Comparative Study of Parameter Extraction from a Solar Cell or a Photovoltaic Module by Combining Metaheuristic Algorithms with Different Simulation Current Calculation Methods
Abstract
1. Introduction
2. Principles and Methods
2.1. Single-Diode Models (SDMs) of Solar Cells and PV Modules
2.2. Explicit Equations of Single-Diode Models (SDMs) for Solar Cells and PV Modules
2.3. Double-Diode Models (DDMs) of Solar Cells and PV Modules
2.4. Explicit Equations of the Double-Diode Models (DDMs) for Solar Cells and PV Modules
2.5. Newton–Raphson Method
2.6. Objective Function
2.7. Three Methods for Calculating the Simulation Current of a Solar Cell or a PV Module
2.7.1. Approximation Method
2.7.2. LW Method
2.7.3. NR Method
2.8. PV-Model Parameter-Extraction Process by Combining a Metaheuristic Algorithm with a Simulation Current Calculation Method
3. Results and Discussion
3.1. The SDM Parameter-Extraction Results Obtained from the Solar Cell and the PV Module
3.2. The DDM Parameter-Extraction Results Obtained from the Solar Cell and the PV Module
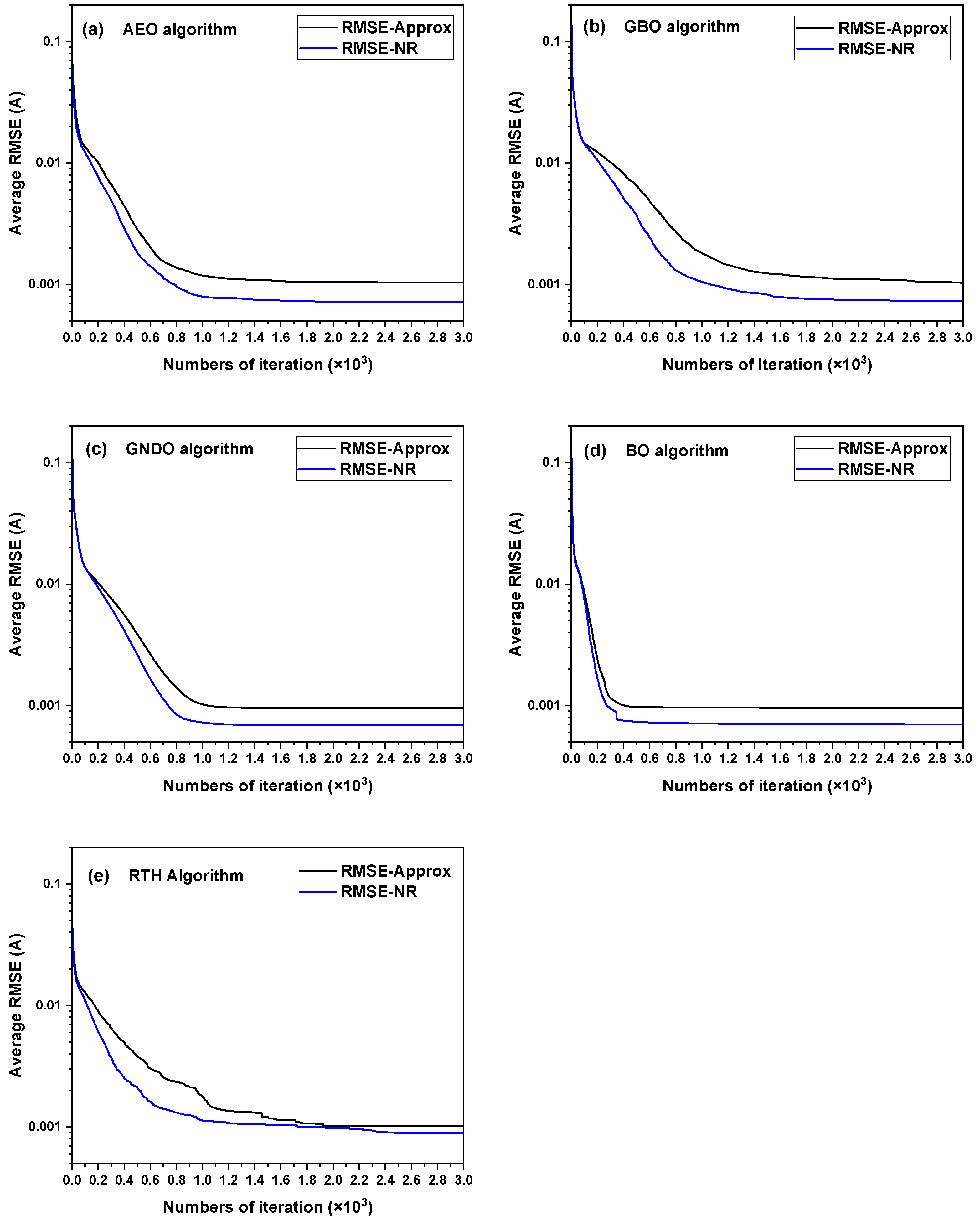
3.3. Discussion
4. Conclusions
Supplementary Materials
Author Contributions
Funding
Data Availability Statement
Conflicts of Interest
References
- Abbassi, R.; Abbassi, A.; Jemli, M.; Chebbi, S. Identification of unknown parameters of solar cell models: A comprehensive overview of available approaches. Renew. Sust. Energ. Rev. 2018, 90, 453–474. [Google Scholar] [CrossRef]
- Younis, A.; Bakhit, A.; Onsa, M.; Hashim, M. A comprehensive and critical review of bio-inspired metaheuristic frameworks for extracting parameters of solar cell single and double diode models. Energy Rep. 2022, 8, 7085–7106. [Google Scholar] [CrossRef]
- Li, S.; Gong, W.; Gu, Q. A comprehensive survey on meta-heuristic algorithms for parameter extraction of photovoltaic models. Renew. Sust. Energ. Rev. 2021, 141, 110828. [Google Scholar] [CrossRef]
- Li, J.; Qin, C.; Yang, C.; Ai, B.; Zhou, Y. Extraction of single diode model parameters of solar cells and PV modules by combining an intelligent optimization algorithm with simplified explicit equation based on Lambert W function. Energies 2023, 16, 5425. [Google Scholar] [CrossRef]
- Ćalasan, M.; Abdel Aleem, S.H.E.; Zobaa, A.F. On the root mean square error (RMSE) calculation for parameter estimation of photovoltaic models: A novel exact analytical solution based on Lambert W function. Energy Conv. Manag. 2020, 210, 112716. [Google Scholar] [CrossRef]
- Nunes, H.; Pombo, J.; Mariano, S.; Do Rosario Calado, M. Newton-Raphson method versus Lambert W function for photovoltaic parameter estimation. In Proceedings of the 2022 IEEE International Conference on Environment and Electrical Engineering and 2022 IEEE Industrial and Commercial Power Systems Europe (EEEIC/I&CPS Europe), Prague, Czech Republic, 28 June–1 July 2022; pp. 1–6. [Google Scholar]
- Deotti, L.M.P.; Da Silva, I.C. A survey on the parameter extraction problem of the photovoltaic single diode model from a current–voltage curve. Sol. Energy 2023, 263, 111930. [Google Scholar] [CrossRef]
- Yu, X.; Zhou, J. A robust method based on reinforcement learning and differential evolution for the optimal photovoltaic parameter extraction. Appl. Soft Comput. 2023, 148, 110916. [Google Scholar] [CrossRef]
- Deng, L.; Liu, S. Incorporating Q-learning and gradient search scheme into JAYA algorithm for global optimization. Artif. Intell. Rev. 2023, 56, 3705–3748. [Google Scholar] [CrossRef]
- Yu, X.; Duan, Y.; Cai, Z. Sub-population improved grey wolf optimizer with Gaussian mutation and Lévy flight for parameters identification of photovoltaic models. Expert Syst. Appl. 2023, 232, 120827. [Google Scholar] [CrossRef]
- Abd El-Mageed, A.A.; Abohany, A.A.; Saad, H.M.H.; Sallam, K.M. Parameter extraction of solar photovoltaic models using queuing search optimization and differential evolution. Appl. Soft. Comput. 2023, 134, 110032. [Google Scholar] [CrossRef]
- Gong, W.; Cai, Z. Parameter extraction of solar cell models using repaired adaptive differential evolution. Sol. Energy 2013, 94, 209–220. [Google Scholar] [CrossRef]
- Askarzadeh, A.; Rezazadeh, A. Artificial bee swarm optimization algorithm for parameters identification of solar cell models. Appl. Energy 2013, 102, 943–949. [Google Scholar] [CrossRef]
- Yang, B.; Wang, J.; Zhang, X.; Yu, T.; Yao, W.; Shu, H.; Zeng, F.; Sun, L. Comprehensive overview of meta-heuristic algorithm applications on PV cell parameter identification. Energy Conv. Manag. 2020, 208, 112595. [Google Scholar] [CrossRef]
- Easwarakhanthan, T.; Bottin, J.; Bouhouch, I.; Boutrit, C. Nonlinear minimization algorithm for determining the solar cell parameters with microcomputers. Int. J. Sol. Energy 1986, 4, 1–12. [Google Scholar] [CrossRef]
- Li, S.; Gong, W.; Yan, X.; Hu, C.; Bai, D.; Wang, L. Parameter estimation of photovoltaic models with memetic adaptive differential evolution. Sol. Energy 2019, 190, 465–474. [Google Scholar] [CrossRef]
- Gu, Z.; Xiong, G.; Fu, X.; Mohamed, A.W.; Al-Betar, M.A.; Chen, H.; Chen, J. Extracting accurate parameters of photovoltaic cell models via elite learning adaptive differential evolution. Energy Conv. Manag. 2023, 285, 116994. [Google Scholar] [CrossRef]
- Navarro, M.A.; Oliva, D.; Ramos-Michel, A.; Haro, E.H. An analysis on the performance of metaheuristic algorithms for the estimation of parameters in solar cell models. Energy Conv. Manag. 2023, 276, 116523. [Google Scholar] [CrossRef]
- Lu, Y.; Liang, S.; Ouyang, H.; Li, S.; Wang, G. Hybrid multi-group stochastic cooperative particle swarm optimization algorithm and its application to the photovoltaic parameter identification problem. Energy Rep. 2023, 9, 4654–4681. [Google Scholar] [CrossRef]
- Gao, X.; Hou, Q.; Yao, S.; Zhou, K. Opposite normalized trust-region reflective (ONTRR): A new algorithm for parameter extraction of single, double and triple diode solar cell models. Appl. Sci. 2023, 13, 8199. [Google Scholar] [CrossRef]
- Wolf, M.; Noel, G.T.; Stirn, R.J. Investigation of the double exponential in the current-Voltage characteristics of silicon solar cells. IEEE Trans. Electron Devices 1977, 24, 419–428. [Google Scholar] [CrossRef]
- McIntosh, K.R.; Altermatt, P.P.; Heiser, G. Depletion-region recombination in silicon solar cells: When does m_DR = 2. In Proceedings of the 16th European Photovoltaic Solar Energy Conference and Exhibition, Glasgow, UK, 1–5 May 2000; pp. 250–253. [Google Scholar]
- Kaminski, A.; Marchand, J.J.; Fave, A.; Laugier, A. New method of parameters extraction from dark I-V curve. In Proceedings of the 26th IEEE Photovoltaic Specialists Conference, Anaheim, CA, USA, 30 September–3 October 1997; pp. 203–206. [Google Scholar]
- King, D.L.; Hansen, B.R.; Kratochvil, J.A.; Quintana, M.A. Dark current-voltage measurements on photovoltaic modules as a diagnostic or manufacturing tool. In Proceedings of the 26th IEEE Photovoltaic Specialists Conference, Anaheim, CA, USA, 30 September–3 October 1997; pp. 1125–1128. [Google Scholar]
- Kaminski, A.; Marchand, J.J.; Laugier, A. I–V methods to extract junction parameters with special emphasis on low series resistance. Solid-State Electron. 1999, 43, 741–745. [Google Scholar] [CrossRef]
- Basnyat, P.; Sopori, B.; Devayajanam, S.; Shet, S.; Binns, J.; Appel, J.; Ravindra, N.M. Experimental study to separate surface and bulk contributions of light-induced degradation in crystalline silicon solar cells. Emerg. Mater. Res. 2015, 4, 239–246. [Google Scholar] [CrossRef]
- Bai, Q.; Yang, H.; Cheng, X.; Wang, H. Recombination parameters of the diffusion region and depletion region for crystalline silicon solar cells under different injection levels. Appl. Sci. 2020, 10, 4887. [Google Scholar] [CrossRef]
- Sabadus, A.; Paulescu, M. On the nature of the one-diode solar cell model parameters. Energies 2021, 14, 3974. [Google Scholar] [CrossRef]
- Gao, X.; Cui, Y.; Hu, J.; Tahir, N.; Xu, G. Performance comparison of exponential, Lambert W function and Special Trans function based single diode solar cell models. Energy Conv. Manag. 2018, 171, 1822–1842. [Google Scholar] [CrossRef]
- Yousri, D.; Abd Elaziz, M.; Oliva, D.; Abualigah, L.; Al-qaness, M.A.A.; Ewees, A.A. Reliable applied objective for identifying simple and detailed photovoltaic models using modern metaheuristics: Comparative study. Energy Conv. Manag. 2020, 223, 113279. [Google Scholar] [CrossRef]
- Ayyarao, T.S.L.V.; Kishore, G.I. Parameter estimation of solar PV models with artificial humming bird optimization algorithm using various objective functions. Soft Comput. 2024, 28, 3371–3392. [Google Scholar] [CrossRef]
- Zhao, W.; Wang, L.; Zhang, Z. Artificial ecosystem-based optimization: A novel nature-inspired meta-heuristic algorithm. Neural Comput. Appl. 2020, 32, 9383–9425. [Google Scholar] [CrossRef]
- Ahmadianfar, I.; Bozorg-Haddad, O.; Chu, X. Gradient-based optimizer: A new metaheuristic optimization algorithm. Inf. Sci. 2020, 540, 131–159. [Google Scholar] [CrossRef]
- Zhang, Y.; Jin, Z.; Mirjalili, S. Generalized normal distribution optimization and its applications in parameter extraction of photovoltaic models. Energy Conv. Manag. 2020, 224, 113301. [Google Scholar] [CrossRef]
- Das, A.K.; Pratihar, D.K. Bonobo optimizer (BO): An intelligent heuristic with self-adjusting parameters over continuous spaces and its applications to engineering problems. Appl. Intell. 2022, 52, 2942–2974. [Google Scholar] [CrossRef]
- Ferahtia, S.; Houari, A.; Rezk, H.; Djerioui, A.; Machmoum, M.; Motahhir, S.; Ait-Ahmed, M. Red-tailed hawk algorithm for numerical optimization and real-world problems. Sci. Rep. 2023, 13, 12950. [Google Scholar] [CrossRef]
- Gao, X.; Cui, Y.; Hu, J.; Xu, G.; Yu, Y. Lambert W-function based exact representation for double diode model of solar cells: Comparison on fitness and parameter extraction. Energy Conv. Manag. 2016, 127, 443–460. [Google Scholar] [CrossRef]
- Çetinbaş, I.; Tamyurek, B.; Demirtaş, M. Parameter extraction of photovoltaic cells and modules by hybrid white shark optimizer and artificial rabbits optimization. Energy Conv. Manag. 2023, 296, 117621. [Google Scholar] [CrossRef]
- Kler, D.; Goswami, Y.; Rana, K.P.S.; Kumar, V. A novel approach to parameter estimation of photovoltaic systems using hybridized optimizer. Energy Conv. Manag. 2019, 187, 486–511. [Google Scholar] [CrossRef]
- Nunes, H.G.G.; Pombo, J.A.N.; Mariano, S.J.P.S.; Calado, M.R.A.; Felippe De Souza, J.A.M. A new high performance method for determining the parameters of PV cells and modules based on guaranteed convergence particle swarm optimization. Appl. Energy 2018, 211, 774–791. [Google Scholar] [CrossRef]
- Ayyarao, T.S.L.V.; Kumar, P.P. Parameter estimation of solar PV models with a new proposed war strategy optimization algorithm. Int. J. Energy Res. 2022, 46, 7215–7238. [Google Scholar] [CrossRef]
- Chin, V.J.; Salam, Z. Coyote optimization algorithm for the parameter extraction of photovoltaic cells. Sol. Energy 2019, 194, 656–670. [Google Scholar] [CrossRef]
- Gude, S.; Jana, K.C. A multiagent system based cuckoo search optimization for parameter identification of photovoltaic cell using Lambert W-function. Appl. Soft. Comput. 2022, 120, 108678. [Google Scholar] [CrossRef]
- Hachana, O.; Aoufi, B.; Tina, G.M.; Sid, M.A. Photovoltaic mono and bifacial module/string electrical model parameters identification and validation based on a new differential evolution bee colony optimizer. Energy Conv. Manag. 2021, 248, 114667. [Google Scholar] [CrossRef]
- Wang, D.; Sun, X.; Kang, H.; Shen, Y.; Chen, Q. Heterogeneous differential evolution algorithm for parameter estimation of solar photovoltaic models. Energy Rep. 2022, 8, 4724–4746. [Google Scholar] [CrossRef]
- Yu, Y.; Wang, K.; Zhang, T.; Wang, Y.; Peng, C.; Gao, S. A population diversity-controlled differential evolution for parameter estimation of solar photovoltaic models. Sustain. Energy Technol. Assess. 2022, 51, 101938. [Google Scholar] [CrossRef]
- Jordehi, A.R. Time varying acceleration coefficients particle swarm optimisation (TVACPSO): A new optimisation algorithm for estimating parameters of PV cells and modules. Energy Conv. Manag. 2016, 129, 262–274. [Google Scholar] [CrossRef]
- Jordehi, A.R. Enhanced leader particle swarm optimisation (ELPSO): An efficient algorithm for parameter estimation of photovoltaic (PV) cells and modules. Sol. Energy 2018, 159, 78–87. [Google Scholar] [CrossRef]
- El-Sehiemy, R.; Shaheen, A.; El-Fergany, A.; Ginidi, A. Electrical parameters extraction of PV modules using artificial hummingbird optimizer. Sci. Rep. 2023, 13, 9240. [Google Scholar] [CrossRef]
- Nunes, H.G.G.; Pombo, J.A.N.; Bento, P.M.R.; Mariano, S.J.P.S.; Calado, M.R.A. Collaborative swarm intelligence to estimate PV parameters. Energy Conv. Manag. 2019, 185, 866–890. [Google Scholar] [CrossRef]
- Nunes, H.G.G.; Silva, P.N.C.; Pombo, J.A.N.; Mariano, S.J.P.S.; Calado, M.R.A. Multiswarm spiral leader particle swarm optimisation algorithm for PV parameter identification. Energy Conv. Manag. 2020, 225, 113388. [Google Scholar] [CrossRef]
- Aoufi, B.; Hachana, O.; Sid, M.A.; Tina, G.M. NLBBODE optimizer for accurate and fast modeling of photovoltaic module/string generator and its application to solve real-world constrained optimization problems. Appl. Soft. Comput. 2023, 145, 110597. [Google Scholar] [CrossRef]


















| Parameter | R.T.C. Solar Cell | Photowatt-PWP201 | R.T.C. Solar Cell | Photowatt PWP201 | |||||
|---|---|---|---|---|---|---|---|---|---|
| LB | UB | LB | UB | LB | UB | LB | UB | ||
| Iph (A) | 0 | 1 | 0 | 2 | 0 | 1 | 0 | 1.2 | |
| I0 (or I01) () | 0 | 1 | 0 | 50 | 1 × 10−9 | 1 × 103 | 1 × 10−9 | 1 × 103 | |
| I02 () | 1 × 10−9 | 1 × 103 | 1 × 10−9 | 1 × 103 | |||||
| Rs (Ω) | 0 | 0.5 | 0 | 2 | 0 | 0.5 | 0 | 2 | |
| Rsh (Ω) | 0 | 100 | 0 | 2000 | 0.001 | 100 | 0.001 | 1000 | |
| n (or n1) | 1 | 2 | 1 | 50 | 0.5 | 5 | 0.5 | 5 | |
| n2 | 1 | 5 | 1 | 5 | |||||
| Algorithm | Parameter Settings |
|---|---|
| AEO | Default |
| GBO | pr = 0.5; βmin = 0.2, βmax= 1.2 |
| GNDO | Default |
| BO | pxgm_initial = 0.03; scab = 1.25; scsb = 1.3; rcpp = 0.0035; tsgsfactor_initial = 0.025; npc = 0; ppc = 0; cp = 0; pp = 0.5; pd = 0.5; |
| RTH | A = 15; R0 = 0.5; r = 1.5; |
| Algorithm | Iph (A) | I0) | Rs (Ω) | Rsh (Ω) | n | RMSE | |
|---|---|---|---|---|---|---|---|
| Approximation method | AEO | 0.76078 | 0.32302 | 0.03638 | 53.71852 | 1.48118 | 9.86022 × 10−4 |
| GBO | 0.76078 | 0.32302 | 0.03638 | 53.71852 | 1.48118 | 9.86022 × 10−4 | |
| GNDO | 0.76078 | 0.32302 | 0.03638 | 53.71852 | 1.48118 | 9.86022 × 10−4 | |
| BO | 0.76078 | 0.32302 | 0.03638 | 53.71852 | 1.48118 | 9.86022 × 10−4 | |
| RTH | 0.76078 | 0.32302 | 0.03638 | 53.71853 | 1.48118 | 9.86022 × 10−4 | |
| Lambert W method | AEO | 0.76079 | 0.31068 | 0.03655 | 52.88979 | 1.47727 | 7.73006 × 10−4 |
| GBO | 0.76079 | 0.31068 | 0.03655 | 52.88979 | 1.47727 | 7.73006 × 10−4 | |
| GNDO | 0.76079 | 0.31068 | 0.03655 | 52.88979 | 1.47727 | 7.73006 × 10−4 | |
| BO | 0.76079 | 0.31068 | 0.03655 | 52.88979 | 1.47727 | 7.73006 × 10−4 | |
| RTH | 0.76079 | 0.31068 | 0.03655 | 52.88979 | 1.47727 | 7.73006 × 10−4 | |
| Newton–Raphson method | AEO | 0.76079 | 0.31069 | 0.03655 | 52.88991 | 1.47727 | 7.72986 × 10−4 |
| GBO | 0.76079 | 0.31069 | 0.03655 | 52.88991 | 1.47727 | 7.72986 × 10−4 | |
| GNDO | 0.76079 | 0.31069 | 0.03655 | 52.88991 | 1.47727 | 7.72986 × 10−4 | |
| BO | 0.76079 | 0.31069 | 0.03655 | 52.88991 | 1.47727 | 7.72986 × 10−4 | |
| RTH | 0.76079 | 0.31069 | 0.03655 | 52.88991 | 1.47727 | 7.72986 × 10−4 |
| Algorithm | Iph (A) | I0) | Rs (Ω) | Rsh (Ω) | n | RMSE | |
|---|---|---|---|---|---|---|---|
| Approximation method | AEO | 1.03051 | 3.48226 | 0.03337 | 27.27729 | 1.35119 | 2.42507 × 10−3 |
| GBO | 1.03051 | 3.48226 | 0.03337 | 27.27716 | 1.35119 | 2.42507 × 10−3 | |
| GNDO | 1.03051 | 3.48226 | 0.03337 | 27.27728 | 1.35119 | 2.42507 × 10−3 | |
| BO | 1.03051 | 3.48226 | 0.03337 | 27.27728 | 1.35119 | 2.42507 × 10−3 | |
| RTH | 1.03051 | 3.48226 | 0.03337 | 27.27728 | 1.35119 | 2.42507 × 10−3 | |
| Lambert W method | AEO | 1.03143 | 2.63808 | 0.03432 | 22.82337 | 1.32217 | 2.05296 × 10−3 |
| GBO | 1.03143 | 2.63808 | 0.03432 | 22.82337 | 1.32217 | 2.05296 × 10−3 | |
| GNDO | 1.03143 | 2.63808 | 0.03432 | 22.82337 | 1.32217 | 2.05296 × 10−3 | |
| BO | 1.03143 | 2.63808 | 0.03432 | 22.82337 | 1.32217 | 2.05296 × 10−3 | |
| RTH | 1.03143 | 2.63808 | 0.03432 | 22.82337 | 1.32217 | 2.05296 × 10−3 | |
| Newton–Raphson method | AEO | 1.03143 | 2.63813 | 0.03432 | 22.82332 | 1.32218 | 2.05297 × 10−3 |
| GBO | 1.03143 | 2.63813 | 0.03432 | 22.82332 | 1.32218 | 2.05297 × 10−3 | |
| GNDO | 1.03143 | 2.63813 | 0.03432 | 22.82332 | 1.32218 | 2.05297 × 10−3 | |
| BO | 1.03143 | 2.63813 | 0.03432 | 22.82332 | 1.32218 | 2.05297 × 10−3 | |
| RTH | 1.03143 | 2.63813 | 0.03432 | 22.82332 | 1.32218 | 2.05297 × 10−3 |
| Algorithm | RMSE | ||||
|---|---|---|---|---|---|
| Min | Mean | Max | STD | ||
| Approximation method | AEO | 9.86022 × 10−4 | 9.88985 × 10−4 | 1.07488 × 10−3 | 1.62235 × 10−5 |
| GBO | 9.86022 × 10−4 | 9.86022 × 10−4 | 9.86022 × 10−4 | 7.06695 × 10−11 | |
| GNDO | 9.86022 × 10−4 | 9.86022 × 10−4 | 9.86022 × 10−4 | 1.77727 × 10−17 | |
| BO | 9.86022 × 10−4 | 9.86022 × 10−4 | 9.86022 × 10−4 | 3.43690 × 10−15 | |
| RTH | 9.86022 × 10−4 | 9.86022 × 10−4 | 9.86022 × 10−4 | 6.16868 × 10−16 | |
| Lambert W method | AEO | 7.73006 × 10−4 | 7.73006 × 10−4 | 7.73012 × 10−4 | 1.12853 × 10−9 |
| GBO | 7.73006 × 10−4 | 7.73006 × 10−4 | 7.73006 × 10−4 | 1.68692 × 10−13 | |
| GNDO | 7.73006 × 10−4 | 7.73006 × 10−4 | 7.73006 × 10−4 | 9.59316 × 10−18 | |
| BO | 7.73006 × 10−4 | 7.73006 × 10−4 | 7.73006 × 10−4 | 7.71714 × 10−16 | |
| RTH | 7.73006 × 10−4 | 7.73006 × 10−4 | 7.73006 × 10−4 | 1.84186 × 10−16 | |
| Newton–Raphson method | AEO | 7.72986 × 10−4 | 7.72989 × 10−4 | 7.73075 × 10−4 | 1.63204 × 10−8 |
| GBO | 7.72986 × 10−4 | 7.72986 × 10−4 | 7.72986 × 10−4 | 1.28255 × 10−12 | |
| GNDO | 7.72986 × 10−4 | 7.72986 × 10−4 | 7.72986 × 10−4 | 1.46065 × 10−17 | |
| BO | 7.72986 × 10−4 | 7.72986 × 10−4 | 7.72986 × 10−4 | 5.86915 × 10−16 | |
| RTH | 7.72986 × 10−4 | 7.72986 × 10−4 | 7.72986 × 10−4 | 4.43660 × 10−17 | |
| Algorithm | RMSE | ||||
|---|---|---|---|---|---|
| Min | Mean | Max | STD | ||
| Approximation method | AEO | 2.42507 × 10−3 | 2.70642 × 10−3 | 3.00999 × 10−3 | 2.89972 × 10−4 |
| GBO | 2.42507 × 10−3 | 2.55752 × 10−3 | 2.90839 × 10−3 | 1.54161 × 10−4 | |
| GNDO | 2.42507 × 10−3 | 2.67600 × 10−3 | 4.54247 × 10−3 | 4.98915 × 10−4 | |
| BO | 2.42507 × 10−3 | 2.42508 × 10−3 | 2.42510 × 10−3 | 5.15573 × 10−9 | |
| RTH | 2.42507 × 10−3 | 2.42507 × 10−3 | 2.42507 × 10−3 | 1.56402 × 10−16 | |
| Lambert W method | AEO | 2.05296 × 10−3 | 2.16442 × 10−3 | 2.88894 × 10−3 | 2.89036 × 10−4 |
| GBO | 2.05296 × 10−3 | 2.06537 × 10−3 | 2.19909 × 10−3 | 3.39269 × 10−5 | |
| GNDO | 2.05296 × 10−3 | 2.05296 × 10−3 | 2.05296 × 10−3 | 1.87083 × 10−17 | |
| BO | 2.05296 × 10−3 | 2.05296 × 10−3 | 2.05296 × 10−3 | 2.08929 × 10−15 | |
| RTH | 2.05296 × 10−3 | 2.05296 × 10−3 | 2.05296 × 10−3 | 1.04533 × 10−16 | |
| Newton–Raphson method | AEO | 2.05297 × 10−3 | 2.23523 × 10−3 | 2.88895 × 10−3 | 3.42342 × 10−4 |
| GBO | 2.05297 × 10−3 | 2.05730 × 10−3 | 2.15533 × 10−3 | 1.87645 × 10−5 | |
| GNDO | 2.05297 × 10−3 | 2.05297 × 10−3 | 2.05297 × 10−3 | 4.71749 × 10−17 | |
| BO | 2.05297 × 10−3 | 2.05297 × 10−3 | 2.05297 × 10−3 | 5.61726 × 10−16 | |
| RTH | 2.05297 × 10−3 | 2.05297 × 10−3 | 2.05297 × 10−3 | 7.58868 × 10−17 | |
| Algorithm | Average Running Time (s) | ||
|---|---|---|---|
| R.T.C. Solar Cell | Photowatt-PWP201 | ||
| Approximation method | AEO | 0.51482 | 0.51574 |
| GBO | 0.43888 | 0.43597 | |
| GNDO | 0.56526 | 0.54286 | |
| BO | 0.71926 | 0.75209 | |
| RTH | 1.28752 | 1.29033 | |
| Lambert W method | AEO | 18.52605 | 18.34626 |
| GBO | 9.44449 | 9.22904 | |
| GNDO | 18.41898 | 17.47789 | |
| BO | 10.40226 | 9.29315 | |
| RTH | 28.00927 | 26.69370 | |
| Newton–Raphson method | AEO | 6.58858 | 8.03535 |
| GBO | 2.95281 | 4.04287 | |
| GNDO | 5.01869 | 5.52982 | |
| BO | 3.00953 | 3.32285 | |
| RTH | 8.73686 | 9.44753 | |
| Algorithm | Iph (A) | ) | ) | Rs (Ω) | Rsh (Ω) | n1 | n2 | RMSE | |
|---|---|---|---|---|---|---|---|---|---|
| Approximation method | AEO | 0.76086 | 0.25196 | 121.55410 | 0.03694 | 66.24691 | 1.45741 | 5 | 9.57663 × 10−4 |
| GBO | 0.76086 | 0.25196 | 121.55387 | 0.03694 | 66.24695 | 1.45741 | 5 | 9.57663 × 10−4 | |
| GNDO | 0.76086 | 0.25196 | 121.55402 | 0.03694 | 66.24691 | 1.45741 | 5 | 9.57663 × 10−4 | |
| BO | 0.76086 | 0.25196 | 121.55418 | 0.03694 | 66.24692 | 1.45741 | 5 | 9.57663 × 10−4 | |
| RTH | 0.76086 | 0.25196 | 121.55413 | 0.03694 | 66.24691 | 1.45741 | 5 | 9.57663 × 10−4 | |
| Newton–Raphson method | AEO | 0.76092 | 0.20052 | 188.48573 | 0.03764 | 73.30707 | 1.43590 | 5 | 6.93709 × 10−4 |
| GBO | 0.76092 | 0.20052 | 188.48858 | 0.03764 | 73.30666 | 1.43590 | 5 | 6.93709 × 10−4 | |
| GNDO | 0.76092 | 0.20052 | 188.48572 | 0.03764 | 73.30707 | 1.43590 | 5 | 6.93709 × 10−4 | |
| BO | 0.76092 | 0.20052 | 188.48577 | 0.03764 | 73.30707 | 1.43590 | 5 | 6.93709 × 10−4 | |
| RTH | 0.76092 | 0.20052 | 188.48573 | 0.03764 | 73.30707 | 1.43590 | 5 | 6.93709 × 10−4 |
| Algorithm | Iph (A) | ) | ) | Rs (Ω) | Rsh (Ω) | n1 | n2 | RMSE | |
|---|---|---|---|---|---|---|---|---|---|
| Approximation method | AEO | 1.03063 | 1 × 10−9 | 3.02220 | 0.03561 | 26.93417 | 0.54270 | 1.34044 | 2.37528 × 10−3 |
| GBO | 1.03051 | 3.47736 | 3.47736 | 0.03337 | 27.33788 | 1.35105 | 5 | 2.42615 × 10−3 | |
| GNDO | 1.03051 | 3.47737 | 3.47737 | 0.03337 | 27.33799 | 1.35105 | 5 | 2.42615 × 10−3 | |
| BO | 1.03051 | 1 × 10−9 | 3.48226 | 0.03337 | 27.27727 | 1.34928 | 1.35119 | 2.42507 × 10−3 | |
| RTH | 1.03051 | 0.37640 | 3.10587 | 0.03337 | 27.27728 | 1.35119 | 1.35119 | 2.42507 × 10−3 | |
| Newton–Raphson method | AEO | 1.03161 | 1 × 10−9 | 2.22785 | 0.03720 | 22.55096 | 0.53700 | 1.31077 | 1.99051 × 10−3 |
| GBO | 1.03143 | 3.95997 × 10−8 | 2.63813 | 0.03432 | 22.82331 | 1.32211 | 1.32218 | 2.05297 × 10−3 | |
| GNDO | 1.03143 | 2.63469 | 2.63469 | 0.03433 | 22.85425 | 1.32205 | 5 | 2.05371 × 10−3 | |
| BO | 1.03143 | 1.00000 × 10−9 | 2.63813 | 0.03432 | 22.82332 | 1.32131 | 1.32218 | 2.05297 × 10−3 | |
| RTH | 1.03161 | 1.00000 × 10−9 | 2.22785 | 0.03720 | 22.55097 | 0.53700 | 1.31077 | 1.99051 × 10−3 |
| Algorithm | RMSE | ||||
|---|---|---|---|---|---|
| Min | Mean | Max | STD | ||
| Approximation method | AEO | 9.57663 × 10−4 | 1.03826 × 10−3 | 1.43848 × 10−3 | 1.56927 × 10−4 |
| GBO | 9.57663 × 10−4 | 1.02693 × 10−3 | 2.17002 × 10−3 | 2.24218 × 10−4 | |
| GNDO | 9.57663 × 10−4 | 9.57663 × 10−4 | 9.57663 × 10−4 | 2.56100 × 10−17 | |
| BO | 9.57663 × 10−4 | 9.60499 × 10−4 | 9.86022 × 10−4 | 8.65315 × 10−6 | |
| RTH | 9.57663 × 10−4 | 1.01082 × 10−3 | 2.49571 × 10−3 | 2.80543 × 10−4 | |
| Newton–Raphson method | AEO | 6.93709 × 10−4 | 7.18576 × 10−4 | 1.00360 × 10−3 | 5.83113 × 10−5 |
| GBO | 6.93709 × 10−4 | 7.26362 × 10−4 | 1.17297 × 10−3 | 8.73391 × 10−5 | |
| GNDO | 6.93709 × 10−4 | 6.93709 × 10−4 | 6.93709 × 10−4 | 8.92325 × 10−18 | |
| BO | 6.93709 × 10−4 | 7.01722 × 10−4 | 7.72121 × 10−4 | 2.31917 × 10−5 | |
| RTH | 6.93709 × 10−4 | 8.90605 × 10−4 | 3.80087 × 10−3 | 6.49078 × 10−4 | |
| Algorithm | RMSE | ||||
|---|---|---|---|---|---|
| Min | Mean | Max | STD | ||
| Approximation method | AEO | 2.37528 × 10−3 | 2.49036 × 10−3 | 2.78034 × 10−3 | 1.40343 × 10−4 |
| GBO | 2.42615 × 10−3 | 2.47554 × 10−3 | 2.76932 × 10−3 | 1.05780 × 10−4 | |
| GNDO | 2.42615 × 10−3 | 2.42615 × 10−3 | 2.42615 × 10−3 | 1.53103 × 10−17 | |
| BO | 2.42507 × 10−3 | 2.42601 × 10−3 | 2.42615 × 10−3 | 3.73182 × 10−7 | |
| RTH | 2.42507 × 10−3 | 2.42605 × 10−3 | 2.42615 × 10−3 | 3.29342 × 10−7 | |
| Newton–Raphson method | AEO | 1.99051 × 10−3 | 2.32556 × 10−3 | 2.87276 × 10−3 | 2.34646 × 10−4 |
| GBO | 2.05297 × 10−3 | 2.13921 × 10−3 | 2.82157 × 10−3 | 1.85171 × 10−4 | |
| GNDO | 2.05371 × 10−3 | 2.05371 × 10−3 | 2.05371 × 10−3 | 1.25747 × 10−17 | |
| BO | 2.05297 × 10−3 | 2.05364 × 10−3 | 2.05371 × 10−3 | 2.28053 × 10−7 | |
| RTH | 1.99051 × 10−3 | 2.07688 × 10−3 | 2.87669 × 10−3 | 1.51905 × 10−4 | |
| Algorithm | Average Running Time (s) | ||
|---|---|---|---|
| R.T.C. Solar Cell | Photowatt-PWP201 | ||
| Approximation method | AEO | 1.64455 | 1.61351 |
| GBO | 1.34832 | 1.40864 | |
| GNDO | 1.77336 | 1.74512 | |
| BO | 2.24712 | 2.21395 | |
| RTH | 3.60617 | 3.60351 | |
| Newton–Raphson method | AEO | 18.87559 | 19.88152 |
| GBO | 9.87976 | 10.61872 | |
| GNDO | 17.21709 | 17.73914 | |
| BO | 10.02680 | 10.42823 | |
| RTH | 30.23651 | 31.20015 | |
| Algorithm | RMSEobj | RMSEapprox | RMSELW | RMSENR | |
|---|---|---|---|---|---|
| Approximation method | AEO | 9.86022 × 10−4 | 9.86165 × 10−4 | 7.75451 × 10−4 | 7.75426 × 10−4 |
| GBO | 9.86022 × 10−4 | 9.86165 × 10−4 | 7.75451 × 10−4 | 7.75426 × 10−4 | |
| GNDO | 9.86022 × 10−4 | 9.86165 × 10−4 | 7.75451 × 10−4 | 7.75426 × 10−4 | |
| BO | 9.86022 × 10−4 | 9.86165 × 10−4 | 7.75451 × 10−4 | 7.75426 × 10−4 | |
| RTH | 9.86022 × 10−4 | 9.86165 × 10−4 | 7.75451 × 10−4 | 7.75426 × 10−4 | |
| Lambert W method | AEO | 7.73006 × 10−4 | 9.89271 × 10−4 | 7.73025 × 10−4 | 7.73006 × 10−4 |
| GBO | 7.73006 × 10−4 | 9.89271 × 10−4 | 7.73025 × 10−4 | 7.73006 × 10−4 | |
| GNDO | 7.73006 × 10−4 | 9.89271 × 10−4 | 7.73025 × 10−4 | 7.73006 × 10−4 | |
| BO | 7.73006 × 10−4 | 9.89271 × 10−4 | 7.73025 × 10−4 | 7.73006 × 10−4 | |
| RTH | 7.73006 × 10−4 | 9.89271 × 10−4 | 7.73025 × 10−4 | 7.73006 × 10−4 | |
| Newton–Raphson method | AEO | 7.72986 × 10−4 | 9.89251 × 10−4 | 7.73022 × 10−4 | 7.73001 × 10−4 |
| GBO | 7.72986 × 10−4 | 9.89251 × 10−4 | 7.73022 × 10−4 | 7.73001 × 10−4 | |
| GNDO | 7.72986 × 10−4 | 9.89251 × 10−4 | 7.73022 × 10−4 | 7.73001 × 10−4 | |
| BO | 7.72986 × 10−4 | 9.89251 × 10−4 | 7.73022 × 10−4 | 7.73001 × 10−4 | |
| RTH | 7.72986 × 10−4 | 9.89251 × 10−4 | 7.73022 × 10−4 | 7.73001 × 10−4 |
| Algorithm | RMSEobj | RMSEapprox | RMSELW | RMSENR | |
|---|---|---|---|---|---|
| Approximation method | AEO | 2.42507 × 10−3 | 2.42511 × 10−3 | 2.13840 × 10−3 | 2.13840 × 10−3 |
| GBO | 2.42507 × 10−3 | 2.42511 × 10−3 | 2.13840 × 10−3 | 2.13840 × 10−3 | |
| GNDO | 2.42507 × 10−3 | 2.42511 × 10−3 | 2.13840 × 10−3 | 2.13840 × 10−3 | |
| BO | 2.42507 × 10−3 | 2.42511 × 10−3 | 2.13840 × 10−3 | 2.13840 × 10−3 | |
| RTH | 2.42507 × 10−3 | 2.42511 × 10−3 | 2.13840 × 10−3 | 2.13840 × 10−3 | |
| Lambert W method | AEO | 2.05296 × 10−3 | 2.59699 × 10−3 | 2.05302 × 10−3 | 2.05302 × 10−3 |
| GBO | 2.05296 × 10−3 | 2.59699 × 10−3 | 2.05302 × 10−3 | 2.05302 × 10−3 | |
| GNDO | 2.05296 × 10−3 | 2.59699 × 10−3 | 2.05302 × 10−3 | 2.05302 × 10−3 | |
| BO | 2.05296 × 10−3 | 2.59699 × 10−3 | 2.05302 × 10−3 | 2.05302 × 10−3 | |
| RTH | 2.05296 × 10−3 | 2.59699 × 10−3 | 2.05302 × 10−3 | 2.05302 × 10−3 | |
| Newton–Raphson method | AEO | 2.05297 × 10−3 | 2.59741 × 10−3 | 2.05300 × 10−3 | 2.05300 × 10−3 |
| GBO | 2.05297 × 10−3 | 2.59741 × 10−3 | 2.05300 × 10−3 | 2.05300 × 10−3 | |
| GNDO | 2.05297 × 10−3 | 2.59741 × 10−3 | 2.05300 × 10−3 | 2.05300 × 10−3 | |
| BO | 2.05297 × 10−3 | 2.59741 × 10−3 | 2.05300 × 10−3 | 2.05300 × 10−3 | |
| RTH | 2.05297 × 10−3 | 2.59741 × 10−3 | 2.05300 × 10−3 | 2.05300 × 10−3 |
| Algorithm | RMSEobj | RMSEapprox | RMSELW | RMSENR | |
|---|---|---|---|---|---|
| Approximation method | AEO | 9.57663 × 10−4 | 9.57704 × 10−4 | 7.13005 × 10−4 | 7.12546 × 10−4 |
| GBO | 9.57663 × 10−4 | 9.57704 × 10−4 | 7.13006 × 10−4 | 7.12546 × 10−4 | |
| GNDO | 9.57663 × 10−4 | 9.57704 × 10−4 | 7.13005 × 10−4 | 7.12546 × 10−4 | |
| BO | 9.57663 × 10−4 | 9.57704 × 10−4 | 7.13005 × 10−4 | 7.12546 × 10−4 | |
| RTH | 9.57663 × 10−4 | 9.57704 × 10−4 | 7.13005 × 10−4 | 7.12546 × 10−4 | |
| Newton–Raphson method | AEO | 6.93709 × 10−4 | 9.84274 × 10−4 | 6.94614 × 10−4 | 6.93766 × 10−4 |
| GBO | 6.93709 × 10−4 | 9.84275 × 10−4 | 6.94615 × 10−4 | 6.93768 × 10−4 | |
| GNDO | 6.93709 × 10−4 | 9.84274 × 10−4 | 6.94614 × 10−4 | 6.93766 × 10−4 | |
| BO | 6.93709 × 10−4 | 9.84274 × 10−4 | 6.94614 × 10−4 | 6.93766 × 10−4 | |
| RTH | 6.93709 × 10−4 | 9.84274 × 10−4 | 6.94614 × 10−4 | 6.93766 × 10−4 |
| Algorithm | RMSEobj | RMSEapprox | RMSELW | RMSENR | |
|---|---|---|---|---|---|
| Approximation method | AEO | 2.37528 × 10−3 | 2.37542 × 10−3 | 2.08685 × 10−3 | 2.08518 × 10−3 |
| GBO | 2.42615 × 10−3 | 2.42620 × 10−3 | 2.13959 × 10−3 | 2.13959 × 10−3 | |
| GNDO | 2.42615 × 10−3 | 2.42619 × 10−3 | 2.13958 × 10−3 | 2.13957 × 10−3 | |
| BO | 2.42507 × 10−3 | 2.42511 × 10−3 | 2.13840 × 10−3 | 2.13840 × 10−3 | |
| RTH | 2.42507 × 10−3 | 2.42512 × 10−3 | 2.13839 × 10−3 | 2.13839 × 10−3 | |
| Newton–Raphson method | AEO | 1.99051 × 10−3 | 2.59002 × 10−3 | 1.99611 × 10−3 | 1.99056 × 10−3 |
| GBO | 2.05297 × 10−3 | 2.59741 × 10−3 | 2.05300 × 10−3 | 2.05300 × 10−3 | |
| GNDO | 2.05371 × 10−3 | 2.60374 × 10−3 | 2.05375 × 10−3 | 2.05375 × 10−3 | |
| BO | 2.05297 × 10−3 | 2.59741 × 10−3 | 2.05300 × 10−3 | 2.05300 × 10−3 | |
| RTH | 1.99051 × 10−3 | 2.59002 × 10−3 | 1.99611 × 10−3 | 1.99056 × 10−3 |
Disclaimer/Publisher’s Note: The statements, opinions and data contained in all publications are solely those of the individual author(s) and contributor(s) and not of MDPI and/or the editor(s). MDPI and/or the editor(s) disclaim responsibility for any injury to people or property resulting from any ideas, methods, instructions or products referred to in the content. |
© 2024 by the authors. Licensee MDPI, Basel, Switzerland. This article is an open access article distributed under the terms and conditions of the Creative Commons Attribution (CC BY) license (https://creativecommons.org/licenses/by/4.0/).
Share and Cite
Qin, C.; Li, J.; Yang, C.; Ai, B.; Zhou, Y. Comparative Study of Parameter Extraction from a Solar Cell or a Photovoltaic Module by Combining Metaheuristic Algorithms with Different Simulation Current Calculation Methods. Energies 2024, 17, 2284. https://doi.org/10.3390/en17102284
Qin C, Li J, Yang C, Ai B, Zhou Y. Comparative Study of Parameter Extraction from a Solar Cell or a Photovoltaic Module by Combining Metaheuristic Algorithms with Different Simulation Current Calculation Methods. Energies. 2024; 17(10):2284. https://doi.org/10.3390/en17102284
Chicago/Turabian StyleQin, Cheng, Jianing Li, Chen Yang, Bin Ai, and Yecheng Zhou. 2024. "Comparative Study of Parameter Extraction from a Solar Cell or a Photovoltaic Module by Combining Metaheuristic Algorithms with Different Simulation Current Calculation Methods" Energies 17, no. 10: 2284. https://doi.org/10.3390/en17102284
APA StyleQin, C., Li, J., Yang, C., Ai, B., & Zhou, Y. (2024). Comparative Study of Parameter Extraction from a Solar Cell or a Photovoltaic Module by Combining Metaheuristic Algorithms with Different Simulation Current Calculation Methods. Energies, 17(10), 2284. https://doi.org/10.3390/en17102284

