I.; Bougie, F.; Pasquier, L.-C.; Iliuta, M.C. Techno-economic assessment of enzymatic CO2 capture in hollow fiber membrane contactors with immobilized carbonic anhydrase. Sep. Purif. Technol. 2023, 307, 122702. [Google Scholar] [CrossRef]
- Lillepärg, J.; Georgopanos, P.; Shishatskiy, S. Stability of blended polymeric materials for CO2 separation. J. Membr. Sci. 2014, 467, 269–278. [Google Scholar] [CrossRef]
- ISO 14040:2006; Environmental Management—Life Cycle Assessment—Principles and Framework. ISO: Geneva, Switzerland, 2006.
- ISO 14044:2006; Environmental Management—Life Cycle Assessment—Requirements and Guidelines. ISO: Geneva, Switzerland, 2006.
- Ecoinvent. Available online: https://ecoinvent.org/the-ecoinvent-database/ (accessed on 26 October 2023).
- Yadav, P.; Ismail, N.; Essalhi, M.; Tysklind, M. Assessment of the environmental impact of polymeric membrane production. J. Membr. Sci. 2021, 622, 118987. [Google Scholar] [CrossRef]
- Huijbregts, M.A.J.; Steinmann, Z.J.N.; Elshout, P.M.F.; Stam, G.; Verones, F.; Vieira, M.; Zijp, M.; Hollander, A.; van Zelm, R. ReCipe2016: A harmonised life cycle impact assessment method at midpoint and endpoint level. Int. J. Life Cycle Assess. 2017, 22, 138–147. [Google Scholar] [CrossRef]
- China Energy Outlook. Available online: https://international.lbl.gov/china-energy-outlook-0 (accessed on 26 October 2023).












| Parameters | Value |
|---|---|
| Fiber inner diameter (m) | 3.0 × 10−4 |
| Fiber outer diameter (m) | 5.0 × 10−4 |
| Pore diameter (m) | 1.0 × 10−7 |
| Porosity | 0.5 |
| Outer specific area (m2/m3) | 1500 |
| Inner specific area (m2/m3) | 900 |
| Gas velocity (m/s) | 1.0 |
| Liquid velocity (m/s) | 0.07 |
| Number of absorber contactors Number of desorber contactors | 100 |
| 100 | |
| Effective height (m) | 4.0 |
| Membrane material | Polysulfone |
| System Parameters | Unit | Value |
|---|---|---|
| Membrane gas absorption [29] | ||
| MEA consumption | kg/t CO2 | 0.9 |
| Membrane area | 103 m2 | 4400 |
| Regeneration heat | GJ/t CO2 | 2 |
| Compressor | kWh/t CO2 | 83.3 |
| Auxiliary equipment | kWh/t CO2 | 67.96 |
| Chemical absorption [24] | ||
| MEA consumption | kg/t CO2 | 1.44 |
| Regeneration heat | GJ/t CO2 | 3.2 |
| Compressor | kWh/t CO2 | 64.5 |
| Auxiliary equipment | kWh/t CO2 | 33.8 |
| Membrane gas separation system [24] | ||
| Membrane area | 103 m2 | 2828.5 |
| Compressor | kWh/t CO2 | 77.1 |
| Auxiliary equipment | kWh/t CO2 | 230.4 |
| Unit | Value | ||
|---|---|---|---|
| Input | Water, unspecified natural origin | L | 3000 |
| Oxygen | kg | 32.8 | |
| Water, deionized | kg | 3.2 | |
| 2,4-dichlorophenol | kg | 75.2 | |
| Benzene | kg | 79.2 | |
| Bisphenol | kg | 28.8 | |
| Electricity | kg | 2871.84 | |
| Heat | kg | 72.27 | |
| Carbon dioxide, liquid | kg | 161.59 | |
| Ethylene oxide | kg | 160.17 | |
| Nitrogen | L | 0.561 | |
| Output | Hollow fiber membrane | m2 | 1000 |
| Wastewater, average | L | 5000 | |
| Ethylene oxide | kg | 0.08 | |
| Carbon dioxide, fossil | kg | 1.7 | |
| Spent catalyst base from ethylene oxide production | kg | 1.6 | |
| Phenol | kg | 0.056 | |
| Phenol, 2,4-dichloro | kg | 0.16 | |
| Water | m3 | 0.96 |
| Unit | Amount | ||
|---|---|---|---|
| Input | Ethylene oxide | g | 816 |
| Ammonia | g | 788 | |
| Electricity | kWh | 0.333 | |
| Natural gas | MJ | 2 | |
| Transport (truck and train) | t × km | 11.23 | |
| Infrastructure chemical plant | p | 4 × 1010 | |
| Output | Monoethanolamine | kg | 1 |
| Waste heat | MJ | 1.2 | |
| Ethylene oxide to air | g | 1.63 | |
| Ethylene oxide to water | g | 1.47 | |
| Ammonia to air | g | 1.58 | |
| Ammonium to water | g | 3.04 | |
| CO2 | g | 26.5 | |
| Nitrate (NO2) to water | g | 6.97 | |
| COD.BOD | g | 21.3 | |
| TOC.DOC | g | 8.02 |
| Name of the Impact Category | Expression in Equivalent Unit | Abbreviation |
|---|---|---|
| ReCipe 2016 Midpoint indicators | ||
| Global warming potential | kg CO2 to air eq. | GWP |
| Ozone layer depletion potential | kg CFC-11 eq. | ODP |
| Ionizing radiation potential | kBq Cobalt-60 to air eq. | IRP |
| Ozone formation, human health | kg NOx eq. | OFHH |
| Fine particulate matter formation | kg PM2.5 to air eq. | FPMF |
| Ozone formation, terrestrial ecosystems | kg NOx eq. | OFTE |
| Terrestrial acidification potential | kg SO2 eq. | TAP |
| Freshwater eutrophication potential | kg P eq. | FEP |
| Marine eutrophication potential | kg N eq. | MEP |
| Terrestrial ecotoxicity potential | kg 1,4-DCB to industrial soil eq. | TEP |
| Freshwater ecotoxicity potential | kg 1,4-DCB to freshwater eq. | FETP |
| Marine ecotoxicity potential | kg 1,4-DCB to marine water eq. | METP |
| Human carcinogenic toxicity potential | kg 1,4-DCB eq. | HCTP |
| Human non-carcinogenic toxicity potential | kg 1,4-DCB eq. | HNCTP |
| Land use | m2 × year annual cropland eq. | LU |
| Mineral resource scarcity | kg Cu eq. | MRS |
| Fossil resource scarcity | kg oil-eq. | FRS |
| Water consumption potential | m3 water-eq. consumed | WCP |
| ReCipe 2016 Endpoint indicators | ||
| Damage to human health | points | |
| Damage to ecosystem quality | points | |
| Damage to resources | points |
| 2020 | 2025 | 2030 | 2035 | 2040 | 2045 | 2050 | |
|---|---|---|---|---|---|---|---|
| Coal | 55% | 54% | 52% | 42% | 34% | 20% | 5% |
| Natural gas | 4% | 5% | 5% | 5% | 5% | 6% | 5% |
| Hydro | 21% | 19% | 17% | 16% | 15% | 16% | 18% |
| Nuclear | 6% | 7% | 8% | 10% | 11% | 13% | 16% |
| Wind | 8% | 11% | 13% | 18% | 22% | 25% | 29% |
| Solar | 5% | 4% | 6% | 9% | 13% | 19% | 27% |
| Electricity GWP kgCO2 eq/kWh | 0.724 | 0.714 | 0.691 | 0.586 | 0.482 | 0.329 | 0.143 |
Disclaimer/Publisher’s Note: The statements, opinions and data contained in all publications are solely those of the individual author(s) and contributor(s) and not of MDPI and/or the editor(s). MDPI and/or the editor(s) disclaim responsibility for any injury to people or property resulting from any ideas, methods, instructions or products referred to in the content. |
© 2024 by the authors. Licensee MDPI, Basel, Switzerland. This article is an open access article distributed under the terms and conditions of the Creative Commons Attribution (CC BY) license (https://creativecommons.org/licenses/by/4.0/).
Share and Cite
Li, F.; Lv, Y.; Bi, J.; Zhang, H.; Zhao, W.; Su, Y.; Du, T.; Mu, J. Environmental Impact Evaluation of CO2 Absorption and Desorption Enhancement by Membrane Gas Absorption: A Life Cycle Assessment Study. Energies 2024, 17, 2371. https://doi.org/10.3390/en17102371
Li F, Lv Y, Bi J, Zhang H, Zhao W, Su Y, Du T, Mu J. Environmental Impact Evaluation of CO2 Absorption and Desorption Enhancement by Membrane Gas Absorption: A Life Cycle Assessment Study. Energies. 2024; 17(10):2371. https://doi.org/10.3390/en17102371
Chicago/Turabian StyleLi, Fuzhao, Yuexia Lv, Jinpeng Bi, Hui Zhang, Wei Zhao, Yancai Su, Tingting Du, and Junkun Mu. 2024. "Environmental Impact Evaluation of CO2 Absorption and Desorption Enhancement by Membrane Gas Absorption: A Life Cycle Assessment Study" Energies 17, no. 10: 2371. https://doi.org/10.3390/en17102371
APA StyleLi, F., Lv, Y., Bi, J., Zhang, H., Zhao, W., Su, Y., Du, T., & Mu, J. (2024). Environmental Impact Evaluation of CO2 Absorption and Desorption Enhancement by Membrane Gas Absorption: A Life Cycle Assessment Study. Energies, 17(10), 2371. https://doi.org/10.3390/en17102371

