Model of a Predictive Neural Network for Determining the Electric Fields of Training Flight Phases
Abstract
:1. Introduction
2. Materials and Methods
2.1. The Test Airplanes
2.2. Overview of Measurement Data
2.3. Development of the Artificial Neural Network Model
- Time-distributed input layer, whose task is to prepare input data to pass through LSTM cells;
- The flattening layer changes the dimension of the input data matrix to the format 1 to x, where x is the total number of all cells in the matrix;
- The task of the 2 layers of LSTM allows for proper storage of values from previous cycles;
- Three fully connected layers of neurons are responsible for creating a hyperplane for the data and the appropriate selection of output values, in this case, ERMS and EPEAK.
- The network model is shown in Figure 17.
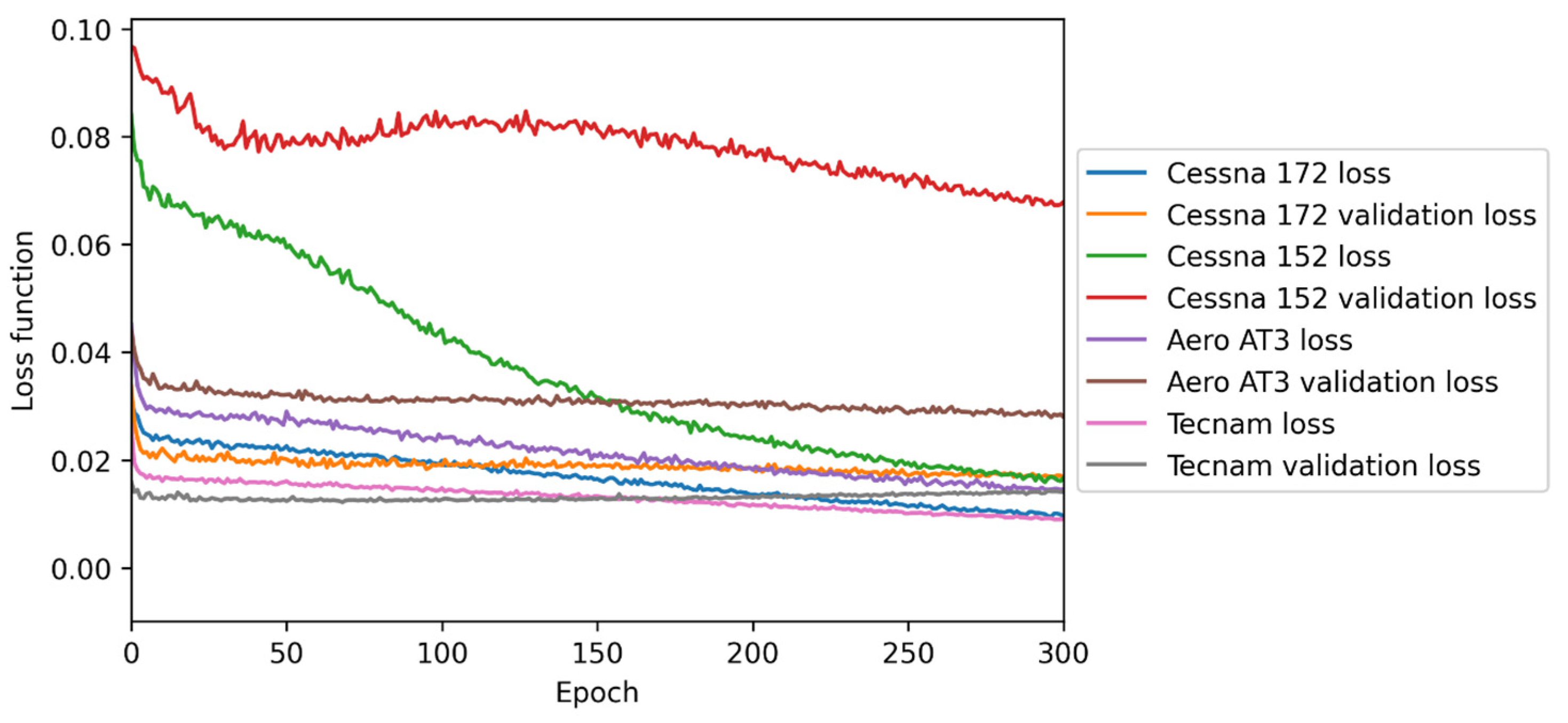
3. Results and Discussion
4. Conclusions
Funding
Data Availability Statement
Conflicts of Interest
References
- Creating Breakthrought Technologies Capabilities for National Security. Available online: https://www.darpa.mil (accessed on 6 January 2022).
- Xiong, G.; Przystupa, K.; Teng, Y.; Xue, W.; Huan, W.; Feng, Z.; Qiong, X.; Wang, C.; Skowron, M.; Kochan, O.; et al. Online Measurement Error Detection for the Electronic Transformer in a Smart Grid. Energies 2021, 14, 3551. [Google Scholar] [CrossRef]
- Sun, L.; Qin, H.; Przystupa, K.; Majka, M.; Kochan, O. Individualized Short-Term Electric Load Forecasting Using Data-Driven Meta-Heuristic Method Based on LSTM Network. Sensors 2022, 22, 7900. [Google Scholar] [CrossRef] [PubMed]
- Liyuan, S.; Yao, M.; Fei, G.; Yantao, D.; Cheng, G. Analysis of the Electromagnetic Environment in the Aircraft with Airborne VLF DTWA. In Proceedings of the 4th World Congress on Electrical Engineering and Computer Systems and Sciences (EECSS’18), Madrid, Spain, 21–23 August 2018. [Google Scholar]
- Bakunowicz, J.; Rzucidło, A. Detection of Aircraft Touchdown Using Longitudinal Acceleration and Continuous Wavelet Transformation. Sensors 2020, 20, 7231. [Google Scholar] [CrossRef] [PubMed]
- Krasuski, K.; Ćwiklak, J. Aircraft positioning using DGNSS technique for GPS and GLONASS data. Sens. Rev. 2020, 40, 559–575. [Google Scholar] [CrossRef]
- Irfan, M.; Ayub, N.; Althobiani, F.; Ali, Z.; Idrees, M.; Ullah, S.; Rahman, S.; Alwadie, A.S.; Ghonaim, S.M.; Abdushkour, H.; et al. Energy theft identification using AdaBoost Ensembler in the Smart Grids. CMC-Comput. Mater. Contin. 2022, 72, 2141–2158. [Google Scholar] [CrossRef]
- Michałowska, J.; Pytka, J.; Tofil, A.; Krupski, P.; Puzio, Ł. Assessment of Training Aircraft Crew Exposure to Electromagnetic Fields Caused by Radio Navigation Devices. Energies 2021, 14, 254. [Google Scholar] [CrossRef]
- Michałowska, J.; Tofil, A.; Józwik, J.; Pytka, J.; Legutko, S.; Siemiątkowski, Z.; Łukaszewicz, A. Monitoring the Risk of the Electric Component Imposed on a Pilot During Light Aircraft Operations in a High-Frequency Electromagnetic Field. Sensors 2019, 19, 5537. [Google Scholar] [CrossRef] [PubMed]
- Pytka, J.; Budzyński, P.; Tomiło, P.; Michałowska, J.; Gnapowski, E.; Błażejczak, D.; Łukaszewicz, A. IMUMETER—A Convolution Neural Network-Based Sensor for Measurement of Aircraft Ground Performance. Sensors 2021, 21, 4726. [Google Scholar] [CrossRef] [PubMed]
- Tomiło, P. Classification of the Condition of Pavement with the Use of Machine Learning Methods. Transp. Telecommun. J. 2023, 24, 158–166. [Google Scholar]
- Kasprzyk, L. Wybrane zagadnienia modelowania ogniw elektrochemicznych i superkondensatorów w pojazdach elektrycznych. Poznań Univ. Technol. Acad. J. Electr. Eng. 2019, 101, 3–55. [Google Scholar]
- Burzyński, D.; Kasprzyk, L. A novel method for the modeling of the state of health of lithium-ion cells using machine learning for practical applications. Knowl.-Based Syst. 2021, 219, 106900. [Google Scholar] [CrossRef]
- Chang, Z.; Jiao, Y.; Wang, X. Influencing the Variable Selection and Prediction of Carbon Emissions in China. Sustainability 2023, 15, 13848. [Google Scholar] [CrossRef]
- Yang, Y.; Xinyang, S.; Wang, Q.; Fang, C. Enhancement of Electromagnetic Scattering Computation Acceleration Using LSTM Neural Networks. Electronics 2023, 12, 3900. [Google Scholar] [CrossRef]
- Ignatov, A. Real-time human activity recognition from accelerometer data using Convolutional Neural Networks. Appl. Soft Comput. 2018, 62, 915–922. [Google Scholar] [CrossRef]
- Guo, Z.; Lin, Q.; Meng, X. A Comparative Study on Deep Learning Models for COVID-19 Forecast. Healthcare 2023, 11, 2400. [Google Scholar] [CrossRef] [PubMed]
- Preethaa, S.; Muthuramalingam, A.; Natarajan, Y.; Wadhwa, G.; Yusuf, A. A Comprehensive Review on Machine Learning Techniques for Forecasting Wind Flow Pattern. Sustainability 2023, 15, 12914. [Google Scholar] [CrossRef]
- Yang, J.; Dong, X.; Yang, H.; Han, X.; Wang, Y.; Chen, J. Prediction of Inbound and Outbound Passenger Flow in Urban Rail Transit Based on Spatio-Temporal Attention Residual Network. Appl. Sci. 2023, 13, 10266. [Google Scholar] [CrossRef]
- RF EMF Guidelines 2020. Available online: https://www.icnirp.org/en/activities/news/news-article/rf-guidelines-2020-published.html (accessed on 1 January 2023).
- Krasuski, K.; Wierzbicki, D. Monitoring Aircraft Position Using EGNOS Data for the SBAS APV Approach to the Landing Procedure. Sensors 2020, 20, 1945. [Google Scholar] [CrossRef] [PubMed]
- Sezer, A.; Altan, A. Detection of solder paste defects with an optimization-based deep learning model using image processing techniques. Solder. Surf. Mt. Technol. 2021, 33, 291–298. [Google Scholar] [CrossRef]
- Sezer, A.; Altan, A. Optimization of deep learning model parameters in classification of solder paste defects. In Proceedings of the 2021 3rd International Congress on Human-Computer Interaction, Optimization and Robotic Applications (HORA), Ankara, Turkey, 11–13 June 2021. [Google Scholar]
- Kinga, D.; Ba, J. Adam: A method for stochastic optimization. In Proceedings of the 3rd International Conference for Learning Representations, San Diego, CA, USA, 7–9 May 2015. [Google Scholar]
- Elsworth, S.; Güttel, S. Time Series Forecasting Using LSTM Networks: A Symbolic Approach. arXiv 2020, arXiv:2003.05672. [Google Scholar]

























| Nr Flights | Variable | Mean | SD | Maximum | Minimum |
|---|---|---|---|---|---|
| Type airplane | Cessna C172 | ||||
| 1 | EPEAK | 1.398 | 0.714 | 18.66 | 0.103 |
| 2 | EPEAK | 2.003 | 0.942 | 11.33 | 0.495 |
| 3 | EPEAK | 1.518 | 0.617 | 6.893 | 0.234 |
| 1 | ERMS | 0.166 | 0.201 | 2.426 | 0.013 |
| 2 | ERMS | 0.226 | 0.229 | 2.156 | 0.055 |
| 3 | ERMS | 0.183 | 0.181942 | 1.966 | 0.054 |
| Type airplane | Cessna C152 | ||||
| 1 | EPEAK | 4.900 | 3.448 | 23.11 | 0.165 |
| 2 | EPEAK | 3.668 | 3.091 | 18.76 | 0.165 |
| 3 | EPEAK | 5.195 | 4.526 | 22.19 | 0.234 |
| 1 | ERMS | 0.911 | 1.188 | 8.959 | 0.014 |
| 2 | ERMS | 0.488 | 0.624 | 7.573 | 0.034 |
| 3 | ERMS | 0.717 | 0.7533 | 4.467 | 0.079 |
| Type airplane | Aero AT3 | ||||
| 1 | EPEAK | 1.919 | 1.152 | 15.85 | 0.165 |
| 2 | EPEAK | 1.766 | 1.372 | 12.51 | 0.333 |
| 3 | EPEAK | 2.265 | 1.439 | 10.95 | 0.165 |
| 1 | ERMS | 0.530 | 0.456 | 8.873 | 0.048 |
| 2 | ERMS | 0.584 | 0.936 | 5.240 | 0.070 |
| 3 | ERMS | 0.622 | 0.596 | 4.806 | 0.023 |
| Type airplane | Tecnam P2006 | ||||
| 1 | EPEAK | 0.928 | 0.4912 | 6.771 | 0.165 |
| 2 | EPEAK | 1.301 | 0.525 | 7.613 | 0.165 |
| 3 | EPEAK | 1.075 | 0.625 | 11.39 | 0.334 |
| 1 | ERMS | 0.145 | 0.130 | 2.833 | 0.054 |
| 2 | ERMS | 0.352 | 0.217 | 1.673 | 0.061 |
| 3 | ERMS | 0.172 | 0.150 | 4.513 | 0.047 |
| Aircraft | Variable | Method | |
|---|---|---|---|
| Naive | ANN | ||
| Aero AT3 | EPEAK (V/m) | 2.0215 | 1.9696 |
| ERMS (V/m) | 2.0107 | 1.4034 | |
| Cessna 152 | EPEAK (V/m) | 4.6422 | 4.4642 |
| ERMS (V/m) | 3.0470 | 2.1128 | |
| Cessna 172 | EPEAK (V/m) | 1.4372 | 1.4152 |
| ERMS (V/m) | 1.6824 | 1.1988 | |
| Tecnam P2006T | EPEAK (V/m) | 1.0983 | 1.0950 |
| ERMS (V/m) | 1.4821 | 1.0464 | |
| Variable | Mean | SD | Maximum | Minimum |
|---|---|---|---|---|
| Cessna C172 | ||||
| EPEAK | 1.945 | 1.294 | 12.317 | 0.354 |
| ERMS | 0.259 | 0.072 | 0.5011 | 0.042 |
| Cessna C152 | ||||
| EPEAK | 2.291 | 1.206 | 11.463 | 0.245 |
| ERMS | 1.755 | 0.829 | 5.786 | 0.310 |
| Aero AT3 | ||||
| EPEAK | 1.296 | 0.812 | 6.210 | 0.132 |
| ERMS | 1.709 | 0.936 | 6.789 | 0.337 |
| Tecnam P2006 | ||||
| EPEAK | 1.109 | 0.712 | 7.171 | 0.100 |
| ERMS | 0.875 | 0.400 | 3.016 | 0.165 |
Disclaimer/Publisher’s Note: The statements, opinions and data contained in all publications are solely those of the individual author(s) and contributor(s) and not of MDPI and/or the editor(s). MDPI and/or the editor(s) disclaim responsibility for any injury to people or property resulting from any ideas, methods, instructions or products referred to in the content. |
© 2023 by the author. Licensee MDPI, Basel, Switzerland. This article is an open access article distributed under the terms and conditions of the Creative Commons Attribution (CC BY) license (https://creativecommons.org/licenses/by/4.0/).
Share and Cite
Michalowska, J. Model of a Predictive Neural Network for Determining the Electric Fields of Training Flight Phases. Energies 2024, 17, 126. https://doi.org/10.3390/en17010126
Michalowska J. Model of a Predictive Neural Network for Determining the Electric Fields of Training Flight Phases. Energies. 2024; 17(1):126. https://doi.org/10.3390/en17010126
Chicago/Turabian StyleMichalowska, Joanna. 2024. "Model of a Predictive Neural Network for Determining the Electric Fields of Training Flight Phases" Energies 17, no. 1: 126. https://doi.org/10.3390/en17010126
APA StyleMichalowska, J. (2024). Model of a Predictive Neural Network for Determining the Electric Fields of Training Flight Phases. Energies, 17(1), 126. https://doi.org/10.3390/en17010126

