Characteristic Quantity Analysis of Single-Phase Contact Tree Ground Fault of Distribution Network Overhead Lines
Abstract
:1. Introduction
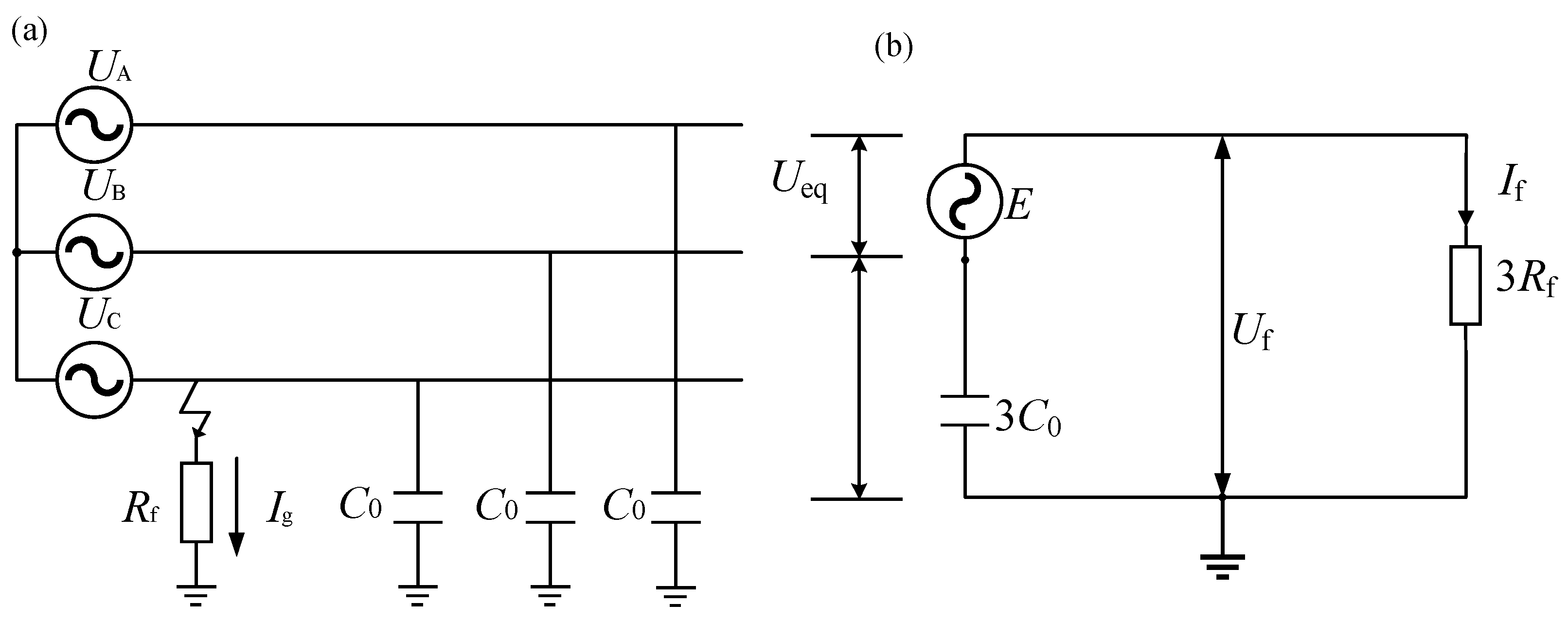
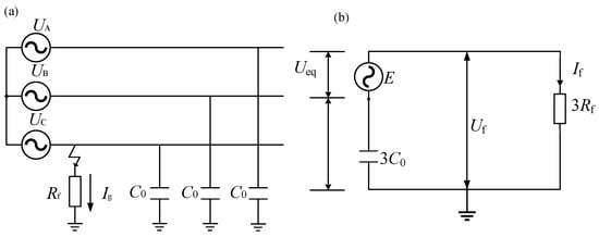
2. Main Characteristic Quantities of the TSF
2.1. Main Characteristics of the TSF
- (1)
- Referring to the equivalent resistance from the tree-line contacting point to the ground, occurring during the TSF, the transition resistance is very high, which is mainly due to the significant contact resistance between the conductor and the tree branches. The contact resistance is in the range of 105 to 106 Ω [4,8], which results in very small fault currents, causing the characteristic quantities used for protection in the line to be unable to exceed the threshold. Therefore, traditional protection devices have difficulty operating in such cases;
- (2)
- During the development of the TSF, the current passing through the tree causes the temperature of the tree to gradually increase. Before the occurrence of visible fire and complete carbonization of the tree, the transition resistance of the TSF shows a decreasing trend [8], which leads to an increasing fault current;
- (3)
- In the case of the TSF, there is a fault arc between the line and the trees. The action of AC voltage causes the arc to continuously extinguish and reignite, resulting in a noticeable “zero crossing” phenomenon of the fault current [16]. This will lead to the generation of high-frequency signals and harmonic signals.
2.2. Theoretical Calculation
3. Design and Method of Experimental Platform
3.1. Experimental Platform and Layout
3.2. Experimental Procedure
- (a)
- Branches selection: In the experiment, branches of different lengths and thicknesses of Bauhinia, Cinnamomum camphora, and pine trees were selected as experimental objects. To avoid the branches and leaves overlapping to form short circuits and for ease of observation, the branches and leaves were cut off. Figure 7 shows an experimental sample, and the measured dimensions and parameters of some trees are shown in Table 1. The lengths mentioned in the table are the lengths of the branches from the point of failure to the point where the branch meets the ground, and the diameters are the diameters of the branches at the point of grounding;
- (b)
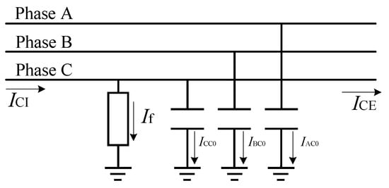
- Experimental process: Before the experiment, one end of the branch is connected to the line, and the other end is buried in the soil of the lifting platform. After connecting the power supply, the experiment starts. The fault recording device is used to record the three-phase voltage, zero-sequence voltage, zero-sequence current, fault phase head, and tail current of the line. The acquisition time is 50 s. If the branch is burnt out, the experiment is stopped. After completing one set, the conditions remain unchanged, and the branch is replaced for the next set of experiments;
- (c)
- Data sorting: Sorting data, discarding data with large errors or measurement errors, and merging available data into datasets.
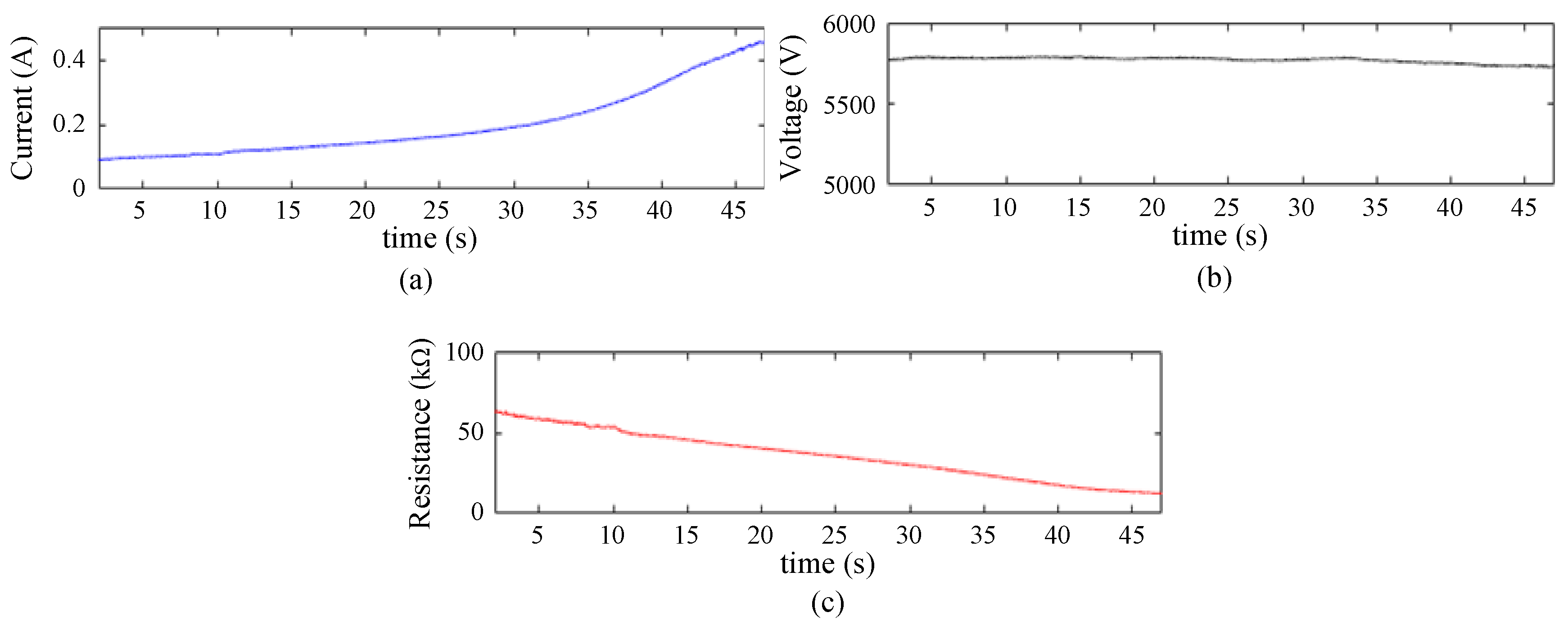
4. Analysis of Experimental Results
4.1. Basic Case Analysis
4.2. Analysis of Tree Characteristics with Different Lengths
4.3. Analysis of Characteristic Quantities of Trees with Different Diameters
4.4. Analysis of Characteristic Quantities of Different Types of Trees
5. Conclusions
- (1)
- In the case of a tree-contact single-phase-to-ground fault, as the fault develops, the fault current will gradually increase, and the zero-sequence voltage, zero-sequence current, and differential current at the beginning and end of the faulted phase of the faulted line will also increase accordingly. Considering the small fault current of the TSF, the changing trend of the above characteristic quantities can be used for fault identification;
- (2)
- The average value of the RMS value of the zero-sequence voltage, the amplitude of the power-frequency component of the zero-sequence current, and the amplitude of the power-frequency component of the differential current can reflect the trend of fault current changes and can be used as TSF feature quantities for TSF detection and identification;
- (3)
- The length, diameter, and type of trees significantly affect the fault characteristics of the TSF. For branches of different lengths, diameters, and types, the average value of the RMS value of zero-sequence voltage, the amplitude of the power-frequency component of zero-sequence current, and the amplitude of the power-frequency component of differential current accurately reflect the development trend of the fault. Therefore, the above-mentioned characteristic quantities are applicable to a variety of fault scenarios;
- (4)
- Installing current transformers at the beginning and end of lines with a high TSF risk can identify the TSF through the average value of zero-sequence voltage and the amplitude of differential current power-frequency components. In areas with low TSF risk, TSF identification can be performed using the average value of zero-sequence voltage and the amplitude of zero-sequence current power-frequency components.
Author Contributions
Funding
Data Availability Statement
Conflicts of Interest
References
- Han, Z.; Geng, G.; Yan, Z.; Chen, X. Economic Loss Assessment and Spatial–Temporal Distribution Characteristics of Forest Fires: Empirical Evidence from China. Forests 2022, 13, 1988. [Google Scholar] [CrossRef]
- Zhang, J.; Bian, H.; Zhao, H.; Wang, X.; Zhang, L.; Bai, Y. Bayesian Network-Based Risk Assessment of Single-Phase Grounding Accidents of Power Transmission Lines. Int. J. Environ. Res. Public Health 2020, 17, 1841. [Google Scholar] [CrossRef] [PubMed]
- Hurteau, M.D.; Westerling, A.L.; Wiedinmyer, C.; Bryant, B.P. Projected Effects of Climate and Development on California Wildfire Emissions through 2100. Environ. Sci. Technol. 2014, 48, 2298–2304. [Google Scholar] [CrossRef] [PubMed]
- Mitchell, J.W. Power line failures and catastrophic wildfires under extreme weather conditions. Eng. Fail. Anal. 2013, 35, 726–735. [Google Scholar] [CrossRef]
- Short, K.C. A spatial database of wildfires in the United States, 1992–2011. Earth Syst. Sci. Data 2014, 6, 1–27. [Google Scholar] [CrossRef]
- Tian, Y.; Wu, Z.; Li, M.; Wang, B.; Zhang, X. Forest Fire Spread Monitoring and Vegetation Dynamics Detection Based on Multi-Source Remote Sensing Images. Remote Sens. 2022, 14, 4431. [Google Scholar] [CrossRef]
- Zhang, X.; Gui, K.; Liao, T.; Li, Y.; Wang, X.; Zhang, X.; Ning, H.; Liu, W.; Xu, J. Three-dimensional spatiotemporal evolution of wildfire-induced smoke aerosols: A case study from Liangshan, Southwest China. Sci. Total Environ. 2021, 762, 144586. [Google Scholar] [CrossRef] [PubMed]
- Santos, W.; Lopes, F.; Brito, N.; Souza, B. High-impedance fault identification on distribution networks. IEEE Trans. Power Deliv. 2016, 32, 23–32. [Google Scholar] [CrossRef]
- Gomes, D.P.; Ozansoy, C.; Ulhaq, A. High-sensitivity vegetation high-impedance fault detection based on signal’s high-frequency contents. IEEE Trans. Instrum. Meas. 2018, 33, 1398–1407. [Google Scholar] [CrossRef]
- Rai, K.; Hojatpanah, F.; Ajaei, F.B.; Grolinger, K. Deep learning for high-impedance fault detection: Convolutional autoencoders. Energies 2021, 14, 3623. [Google Scholar] [CrossRef]
- Soheili, A.; Sadeh, J. Evidential reasoning based approach to high impedance fault detection in power distribution systems. Transm. Distrib. 2017, 11, 1325–1336. [Google Scholar] [CrossRef]
- Wischkaemper, J.A.; Benner, C.L.; Russell, B.D. Electrical characterization of vegetation contacts with distribution conductors-investigation of progressive fault behavior, 2008 IEEE/PES Transmission and Distribution Conference and Exposition. IEEE Trans. Power Deliv. 2008, 25, 2435–2447. [Google Scholar]
- Gomes, D.P.S.; Ozansoy, C.; Ulhaq, A. Vegetation high-impedance faults’ high-frequency signatures via sparse coding. IEEE Trans. Instrum. Meas. 2019, 69, 5233–5242. [Google Scholar] [CrossRef]
- Sedighi, A.-R.; Haghifam, M.-R.; Malik, O. Soft computing applications in high impedance fault detection in distribution systems. Electr. Power Syst. Res. 2005, 76, 136–144. [Google Scholar] [CrossRef]
- Guo, W.; Wen, F.; Liao, Z.; Wei, L.; Xin, J. An analytic model-based approach for power system alarm processing employing temporal constraint network. IEEE Trans. Power Deliv. 2009, 25, 2435–2447. [Google Scholar] [CrossRef]
- Mujović, S.; Vujošević, S. Method for estimation of location of the asymmetrical phase-to-ground faults existing during an overhead line energisation. IET Sci. Meas. Technol. 2018, 12, 237–246. [Google Scholar] [CrossRef]
- Oberst, U. The Fast Fourier Transform. SIAM J. Control. Optim. 2007, 46, 496–540. [Google Scholar] [CrossRef]
- Djuric, M.; Radojevic, Z.; Terzija, V. Time domain solution of fault distance estimation and arcing faults detection on overhead lines. IEEE Trans. Power Deliv. 1999, 14, 60–67. [Google Scholar] [CrossRef]















| No. | Category | Length [m] | Diameter [mm] |
|---|---|---|---|
| 1 | Bauhinia | 0.76 | 22.40 |
| 2 | Pine tree | 0.95 | 26.04 |
| 3 | Pine tree | 0.83 | 24.33 |
| 4 | Pine tree | 0.72 | 26.54 |
| 5 | Pine tree | 0.72 | 17.16 |
| 6 | Pine tree | 0.72 | 11.70 |
| 7 | Cinnamomum Burmannii | 0.72 | 14.84 |
Disclaimer/Publisher’s Note: The statements, opinions and data contained in all publications are solely those of the individual author(s) and contributor(s) and not of MDPI and/or the editor(s). MDPI and/or the editor(s) disclaim responsibility for any injury to people or property resulting from any ideas, methods, instructions or products referred to in the content. |
© 2023 by the authors. Licensee MDPI, Basel, Switzerland. This article is an open access article distributed under the terms and conditions of the Creative Commons Attribution (CC BY) license (https://creativecommons.org/licenses/by/4.0/).
Share and Cite
He, J.; Zhou, Y.; Li, Y.; Zhang, G.; Liang, J.; Shang, H.; Ning, W. Characteristic Quantity Analysis of Single-Phase Contact Tree Ground Fault of Distribution Network Overhead Lines. Energies 2024, 17, 132. https://doi.org/10.3390/en17010132
He J, Zhou Y, Li Y, Zhang G, Liang J, Shang H, Ning W. Characteristic Quantity Analysis of Single-Phase Contact Tree Ground Fault of Distribution Network Overhead Lines. Energies. 2024; 17(1):132. https://doi.org/10.3390/en17010132
Chicago/Turabian StyleHe, Jianbo, Yao Zhou, Yilin Li, Guangqing Zhang, Jiayu Liang, Hao Shang, and Wenjun Ning. 2024. "Characteristic Quantity Analysis of Single-Phase Contact Tree Ground Fault of Distribution Network Overhead Lines" Energies 17, no. 1: 132. https://doi.org/10.3390/en17010132
APA StyleHe, J., Zhou, Y., Li, Y., Zhang, G., Liang, J., Shang, H., & Ning, W. (2024). Characteristic Quantity Analysis of Single-Phase Contact Tree Ground Fault of Distribution Network Overhead Lines. Energies, 17(1), 132. https://doi.org/10.3390/en17010132
