Influence of the Ignition Method on the Characteristics of Propellant Burning in the Context of the Geometric Burning Model
Abstract
1. Introduction
- -
- There is a chemical and physical homogeneity of the propellant material;
- -
- All propellant grains are the same, in terms of geometric shape and dimensions;
- -
- The ignition of all propellant grains is instantaneous and affects their entire available burning surface;
- -
- The combustion area—according to Piobert’s law—moves in parallel layers into the propellant.
2. Analytical Analyses
- -
- Term de/dz, resulting from the analysis of changes in the thickness of the burning layer of propellant grains:
- -
- Term dz/dp, resulting from the transformation of the basic pyrostatic equation
- -
- Term dp/dt, resulting from the experimental curve p(t).
3. Experimental Procedure and Materials
3.1. Detailing the Experimental Procedure for Propellant A
- (1)
- (2)
- Ignition using a mixture of gases (oxygen, methane) introduced to the combustion chamber (see test stand in Figure 3); the tested propellant positioned on the combustion chamber wall (as described in STANAG 4115), or evenly distributed on a paper tape over the entire internal surface of the combustion chamber wall (Figure 2);
- (3)
- Ignition by a plasma pulse generated in a capillary plasma generator (CPG—Figure 4); the tested propellant positioned on the combustion chamber wall (as described in STANAG 4115).




3.2. Detailing the Experimental Procedure for Propellant B
- (1)
- Conventional black powder ignition (Figure 1), in which different masses of black powder were used, with the tested propellant positioned on the wall of the combustion chamber (as described in STANAG 4115);
- (2)
- Conventional black powder ignition, with the tested propellant and black powder igniter placed in a bag made of flammable material;
- (3)
- Ignition using only an electric match;
- (4)
- Ignition of the tested propellant in the micro closed vessel (MCV) using a cartridge primer.
4. Results of Pyrostatic Tests and Their Analysis
4.1. Pressure Rise Rate
4.1.1. Propellant A (Black Powder Ignition and Gas Ignition)
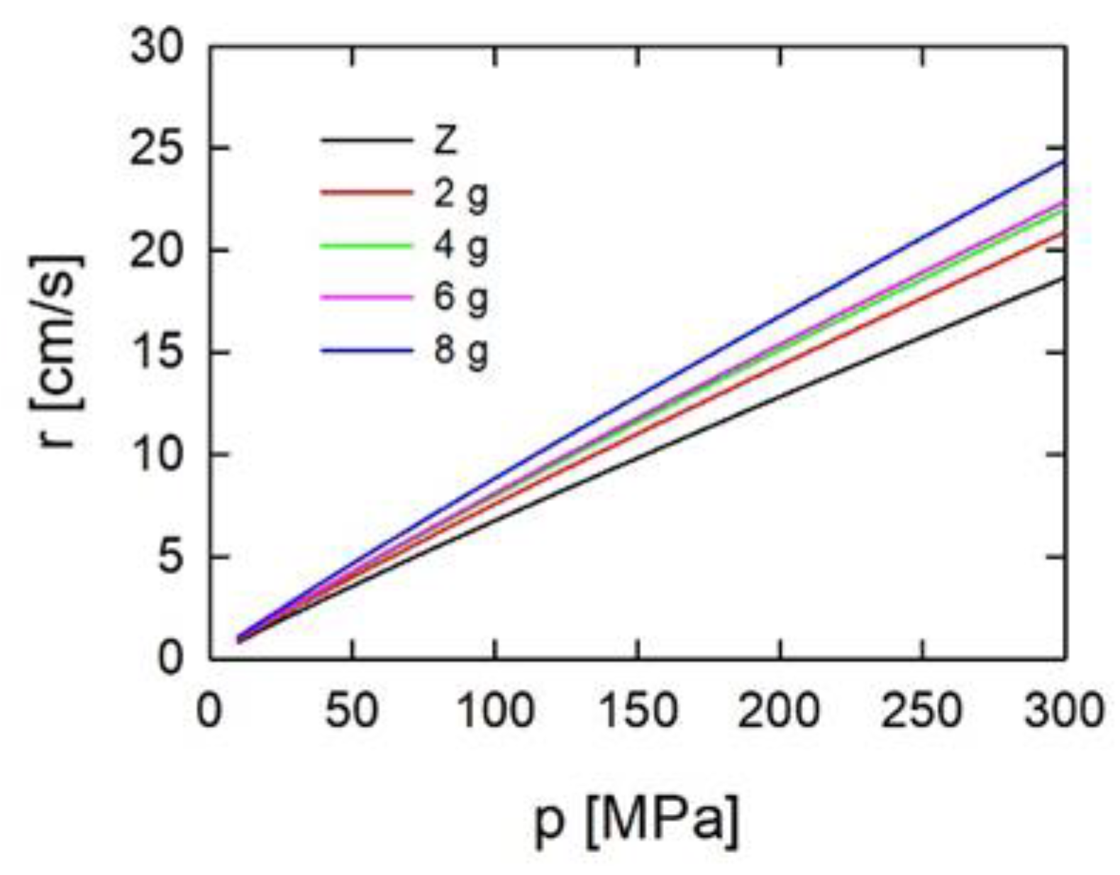
4.1.2. Propellant B (Classic Ignition with Black Powder of Various Masses and Ignition Using a Cartridge Primer)
4.2. Experimental Form Function
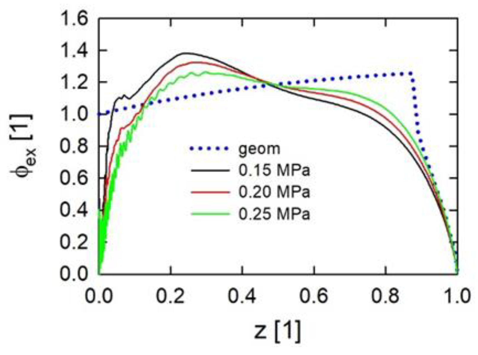
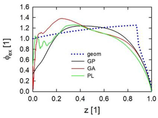
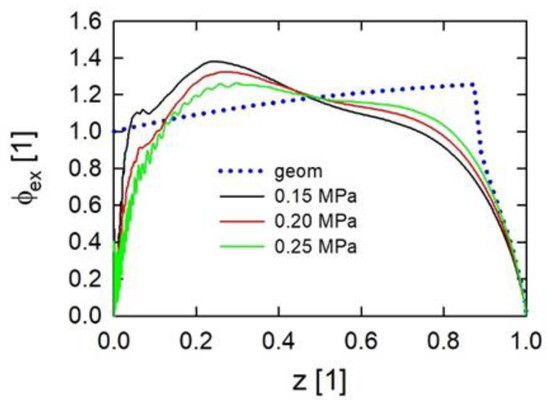
4.2.1. Propellant A (Black Powder Ignition, Gas Ignition, and Plasma Ignition)
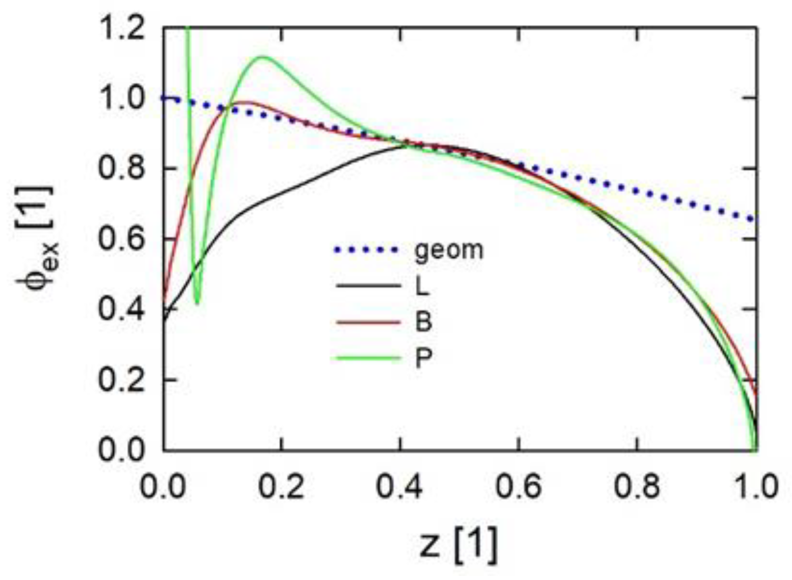
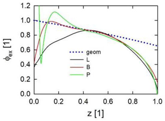
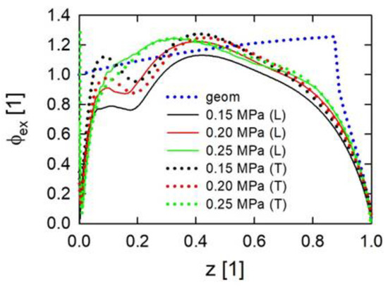
4.2.2. Propellant B (Black Powder Ignition, Different Distribution of Ignition Charge and Main Charge)
4.3. Burning Rate
5. Conclusions
- (1)
- The presented analysis of the test results in a conventional closed vessel proves that the determined ballistic properties of propellants significantly depend on the ignition conditions. The RQ values, which characterize the burning rate, may vary over the range of 30–40%. The values of the burning rate determined at different ignition conditions may vary by up to 20%.
- (2)
- In the case of fine-grained propellants, the use of black powder with a mass sufficient to obtain reliable ignition yields effects which are significantly different from the simultaneous ignition of the tested propellant. To get closer to achieving simultaneous ignition, it is necessary to increase the mass of the ignition charge by several times.
- (3)
- The use of gas or plasma ignition allows the ignition process to be closer to simultaneous ignition.
- (4)
- The ignition process can be made closer to simultaneous ignition by changing the propellant distribution in the closed vessel, or by changing the mutual location of the ignition charge and the tested propellant.
- (5)
- Different methods of bringing the ignition process closer to simultaneous ignition have little impact on the graphs of the experimental form function after fully charged ignition. This shows that non-simultaneous ignition is not the only reason for the deviation of the experimental form function from the function determined by the geometric burning model.
Author Contributions
Funding
Institutional Review Board Statement
Informed Consent Statement
Data Availability Statement
Conflicts of Interest
List of Symbols
| e | (m) | thickness of burning layer of propellant grain; |
| f | (J/kg) | propellant force; |
| l | (m) | projectile travel inside barrel; |
| mp | (kg) | mass of propellant charge; |
| p | (Pa) | pressure of propellant gases |
| r | (m/s) | burning rate; |
| r1 | (m/(s·Pa)) | coefficient of linear form of burning rate law; |
| Rj | (Pa/s) | value of dp/dt for reference propellant at the j-th point; |
| RQ | (%) | relative quickness; |
| Sg0 | (m2) | initial surface of grain of propellant; |
| Sg | (m2) | current combustion surface of grain of propellant; |
| t | (s) | time; |
| Tj | (Pa/s) | value of dp/dt for tested propellant at the j-th point; |
| v | (m/s) | projectile velocity; |
| Vg0 | (m3) | initial volume of propellant grain; |
| W0 | (m3) | initial volume of combustion chamber; |
| z | (-) | relative burned mass of propellant; |
| α | (-) | burning rate exponent; |
| β | (m/(s·Pa)) | burning rate coefficient; |
| ϕ | (-) | relative burning surface of propellant grain; |
| ϕ(z) | (-) | theoretical form function; |
| ϕex(z) | (-) | experimental form function; |
| η | (m3/kg) | propellant gases covolume; |
| ρ | (kg/m3) | density of propellant; |
| Δ | (kg/m3) | loading density. |
References
- STANAG 4367 Land. Thermodynamic Interior Ballistic Model with Global Parameters, 2nd ed.; Military Agency for Standardization: Brussels, Belgium, 2000.
- Carlucci, D.E.; Jacobson, S.S. Ballistics: Theory and Design of Gun and Ammunition, 2nd ed.; CRC Press, Taylor and Francis Group: Boca Raton, FL, USA, 2014. [Google Scholar]
- Krier, H.; Adams, M.J. An Introduction to Gun Interior Ballistics and a Simplified Ballistic Code. In Progress in Astronautics and Aeronautics, Vol. 66 Interior Ballistics of Guns; Krier, H., Summerfield, M., Eds.; American Institute of Aeronautics and Astronautics: New York, NY, USA, 1981; pp. 1–36. [Google Scholar]
- Flygar, S.E. Interior ballistics model of a recoilless countermass gun. In Proceedings of the 14th International Symposium on Ballistics, Quebec, QC, Canada, 26–29 September 1993; pp. 251–260. [Google Scholar]
- Anderson, R.D.; Fickie, K.D. IBHVG2—A User’s Guide; Ballistic Research Laboratory: Aberdeen Proving Ground, MD, USA, 1987. [Google Scholar]
- Tuomainen, A.H. The Thermodynamic Model of Interior Ballistics. Ph.D. Thesis, University of Helsinki, Helsinki, Finland, April 1996. [Google Scholar]
- Jaramaz, S.; Micković, D.; Živković, Z.; Curćić, R. Interior Ballistic Principle of High/Low Pressure Chambers in Automatic Grenade Launchers. In Proceedings of the 19th International Symposium on Ballistics, Interlaken, Switzerland, 7–11 May 2001; pp. 73–80. [Google Scholar]
- Gough, P.S. Modeling of Two-Phase Flow in Guns. In Progress in Astronautics and Aeronautics, Vol. 66 Interior Ballistics of Guns; Krier, H., Summerfield, M., Eds.; American Institute of Aeronautics and Astronautics: New York, NY, USA, 1981; pp. 176–179. [Google Scholar]
- Groenewald, J. A Traveling Charge for Solid Propellant Gun Systems. In Proceedings of the 17th International Symposium on Ballistics, Midrand, South Africa, 23–27 March 1998; Volume 1, pp. 464–471. [Google Scholar]
- Ying, S.; Zhang, X.; Yuan, Y.; Wang, Y. The mechanism analysis of interior ballistics of serial chamber gun. In Proceedings of the 22nd International Symposium on Ballistics, Vancouver, BC, Canada, 14–18 November 2005; pp. 284–291. [Google Scholar]
- STANAG 4400 Land. Derivation of Thermochemical Values for Interior Ballistic Calculation, 1st ed.; Military Agency for Standardization: Brussels, Belgium, 1993.
- Freedman, E. BLAKE—A Thermodynamic Code Based on TIGER; BRL Report ARBRL-TR-02411; Army Ballistic Research Lab: Aberdeen Proving Ground, MD, USA, 1982. [Google Scholar]
- Bac, J.P. Bagheera: A Ballistic Thermodynamic Code. In Proceedings of the 3rd International Gun Propellant Symposium, Picatinny Arsenal, Dover, NJ, USA, 30 October–1 November 1984. [Google Scholar]
- Fried, L.E. CHEETAH 1.39—User’s Manual; LLNL: Livermore, CA, USA, 1996.
- Zeldovich, I.B. On the theory of combustion of propellants and explosives. Zh. Eksp. Teor. Fiz. 1942, 12, 498. [Google Scholar]
- Williams, F.A. Combustion Theory, 2nd ed.; Benjamin/Cummings Publishing Co: Menlo Park, CA, USA, 1985. [Google Scholar]
- Kuo, K.K. Principles of Combustion; John Wiley and Sons: New York, NY, USA, 1986. [Google Scholar]
- Yang, V.; Brill, T.B.; Ren, W.Z. Solid Propellant Chemistry, Combustion and Motor Interior Ballistic; American Institute of Aeronautics and Astronautics: New York, NY, USA, 2000. [Google Scholar]
- Merzhanov, A.G. Solid-Flame Combustion; Izd. ISMAN: Chernogolovka, Russia, 2000. (In Russian) [Google Scholar]
- Assovskiy, I.G. Physics of Combustion and Internal Ballistics; Nauka: Moscou, Russia, 2005. (In Russian) [Google Scholar]
- Miller, M.S. In Search of an Idealized Model of Homogeneous Solid Propellant Combustion. Combust. Flame 1982, 46, 51–73. [Google Scholar] [CrossRef]
- Merzhanov, A.G. Solid flames: Discovery, concepts and horizons of cognition. Combust. Sci. Technol. 1994, 98, 307–336. [Google Scholar] [CrossRef]
- Gusachenko, L.K.; Zarko, V.E. Combustion Models for Energetic Materials with Completely Gaseous Reaction Products. Combust. Explos. Shock. Waves 2005, 41, 20–34. [Google Scholar] [CrossRef]
- Beckstead, M.W.; Puduppakkam, K.; Thakreb, P.; Yang, V. Modeling of Combustion and Ignition of Solid-Propellant Ingredients. Prog. Energy Combust. Sci. 2007, 33, 497–551. [Google Scholar] [CrossRef]
- Lengellé, G.; Duterque, J.; Trubert, J.F. Combustion of Solid Propellants. In Report RTO-EN-023 AC/323(AVT-096)TP/70; Research and Technology Organisation, North Atlantic Treaty Organisation: Neuilly-sur-Seine Cedex, France, 2004; pp. 4.1–4.62. [Google Scholar]
- The Pennsylvania State University, Department of Mechanical Engineering. Transient Combustion in Granular Propellant Beds. Part 1: Theoretical Modeling and Numerical Solution of Transient Combustion Processes in Mobile Granular Propellant Beds; BRL CR 346 Report; USA Ballistic Research Laboratory: Aberdeen Proving Ground, MD, USA, 1977. [Google Scholar]
- Gough, P.S.; Zwarts, F.J. Modeling Heterogeneous Two-phase Flow. AIAA J. 1979, 17, 17–25. [Google Scholar] [CrossRef]
- Gough, P.S. A Two-Dimensional Model of the Interior Ballistics of Bagged Artillery Charges; Report ARBRL-CR-00452; U.S. Army Ballistic Research Laboratory: Aberdeen Proving Ground, MD, USA, 1981. [Google Scholar]
- Jaramaz, S.; Mickovic, D.; Elek, P. Two-phase Flows in Gun Barrel: Theoretical and Experimental Studies. Int. J. Multiphas Flow 2011, 37, 475–487. [Google Scholar] [CrossRef]
- Semenov, I.B.; Utkin, P.S.; Akhmedyanov, I.F.; Menshov, I.S. Application of Parallel Computations for Solving Internal Ballistics Problems. Numer. Methods Program. 2011, 12, 183–193. (In Russian) [Google Scholar]
- Xue, T.; Zhang, X.; Tamma, K.K. An In-Depth Study on the Implementation Aspect of Unified Time Integrators in Reactive Two-Phase Flows with Consistent Time Level. Int. J. Numer. Methods Heat Fluid Flow 2019, 29, 617–639. [Google Scholar] [CrossRef]
- STANAG 4115 Land. Definition and Determination of Ballistic Properties of Gun Propellants, 2nd ed.; Military Agency for Standardization: Brussels, Belgium, 1997.
- MIL-STD 286, C. Propellants, Solid: Sampling, Examination and Testing; USA, US Army ARDEC, Standardization Office: Picatinny, NJ, USA, 1991.
- Serebryakov, M. Internal Ballistics; Oborongiz: Moscow, Russia, 1949. (In Russian) [Google Scholar]
- van Driel, C.A. Ignition Behaviour of LOVA Propellant. In Proceedings of the 24th International Symposium on Ballistics, New Orleans, LA, USA, 22–26 September 2008; pp. 258–264. [Google Scholar]
- Baschung, B.; Bouchama, A.; Comet, M.; Boulnois, C. Experimental Investigation of Different Ignition Methods for LOVA Gun Propellant. In Proceedings of the 28th International Symposium on Ballistics, Atlanta, GA, USA, 22–26 September 2014; pp. 532–541. [Google Scholar]
- Boulnois, C.; Baschung, B.; Bouchama, A.; Comet, M.; Mura, D.; Steinbach, C. Experimental Characterization of the Energy Transferred from an Igniter Based on Nanothermites to the Propellant Bed. In Proceedings of the 27th International Symposium on Ballistics, Freiburg, Germany, 22–26 April 2013; pp. 38–49. [Google Scholar]
- Howard, S.L. Verification of Use of IBHVG in Screening of High-Metal Loading Igniter Materials for Optimum Ignition of JA2; Army Research Laboratory Technical Report ARL-TR-5658; Army Research Laboratory: Aberdeen Proving Ground, MD, USA, 2011. [Google Scholar]
- Su, J.; Ying, S.; Xiao, Z.; Xu, F. Research on Titanium-Containing Micro-Porous Propellants with Rapid Burning Rate. Propellants Explos. Pyrotech. 2013, 38, 533–540. [Google Scholar] [CrossRef]
- Woodley, C.R.; Fuller, S. Apparent Enhanced Burn Rates of Solid Propellants Due to Plasmas. In Proceedings of the 16th International Symposium on Ballistics, San Francisco, CA, USA, 23–28 September 1996; pp. 153–162. [Google Scholar]
- Proud, W.G.; Bourne, N.K. The Electrothermal Enhancement of Propellant Burning by Plasma Injection. Propellants Explos. Pyrotech. 1997, 22, 212–217. [Google Scholar] [CrossRef]
- Grune, D.; Hensel, D. Combustion Behaviour of LOVA-Solid-Propellant by Ignition with Hot Plasma Gases and its Influence on the Interior Ballistic Cycle. In Proceedings of the 17th International Symposium on Ballistics, Midrand, South Africa, 23–27 March 1998; Volume 1, pp. 359–366. [Google Scholar]
- Oberle, W.F.; Wren, G.P. Radiative and Convective Heat Loss in Electrothermal-Chemical (ETC) Closed Chambers. In Proceedings of the 35th JANNAF Combustion Subcommittee Meeting, Tucson, AZ, USA, 7–11 December 1998; pp. 229–236. [Google Scholar]
- Kooker, D.E. A Mechanism for TEC-Augmented Burning Rate of Solid Propellant Consistent with Closed Chamber Experiments. In Proceedings of the 18th International Symposium on Ballistics, San Antonio, TX, USA, 15–19 November 1999; pp. 236–243. [Google Scholar]
- Birk, A.; Del Guercio, M.; Kinkennon, A.; Kooker, D.E.; Kaste, P.J. Interrupted-Burning Tests of Plasma-Ignited JA2 and M30 Grains in a Closed Chamber. Propellants Explos. Pyrotech. 2000, 25, 133–142. [Google Scholar] [CrossRef]
- Lombard, J.M.; Baschung, B.; Grune, D.; Carriere, A.; Andre, P. Analysis of ETC or Classical Manometric Closed vessel tests with Coupling of Thermodynamic Equilibrium Calculations: Combustion Rates, Energy Losses. In Proceedings of the 19th International Symposium on Ballistics, Interlaken, Switzerland, 7–11 May 2001; pp. 171–178. [Google Scholar]
- Porwitzky, A.J.; Keidar, M.; Boyd, I.D. On the Mechanism of Energy Transfer in the Plasma–Propellant Interaction. Propellants Explos. Pyrotech. 2007, 32, 385–391. [Google Scholar] [CrossRef]
- Michalski, J.; Leciejewski, Z. Closed Vessel Investigation of Propellant Ignition Process with Using Capillary Plasma Generator. Probl. Mechatronics. Armament Aviat. Saf. Eng. 2015, 1, 19–26. [Google Scholar] [CrossRef]
- Trębiński, R.; Leciejewski, Z.; Surma, Z.; Michalski, J. Comparative analysis of the effects of gunpowder and plasma ignition in closed vessel tests. Def. Technol. 2019, 15, 668–673. [Google Scholar] [CrossRef]
- Strakovskiy, L.; Cohen, A.; Fifer, R.; Beyer, R.; Forch, B. Laser Ignition of Propellants and Explosives; Army Research Laboratory Technical Report ARL-TR-1699; Army Research Laboratory: Aberdeen Proving Ground, MD, USA, 1998. [Google Scholar]
- Courty, L.; Lagrange, J.F.; Gillard, P.; Boulnois, C. Laser Ignition of a Low Vulnerability Propellant Based on Nitrocellulose: Effects of Ar and N2 Surrounding Atmospheres. Propellants Explos. Pyrotech. 2018, 43, 986–991. [Google Scholar] [CrossRef]
- Courty, L.; Gillard, P.; Ehrhardt, J.; Baschung, B. Experimental determination of ignition and combustion characteristics of insensitive gun propellants based on RDX and nitrocellulose. Combust. Flame 2021, 229, 111402. [Google Scholar] [CrossRef]
- Jeunieau, L.; Lefebvre, M.H.; Papy, A.; Pirlot, M.C.; Guillaume, P.; Reynaud, C. Closed Vessel Test: Influence of the Ignition Method on the Combustion Rate. In Proceedings of the 33rd International Annual Conference of ICT, Karlsruhe, Germany, 25 June 2002. [Google Scholar]
- Corner, J. Theory of the Interior Ballistics of Guns; John Wiley & Sons, Inc.: New York, NY, USA, 1950. [Google Scholar]
- Baer, P.G. Practical Interior Ballistic Analysis of Guns. In Progress in Astronautics and Aeronautics, Vol. 66 Interior Ballistics of Guns; Krier, H., Summerfield, M., Eds.; American Institute of Aeronautics and Astronautics: New York, NY, USA, 1981; pp. 37–66. [Google Scholar]
- Moss, G.M.; Leeming, D.W.; Farrar, C.L. Land Warfare: Brassey’s New Battlefield Weapons and Technology Series into the 21st Century, Volume 1—Military Ballistics; Brassey’s Ltd.: London, UK, 1995. [Google Scholar]
- Pocock, M.D.; Locking, P.M.; Guyott, C.C. Effect of Statistical Variation in Grain Geometry on Internal Ballistics Modeling. In Proceedings of the 21st International Symposium on Ballistics, Adelaide, Australia, 19–23 April 2004; pp. 610–615. [Google Scholar]
- Leciejewski, Z. Singularities of Burning Rate Determination of Fine-Grained Propellants. In Proceedings of the 23rd International Symposium on Ballistics, Tarragona, Spain, 16–20 April 2007; Volume 1, pp. 369–376. [Google Scholar]
- Boulkadid, K.M.; Lefebvre, M.H.; Jeunieau, L.A.; Dejeaifve, L.A. Mechanical and ballistic properties of spherical single base gun propellant. Cent. Eur. J. Energy Mater. 2017, 14, 90–104. [Google Scholar] [CrossRef]
- Zhang, R.; Rui, X.; Wang, Y.; Li, C. Study on the change of gas generation law caused by fracture of propellant charge. J. Energetic Mater. 2018, 36, 454–467. [Google Scholar] [CrossRef]
- Sharma, R.; Barve, S.; Bora, M.; Rajan, K.M. Peak Pressure Variation with Grain Fracture: Using a Lumped Model for Projectile Energizing with Seven Perforation Grain. In Proceedings of the 31st International Symposium on Ballistics, Hyderabad, India, 4–8 November 2019; pp. 271–290. [Google Scholar]
- Degirmenci, E. Effects of grain size and temperature of double base solid propellants on internal ballistics performance. Fuel 2015, 146, 95–102. [Google Scholar] [CrossRef]
- Pocock, M.D.; Guyott, C.C. An Alternative Method for the Derivation of Propellant Burn Rate Data from Closed Vessel Tests. In Proceedings of the 18th International Symposium on Ballistics, San Antonio, TX, USA, 15–19 November 1999; pp. 270–276. [Google Scholar]
- Trębiński, R.; Leciejewski, Z.; Surma, Z. Determining the burning rate of Fine-grained propellants in Closed Vessel Tests. Energies 2022, 15, 2680. [Google Scholar] [CrossRef]
- Fikus, B.; Surma, Z.; Tęebiński, R. Preliminary Application Correctness Assessment of Physical Burning Law in Interior Ballistics Phenomena Modeling in Small-Caliber Guns. In Proceedings of the 31st International Symposium on Ballistics, Hyderabad, India, 4–8 November 2019; pp. 356–368. [Google Scholar]
- Grune, D.; Hensel, D. Burning Behavior of High Energy Solid Propellants in Closed Vessels at High Loading Densities. In Proceedings of the 14th International Symposium on Ballistics, Quebec, QC, Canada, 26–29 September 1993; pp. 223–229. [Google Scholar]
- Juhasz, A.A.; Bullock, C.D.; Homan, B.; Devynck, D. Micro Closed Bomb for Characterizing the Burning of Propellants at Gun Pressures. In Proceedings of the 36th JANNAF Combustion Meeting, Cocoa Beach, FL, USA, 18–21 October 1999. [Google Scholar]
- Jeunieau, L.; Lefebvre, M.H.; Pirlot, M.C.; Guillaume, P. Characterization of Deterred Propellants by Closed Vessel Tests: Importance of the Ignition Methods. Cent. Eur. J. Energetic Mater. 2005, 3, 39–53. [Google Scholar]
- Leciejewski, Z.; Surma, Z. Effect of Application of Various Ignition Conditions in Closed-Vessel Tests on Burning Rate Calculation of a Fine-Grained Propellant. Combust. Explos. Shock. Waves 2011, 47, 209–216. [Google Scholar] [CrossRef]
- Leciejewski, Z. Oddities in determining burning rate on basis of closed vessel tests of single base propellant. J. Theor. Appl. Mech. 2014, 52, 313–321. [Google Scholar]
- Leciejewski, Z.; Surma, Z.; Żuk, P. Factors Determining Nature of Dynamic Vivacity Curve During Closed Vessel Investigations. In Proceedings of the 30th International Symposium on Ballistics, Long Beach, CA, USA, 11–15 September 2017; pp. 589–596. [Google Scholar]
- Wurster, S. Solid Propellant Burn Rate Measurement in a Micro Closed Bomb. In Proceedings of the 31st International Symposium on Ballistics, Hyderabad, India, 4–8 November 2019; pp. 485–495. [Google Scholar]
- Ritter, J.J.; Beyer, R.A. Primer Output and Initial Projectile Motion for 5.56- and 7.62-mm Ammunition; ARL-TR-7479 Report; Army Research Laboratory: Aberdeen Proving Ground, MD, USA, 2015. [Google Scholar]
- Trębiński, R.; Woźniak, R.; Szupieńko, D.; Fikus, B. Estimation of Priming Mixture Force. Energies 2022, 15, 5952. [Google Scholar] [CrossRef]
























| Shape | Average Dimensions of Grain (mm) | ||
|---|---|---|---|
| Total Layer (1/2 of Web Size) | Inside Diameter | Length | |
| seven-perforated (A) | 0.2550 | 0.18 | 3.4 |
| single-perforated (B) | 0.1625 | 0.15 | 1.9 |
| Propellant | Energy Characteristics of Propellant | |
|---|---|---|
| Force f (J/kg) | Covolume η (m3/kg) | |
| A | 903,000 | 0.00149 |
| B | 1,023,000 | 0.00115 |
| Tested Propellant in the Closed Vessel | Ignition Method | |||
|---|---|---|---|---|
| Black Powder | pM/O 0.15 MPa | pM/O 0.20 MPa | pM/O 0.25 MPa | |
| loosely | 100.00 | 94.70 | 104.47 | 119.72 |
| on tape | 103.43 | 105.38 | 110.60 | 135.14 |
| Ignition Type | ||||||
|---|---|---|---|---|---|---|
| Electric Match | 2 g of Black Powder | 2 g of Black Powder | 4 g of Black Powder | 6 g of Black Powder | 8 g of Black Powder | Cartridge Primer |
| 91.82 | 100.00 | 114.37 | 111.05 | 116.35 | 126.73 | 130.81 |
| propellant placed loosely in the combustion chamber | propellant in a bag with black powder | propellant placed loosely in the combustion chamber | ||||
Disclaimer/Publisher’s Note: The statements, opinions and data contained in all publications are solely those of the individual author(s) and contributor(s) and not of MDPI and/or the editor(s). MDPI and/or the editor(s) disclaim responsibility for any injury to people or property resulting from any ideas, methods, instructions or products referred to in the content. |
© 2023 by the authors. Licensee MDPI, Basel, Switzerland. This article is an open access article distributed under the terms and conditions of the Creative Commons Attribution (CC BY) license (https://creativecommons.org/licenses/by/4.0/).
Share and Cite
Leciejewski, Z.; Surma, Z.; Trębiński, R. Influence of the Ignition Method on the Characteristics of Propellant Burning in the Context of the Geometric Burning Model. Energies 2023, 16, 3863. https://doi.org/10.3390/en16093863
Leciejewski Z, Surma Z, Trębiński R. Influence of the Ignition Method on the Characteristics of Propellant Burning in the Context of the Geometric Burning Model. Energies. 2023; 16(9):3863. https://doi.org/10.3390/en16093863
Chicago/Turabian StyleLeciejewski, Zbigniew, Zbigniew Surma, and Radosław Trębiński. 2023. "Influence of the Ignition Method on the Characteristics of Propellant Burning in the Context of the Geometric Burning Model" Energies 16, no. 9: 3863. https://doi.org/10.3390/en16093863
APA StyleLeciejewski, Z., Surma, Z., & Trębiński, R. (2023). Influence of the Ignition Method on the Characteristics of Propellant Burning in the Context of the Geometric Burning Model. Energies, 16(9), 3863. https://doi.org/10.3390/en16093863

