Multiphysics Simulation of a Novel Self-Adaptive Chip Cooling with a Temperature-Regulated Metal Pillar Array in Microfluidic Channels
Abstract
:1. Introduction
2. Schematic Description
3. Modeling and Simulation
3.1. Conjugate Heat Transfer
3.2. Fluid Flow
3.3. Temperature-Regulated Movement
3.4. Numerical Simulation
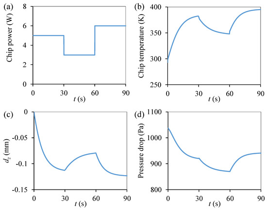
4. Results and Discussion
5. Conclusions
Author Contributions
Funding
Data Availability Statement
Acknowledgments
Conflicts of Interest
References
- Ebadian, M.A.; Lin, C.X. A Review of High-Heat-Flux Heat Removal Technologies. J. Heat Transf. 2011, 133, 110801. [Google Scholar] [CrossRef]
- Sohel Murshed, S.M.; Nieto de Castro, C.A. A critical review of traditional and emerging techniques and fluids for electronics cooling. Renew. Sustain. Energy Rev. 2017, 78, 821–833. [Google Scholar] [CrossRef]
- Adluru, H.K. Design and Analysis of Micro-Channel Heat-Exchanger Embedded in Low Temperature Co-fire Ceramic (LTCC). Master’s Thesis, Florida International University, Miami, FL, USA, 2004; p. 1160. [Google Scholar] [CrossRef]
- van Erp, R.; Soleimanzadeh, R.; Nela, L.; Kampitsis, G.; Matioli, E. Co-designing electronics with microfluidics for more sustainable cooling. Nature 2020, 585, 211–216. [Google Scholar] [CrossRef]
- Haensch, W.; Nowak, E.J.; Dennard, R.H.; Solomon, P.M.; Bryant, A.; Dokumaci, O.H.; Kumar, A.; Wang, X.; Johnson, J.B.; Fischetti, M.V. Silicon CMOS devices beyond scaling. IBM J. Res. Dev. 2006, 50, 339–361. [Google Scholar] [CrossRef]
- Hardavellas, N.; Ferdman, M.; Falsafi, B.; Ailamaki, A. Toward Dark Silicon in Servers. IEEE Micro 2011, 31, 6–15. [Google Scholar] [CrossRef]
- Kandlikar, S.G. Review and Projections of Integrated Cooling Systems for Three-Dimensional Integrated Circuits. J. Electron. Packag. 2014, 136, 024001. [Google Scholar] [CrossRef]
- Sahu, V.; Joshi, Y.K.; Fedorov, A.G.; Bahk, J.H.; Wang, X.; Shakouri, A. Experimental Characterization of Hybrid Solid-State and Fluidic Cooling for Thermal Management of Localized Hotspots. IEEE Trans. Compon. Packag. Manuf. Technol. 2015, 5, 57–64. [Google Scholar] [CrossRef]
- Asadi, M.; Xie, G.; Sunden, B. A review of heat transfer and pressure drop characteristics of single and two-phase microchannels. Int. J. Heat Mass Transf. 2014, 79, 34–53. [Google Scholar] [CrossRef]
- Tuckerman, D.B.; Pease, R.F.W. High-performance heat sinking for VLSI. IEEE Electron. Device Lett. 1981, 2, 126–129. [Google Scholar] [CrossRef]
- Bar-Cohen, A.; Arik, M.; Ohadi, M. Direct Liquid Cooling of High Flux Micro and Nano Electronic Components. Proc. IEEE 2006, 94, 1549–1570. [Google Scholar] [CrossRef]
- Kandlikar, S.G.; Bapat, A.V. Evaluation of Jet Impingement, Spray and Microchannel Chip Cooling Options for High Heat Flux Removal. Heat Transf. Eng. 2007, 28, 911–923. [Google Scholar] [CrossRef]
- Lorenzini, D.; Green, C.; Sarvey, T.E.; Zhang, X.; Hu, Y.; Fedorov, A.G.; Bakir, M.S.; Joshi, Y. Embedded single phase microfluidic thermal management for non-uniform heating and hotspots using microgaps with variable pin fin clustering. Int. J. Heat Mass Transf. 2016, 103, 1359–1370. [Google Scholar] [CrossRef]
- Sung, M.K.; Mudawar, I. Single-phase and two-phase heat transfer characteristics of low temperature hybrid micro-channel/micro-jet impingement cooling module. Int. J. Heat Mass Transf. 2008, 51, 3882–3895. [Google Scholar] [CrossRef]
- Xu, T.; Liu, H.; Zhang, D.; Li, Y.; Zhou, X. Modeling and Simulation of a Hybrid Jet-Impingement/Micro-Channel Heat Sink. Fluid. Dyn. Mater. Process. 2021, 17, 109–121. [Google Scholar] [CrossRef]
- Li, X.; Xuan, Y.; Li, Q. Self-adaptive chip cooling with template-fabricated nanocomposite P(MEO2MA-co-OEGMA) hydrogel. Int. J. Heat Mass Transf. 2021, 166, 120790. [Google Scholar] [CrossRef]
- Shehabi, A.; Smith, S.; Sartor, D.; Brown, R.; Herrlin, M.; Koomey, J.; Masanet, E.; Horner, N.; Azevedo, I.; Lintner, W. United States Data Center Energy Usage Report; Lawrence Berkeley National Laboratory: Berkeley, CA, USA, 2016; 66p. [Google Scholar]
- Zhang, H.; Shao, S.; Xu, H.; Zou, H.; Tian, C. Free cooling of data centers: A review. Renew. Sustain. Energy Rev. 2014, 35, 171–182. [Google Scholar] [CrossRef]
- Sun, C.; Wang, W.; Tian, X.-W.; Zeng, X.; Qian, S.-H.; Cai, Y.-Z.; Wang, X.-H. Thermal design of composite cold plates by topology optimization. Int. J. Mech. Sci. 2023, 259, 108594. [Google Scholar] [CrossRef]
- Laguna, G.; Vilarrubí, M.; Ibañez, M.; Betancourt, Y.; Illa, J.; Azarkish, H.; Amnache, A.; Collin, L.-M.; Coudrain, P.; Fréchette, L.; et al. Numerical parametric study of a hotspot-targeted microfluidic cooling array for microelectronics. Appl. Therm. Eng. 2018, 144, 71–80. [Google Scholar] [CrossRef]
- Yang, M.; Cao, B.-Y. Numerical study on flow and heat transfer of a hybrid microchannel cooling scheme using manifold arrangement and secondary channels. Appl. Therm. Eng. 2019, 159, 113896. [Google Scholar] [CrossRef]
- Harpole, G.M.; Eninger, J.E. Micro-channel heat exchanger optimization. In Proceedings of the 1991 Proceedings, Seventh IEEE Semiconductor Thermal Measurement and Management Symposium, Phoenix, AZ, USA, 12–14 February 1991; pp. 59–63. [Google Scholar]
- Mandel, R.; Shooshtari, A.; Ohadi, M. A “2.5-D” modeling approach for single-phase flow and heat transfer in manifold microchannels. Int. J. Heat Mass Transf. 2018, 126, 317–330. [Google Scholar] [CrossRef]
- Ryu, J.H.; Choi, D.H.; Kim, S.J. Three-dimensional numerical optimization of a manifold microchannel heat sink. Int. J. Heat Mass Transf. 2003, 46, 1553–1562. [Google Scholar] [CrossRef]
- Sharma, C.S.; Tiwari, M.K.; Zimmermann, S.; Brunschwiler, T.; Schlottig, G.; Michel, B.; Poulikakos, D. Energy efficient hotspot-targeted embedded liquid cooling of electronics. Appl. Energy 2015, 138, 414–422. [Google Scholar] [CrossRef]
- Azarkish, H.; Barrau, J.; Coudrain, P.; Savelli, G.; Collin, L.M.; Frechette, L.G. Self-adaptive microvalve array for energy efficient fluidic cooling in microelectronic systems. In Proceedings of the 2017 16th IEEE Intersociety Conference on Thermal and Thermomechanical Phenomena in Electronic Systems (ITherm), Orlando, FL, USA, 30 May–2 June 2017; pp. 522–529. [Google Scholar]
- Wang, J.-X.; Li, Y.-Z.; Zhang, H.-S.; Wang, S.-N.; Liang, Y.-H.; Guo, W.; Liu, Y.; Tian, S.-P. A highly self-adaptive cold plate for the single-phase mechanically pumped fluid loop for spacecraft thermal management. Energy Convers. Manag. 2016, 111, 57–66. [Google Scholar] [CrossRef]
- Li, X.; Xuan, Y. Self-adaptive cooling of chips with unevenly distributed high heat fluxes. Appl. Therm. Eng. 2022, 202, 117913. [Google Scholar] [CrossRef]
- Laguna, G.; Azarkish, H.; Vilarrubí, M.; Ibañez, M.; Roseli, J.; Betancourt, Y.; Illa, J.; Collin, L.M.; Barrau, J.; Fréchette, L.; et al. Microfluidic cell cooling system for electronics. In Proceedings of the 2017 23rd International Workshop on Thermal Investigations of ICs and Systems (THERMINIC), Amsterdam, The Netherlands, 27–29 September 2017; pp. 1–4. [Google Scholar]
- Guo, W.; Li, Y.; Li, Y.-Z.; Zhong, M.-L.; Wang, S.-N.; Wang, J.-X.; Zhang, J.-X. A self-driven temperature and flow rate co-adjustment mechanism based on Shape-Memory-Alloy (SMA) assembly for an adaptive thermal control coldplate module with on-orbit service characteristics. Appl. Therm. Eng. 2017, 114, 744–755. [Google Scholar] [CrossRef]
- Zhang, L.-Y.; Zhang, Y.-F.; Chen, J.-Q.; Bai, S.-L. Fluid flow and heat transfer characteristics of liquid cooling microchannels in LTCC multilayered packaging substrate. Int. J. Heat Mass Transf. 2015, 84, 339–345. [Google Scholar] [CrossRef]
- Aravelli, A.; Rao, S.S.; Adluru, H.K. Multiobjective Design Optimization of Microchannel Cooling System Using High Performance Thermal Vias in LTCC Substrates. J. Microelectron. Electron. Packag. 2013, 10, 40–47. [Google Scholar] [CrossRef]
- Girasek, T.; Pietrikova, A.; Welker, T.; Muller, J. Improving thermal resistance of multilayer LTCC module with cooling channels and thermal vias. In Proceedings of the 2017 40th International Spring Seminar on Electronics Technology (ISSE), Sofia, Bulgaria, 10–14 May 2017; pp. 1–6. [Google Scholar]
- Steller, W.; Windrich, F.; Bremner, D.; Robertson, S.; Mroßko, R.; Keller, J.; Brunschwiler, T.; Schlottig, G.; Oppermann, H.; Wolf, M.J.; et al. Microfluidic Interposer for High Performance Fluidic Chip Cooling. In Proceedings of the 2018 7th Electronic System-Integration Technology Conference (ESTC), Dresden, Germany, 18–21 September 2018; pp. 1–8. [Google Scholar]
- Yin, P.; Li, Y.; Zhang, P.; Xiao, G.; Yuan, H. On-chip heat dissipation design for high-power SiP modules with LTCC substrates. In Proceedings of the 2019 20th International Conference on Electronic Packaging Technology(ICEPT), Hong Kong, China, 12–15 August 2019; pp. 1–4. [Google Scholar]
- Hetnarski, R.B.; Eslami, M.R. Thermal Stresses—Advanced Theory and Applications; Springer: Cham, Switzerland, 2019. [Google Scholar]
- Zhang, F.; Lu, X.; Zhang, L.; Xiao, K.; Lu, F.; He, Y.; Zhu, Y.; Gou, H. Bionic liquid cooling plate thermal management system based on flow resistance-thermal resistance model. Int. J. Therm. Sci. 2023, 190, 108336. [Google Scholar] [CrossRef]







| Element Size | Number of Elements | Maximum Chip Temperature (K) | Pressure Drop (Pa) |
|---|---|---|---|
| Fine | 55,151 | 383.61 | 878.97 |
| Finer | 124,139 | 386.19 | 915.98 |
| Extra fine | 329,525 | 386.52 | 930.51 |
Disclaimer/Publisher’s Note: The statements, opinions and data contained in all publications are solely those of the individual author(s) and contributor(s) and not of MDPI and/or the editor(s). MDPI and/or the editor(s) disclaim responsibility for any injury to people or property resulting from any ideas, methods, instructions or products referred to in the content. |
© 2023 by the authors. Licensee MDPI, Basel, Switzerland. This article is an open access article distributed under the terms and conditions of the Creative Commons Attribution (CC BY) license (https://creativecommons.org/licenses/by/4.0/).
Share and Cite
Xiang, L.; Yang, R.; Zhang, D.; Zhou, X. Multiphysics Simulation of a Novel Self-Adaptive Chip Cooling with a Temperature-Regulated Metal Pillar Array in Microfluidic Channels. Energies 2024, 17, 127. https://doi.org/10.3390/en17010127
Xiang L, Yang R, Zhang D, Zhou X. Multiphysics Simulation of a Novel Self-Adaptive Chip Cooling with a Temperature-Regulated Metal Pillar Array in Microfluidic Channels. Energies. 2024; 17(1):127. https://doi.org/10.3390/en17010127
Chicago/Turabian StyleXiang, Liyin, Rui Yang, Dejun Zhang, and Xiaoming Zhou. 2024. "Multiphysics Simulation of a Novel Self-Adaptive Chip Cooling with a Temperature-Regulated Metal Pillar Array in Microfluidic Channels" Energies 17, no. 1: 127. https://doi.org/10.3390/en17010127
APA StyleXiang, L., Yang, R., Zhang, D., & Zhou, X. (2024). Multiphysics Simulation of a Novel Self-Adaptive Chip Cooling with a Temperature-Regulated Metal Pillar Array in Microfluidic Channels. Energies, 17(1), 127. https://doi.org/10.3390/en17010127

