Effect of an Amphoteric Surfactant Concentration on Absorbance, Contact Angle, Surfactant, and Thermal Conductivity of CNT Nanofluids
Abstract
:1. Introduction
2. Materials and Measurements
2.1. Preparation of Nanofluids
2.2. Analysis of Dispersibility, Contact Angle, Surface Tension, and Thermal Conductivity
3. Results and Discussion
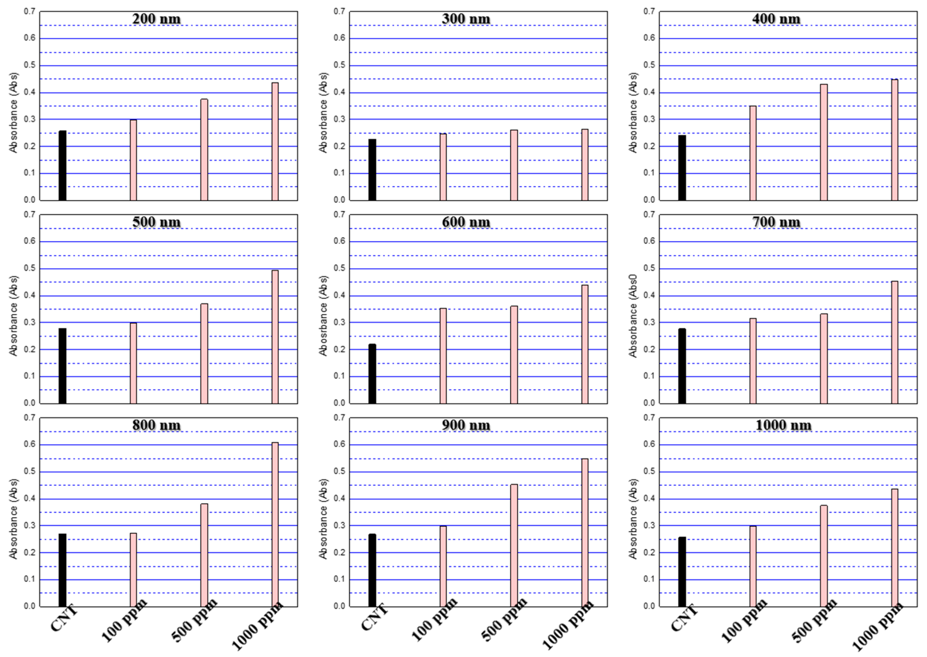
3.1. Effect of LB on Dispersion Characteristics of CNT Nanofluids
3.2. Effect of LB on Contact Angle of DW and CNT Nanofluids
3.3. Effect of LB on Surface Tension of DW and CNT Nanofluids
3.4. Effect of LB on Thermal Conductivity of DW and CNT Nanofluids
4. Conclusions
Author Contributions
Funding
Institutional Review Board Statement
Informed Consent Statement
Data Availability Statement
Conflicts of Interest
References
- Tzeng, S.C.; Lin, C.W.; Huang, K.D.; Hua, C. Heat transfer enhancement of nanofluids in rotary blade coupling of four-wheel-drive vehicles. Acta Mech. 2005, 179, 11–23. [Google Scholar] [CrossRef]
- Bai, M.; Xu, Z.; Lv, J. Application of Nanofluids in Engine Cooling System. SAE Tech. Pap. 2008, 01-1821. [Google Scholar] [CrossRef]
- Buongiorno, J.; Hu, L.W.; Kim, S.J.; Hannink, R.; Truong, B.; Forrest, E. Nanofluids for Enhanced Economics and Safety of Nuclear Reactors: An Evaluation of the Potential Features, Issues, and Research Gaps. Nucl. Technol. 2008, 162, 80–91. [Google Scholar] [CrossRef]
- TOtanicar, P.; Phelan, P.E.; Prasher, R.S.; Rosengarten, G.; Taylor, R.A. Nanofluid-Based Direct Absorption Solar Collector. J. Renew. Sustain. Energy 2010, 2, 033102. [Google Scholar] [CrossRef]
- Taylor, R.A.; Phelan, P.E.; Otanicar, T.P.; Walker, C.A.; Nguyen, M.; Trimble, S.; Prasher, R. Applicability of nanofluids in high flux solar collectors. J. Renew. Sustain. Energy 2011, 3, 023104. [Google Scholar] [CrossRef]
- Razavinezhad, J.; Jafari, A.; Elyaderani, S.M.G. Experimental investigation of multi walled carbon nanotubes assisted surfactant/polymer flooding for enhanced oil recovery. J. Pet. Sci. Eng. 2022, 214, 110370. [Google Scholar] [CrossRef]
- Khoramian, R.; Kharrat, R.; Golshokooh, S. The development of novel nanofluid for enhanced oil recovery application. Fuel 2022, 311, 122558. [Google Scholar] [CrossRef]
- Balandin, A.A.; Ghosh, S.; Bao, W.; Calizo, I.; Teweldebrhan, D.; Miao, F.; Lau, C.N. Superior Thermal Conductivity of Single-Layer Graphene. Nano Lett. 2008, 8, 902–907. [Google Scholar] [CrossRef]
- Han, Z.; Fina, A. Thermal conductivity of carbon nanotubes and their polymer nanocomposites: A review. Prog. Polym. Sci. 2011, 36, 914–944. [Google Scholar] [CrossRef]
- Choi, S.U.S.; Eastman, J.A. Enhancing Thermal Conductivity of Fluids with Nanoparticles; No. ANL/MSD/CP-84938; CONF-951135-29; Argonne National Lab. (ANL): Argonne, IL, USA, 1995.
- Liu, R.; Wang, L. Thermal vibration of a single-walled carbon nanotube predicted by semiquantum molecular dynamics. Phys. Chem. Chem. Phys. 2015, 17, 5194–5201. [Google Scholar] [CrossRef]
- Liu, R.; Wang, L. Coupling between flexural modes in free vibration of single-walled carbon nanotubes. AIP Adv. 2015, 5, 127110. [Google Scholar] [CrossRef]
- Jiang, W.; Ding, G.; Peng, H. Measurement and model on thermal conductivities of carbon nanotube nanorefrigerants. Int. J. Therm. Sci. 2009, 48, 1108–1115. [Google Scholar] [CrossRef]
- Hwang, Y.J.; Ahn, Y.C.; Shin, H.S.; Lee, C.G.; Kim, G.T.; Park, H.S.; Lee, J.K. Investigation on characteristics of thermal conductivity enhancement of nanofluids. Curr. Appl. Phys. 2006, 6, 1068–1071. [Google Scholar] [CrossRef]
- Lee, A.; Baek, S.; Lee, S.; Kim, G.; Noh, J.; Huh, S.; Choi, B.; Sung, Y.; Jeong, H. Functionalized carbon nanotube—Cellulose nanocrystal (CNT—CNC) composite buckypaper via various methods for improved hydrophilicity performance and behaviour. Appl. Nanosci. 2021, 12, 3353–3362. [Google Scholar] [CrossRef]
- Tserengombo, B.; Jeong, H.; Delgado, A.; Dolgor, E.; Kim, S. The alkaline synthesizing method for improved thermal characteristics of CNT/alumina nanocomposite. Diam. Relat. Mater. 2020, 109, 108082. [Google Scholar] [CrossRef]
- Xia, G.; Jiang, H.; Liu, R.; Zhai, Y. Effects of surfactant on the stability and thermal conductivity of Al2O3/de-ionized water nanofluids. Int. J. Therm. Sci. 2014, 84, 118–124. [Google Scholar] [CrossRef]
- Harikrishnan, A.R.; Dhar, P.; Agnihotri, P.K.; Gedupudi, S.; Das, S.K. Effects of interplay of nanoparticles, surfactants and base fluid on the surface tension of nanocolloids. Eur. Phys. J. E 2017, 40, 53. [Google Scholar] [CrossRef]
- Wusiman, K.; Jeong, H.; Tulugan, K.; Afrianto, H.; Chung, H. Thermal performance of multi—Walled carbon nanotubes (MWCNTs) in aqueous suspensions with surfactants SDBS and SDS. Int. Commun. Heat Mass Transf. 2013, 41, 28–33. [Google Scholar] [CrossRef]
- Li, X.F.; Zhu, D.S.; Wang, X.J.; Wang, N.; Gao, J.W.; Li, H. Thermal conductivity enhancement dependent pH and chemical surfactant for Cu—H2O nanofluids. Thermochim. Acta 2008, 469, 98–103. [Google Scholar] [CrossRef]
- Das, P.K.; Mallik, A.K.; Ganguly, R.; Santra, A.K. Synthesis and characterization of TiO2—Water nanofluids with different surfactants. Int. Commun. Heat Mass Transf. 2016, 75, 341–348. [Google Scholar] [CrossRef]
- Rashmi, W.; Ismail, A.F.; Sopyan, I.; Jameel, A.T.; Yusof, F.; Khalid, M.; Mubarak, N.M. Stability and thermal conductivity enhancement of carbon nanotube nanofluid using gum Arabic. J. Exp. Nanosci. 2011, 6, 567–579. [Google Scholar] [CrossRef]
- Yu, W.; Xie, H.; Chen, L.; Li, Y. Investigation on the thermal transport properties of ethylene glycol—Based nanofluids containing copper nanoparticles. Powder Technol. 2010, 197, 218–221. [Google Scholar] [CrossRef]
- Mingzheng, Z.; Guodong, X.; Jian, L.; Lei, C.; Lijun, Z. Analysis of factors influencing thermal conductivity and viscosity in different kinds of surfactant solutions. Exp. Therm. Fluid Sci. 2012, 36, 22–29. [Google Scholar] [CrossRef]
- Golubovic, M.N.; Hettiarachchi, H.D.M.; Worek, W.M.; Minkowycz, W.J. Nanofluids and critical heat flux, experimental and analytical study. Appl. Therm. Eng. 2009, 29, 1281–1288. [Google Scholar] [CrossRef]
- Kim, S.J.; Bang, I.C.; Buongiorno, J.; Hu, L.W. Surface wettability change during pool boiling of nanofluids and its effect on critical heat flux. Int. J. Heat Mass Transf. 2007, 50, 4105–4116. [Google Scholar] [CrossRef]
- Babu, K.; Kumar, T.S.P. Effect of CNT concentration and agitation on surface heat flux during quenching in CNT nanofluids. Int. J. Heat Mass Transf. 2011, 54, 106–177. [Google Scholar] [CrossRef]
- Said, Z.; Sohail, M.A.; Walvekar, R.; Liu, C. Impact of sonication durations on thermophysical properties, contact angle and surface tension of f-MWCNTs nanofluid for heat transfer. J. Mol. Liq. 2022, 358, 119164. [Google Scholar] [CrossRef]
- Jiang, W.; Du, K.; Li, Y.; Yang, L. Experimental investigation on the influence of high temperature on viscosity, thermal conductivity and absorbance of ammonia–water nanofluids. Int. J. Refrig. 2017, 82, 189–198. [Google Scholar] [CrossRef]
- Zeiny, A.; Jin, H.; Bai, L.; Lin, G.; Wen, D. A comparative study of direct absorption nanofluids for solar thermal applications. Sol. Energy 2018, 161, 74–82. [Google Scholar] [CrossRef]
- Anushree, C.; Philip, J. Assessment of long term stability of aqueous nanofluids using different experimental techniques. J. Mol. Liq. 2016, 222, 350–358. [Google Scholar] [CrossRef]
- Kim, S.; Tserengombo, B.; Choi, S.; Noh, J.; Huh, S.; Choi, B.; Chung, H.; Kim, J.; Jeong, H. Experimental investigation of dispersion characteristics and thermal conductivity of various surfactants on carbon based nanomaterial. Int. Commun. Heat Mass Transf. 2018, 91, 95–102. [Google Scholar] [CrossRef]
- Baek, S.; Shin, D.; Kim, G.; Lee, A.; Noh, J.; Choi, B.; Huh, S.; Jeong, H.; Sung, Y. Influence of amphoteric and anionic surfactants on stability, surface tension, and thermal conductivity of Al2O3/water nanofluids. Case Stud. Therm. Eng. 2021, 25, 100995. [Google Scholar] [CrossRef]
- Karthikeyan, A.; Coulombe, S.; Kietzig, A.M. Wetting behavior of mulit—Walled carbon nanotube nanofluids. Nanotechnology 2017, 28, 105706. [Google Scholar] [CrossRef] [PubMed]
- Hunter, T.N.; Wanless, E.J.; Jameson, G.J.; Pugh, R.J. Non—Ionic surfactant interactions with hydrophobic nanoparticles: Impact on foam stability. Colloids Surf. A Physicochem. Eng. Asp. 2009, 347, 81–89. [Google Scholar] [CrossRef]
- Lide, D.R. Handbook of Chemistry and Physics, Eighty-Sixth ed.; Taylor & Francis: Boca Raton, FL, USA, 2005; Volume 12, p. 878. [Google Scholar]







| Fluid | DW | CNT Nanofluid | ||||||
|---|---|---|---|---|---|---|---|---|
| ppm | 0 | 100 | 500 | 1000 | 0 | 100 | 500 | 1000 |
| Contact angle | 99.13 | 93.54 | 82.53 | 75.20 | 93.97 | 94.60 | 92.33 | 93.67 |
| Standard deviation | 2.02 | 0.37 | 0.21 | 0.51 | 4.45 | 3.82 | 1.33 | 3.15 |
| Fluid | DW | CNT Nanofluid | ||||||
|---|---|---|---|---|---|---|---|---|
| ppm | 0 | 100 | 500 | 1000 | 0 | 100 | 500 | 1000 |
| Surface tension | 72.20 | 67.97 | 42.34 | 38.95 | 71.82 | 70.69 | 69.75 | 70.21 |
| Standard deviation | 0.71 | 1.69 | 1.26 | 0.52 | 0.72 | 0.38 | 0.60 | 0.76 |
| Fluid | DW | CNT Nanofluid | ||||||
|---|---|---|---|---|---|---|---|---|
| ppm | 0 | 100 | 500 | 1000 | 0 | 100 | 500 | 1000 |
| Thermal conductivity | 597.96 | 597.19 | 595.44 | 593.92 | 617.34 | 614.58 | 611.18 | 604.71 |
| Standard deviation | 1.19 | 0.73 | 0.67 | 3.78 | 1.81 | 2.33 | 3.63 | 2.33 |
Disclaimer/Publisher’s Note: The statements, opinions and data contained in all publications are solely those of the individual author(s) and contributor(s) and not of MDPI and/or the editor(s). MDPI and/or the editor(s) disclaim responsibility for any injury to people or property resulting from any ideas, methods, instructions or products referred to in the content. |
© 2023 by the authors. Licensee MDPI, Basel, Switzerland. This article is an open access article distributed under the terms and conditions of the Creative Commons Attribution (CC BY) license (https://creativecommons.org/licenses/by/4.0/).
Share and Cite
Baek, S.; Lee, S.; Sung, Y.; Shin, D.; Kim, J.; Jeong, H. Effect of an Amphoteric Surfactant Concentration on Absorbance, Contact Angle, Surfactant, and Thermal Conductivity of CNT Nanofluids. Energies 2024, 17, 113. https://doi.org/10.3390/en17010113
Baek S, Lee S, Sung Y, Shin D, Kim J, Jeong H. Effect of an Amphoteric Surfactant Concentration on Absorbance, Contact Angle, Surfactant, and Thermal Conductivity of CNT Nanofluids. Energies. 2024; 17(1):113. https://doi.org/10.3390/en17010113
Chicago/Turabian StyleBaek, Seungyeop, Seunghyeon Lee, Yonmo Sung, Dongmin Shin, Junhyo Kim, and Hyomin Jeong. 2024. "Effect of an Amphoteric Surfactant Concentration on Absorbance, Contact Angle, Surfactant, and Thermal Conductivity of CNT Nanofluids" Energies 17, no. 1: 113. https://doi.org/10.3390/en17010113
APA StyleBaek, S., Lee, S., Sung, Y., Shin, D., Kim, J., & Jeong, H. (2024). Effect of an Amphoteric Surfactant Concentration on Absorbance, Contact Angle, Surfactant, and Thermal Conductivity of CNT Nanofluids. Energies, 17(1), 113. https://doi.org/10.3390/en17010113

