Thermodynamic and Experimental Substantiation of the Possibility of Formation and Extraction of Organometallic Compounds as Indicators of Deep Naphthogenesis
Abstract
1. Introduction
2. Materials and Methods
3. Results
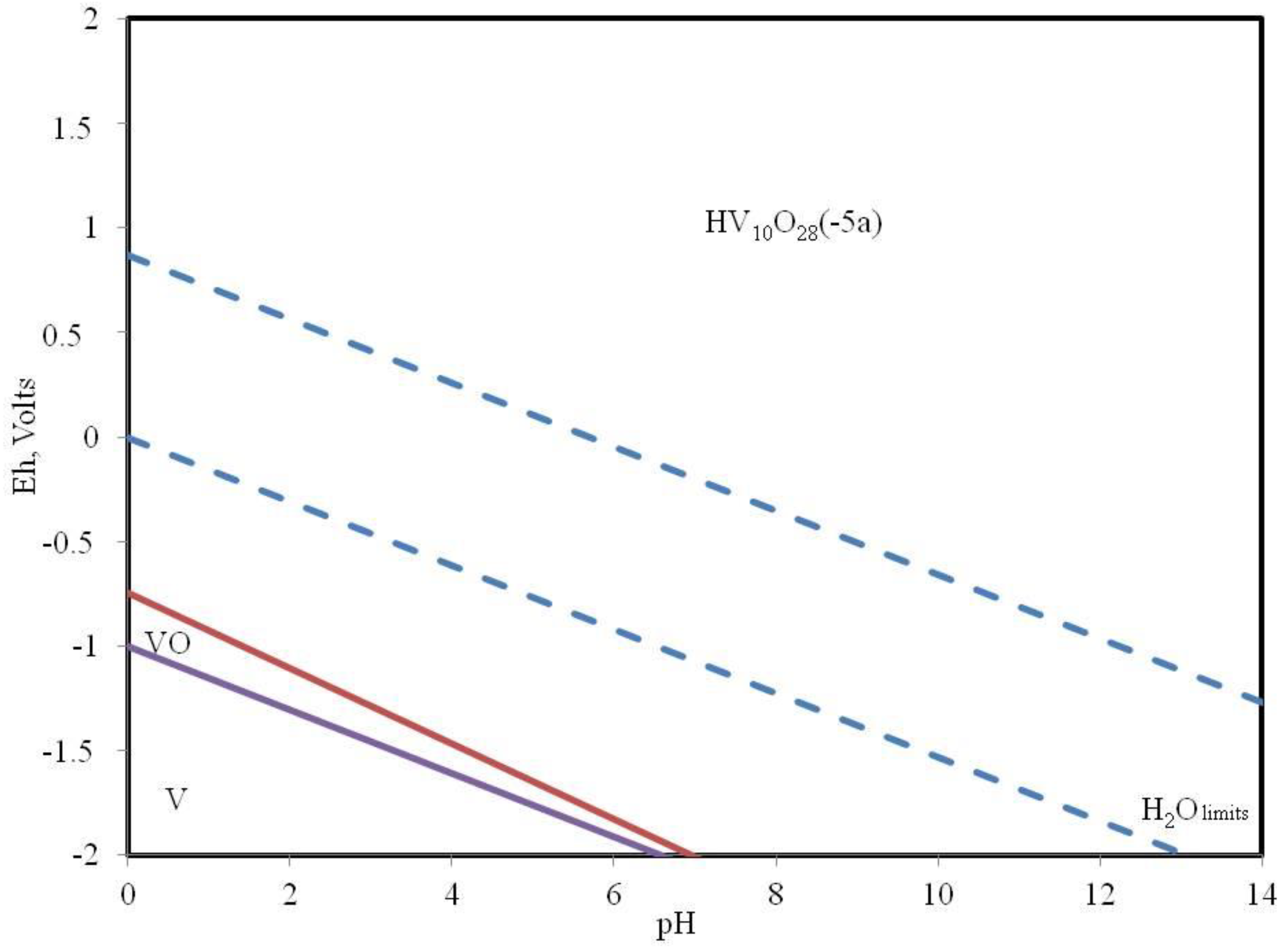
3.1. Modeling of Presumptive Genesis Processes of Deep Oil Deposits
3.2. Cavitation Extraction of Organometallic Compounds of Trace Elements from Oil and Complex Mineral Oil Raw Materials
4. Conclusions
Author Contributions
Funding
Data Availability Statement
Conflicts of Interest
References
- Bobylev, Y.N. Global Oil Market: Main Trends 2018; Russian Economic Developments; IEP: Moscow, Russia, 2019; Volume 26, pp. 10–13. [Google Scholar]
- Dvoynikov, M.V.; Leusheva, E.L. Modern trends in hydrocarbon resources development. J. Min. Inst. 2022, 258, 879–880. [Google Scholar]
- Grigoryev, L.M.; Kheifets, E.A. Oil Market: Conflict Between Recovery And Energy Transition. Vopr. Ekon. 2022, 9, 5–33. [Google Scholar] [CrossRef]
- Litvinenko, V.S.; Petrov, E.I.; Vasilevskaya, D.V.; Yakovenko, A.V.; Naumov, I.A.; Ratnikov, M.A. Assessment of the role of the state in the management of mineral resources. J. Min. Inst. 2022, 259, 95–111. [Google Scholar] [CrossRef]
- Golubev, I.A.; Golubev, A.V.; Laptev, A.B. Practice of using the magnetic treatment devices to intensify the processes of primary oil treating. J. Min. Inst. 2020, 245, 554–560. [Google Scholar] [CrossRef]
- Sukhanov, A.A.; Yakutseni, V.P.; Petrov, Y.E. Petroleum geology. Theory Pract. 2012, 7, 23. [Google Scholar]
- Litvinenko, V.S.; Tsvetkov, P.S.; Dvoynikov, M.V.; Buslaev, G.V. Barriers to implementation of hydrogen initiatives in the context of global energy sustainable development. J. Min. Inst. 2020, 244, 428–438. [Google Scholar] [CrossRef]
- Carayannis, E.G.; Ilinova, A.; Cherepovitsyn, A. The Future of Energy and the Case of the Arctic Offshore: The Role of Strategic Management. J. Mar. Sci. Eng. 2021, 9, 134. [Google Scholar] [CrossRef]
- Tang, T.; Zhang, L.; Guo, Z.; Gu, X. Development of Cathode and Anode Materials in Lithium Sulfur Batteries. Chin. J. Rare Met. 2022, 46, 954–964. [Google Scholar]
- Wan, C.; Zhou, L.; Xu, S.; Jin, B.; Ge, X.; Qian, X.; Xu, L.; Chen, F.; Zhan, X.; Yang, Y.; et al. Defect engineered mesoporous graphitic carbon nitride modified with AgPd nanoparticles for enhanced photocatalytic hydrogen evolution from formic acid. Chem. Eng. J. 2022, 429, 132388. [Google Scholar] [CrossRef]
- Pang, D.; Li, W.; Zhang, N.; He, H.; Mao, S.; Chen, Y.; Cao, L.; Li, C.; Li, A.; Han, X. Direct observation of oxygen vacancy formation and migration over ceria surface by in situ environmental transmission electron microscopy. J. Rare Earths, 2023; in press. [Google Scholar] [CrossRef]
- Dvoynikov, M.V.; Sidorkin, D.I.; Yurtaev, S.L.; Grokhotov, E.I.; Ulyanov, D.S. Drilling of deep and ultra-deep wells for prospecting and exploration of new raw mineral fields. J. Min. Inst. 2022, 258, 945–955. [Google Scholar] [CrossRef]
- Galkin, V.I.; Martyushev, D.A.; Ponomareva, I.N.; Chernykh, I.A. Developing features of the near-bottomhole zones in productive formations at fields with high gas saturation of formation oil. J. Min. Inst. 2021, 249, 386–392. [Google Scholar] [CrossRef]
- Kozlov, S.V.; Kopylov, I.S. Regularities of Occurrence of Unique and Large Oil and Gas Deposits in The Earth Crust. Deep Zones of Hydrocarbons Generation and Primary Asthenosphere Earthquakes As A Uniform Planetary Process. Bull. Perm Univ. Geol. 2019, 18, 64–72. [Google Scholar] [CrossRef]
- Ivanov, K.S. About Possible Maximum Depth of Oil Deposits. Izv. Ural. Gos. Gorn. Univ. 2018, 41–49. [Google Scholar] [CrossRef]
- Prischepa, O.; Nefedov, Y.; Nikiforova, V. Arctic Shelf Oil and Gas Prospects from Lower-Middle Paleozoic Sediments of the Timan–Pechora Oil and Gas Province Based on the Results of a Regional Study. Resources 2022, 11, 3. [Google Scholar] [CrossRef]
- Leusheva, E.; Alikhanov, N.; Morenov, V. Barite-Free Muds for Drilling-in the Formations with Abnormally High Pressure. Fluids 2022, 7, 268. [Google Scholar] [CrossRef]
- Gendler, S.G.; Fayzylov, I.R. Application Efficiency of Closed Gathering System Toward Microclimate Normalization In Operating Galleries In Oil Mines. Min. Inf. Anal. Bull. 2021, 65–78. [Google Scholar] [CrossRef]
- Grishchenko, A.I.; Semenov, A.S.; Melnikov, B.E. Modeling the processes of deformation and destruction of the rock sample during its extraction from great depths. J. Min. Inst. 2021, 248, 243–252. [Google Scholar] [CrossRef]
- Xu, C.; Zou, W.; Yang, Y.; Duan, Y.; Shen, Y.; Luo, B.; Ni, C.; Fu, X.; Zhang, J. Status and Prospects of Deep Oil and Gas Resources Exploration and Development Onshore China. J. Nat. Gas Geosci. 2018, 3, 11–24. [Google Scholar] [CrossRef]
- Dai, J.; Ni, Y.; Qin, S.; Huang, S.; Peng, W.; Han, W. Geochemical Characteristics of Ultra-Deep Natural Gas in the Sichuan Basin, SW China. Pet. Explor. Dev. 2018, 45, 619–628. [Google Scholar] [CrossRef]
- Li, J.; Wang, X.; Wei, G.; Yang, W.; Xie, Z.; Li, Z.; Guo, J.; Wang, Y.; Ma, W.; Li, J.; et al. New Progresses in Basic Geological Theories and Future Exploration Domains of Natural Gas in China. Nat. Gas Ind. B 2018, 5, 434–443. [Google Scholar] [CrossRef]
- Boyko, Y.I.; Korobkov, V.F. Criteria for Deep Oil Formation in the Sakmara Underthrust Zone of the Kazakh Urals. Ural. Geol. J. 2018, 4, 19–30. [Google Scholar]
- Abdolahnezhad, M.; Lindsay, M.B.J. Geochemical Conditions Influence Vanadium, Nickel, and Molybdenum Release from Oil Sands Fluid Petroleum Coke. J. Contam. Hydrol. 2022, 245, 103955. [Google Scholar] [CrossRef]
- Sanz-Robinson, J.; Sugiyama, I.; Williams-Jones, A.E. The Solubility of Palladium (Pd) in Crude Oil at 150, 200 and 250 °C and Its Application to Ore Genesis. Chem. Geol. 2020, 531, 119320. [Google Scholar] [CrossRef]
- Li, J.; Kong, L.; Wu, K.; Ma, J.; Liu, F.; Liu, M. Genesis of H2S in Jurassic Associated Gas in Pengyang Area, Ordos Basin, NW China. J. Nat. Gas Geosci. 2022, 7, 159–170. [Google Scholar] [CrossRef]
- López, L.; Mónaco, S.L. Vanadium, nickel and sulfur in crude oils and source rocks and their relationship with biomarkers: Implications for the origin of crude oils in Venezuelan basins. Org. Geochem. 2017, 104, 53–68. [Google Scholar] [CrossRef]
- Lu, P.; Zhuo, Z.; Zhang, W.; Sun, T.; Sun, W.; Lu, J. Quantitative Analysis of Trace Elements (Vanadium, Sodium, and Calcium) in Petroleum Coke Using Laser-Induced Breakdown Spectroscopy with Binder. Spectrochim. Acta Part B At. Spectrosc. 2022, 190, 106388. [Google Scholar] [CrossRef]
- Minikaeva, S.N.; Harlampidi, H.E.; Yakubov, M.R.; Romanov, G.V.; Milordov, D.V.; Yakubova, S.G. Features of Concentration and Extraction of Natural Porphyrins from Resins and Asphaltenes of Heavy Oil. Bull. Kazan Technol. Univ. 2010, 9, 568–578. [Google Scholar]
- Yakubova, S.G.; Abilova, G.R.; Tazeeva, E.G. A Comparative Analysis of Vanadyl Porphyrins Isolated from Heavy Oil Asphaltenes with High and Low Vanadium Content. Pet. Chem. 2022, 62, 83–93. [Google Scholar] [CrossRef]
- Aleksandrova, T.N.; Aleksandrov, A.V.; Nikolaeva, N.V.; Romashev, A.O. Processing of heavy oils and natural bitumens taking into account their rheological properties; Mediapapir LLC: St. Petersburg, Russia, 2017; p. 146. [Google Scholar]
- Romanyuk, V.B.; Boyarko, G.Y. On the capitalization of the costs of geological exploration. Miner. Resour. Russ. Econ. Manag. 2014, 5, 31–36. [Google Scholar]
- Ways of development of oil and gas resources in the russian sector of the arctic. Report of academician A.E. Kontorovich. Bull. Russ. Acad. Sci. 2015, 85, 420–430. [CrossRef]
- Postnova, E.V.; Zhidovinov, S.N. Recent Tendencies of Resource Base Development of Hidrocarbon Raw Material and Ways of Improving Efficiency of Exploration Activity in Ural-Povolje Region. Oil Gas Geol. 2008, 5, 2–10. [Google Scholar]
- Letnikov, F.A. Synergetic Aspects of Formation of Deep Oil. Deep Oil. 2013, 1, 790–810. [Google Scholar]
- Timurziev, A.I. State of The Art of The Theory of An Origin And Prac-Tice For Searches of Oil: Theses To Creation of The Scientific Theory of Forecasting And Searches of Deep Oil. Deep Oil. 2013, 1, 18–44. [Google Scholar]
- Lur’e, M.A. Sources of hydrocarbons, heterocomponents, and trace elements of abiogenic oil: Properties and composition of deep fluids. Geol. Neft. I Gaza 2020, 3, 43–49. [Google Scholar] [CrossRef]
- Shpirt, M.Y.; Sadowski, V.V. Microelements of Combustible Minerals; Kuchkovo Field: Moscow, Russia, 2010; p. 384. [Google Scholar]
- Alexandrova, T.N. Key directions in processing carbonaceous rocks. J. Min. Inst. 2016, 220, 568–572. [Google Scholar] [CrossRef]
- Liu, Q.; Wu, X.; Zhu, D.; Meng, Q.; Xu, H.; Peng, W.; Huang, X.; Liu, J. Generation and Resource Potential of Abiogenic Alkane Gas under Organic–Inorganic Interactions in Petroliferous Basins. J. Nat. Gas Geosci. 2021, 6, 79–87. [Google Scholar] [CrossRef]
- Kalz, K.F.; Kraehnert, R.; Dvoyashkin, M.; Dittmeyer, R.; Gläser, R.; Krewer, U.; Reuter, K.; Grunwaldt, J.-D. Future Challenges in Heterogeneous Catalysis: Understanding Catalysts under Dynamic Reaction Conditions. ChemCatChem 2017, 9, 17–29. [Google Scholar] [CrossRef]
- Zaera, F. Molecular Approaches to Heterogeneous Catalysis. Coord. Chem. Rev. 2021, 448, 214179. [Google Scholar] [CrossRef]
- Filippov, E.V.; Zakharov, L.A.; Martyushev, D.A.; Ponomareva, I.N. Reproduction of reservoir pressure by machine learning methods and study of its influence on the cracks formation process in hydraulic fracturing. J. Min. Inst. 2022, 258, 924–932. [Google Scholar] [CrossRef]
- Shchelokov, A.; Palko, N.; Potemkin, V.; Grishina, M.; Morozov, R.; Korina, E.; Uchaev, D.; Krivtsov, I.; Bol’shakov, O. Adsorption of Native Amino Acids on Nanocrystalline TiO2: Physical Chemistry, QSPR, and Theoretical Modeling. Langmuir 2019, 35, 538–550. [Google Scholar] [CrossRef] [PubMed]
- Muratov, E.N.; Bajorath, J.; Sheridan, R.P.; Tetko, I.V.; Filimonov, D.; Poroikov, V.; Oprea, T.I.; Baskin, I.I.; Varnek, A.; Roitberg, A.; et al. QSAR without Borders. Chem. Soc. Rev. 2020, 49, 3525–3564. [Google Scholar] [CrossRef] [PubMed]
- Lu, X.; Fang, D.; Ito, S.; Okamoto, Y.; Ovchinnikov, V.; Cui, Q. QM/MM free energy simulations: Recent progress and challenges. Mol. Simul. 2016, 42, 1056–1078. Available online: https://www.tandfonline.com/doi/abs/10.1080/08927022.2015.1132317 (accessed on 27 December 2022). [CrossRef] [PubMed]
- Leach, A.R. Molecular Modelling: Principles and Applications; Pearson Education: London, UK, 2001. [Google Scholar]
- Team, T.A. Auto Optimize Tool. Avogadro. Available online: https://avogadro.cc/docs/tools/auto-optimize-tool/ (accessed on 25 January 2023).
- Romashev, A.; He, D.; Aleksandrova, T.; Nikolaeva, N. Technological Typomorphic Associations in Caustobiolites and Methods of Their Extraction. Metals 2021, 11, 121. [Google Scholar] [CrossRef]
- Lurie, M.A.; Schmidt, F.K. Genetic Aspects of Oil and Gas Formation, Sulfur and Metal Content of Oils; Reports of the Academy of Sciences; Springer: Berlin/Heidelberg, Germany, 2009; p. 424. [Google Scholar]








| ME | Peat | Coal | Oil Shale | Crude Oil | ||||
|---|---|---|---|---|---|---|---|---|
| Cic | QicA | Cic | QicA | Cic | QicA | CicA | QicA | |
| Li | - | - | 15 | 0.29 | 60 | 1.47 | - | - |
| Rb | 1.8 | 0.013 | 15.6 | 0.12 | 139.1 | 1.39 | 15.4 | 0.10 |
| Ba | 0.9 | 0.002 | 128 | 0.30 | 560 | 1.62 | 340 | 0.65 |
| Sc | 0.2 | 0.013 | 2.7 | 0.19 | 15 | 1.33 | 1.9 | 0.11 |
| Ga | 0.1 | 0.006 | 6.4 | 0.42 | 20 | 1.66 | 0.1 | 0.006 |
| Ti | - | - | 1620 | 0.37 | 1350 | 0.38 | 52.1 | 0.01 |
| Zr | 15 | 0.077 | 36 | 0.20 | 160 | 1.12 | 2.3 | 0.011 |
| Sn | - | - | 11 | 1.17 | 5 | 0.66 | 0.85 | 0.08 |
| V | 17 | 0.138 | 24.7 | 0.22 | 130 | 1.44 | 645 | 4.76 |
| Cu | 8 | 0.216 | 11.8 | 0.35 | 45.6 | 1.68 | 22 | 0.54 |
| Au | 0.01 | 1.498 | 0.03 | 4.90 | 0.002 | 0.41 | 0.3 | 40.88 |
| Zn | 16 | 0.300 | 28 | 0.57 | 100 | 2.55 | 13.9 | 0.24 |
| As | - | - | 18.8 | 2.15 | 13 | 1.86 | 0.8 | 0.08 |
| Se | - | - | 3 | 5.31 | 15 | 33.19 | - | - |
| Cr | - | - | 14 | 0.14 | 100 | 1.21 | 1.4 | 0.011 |
| Mn | 79 | 0.096 | 153 | 0.20 | 510 | 0.85 | 32 | 0.04 |
| Co | 3.5 | 0.179 | 4.6 | 0.26 | 19 | 1.33 | 12.7 | 0.59 |
| Ni | 14 | 0.290 | 10.4 | 0.23 | 60.5 | 1.71 | 147 | 2.77 |
| 4H2S(g) + CO2(G) = CH4(g) + 2H2O(g) + 4S | |||||
|---|---|---|---|---|---|
| T C | ΔH kJ | ΔS J/K | ΔG kJ | K | Log (K) |
| 50.000 | −82.240 | −342.854 | 28.554 | 2.,422 × 10−5 | −4.616 |
| 60.000 | −82.033 | −342.224 | 31.979 | 9.673 × 10−6 | −5.014 |
| 70.000 | −81.823 | −341.605 | 35.398 | 4.085 × 10−6 | −5.389 |
| 80.000 | −81.612 | 340.997 | 38.811 | 1.815 × 10−6 | −5.741 |
| 90.000 | −81.399 | −340.402 | 42.218 | 8.451 × 10−7 | −6.073 |
| 100.000 | −79.561 | −335.412 | 45.598 | 4.136 × 10−7 | −6.383 |
| 110.000 | −79.303 | −334.729 | 48.948 | 2.120 × 10−7 | −6.674 |
| 120.000 | −72.030 | −316.006 | 52.208 | 1.156 × 10−7 | −6.937 |
| 130.000 | −71.486 | −314.640 | 55.361 | 6.707 × 10−8 | −7.173 |
| 140.000 | −70.892 | −313.184 | 58.500 | 4.011 × 10−8 | −7.397 |
| 150.000 | −70.236 | −311.615 | 61.624 | 2.468 × 10−8 | −7.608 |
| 160.000 | −69.391 | −309.645 | 64.731 | 1.560 × 10−8 | −7.807 |
| 170.000 | −68.284 | −307.116 | 67.815 | 1.014 × 10−8 | −7.994 |
| 180.000 | −67.289 | −304.896 | 70.875 | 6.754 × 10−9 | −8.170 |
| 190.000 | −66.376 | −302.904 | 73.914 | 4.605 × 10−9 | −8.337 |
| 200.000 | −65.522 | −301.079 | 76.933 | 3.206 × 10−9 | −8.494 |
| Conditions Set | Temperature Interval, °C | Pressure, mPa | Prime Product |
|---|---|---|---|
| I | 50–200 | 0.1 | Methane |
| II | 50–100 | 90 | Methane |
| III | 50–100 | 90 | Ethane |
| IV | 50–100 | 90 | Propane |
| Compound | Graphical Representation |
|---|---|
| A compound of the porphyrin class-vanadium and nickel carrier molecule | ![]() |
| Vanadium metalloporphyrins with singular disulfide bond | ![]() |
| Vanadium metalloporphyrins with two disulfide bonds | ![]() |
| Vanadium metalloporphyrins with three disulfide bonds | ![]() |
| Vanadium metalloporphyrins with four disulfide bonds | ![]() |
| Spectrum | Content, Mass % | |||||||
|---|---|---|---|---|---|---|---|---|
| V | Si | Ti | Fe | Ni | Sn | Sb | Pb | |
| 1 | - | 1.59 | 1.25 | - | 71.01 | - | - | - |
| 2 | 1.02 | 7.05 | 1.33 | 2.16 | 73.54 | - | - | - |
| 3 | 10.13 | 8.85 | 0.76 | 1.41 | 58.29 | - | - | - |
| 4 | - | 4.7 | - | 1.02 | 2.69 | 20.42 | 10.3 | 46.16 |
| 5 | 4.31 | 7.28 | 1.81 | 2.44 | 59.71 | - | - | - |
| 6 | 2.28 | 8.3 | 0.9 | 2.36 | 75.24 | - | - | - |
Disclaimer/Publisher’s Note: The statements, opinions and data contained in all publications are solely those of the individual author(s) and contributor(s) and not of MDPI and/or the editor(s). MDPI and/or the editor(s) disclaim responsibility for any injury to people or property resulting from any ideas, methods, instructions or products referred to in the content. |
© 2023 by the authors. Licensee MDPI, Basel, Switzerland. This article is an open access article distributed under the terms and conditions of the Creative Commons Attribution (CC BY) license (https://creativecommons.org/licenses/by/4.0/).
Share and Cite
Aleksandrova, T.; Nikolaeva, N.; Kuznetsov, V. Thermodynamic and Experimental Substantiation of the Possibility of Formation and Extraction of Organometallic Compounds as Indicators of Deep Naphthogenesis. Energies 2023, 16, 3862. https://doi.org/10.3390/en16093862
Aleksandrova T, Nikolaeva N, Kuznetsov V. Thermodynamic and Experimental Substantiation of the Possibility of Formation and Extraction of Organometallic Compounds as Indicators of Deep Naphthogenesis. Energies. 2023; 16(9):3862. https://doi.org/10.3390/en16093862
Chicago/Turabian StyleAleksandrova, Tatiana, Nadezhda Nikolaeva, and Valentin Kuznetsov. 2023. "Thermodynamic and Experimental Substantiation of the Possibility of Formation and Extraction of Organometallic Compounds as Indicators of Deep Naphthogenesis" Energies 16, no. 9: 3862. https://doi.org/10.3390/en16093862
APA StyleAleksandrova, T., Nikolaeva, N., & Kuznetsov, V. (2023). Thermodynamic and Experimental Substantiation of the Possibility of Formation and Extraction of Organometallic Compounds as Indicators of Deep Naphthogenesis. Energies, 16(9), 3862. https://doi.org/10.3390/en16093862






