Effect of Carboxyl-Doped Graphene Nanoplatelets as an Electrode for Supercapacitors According to Surface Property Changes via the Control of Conditions
Abstract
:1. Introduction
2. Experimental Section
2.1. Synthesis of Carboxylated Graphene Nanoplatelet (CGnP) and Activated CGnP
2.2. Characterization
2.3. Electrochemical Test
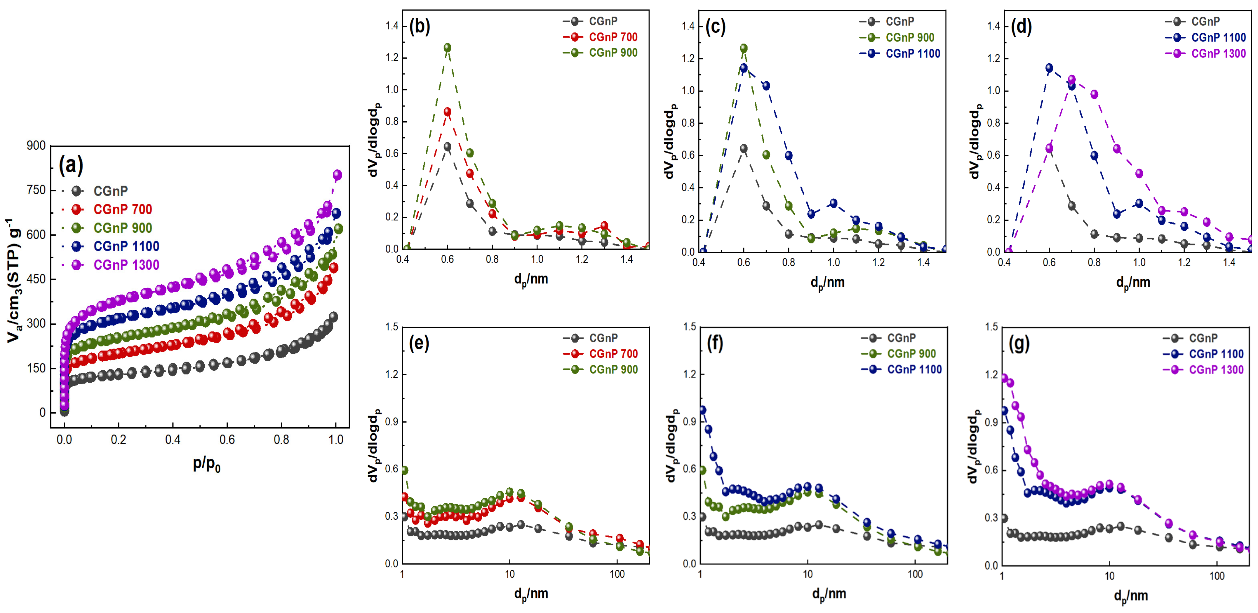
3. Results and Discussion
4. Conclusions
Supplementary Materials
Author Contributions
Funding
Data Availability Statement
Conflicts of Interest
References
- Yan, J.; Wang, Q.; Wei, T.; Fan, Z. Recent Advances in Design and Fabrication of Electrochemical Supercapacitors with High Energy Densities. Adv. Energy Mater. 2014, 4, 1300816. [Google Scholar] [CrossRef]
- Simon, P.; Gogotsi, Y. Materials for electrochemical capacitors. Nat. Mater. 2008, 7, 845–854. [Google Scholar] [CrossRef]
- Luo, B.; Wang, B.; Li, X.; Jia, Y.; Liang, M.; Zhi, L. Graphene-Confined Sn Nanosheets with Enhanced Lithium Storage Capability. Adv. Mater. 2012, 24, 3538–3543. [Google Scholar] [CrossRef]
- Chien, H.-C.; Cheng, W.-Y.; Wang, Y.-H.; Lu, S.-Y. Ultrahigh Specific Capacitances for Supercapacitors Achieved by Nickel Cobaltite/Carbon Aerogel Composites. Adv. Funct. Mater. 2012, 22, 5038–5043. [Google Scholar] [CrossRef]
- Portet, C.; Taberna, P.L.; Simon, P.; Flahaut, E.; Laberty-Robert, C. High power density electrodes for Carbon supercapacitor applications. Electrochimica 2005, 50, 4174–4181. [Google Scholar] [CrossRef]
- Raza, W.; Ali, F.; Raza, N.; Luo, Y.; Kim, K.-H.; Yang, J.; Kumar, S.; Mehmood, A.; Kwon, E.E. Recent advancements in supercapacitor technology. Nano Energy 2018, 52, 441–473. [Google Scholar] [CrossRef]
- Zhao, Z.; Xia, K.; Hou, Y.; Zhang, Z.; Ye, Z.; Lu, J. Designing flexible, smart and self-sustainable supercapacitors for portable/wearable electronics: From conductive polymers. Chem. Soc. Rev. 2021, 50, 12702–12743. [Google Scholar] [CrossRef]
- Hammar, A.; Venet, P.; Lallemand, R.; Coquery, G.; Rojat, G. Study of accelerated of supercapacitors for transport applications. IEEE Trans. Ind. Electron. 2010, 57, 3972–3979. [Google Scholar] [CrossRef]
- Chen, T.; Dai, L. Carbon nanomaterials for high-performance supercapacitors. Mater. Today 2013, 16, 272–280. [Google Scholar] [CrossRef]
- Burke, A. Ultracapacitors: Why, how, and where is the technology. J. Power Sources 2000, 91, 37–50. [Google Scholar] [CrossRef]
- Choudhary, R.B.; Ansari, S.; Majumder, M. Recent advances on redox active composites of metal-organic framework and conducting polymers as pseudocapacitor electrode material. Renew. Sustain. Energy Rev. 2021, 145, 110854. [Google Scholar] [CrossRef]
- Xia, H.; Meng, Y.S.; Yuan, G.; Cui, C.; Lu, L. A Symmetric RuO2/RuO2 Supercapacitor Operating at 1.6 V by Using a Neutral Aqueous Electrolyte. Solid-State Lett. 2012, 15, A60. [Google Scholar] [CrossRef]
- Wu, Z.-S.; Wang, D.-W.; Ren, W.; Zhao, J.; Zhou, G.; Li, F.; Cheng, H.-M. Anchoring Hydrous RuO2 on Graphene Sheets for High-Performance Electrochemical Capacitors. Adv. Funct. Mater. 2010, 20, 3595–3602. [Google Scholar] [CrossRef]
- Toupin, M.; Brousse, T.; Bélanger, D. Charge Storage Mechanism of MnO2 Electrode Used in Aqueous Electrochemical Capacitor. Chem. Mater. 2004, 16, 3184–3190. [Google Scholar] [CrossRef]
- Brousse, T.; Toupin, M.; Bélanger, D. A hybrid activated carbon-manganese dioxide capacitor using a mild aqueous electrolyte. J. Electrochem. Soc. 2004, 151, A614. [Google Scholar] [CrossRef]
- Pu, J.; Liu, Z.; Ma, Z.; Wang, J.; Zhang, L.; Chang, S.; Wu, W.; Shen, Z.; Zhang, H. Structure design of NiCo2O4 electrodes for high performance pseudocapacitors and lithium-ion batteries. J. Mater. Chem. A 2016, 4, 17394–17402. [Google Scholar] [CrossRef]
- Huang, L.; Chen, D.; Ding, Y.; Feng, S.; Wang, Z.L.; Liu, M. Nickel-Cobalt Hydroxide Nanosheets Coated on NiCo2O4 Nanowires Grown on Carbon Fiber Pater for High-Performance Pseudocapacitors. Nano Lett. 2013, 13, 3135–3139. [Google Scholar] [CrossRef]
- Yang, M.; Li, J.X.; Li, H.H.; Su, L.W.; Wei, J.P.; Zhou, Z. Mesoporous slit-structured NiO for high-performance pseudocapacitors. Chem. Chem. Phys. 2012, 14, 11048–11052. [Google Scholar] [CrossRef]
- Liu, X.; Liu, J.; Sun, X. NiCo2O4@NiO hybrid arrays with improved electrochemical performance for pseudocapacitors. J. Mater. Chem. A 2015, 3, 13900–13905. [Google Scholar] [CrossRef]
- Kumar, S.; Saeed, G.; Zhu, L.; Hui, K.N.; Kim, H.; Lee, J.H. 0D to 3D carbon-based networks combined with pseudocapacitive electrode material for high energy density supercapacitor: A review. Chem. Eng. J. 2021, 403, 126352. [Google Scholar] [CrossRef]
- Conway, B.E. Transition from “supercapacitor” to “battery” behavior in electrochemical energy storage. J. Electrochem. Soc. 1991, 138, 1539. [Google Scholar] [CrossRef]
- Khan, A.; Senthil, R.A.; Pan, J.; Osman, S.; Sun, Y.; Suh, X. A new biomass derived rod-like porous carbon from tea-waste as inexpensive and sustainable energy material for advanced supercapacitor application. Eletrochimica 2020, 335, 135588. [Google Scholar] [CrossRef]
- Gamby, J.; Taberna, P.L.; Simon, P.; Fauvarque, J.F.; Chesneau, M. Studies and characterisations of various activated carbons used for carbon/carbon supercapacitors. J. Power Sources 2001, 101, 109–116. [Google Scholar] [CrossRef]
- Wei, L.; Yushin, G. Nanostructured activated carbons from natural precursors for electrical double layer capacitors. Nano Energy 2012, 1, 552–565. [Google Scholar] [CrossRef]
- Ke, Q.; Wang, J. Graphene-based materials for supercapacitor electrodes—A review. J. Mater. 2016, 2, 37–54. [Google Scholar] [CrossRef]
- Wang, Y.; Shi, Z.; Huang, Y.; Ma, Y.; Wang, C.; Chen, M.; Chen, Y. Supercapacitor devices based on graphene materials. J. Phys. Chem. C 2009, 113, 13103–13107. [Google Scholar] [CrossRef]
- Sarno, M.; Castaldo, R.; Ponticoryo, E.; Scarpa, D.; Cocca, M.; Ambrogi, V.; Gentile, G. Hyper-cross-linked polymer loaded with graphite nanoplatelets for supercapacitor application. Chem. Eng. 2019, 73. [Google Scholar] [CrossRef]
- Thirumal, V.; Sreekanth, T.V.M.; Yoo, K.; Kim, J. Biomass-Derived Hard Carbon and Nitrogen-Sulfur Co-Doped Graphene for High-Performance Symmetric Sodium Ion Capacitor Devices. Energies 2023, 16, 802. [Google Scholar] [CrossRef]
- Wang, L.; Zhang, X.; Li, C.; Xu, Y.; An, Y.; Liu, W.; Hu, T.; Yi, S.; Wang, K.; Sun, X.; et al. Cation-deficient T-Nb2O5/graphene Hybrids synthesized via chemical oxidative etching of MXene for advanced lithium-ion capacitors. Chem. Eng. J. 2023, 468, 143507. [Google Scholar] [CrossRef]
- Ansari, S.; Choudhary, R.B.; Gupta, A. Nanoflower copper sulphide intercalated reduced graphene oxide integrated polypyrrole nano matrix as robust symmetric supercapacitor electrode material. J. Energy Storage 2023, 59, 106446. [Google Scholar] [CrossRef]
- Yu, W.; Sisi, L.; Haiyan, Y.; Jie, L. Progress in the functional modification of graphene/graphene oxide: A review. RSC Adv. 2020, 10, 15328–15345. [Google Scholar] [CrossRef] [PubMed]
- Singh, S.B.; Haskin, N.; Dastgheib, S.A. Coal-based graphene oxide-like materials: A comprehensive review. Carbon 2023, 215, 118447. [Google Scholar] [CrossRef]
- Pan, H.; Li, J.; Feng, Y. Carbon nanotubes for supercapacitor. Nanoscale Res. Lett. 2010, 5, 654–668. [Google Scholar] [CrossRef] [PubMed]
- Afzal, A.; Abuilaiwi, F.A.; Habib, A.; Awais, M.; Waje, S.B.; Atieh, M.A. Polypyrrole/carbon nanotube supercapacitors: Technological advances and challenges. J. Power Sources 2017, 352, 174–186. [Google Scholar] [CrossRef]
- Adhyapak, P.V.; Maddanimath, T.; Pethkar, S.; Chandwadkar, A.J.; Negi, Y.S.; Vijayamohanan, K. Application of electrochemically prepared carbon nanofibers in supercapacitors. J. Power Sources 2022, 109, 105–110. [Google Scholar] [CrossRef]
- Fang, B.; Binder, L. A novel carbon electrode material for highly improved EDLC performance. J. Phys. Chem. B 2006, 110, 7877–7882. [Google Scholar] [CrossRef] [PubMed]
- Borenstein, A.; Hanna, O.; Attias, R.; Luski, S.; Brousse, T.; Aurbach, D. Carbon-based composite materials for supercapacitor electrodes: A review. J. Mater. Chem. A 2017, 5, 12653–12672. [Google Scholar] [CrossRef]
- Elisadiki, J.; Kibona, T.E.; Machunda, R.L.; Saleem, M.W.; Kim, W.-S.; Jande, Y.A.C. Biomass-based carbon electrode materials for capacitive deionization: A review. Biomass Convers. Biorefinery 2020, 10, 1327–1356. [Google Scholar] [CrossRef]
- Yang, W.; Ni, M.; Ren, X.; Tian, Y.; Li, N.; Su, Y.; Zhang, X. Graphene in supercapacitor applications. Colloid Interface Sci. 2015, 20, 416–428. [Google Scholar] [CrossRef]
- Rahim, A.H.A.; Ramli, N.; Nordin, A.N.; Wanhab, M.F.A. Supercapacitor performance with activated carbon and graphene nanoplateles composite electrodes, and insights from the equivalent circuit model. Carbon Trends 2021, 5, 100101. [Google Scholar] [CrossRef]
- Cetinkaya, T.; Dryfe, R.A.W. Electrical double layer supercapacitors based on graphene nanoplatelets electrodes in organic and aqueous electrolytes: Effect of binders and scalable performance. J. Power Sources 2018, 408, 91–104. [Google Scholar] [CrossRef]
- Raymundo-Pinero, E.; Cazorla-Amoros, D.; Linares-Solano, A.; Delpeux, S.; Frackowiak, E.; Szostak, K.; Beguin, F. High surface area carbon nanotubes prepared by chemical activation. Carbon 2022, 40, 1614–1617. [Google Scholar] [CrossRef]
- Blackman, J.M.; Patrick, J.W.; Arenillas, A.; Shi, W.; Snape, C.E. Activation of carbon nanofibers for hydrogen storage. Carbon 2006, 44, 1376–1385. [Google Scholar] [CrossRef]
- Jeon, I.-Y.; Shin, Y.-R.; Sohn, G.-J.; Baek, J.-B. Edge-carboxlyated graphene nanosheets via ball milling. Proc. Natl. Acad. Sci. USA 2012, 109, 5588–5593. [Google Scholar] [CrossRef] [PubMed]
- Kim, Y.-T.; Mitani, T. Competitive effect of carbon nanotubes oxidation on aqueous EDLC performance: Balancing hydrophilicity and conductivity. J. Power Sources 2006, 158, 1517–1522. [Google Scholar] [CrossRef]
- Ghosh, S.; An, X.; Shah, R.; Rawat, D.; Dave, B.; Kar, S.; Talapatra, S. Effect of 1-Pyrene Carboxylic-Acid Functionalization of Graphene on Its Capacitive Energy Storage. J. Phys. Chem. C 2012, 116, 20688–20693. [Google Scholar] [CrossRef]
- Lu, Y.; Zhang, F.; Zhang, T.; Leng, K.; Zhang, L.; Yang, X.; Ma, Y.; Huang, Y.; Zhang, M.; Chen, Y. Synthesis and supercapacitor performance studies of N-doped graphene materials using o-phenylenediamine as the double-N precursor. Carbon 2013, 63, 508–516. [Google Scholar] [CrossRef]
- Beidaghi, M.; Wang, Z.; Gu, L.; Wang, C. Electrostatic spray deposition of graphene nanoplatelets for high-power thin-film supercapacitor electrodes. J. Solid State Electrochem. 2012, 16, 3341–3348. [Google Scholar] [CrossRef]
- Yu, A.; Sy, A.; Davies, A. Graphene nanoplatelets supported MnO2 nanoparticles for electrochemical supercapacitor. Synth. Met. 2011, 161, 2049–2054. [Google Scholar] [CrossRef]
- Liu, N.; Shen, J.; Liu, D. Activated high specific surface area carbon aerogels for EDLCs. Microporous Mesoporous Mater. 2013, 167, 176–181. [Google Scholar] [CrossRef]
- Guo, S.; Peng, J.; Li, W.; Yang, K.; Zhang, L.; Zhang, S.; Xia, H. Effects of CO2 activation on porous structures of coconut shell-based activated carbons. Appl. Surf. Sci. 2009, 255, 8443–8449. [Google Scholar] [CrossRef]
- Yang, K.; Peng, J.; Xia, H.; Zhang, L.; Srinivasakannan, C.; Guo, S. Textural characteristics of activated carbon by single step CO2 activation from coconut shells. J. Taiwan Inst. Chem. Eng. 2010, 41, 367–372. [Google Scholar] [CrossRef]
- Singh, S.B.; De, M. Effects of gaseous environments on physicochemical properties of thermally exfoliated graphene oxides for hydrogen storage: A comparative study. J. Porous Mater. 2021, 28, 875–888. [Google Scholar] [CrossRef]
- Li, Z.Q.; Lu, C.J.; Xia, Z.P.; Zhou, Y.; Luo, Z. X-ray diffraction patterns of graphite and turbostratic carbon. Carbon 2007, 45, 1686–1695. [Google Scholar] [CrossRef]
- Matsui, T.; Tanaka, S.; Miyake, Y. Correlation between the capacitor performance and pore structure of ordered mesoporous carbons. Adv. Powder Technol. 2013, 24, 737–742. [Google Scholar] [CrossRef]
- Qiao, W.; Yoon, S.H.; Mochida, I. KOH Activation of Needle Coke to Develop Activated Carbons for High-Performance EDLC. Energy Fuels 2006, 20, 1680–1684. [Google Scholar] [CrossRef]
- Liu, W.; Yan, X.; Lang, J.; Xue, Q. Electrochemical behavior of graphene nanosheets in alkylimidazolium tetrafluoroborate ionic liquid electrolytes: Influences of organic solvents and the alkyl chains. J. Mater. Chem. 2011, 21, 13205–13212. [Google Scholar] [CrossRef]
- Ju, Y.-W.; Choi, G.-R.; Jung, H.-R.; Lee, W.-J. Electrochemical properties of electrospun PAN/MWCNT carbon nanofibers electrodes coated with polypyrrole. Electrochim. Acta 2008, 53, 5796–5803. [Google Scholar] [CrossRef]
- Enterría, M.; Castro-Muñiz, A.; Suárez-García, F.; Martínez-Alonso, A.; Tascón, J.M.D.; Kyotani, T. Effects of the mesostructural order on the electrochemical performance of hierarchical micro-mesoporous carbons. J. Mater. Chem. A 2014, 2, 12023–12030. [Google Scholar] [CrossRef]
- Pore, O.C.; Fulari, A.V.; Shejwal, R.V.; Fulari, V.J.; Lohar, G.M. Review on recent progress in hydrothermally synthesized MCo2O4/rGO composite for energy storage devices. Chem. Eng. J. 2021, 426, 131544. [Google Scholar] [CrossRef]
- Xia, K.; Li, Q.; Zheng, L.; You, K.; Tian, X.; Han, B.; Gao, Q.; Huang, Z.; Chen, G.; Zhou, C. Controllable fabrication of 2D and 3D porous graphene architectures using identical thermally exfoliated graphene oxides as precursors and their application as supercapacitor electrodes. Microporous Mesoporous Mater. 2017, 237, 228–236. [Google Scholar] [CrossRef]
- Cai, J.; Niu, H.; Li, Z.; Du, Y.; Cizek, P.; Xie, Z.; Xiong, H.; Lin, T. High-Performance Supercapacitor Electrode Materials from Cellulose-Derived Carbon Nanofibers. ACS Appl. Mater. Interfaces 2015, 7, 14946–49653. [Google Scholar] [CrossRef] [PubMed]
- Park, B.-H.; Choi, J.-H. Improvement in the capacitance of a carbon electrode prepared using water-soluble polymer binder for a capacitive deionization application. Electrochimica 2010, 55, 2888–2893. [Google Scholar] [CrossRef]
- Achaby, M.E.; Essamlali, Y.; Miri, N.E.; Snik, A.; Abdelouahdi, K.; Fihri, A.; Zahouily, M.; Solhy, A. Graphene oxide reinforced chitosan/polyvinylpyrrolidone polymer bio-nanocomposites. J. Appl. Polym. 2014, 131. [Google Scholar] [CrossRef]
- Sung, K.-W.; Shin, D.-Y.; Ahn, H.-J. Fabrication of Activated Porous Carbon Using Polymer Decomposition for Electrical Double-Layer Capacitors. Korean J. Mater. Res. 2019, 29, 623–630. [Google Scholar] [CrossRef]








| Material | Electrolyte | C (F/g) | Cycle Stability | Ref. |
|---|---|---|---|---|
| Graphene oxide | 6 M KOH | 180 | 79.6% (4000 cycle) | [47] |
| GnP | 1 M Na2SO4 | 55 | 94% (5000 cycle) | [48] |
| GnP | 2 M KCl | 125 | 92% (1000 cycle) | [49] |
| CGnP | 6 M KOH | 176 | 93.9% (10,000 cycle) | This work |
| Sample | Temperature (K) | Gas Flow Rate (mL/Min) | Maintenance Period (h) |
|---|---|---|---|
| CGnP700 | 973 | 100 | 2 |
| CGnP900 | 1173 | 100 | 2 |
| CGnP1100 | 1173 | 300 | 2 |
| CGnP1300 | 1173 | 300 | 4 |
| Sample | Specific Surface Area (m2/g) | Pore Volume (cm3/g) | Pore Size (nm) |
|---|---|---|---|
| CGnP | 485.56 | 0.50 | 4.11 |
| CGnP700 | 730.43 | 0.75 | 4.11 |
| CGnP900 | 927.69 | 0.84 | 3.63 |
| CGnP1100 | 1183.70 | 0.99 | 3.36 |
| CGnP1300 | 1396.70 | 1.16 | 3.33 |
Disclaimer/Publisher’s Note: The statements, opinions and data contained in all publications are solely those of the individual author(s) and contributor(s) and not of MDPI and/or the editor(s). MDPI and/or the editor(s) disclaim responsibility for any injury to people or property resulting from any ideas, methods, instructions or products referred to in the content. |
© 2023 by the authors. Licensee MDPI, Basel, Switzerland. This article is an open access article distributed under the terms and conditions of the Creative Commons Attribution (CC BY) license (https://creativecommons.org/licenses/by/4.0/).
Share and Cite
Park, J.-W.; Jeon, I.-Y.; Ju, Y.-W. Effect of Carboxyl-Doped Graphene Nanoplatelets as an Electrode for Supercapacitors According to Surface Property Changes via the Control of Conditions. Energies 2024, 17, 102. https://doi.org/10.3390/en17010102
Park J-W, Jeon I-Y, Ju Y-W. Effect of Carboxyl-Doped Graphene Nanoplatelets as an Electrode for Supercapacitors According to Surface Property Changes via the Control of Conditions. Energies. 2024; 17(1):102. https://doi.org/10.3390/en17010102
Chicago/Turabian StylePark, Ji-Woo, In-Yup Jeon, and Young-Wan Ju. 2024. "Effect of Carboxyl-Doped Graphene Nanoplatelets as an Electrode for Supercapacitors According to Surface Property Changes via the Control of Conditions" Energies 17, no. 1: 102. https://doi.org/10.3390/en17010102
APA StylePark, J.-W., Jeon, I.-Y., & Ju, Y.-W. (2024). Effect of Carboxyl-Doped Graphene Nanoplatelets as an Electrode for Supercapacitors According to Surface Property Changes via the Control of Conditions. Energies, 17(1), 102. https://doi.org/10.3390/en17010102

