Dynamic Performance of Monopile-Supported Wind Turbines (MWTs) under Different Operating and Ground Conditions
Abstract
:1. Introduction
2. Methods
2.1. Scaling Laws and Scaled MWT Model
2.1.1. Scaling Laws in This Study
2.1.2. Details of the Scaled MWT Model
2.2. Setup of Wind Tunnel Tests
2.3. Design of Test Cases
3. Results and Discussion
3.1. Structural Responses
3.1.1. Displacement at Nacelle Height
3.1.2. Acceleration at the Tower Top
3.1.3. Bending Moment at the Tower Base
3.1.4. Discussions Regarding Structural Responses
3.2. Dynamic Characteristics
3.2.1. Modal Parameter Identification
3.2.2. Natural Frequency
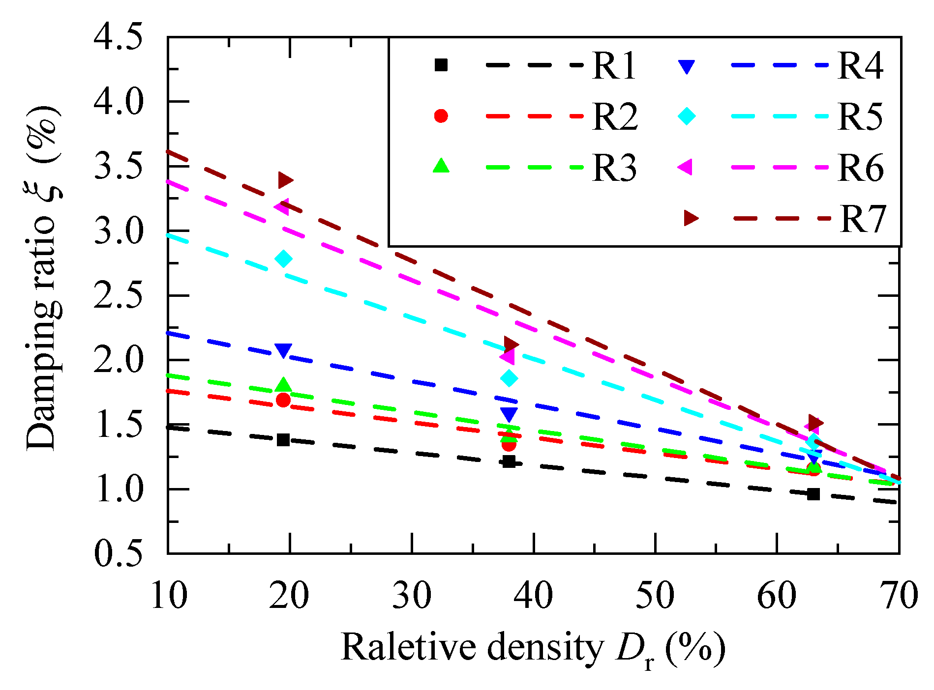
3.2.3. Damping Ratio
3.2.4. Discussions Regarding Dynamic Characteristics
4. Conclusions
- (1)
- In sandy soil, a higher soil relative density (i.e., higher ground stiffness) leads to a more significant reduction in the average displacement at the tower top, particularly under faster wind speeds. Assuming a fixed-base condition (FBC) has a limited effect on the amplitude of displacement at the tower top; however, this leads to a significant overestimation of the amplitudes of the tower top acceleration and the tower base bending moment.
- (2)
- Ground conditions have significant effects on the natural frequency and damping ratio of MWTs. Assuming an FBC will overestimate the natural frequency and underestimate the damping of MWTs. The natural frequency values of MWTs under MSCs are approximately 25% lower as compared with those of an FBC. The natural frequency presents a limited increase with the increase in the soil relative density. Compared with an FBC, MSCs on softer ground (with a lower soil relative density) lead to a higher damping ratio.
- (3)
- The variation in the global damping ratio with different relative densities and wind speeds can be accurately fitted via linear fitting. Under the same operating condition, the global damping ratio decreases with the increase in soil relative density. The soil relative density has a more significant effect on the global damping ratio of MWTs under a faster wind speed.
- (4)
- The operating and ground conditions should be jointly considered during the analysis and design procedure of MWTs. This contributes to maintaining the serviceability of MWTs and may reduce the required conservation and cost of the support structure. The main findings provide insight to further understand the complex dynamic performance of MWTs. However, further full-scale validation and investigation are necessary prior to practical application.
- (5)
- Only limited parameters related to operating and ground conditions were considered in this study, which should be expanded in future studies. Other parameters related to wind shear, turbulence, structural geometry, soil type, etc., should be systematically investigated in the future. Meanwhile, integrated numerical and theoretical models should be developed and carefully validated via an advanced experimental technique. This will solidly contribute to realizing an integrated analysis and the design of MWTs in the wind energy industry.
Author Contributions
Funding
Data Availability Statement
Conflicts of Interest
Appendix A
Appendix A.1. Length
Appendix A.2. Mass
Appendix A.3. Frequency
Appendix A.4. Soil Strain
| Operation ID | Wind Speed (m/s) | Rotor Speed (rpm) | Rotor Thrust (kN) | Bending Moment (MN·m) | (×10−4) | (×10−3) |
|---|---|---|---|---|---|---|
| R1 | 3 | 6.972 | 171.7 | 15.5 | 0.341–1.192 | 0.511–1.789 |
| R2 | 4 | 7.183 | 215.9 | 19.4 | 0.428–1.499 | 0.643–2.249 |
| R3 | 5 | 7.506 | 268.9 | 24.2 | 0.534–1.867 | 0.800–2.801 |
| R4 | 6 | 7.942 | 330.3 | 29.7 | 0.655–2.294 | 0.983–3.441 |
| R5 | 7 | 8.469 | 398.6 | 35.9 | 0.791–2.768 | 1.186–4.152 |
| R6 | 8 | 9.156 | 478.0 | 43.0 | 0.948–3.319 | 1.423–4.979 |
| R7 | 9 | 10.296 | 579.2 | 52.1 | 1.149–4.022 | 1.724–6.033 |
| Test ID | Wind Speed (m/s) | Rotor Speed (rpm) | Rotor Thrust (N) | Bending Moment (N·m) | (×10−4) | (×10−3) |
|---|---|---|---|---|---|---|
| R1 | 3 | 302 | 1.86 | 1.67 | 0.328–0.448 | 0.492–0.672 |
| R2 | 4 | 311 | 3.09 | 2.67 | 0.547–0.747 | 0.786–1.073 |
| R3 | 5 | 330 | 4.73 | 3.98 | 0.836–1.142 | 1.173–1.602 |
| R4 | 6 | 350 | 6.30 | 5.23 | 1.114–1.521 | 1.540–2.103 |
| R5 | 7 | 372 | 8.46 | 6.93 | 1.495–2.042 | 2.042–2.789 |
| R6 | 8 | 408 | 10.85 | 8.84 | 1.918–2.620 | 2.603–3.555 |
| R7 | 9 | 451 | 13.78 | 11.21 | 2.435–3.326 | 3.303–4.511 |
References
- Hong, L.; Möller, B. Offshore wind energy potential in China: Under technical, spatial and economic constraints. Energy 2011, 36, 4482–4491. [Google Scholar] [CrossRef]
- Abadie, C.N.; Byrne, B.W.; Houlsby, G.T. Rigid pile response to cyclic lateral loading: Laboratory tests. Geotechnique 2019, 69, 863–876. [Google Scholar] [CrossRef]
- Burd, H.J.; Taborda, D.M.G.; Zdravković, L.; Abadie, C.N.; Byrne, B.W.; Houlsby, G.T.; Gavin, K.G.; Igoe, D.J.P.; Jardine, R.J.; Martin, C.M.; et al. PISA Design Model for Monopiles for Offshore Wind Turbines: Application to a Marine Sand. Geotechnique 2019, 11, 1048–1066. [Google Scholar] [CrossRef]
- Sunday, K.; Brennan, F. A review of offshore wind monopiles structural design achievements and challenges. Ocean Eng. 2021, 235, 109409. [Google Scholar] [CrossRef]
- Jonkman, J.; Butterfield, S.; Musial, W.; Scott, G. Definition of a 5-MW Reference Wind Turbine for Offshore System Development; No. NREL/TP-500-38060; National Renewable Energy Laboratory: Golden, CO, USA, 2009. [Google Scholar]
- Devriendt, C.; Jordaens, P.J.; De Sitter, G.; Guillaume, P. Damping estimation of an offshore wind turbine on a monopile foundation. IET Renew. Power Gen. 2013, 7, 401–412. [Google Scholar] [CrossRef]
- Chen, C.; Duffour, P. Modelling damping sources in monopile-supported offshore wind turbines. Wind Energy 2018, 21, 1121–1140. [Google Scholar] [CrossRef]
- Lombardi, D.; Bhattacharya, S.; Muir Wood, D. Dynamic soil-structure interaction of monopile supported wind turbines in cohesive soil. Soil Dyn. Earthq. Eng. 2013, 49, 165–180. [Google Scholar] [CrossRef]
- Damgaard, M.; Andersen, L.V.; Ibsen, L.B. Dynamic response sensitivity of an offshore wind turbine for varying subsoil conditions. Ocean Eng. 2015, 101, 227–234. [Google Scholar] [CrossRef]
- Jalbi, S.; Arany, L.; Salem, A.; Cui, L.; Bhattacharya, S. A method to predict the cyclic loading profiles (one-way or two-way) for monopile supported offshore wind turbines. Mar. Struct. 2019, 63, 65–83. [Google Scholar] [CrossRef]
- Klinkvort, R.T.; Hededal, O. Effect of load eccentricity and stress level on monopile support for offshore wind turbines. Can. Geotech. J. 2014, 51, 966–974. [Google Scholar] [CrossRef]
- Wang, X.; Zeng, X.; Yang, X.; Li, J. Seismic response of offshore wind turbine with hybrid monopile foundation based on centrifuge modelling. Appl. Energy 2019, 235, 1335–1350. [Google Scholar] [CrossRef]
- Arany, L.; Bhattacharya, S.; Macdonald, J.; Hogan, S.J. Design of monopiles for offshore wind turbines in 10 steps. Soil Dyn. Earthq. Eng. 2017, 92, 126–152. [Google Scholar] [CrossRef]
- Arany, L.; Bhattacharya, S.; Macdonald, J.; Hogan, S.J. Simplified critical mudline bending moment spectra of offshore wind turbine support structures. Wind Energy 2015, 18, 2171–2197. [Google Scholar] [CrossRef]
- Galvín, P.; Romero, A.; Solís, M.; Domínguez, J. Dynamic characterisation of wind turbine towers account for a monopile foundation and different soil conditions. Struct. Infrastruct. Eng. 2016, 13, 942–954. [Google Scholar] [CrossRef]
- Ozbek, M.; Rixen, D.J.; Erne, O.; Sanow, G. Feasibility of monitoring large wind turbines using photogrammetry. Energy 2010, 35, 4802–4811. [Google Scholar] [CrossRef]
- Murtagh, P.J.; Basu, B.; Broderick, B.M. Along-wind response of a wind turbine tower with blade coupling subjected to rotationally sampled wind loading. Eng. Struct. 2005, 27, 1209–1219. [Google Scholar] [CrossRef]
- Staino, A.; Basu, B. Dynamics and control of vibrations in wind turbines with variable rotor speed. Eng. Struct. 2013, 56, 58–67. [Google Scholar] [CrossRef]
- Devriendt, C.; Weijtjens, W.; El-Kafafy, M.; De Sitter, G. Monitoring resonant frequencies and damping values of an offshore wind turbine in parked conditions. IET Renew. Power Gen. 2014, 8, 433–441. [Google Scholar] [CrossRef]
- Hu, H.; Yang, Z.; Sarkar, P. Dynamic wind loads and wake characteristics of a wind turbine model in an atmospheric boundary layer wind. Exp. Fluids 2012, 52, 1277–1294. [Google Scholar] [CrossRef]
- Tian, W.; Ozbay, A.; Hu, H. Effects of incoming surface wind conditions on the wake characteristics and dynamic wind loads acting on a wind turbine model. Phys. Fluids 2014, 26, 125108. [Google Scholar] [CrossRef]
- Martín Del Campo, J.O.; Pozos-Estrada, A. Multi-hazard fragility analysis for a wind turbine support structure: An application to the Southwest of Mexico. Eng. Struct. 2020, 209, 109929. [Google Scholar] [CrossRef]
- Bhattacharya, S.; Adhikari, S. Experimental validation of soil–structure interaction of offshore wind turbines. Soil Dyn. Earthq. Eng. 2011, 31, 805–816. [Google Scholar] [CrossRef]
- Harte, M.; Basu, B.; Nielsen, S.R.K. Dynamic analysis of wind turbines including soil-structure interaction. Eng. Struct. 2012, 45, 509–518. [Google Scholar] [CrossRef]
- Fontana, C.M.; Carswell, W.; Arwade, S.R.; DeGroot, D.J.; Myers, A.T. Sensitivity of the Dynamic Response of Monopile-Supported Offshore Wind Turbines to Structural and Foundation Damping. Wind Eng. 2015, 39, 609–627. [Google Scholar] [CrossRef]
- Abhinav, K.A.; Saha, N. Dynamic analysis of monopile supported offshore wind turbines. ICE Proc. Geotech. Eng. 2017, 170, 428–444. [Google Scholar] [CrossRef]
- Abdelkader, A.; Aly, A.M.; Rezaee, M.; Bitsuamlak, G.T.; El Naggar, M.H. On the evaluation of wind loads for wind turbines’ foundation design: Experimental and numerical investigations. Struct. Des. Tall Spec. Build. 2017, 26, e1362. [Google Scholar] [CrossRef]
- Zuo, H.; Bi, K.; Hao, H. Dynamic analyses of operating offshore wind turbines including soil structure interaction. Eng. Struct. 2018, 157, 42–62. [Google Scholar] [CrossRef]
- Häfele, J.; Hübler, C.; Gebhardt, C.G.; Rolfes, R. An improved two-step soil-structure interaction modeling method for dynamical analyses of offshore wind turbines. Appl. Ocean. Res. 2016, 55, 141–150. [Google Scholar] [CrossRef]
- Lin, K.; Xiao, S.; Zhou, A.; Liu, H. Experimental study on long-term performance of monopile-supported wind turbines (MWTs) in sand by using wind tunnel. Renew. Energy 2020, 159, 1199–1214. [Google Scholar] [CrossRef]
- Richards, I.A.; Byrne, B.W.; Houlsby, G.T. Monopile rotation under complex cyclic lateral loading in sand. Geotechnique 2020, 10, 926–930. [Google Scholar] [CrossRef]
- Bhattacharya, S.; Lombardi, D.; Muir Wood, D. Similitude relationships for physical modelling of monopile-supported offshore wind turbines. Int. J. Phys. Model. Geotech. 2011, 11, 58–68. [Google Scholar] [CrossRef]
- Xu, Y.; Nikitas, G.; Zhang, T.; Han, Q.; Chryssanthopoulos, M.; Bhattacharya, S.; Wang, Y. Support condition monitoring of offshore wind turbines using model updating techniques. Struct. Health Monit. 2019, 4, 1017–1031. [Google Scholar] [CrossRef]
- Darvishi-Alamouti, S.; Bahaari, M.; Moradi, M. Natural frequency of offshore wind turbines on rigid and flexible monopiles in cohesionless soils with linear stiffness distribution. Appl. Ocean Res. 2017, 68, 91–102. [Google Scholar] [CrossRef]
- Kooijman, H.J.T.; Lindenburg, C.; Winkelaar, D.; van der Hooft, E.L. DOWEC 6 MW PreDesign: Aeroelastic Modeling of the DOWEC 6 MW Predesign in PHATAS; Dutch Ministry of Economic Affairs: The Hague, The Netherlands, 2003. [Google Scholar]
- Bhattacharya, S.; Nikitas, N.; Garnsey, J.; Alexander, N.A.; Cox, J.; Lombardi, D.; Wood, D.M.; Nash, D.F.T. Observed dynamic soil-structure interaction in scale testing of offshore wind turbine foundations. Soil Dyn. Earthq. Eng. 2013, 54, 47–60. [Google Scholar] [CrossRef]
- Nicholson, J.C. Design of Wind Turbine Tower and Foundation Systems: Optimization Approach. Master’s Thesis, University of Iowa, Iowa City, IA, USA, 2011. [Google Scholar]
- Martín Del Campo, J.O.; Pozos Estrada, A.; Pozos Estrada, O. Development of fragility curves of land-based wind turbines with tuned mass dampers under cyclone and seismic loading. Wind Energy 2021, 24, 737–753. [Google Scholar] [CrossRef]
- Peeters, B.; De Roeck, G. Reference-based stochastic subspace identification for output-only modal analysis. Mech. Syst. Signal Process. 1999, 13, 855–878. [Google Scholar] [CrossRef]
- Hu, W.; Tang, D.; Wang, M.; Liu, J.; Li, Z.; Lu, W.; Teng, J.; Said, S.; Rohrmann, R.G. Resonance Monitoring of a Horizontal Wind Turbine by Strain-Based Automated Operational Modal Analysis. Energies 2020, 13, 579. [Google Scholar] [CrossRef]
- Aissa, M.H.; Amar Bouzid, D.; Bhattacharya, S. Monopile head stiffness for servicibility limit state calculations in assessing the natural frequency of offshore wind turbines. Int. J. Geotech. Eng. 2017, 12, 267–283. [Google Scholar] [CrossRef]
- Jureczko, M.; Pawlak, M.; Mężyk, A. Optimisation of wind turbine blades. J. Mater. Process Technol. 2005, 167, 463–471. [Google Scholar] [CrossRef]
- Cai, Y.; Dong, Q.; Wang, J.; Gu, C.; Xu, C. Measurement of small strain shear modulus of clean and natural sands in saturated condition using bender element test. Soil Dyn. Earthq. Eng. 2015, 76, 100–110. [Google Scholar] [CrossRef]
- Leblanc, C.; Houlsby, G.T.; Byrne, B.W. Response of stiff piles in sand to long-term cyclic lateral loading. Geotechnique 2010, 60, 79–90. [Google Scholar] [CrossRef]













| Dimensionless Groups | Physical Meanings |
|---|---|
| Related to the rotor load, load eccentricity, and monopile slender ratio. | |
| Related to the mass distribution, frequency, and vibration mode of the MWT. | |
| Related to the relationships between the natural frequency and loading frequency under different operating conditions. | |
| Related to the soil strain field around pile under different ground conditions. |
| Node | Blade Node Location (m) | Twist Angle (°) | Chord (m) | Airfoil Type |
|---|---|---|---|---|
| 1 | 2.867 | 13.308 | 3.542 | Cylinder1 |
| 2 | 8.333 | 13.308 | 4.167 | Cylinder2 |
| 3 | 11.750 | 13.308 | 4.557 | DU40_A17 |
| 4 | 15.850 | 11.480 | 4.652 | DU35_A17 |
| 5 | 24.050 | 9.011 | 4.249 | DU30_A17 |
| 6 | 28.150 | 7.795 | 4.007 | DU25_A17 |
| 7 | 36.350 | 5.361 | 3.502 | DU21_A17 |
| 8 | 44.550 | 3.125 | 3.010 | NACA64_A17 |
| Soil Parameters | Value |
|---|---|
| Specific gravity, | 2.62 |
| Particle diameter (mm) | 0.25–0.50 |
| Internal friction angle (degree) | 30 |
| Maximum void ratio, | 0.875 |
| Minimum void ration, | 0.606 |
| Relative density, | 20% (19.5%), 40% (38.9%), 60% (63.0%) |
| Ground Condition | Value | |
|---|---|---|
| Deformable ground | D1: = 20% (19.5%) | R1: wind speed = 3 m/s and rotor speed = 302 rpm; R2: wind speed = 4 m/s and rotor speed = 311 rpm; R3: wind speed = 5 m/s and rotor speed = 330 rpm; R4: wind speed = 6 m/s and rotor speed = 350 rpm; R5: wind speed = 7 m/s and rotor speed = 372 rpm; R6: wind speed = 8 m/s and rotor speed = 408 rpm; R7: wind speed = 9 m/s and rotor speed = 451 rpm. |
| D2: = 40% (38.9%) | ||
| D3: = 60% (63.0%) | ||
| Rigid ground | D0: fixed base | |
| Operating Condition | A (×10−2) | B | R2 |
|---|---|---|---|
| R1 | −0.969 | 1.574 | 0.999 |
| R2 | −1.205 | 1.880 | 0.942 |
| R3 | −1.419 | 2.023 | 0.949 |
| R4 | −1.857 | 2.394 | 0.958 |
| R5 | −3.185 | 3.283 | 0.933 |
| R6 | −3.798 | 3.757 | 0.915 |
| R7 | −4.211 | 4.031 | 0.919 |
Disclaimer/Publisher’s Note: The statements, opinions and data contained in all publications are solely those of the individual author(s) and contributor(s) and not of MDPI and/or the editor(s). MDPI and/or the editor(s) disclaim responsibility for any injury to people or property resulting from any ideas, methods, instructions or products referred to in the content. |
© 2023 by the authors. Licensee MDPI, Basel, Switzerland. This article is an open access article distributed under the terms and conditions of the Creative Commons Attribution (CC BY) license (https://creativecommons.org/licenses/by/4.0/).
Share and Cite
Xiao, S.; Liu, H.; Lin, K. Dynamic Performance of Monopile-Supported Wind Turbines (MWTs) under Different Operating and Ground Conditions. Energies 2024, 17, 112. https://doi.org/10.3390/en17010112
Xiao S, Liu H, Lin K. Dynamic Performance of Monopile-Supported Wind Turbines (MWTs) under Different Operating and Ground Conditions. Energies. 2024; 17(1):112. https://doi.org/10.3390/en17010112
Chicago/Turabian StyleXiao, Shaohui, Hongjun Liu, and Kun Lin. 2024. "Dynamic Performance of Monopile-Supported Wind Turbines (MWTs) under Different Operating and Ground Conditions" Energies 17, no. 1: 112. https://doi.org/10.3390/en17010112
APA StyleXiao, S., Liu, H., & Lin, K. (2024). Dynamic Performance of Monopile-Supported Wind Turbines (MWTs) under Different Operating and Ground Conditions. Energies, 17(1), 112. https://doi.org/10.3390/en17010112
