Performance of Mn-Ce-Fe/FA Catalysts on Selective Catalytic Reduction of NOX with CO under Different Atmospheres
Abstract
1. Introduction
2. Experimental
2.1. Catalyst Preparation
- (1)
- Treatment of carrier: fly ash (FA) was washed with deionized water, dried, and prepared for later experiment.
- (2)
- Preparation of active precursor: metals were weighted and mixed in a certain proportion, then they were dissolved in an appropriate amount of deionized water, fully stirred, and mixed to ensure complete dissolution.
- (3)
- The previously static fly ash was weighed to the required amount, then placed into a beaker, mixed with the prepared active precursor. After that, the sample was placed in a magnetic stirrer for 3 h and standing for another 12 h.
- (4)
- After standing, the mixture was dried in an oven at 80 °C until the moisture had completely evaporated.
- (5)
- The catalyst was dried at 350 °C and 500 °C in a muff furnace for 2 h, then calcined in a reducing atmosphere (2% CO, N2 as equilibrium gas) at 500 °C for 3 h, and then cooled to room temperature.
2.2. Experimental Schemes
2.3. Catalyst Characterization
2.4. Catalyst Activity Evaluation
3. Results
3.1. Effect of Calcination Atmospheres on Catalyst Performance
3.2. Effect of Mn-Ce Ratios on the Catalyst Activity under Anoxic Condition
3.3. Effect of Mn-Ce Ratios on the Catalyst Activity with Oxygen
3.4. Effect of Mn-Fe Ratios on the Activity of CO-SCR Catalyst Supported by FA
3.5. Effect of Reaction Flue Gas Condition on Catalyst Performance
3.5.1. Effect of Space Velocity on Catalyst Performance
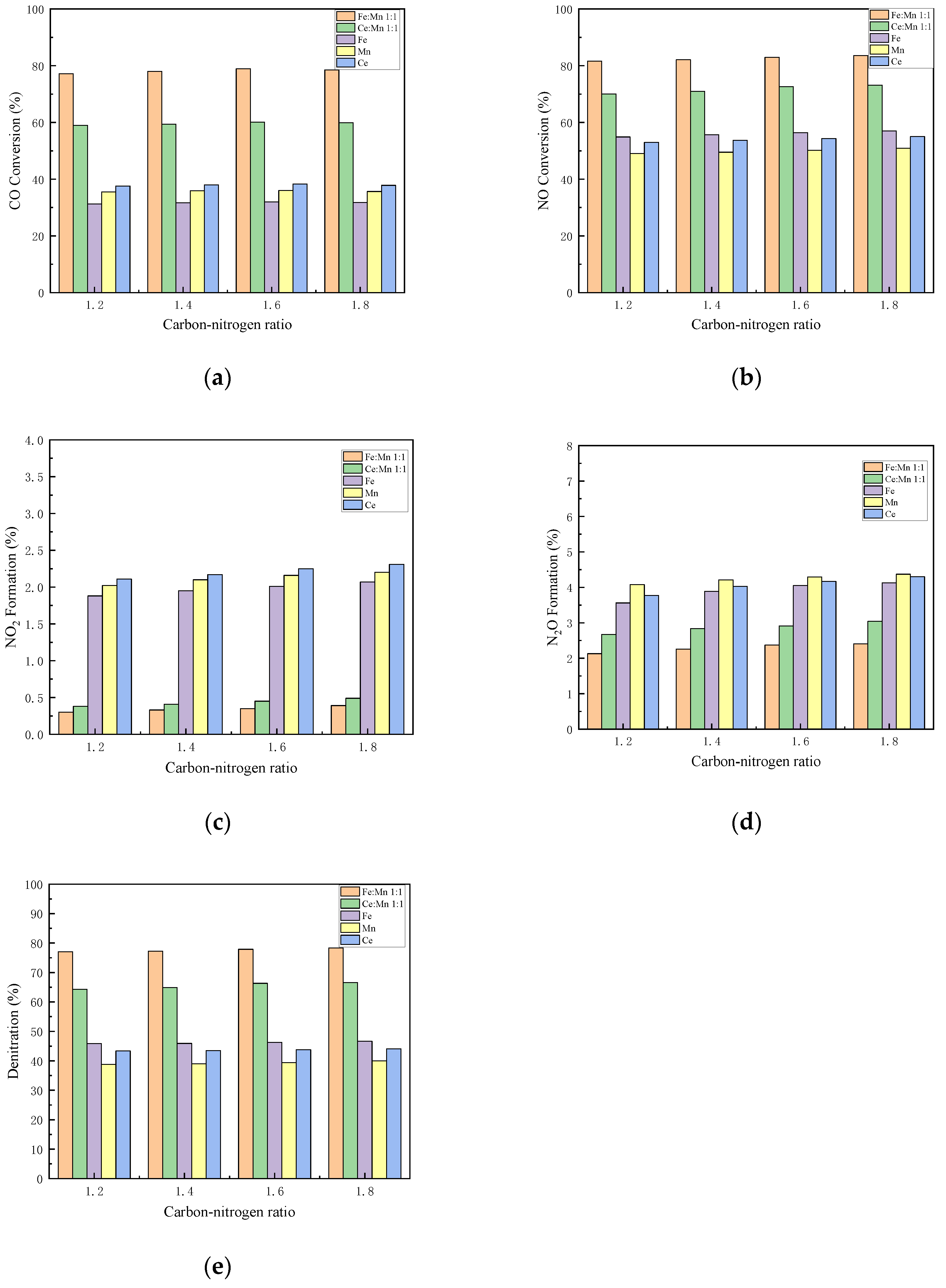
3.5.2. Effect of C/N Ratio on Catalyst Performance
3.5.3. Effect of Oxygen Concentration on Catalyst Performance
3.5.4. Study on Water Resistance of Catalyst
4. Conclusions
Author Contributions
Funding
Data Availability Statement
Conflicts of Interest
References
- Damma, D.; Ettireddy, P.R.; Reddy, B.M.; Smirniotis, P.G. A review of low temperature NH3-SCR for removal of NOx. Catalysts 2019, 9, 349. [Google Scholar] [CrossRef]
- Guo, K.; Ji, J.; Song, W.; Sun, J.; Tang, C.; Dong, L. Conquering ammonium bisulfate poison over low-temperature NH3-SCR catalysts: A critical review. Appl. Catal. B Environ. 2021, 297, 120388. [Google Scholar] [CrossRef]
- Liu, Y.; Liu, Z.; Wang, Y.; Yin, Y.; Pan, J.; Zhang, J.; Wang, Q. Simultaneous absorption of SO2 and NO from flue gas using ultrasound/Fe2+/heat coactivated persulfate system. J. Hazard. Mater. 2018, 342, 326–334. [Google Scholar] [CrossRef]
- Liu, F.; Cai, M.; Liu, X.; Zhu, T.; Zou, Y. O3 oxidation combined with semi-dry method for simultaneous desulfurization and denitrification of sintering/pelletizing flue gas. J. Environ. Sci. 2021, 104, 253–263. [Google Scholar] [CrossRef] [PubMed]
- Huan, C.; Yan, Z.; Sun, J.; Liu, Y.; Zeng, Y.; Qin, W.; Cheng, Y.; Tian, X.; Tan, Z.; Lyu, Q. Nitrogen removal characteristics of efficient heterotrophic nitrification-aerobic denitrification bacterium and application in biological deodorization. Bioresour. Technol. 2022, 363, 128007. [Google Scholar] [CrossRef] [PubMed]
- Van Roekel, C.A.; Montgomery, D.T.; Singh, J.; Olsen, D.B. Analysis of Non-Selective Catalyst Reduction Performance with Dedicated Exhaust Gas Recirculation. Adv. Chem. Eng. Sci. 2022, 12, 114–129. [Google Scholar] [CrossRef]
- Zhang, Z.; Li, J.; Tian, J.; Zhong, Y.; Zou, Z.; Dong, R.; Gao, S.; Xu, W.; Tan, D. The effects of Mn-based catalysts on the selective catalytic reduction of NOx with NH3 at low temperature: A review. Fuel Process. Technol. 2022, 230, 107213. [Google Scholar] [CrossRef]
- Gou, X.; Zhang, R.; Xu, G.; Zhao, D. Comparative study of low temperature denitration performance of Mn-Ce/ACFA-TiO2 catalysts under oxy-fuel and air-fuel combustion flue gases. Energy Rep. 2020, 6, 1545–1552. [Google Scholar] [CrossRef]
- Kubota, H.; Toyao, T.; Maeno, Z.; Inomata, Y.; Murayama, T.; Nakazawa, N.; Inagaki, S.; Kubota, Y.; Shimizu, K. Analogous mechanistic features of NH3-SCR over vanadium oxide and copper zeolite catalysts. ACS Catal. 2021, 11, 11180–11192. [Google Scholar] [CrossRef]
- Liu, X.; Sui, Z.; Chen, H.; Chen, Y.; Liu, H.; Jiang, P.; Shen, Z.; Linghu, W.; Wu, X. Structures and catalytic performances of Me/SAPO-34 (Me = Mn, Ni, Co) catalysts for low-temperature SCR of NOx by ammonia. J. Environ. Sci. 2021, 104, 137–149. [Google Scholar] [CrossRef]
- Tian, J.; Li, Y.; Zhou, X.; Yao, Y.; Wang, D.; Dan, J.; Dai, B.; Wang, Q.; Yu, F. Overwhelming low ammonia escape and low temperature denitration efficiency via MnOx-decorated two-dimensional MgAl layered double oxides. Chin. J. Chem. Eng. 2020, 28, 1925–1934. [Google Scholar] [CrossRef]
- Fal Desai, M.; Kerkar, R.; Salker, A. Detoxification of NO and CO gases over effectively substituted Pd and Rh in cupric oxide catalysts. Int. J. Environ. Sci. Technol. 2019, 16, 1541–1550. [Google Scholar] [CrossRef]
- Ji, Y.; Chen, X.; Liu, S.; Song, S.; Xu, W.; Jiang, R.; Chen, W.; Li, H.; Zhu, T.; Li, Z. Tailoring the Electronic Structure of Single Ag Atoms in Ag/WO3 for Efficient NO Reduction by CO in the Presence of O2. ACS Catal. 2023, 13, 1230–1239. [Google Scholar] [CrossRef]
- Chen, X.; Liu, Y.; Liu, Y.; Lian, D.; Chen, M.; Ji, Y.; Xing, L.; Wu, K.; Liu, S. Recent Advances of Cu-Based Catalysts for NO Reduction by CO under O2-Containing Conditions. Catalysts 2022, 12, 1402. [Google Scholar] [CrossRef]
- Murrell, L.; Tauster, S.; Anderson, D. Laser Raman Characterization of Surface Phase Precious Metal Oxides Formed on CeO2, in Studies in Surface Science and Catalysis; Elsevier: Amsterdam, The Netherlands, 1991; Volume 71, pp. 275–289. [Google Scholar]
- Ogura, M.; Kawamura, A.; Matsukata, M.; Kikuchi, E. Catalytic activity of Ir for NO-CO reaction in the presence of SO2 and excess oxygen. Chem. Lett. 2000, 29, 146–147. [Google Scholar] [CrossRef]
- Zhao, R.; Wei, X.; Chu, B.; Chen, K.; Qin, Q.; Liu, H.; Zhou, Y.; Li, B.; Dong, L. Multi-phase coexisting metal oxide derived by MOFs for the CO-SCR reaction at low temperature and in situ DRIFTS study on reaction mechanism. Appl. Surf. Sci. 2022, 580, 1269–1275. [Google Scholar] [CrossRef]
- Oton, L.F.; Oliveira, A.C.; de Araujo, J.C.; Araujo, R.S.; de Sousa, F.F.; Saraiva, G.D.; Lang, R.; Otubo, L.; da Silva Duarte, G.C.; Campos, A. Selective catalytic reduction of NOx by CO (CO-SCR) over metal-supported nanoparticles dispersed on porous alumina. Adv. Powder Technol. 2020, 31, 464–476. [Google Scholar] [CrossRef]
- Delpeuch, A.B.; Maillard, F.; Chatenet, M.; Soudant, P.; Cremers, C. Ethanol oxidation reaction (EOR) investigation on Pt/C, Rh/C, and Pt-based bi-and tri-metallic electrocatalysts: A DEMS and in situ FTIR study. Appl. Catal. B Environ. 2016, 181, 672–680. [Google Scholar] [CrossRef]
- Zhang, Y.; Zhao, L.; Kang, M.; Chen, Z.; Gao, S.; Hao, H. Insights into high CO-SCR performance of CuCoAlO catalysts derived from LDH/MOFs composites and study of H2O/SO2 and alkali metal resistance. Chem. Eng. J. 2021, 426, 131873. [Google Scholar] [CrossRef]
- Liu, H.; Liang, Q.; Liu, J.; Liu, X.; Li, D.; Xie, S.; Jin, L.; Dong, L.; Li, B.; Yao, Y. Promotional mechanism of activity via three-dimensional ordered macroporous Cu-doped Ce–Fe mixed oxides for the CO-SCR reaction. Environ. Sci. Nano 2020, 7, 3136–3154. [Google Scholar] [CrossRef]
- Yan, X.; Liu, J.; Yang, Y.; Wang, Z.; Zheng, Y. A catalytic reaction scheme for NO reduction by CO over Mn-terminated LaMnO3 perovskite: A DFT study. Fuel Process. Technol. 2021, 216, 106798. [Google Scholar] [CrossRef]
- Kacimi, M.; Ziyad, M.; Liotta, L.F. Cu on amorphous AlPO4: Preparation, characterization and catalytic activity in NO reduction by CO in presence of oxygen. Catal. Today 2015, 241, 151–158. [Google Scholar] [CrossRef]
- Zhang, X.; Ma, C.; Cheng, X.; Wang, Z. Performance of Fe-Ba/ZSM-5 catalysts in NO+ O2 adsorption and NO+ CO reduction. Int. J. Hydrogen Energy 2017, 42, 7077–7088. [Google Scholar] [CrossRef]
- Liu, T.; Qian, J.; Yao, Y.; Shi, Z.; Han, L.; Liang, C.; Li, B.; Dong, L.; Fan, M.; Zhang, L. Research on SCR of NO with CO over the Cu0. 1La0. 1Ce0. 8O mixed-oxide catalysts: Effect of the grinding. Mol. Catal. 2017, 430, 43–53. [Google Scholar] [CrossRef]
- Zhang, Y.; Zhao, L.; Chen, Z.; Li, X. Promotional effect for SCR of NO with CO over MnO -doped Fe3O4 nanoparticles derived from metal-organic frameworks. Chin. J. Chem. Eng. 2022, 46, 113–125. [Google Scholar] [CrossRef]
- Liu, L.; Xu, K.; Su, S.; He, L.; Qing, M.; Chi, H.; Liu, T.; Hu, S.; Wang, Y.; Xiang, J. Efficient Sm modified Mn/TiO2 catalysts for selective catalytic reduction of NO with NH3 at low temperature. Appl. Catal. A Gen. 2020, 592, 117413. [Google Scholar] [CrossRef]
- Wang, C.; Yu, F.; Zhu, M.; Tang, C.; Zhang, K.; Zhao, D.; Dong, L.; Dai, B. Highly selective catalytic reduction of NOx by MnOx–CeO2–Al2O3 catalysts prepared by self-propagating high-temperature synthesis. J. Environ. Sci. 2019, 75, 124–135. [Google Scholar] [CrossRef]
- Zhu, C.; Shen, R.; Fang, Z.; Zhang, L.; Wu, D.; Wu, M.; Tang, T.; Fu, W.; Chen, Q. Basic mesoporous zeolite ETS-10 supported Ni catalyst with bi-functional properties for efficiently catalyzing arenes fluorination. Catal. Commun. 2018, 117, 63–68. [Google Scholar] [CrossRef]
- Zhang, L.; Huang, L.; Qin, Y.; Chen, B. Structure and denitration performance of carbon-based catalysts prepared from Cu–BTC precursor. Trans. Nonferrous Met. Soc. China 2018, 28, 980–988. [Google Scholar] [CrossRef]
- Zhang, Y.; Wang, L.; Chen, L.; Ma, B.; Zhang, Y.; Ni, W.; Tsang, D.C. Treatment of municipal solid waste incineration fly ash: State-of-the-art technologies and future perspectives. J. Hazard. Mater. 2021, 411, 125132. [Google Scholar] [CrossRef]
- Zou, D.; Qiu, M.; Chen, X.; Drioli, E.; Fan, Y. One step co-sintering process for low-cost fly ash based ceramic microfiltration membrane in oil-in-water emulsion treatment. Sep. Purif. Technol. 2019, 210, 511–520. [Google Scholar] [CrossRef]
- Lei, Z.; Hao, S.; Yang, J.; Zhang, L.; Fang, B.; Wei, K.; Lingbo, Q.; Jin, S.; Wei, C. Study on denitration and sulfur removal performance of Mn–Ce supported fly ash catalyst. Chemosphere 2021, 270, 128646. [Google Scholar] [CrossRef] [PubMed]
- Pan, K.L.; Young, C.W.; Pan, G.T.; Chang, M.B. Catalytic reduction of NO by CO with Cu-based and Mn-based catalysts. Catal. Today 2020, 348, 15–25. [Google Scholar] [CrossRef]
- Liu, T.; Wei, L.; Yao, Y.; Dong, L.; Li, B. La promoted CuO-MnOx catalysts for optimizing SCR performance of NO with CO. Appl. Surf. Sci. 2021, 546, 148971. [Google Scholar] [CrossRef]
- Zhdanov, V.P.; Kasemo, B. Mechanism and kinetics of the NO-CO reaction on Rh. Surf. Sci. Rep. 1997, 29, 31–90. [Google Scholar] [CrossRef]
- Zhang, Y.; Wang, Y.; Liu, Y.; Xu, H.; Wu, Z. A rational construction of Pt@ Cu-ZSM-5@ CuOx catalyst with detached multi-functional Pt and Cu sites for high-performance acetonitrile decomposition. Chem. Eng. J. 2023, 463, 142343. [Google Scholar] [CrossRef]
- Zhang, Y.; Zhao, L.; Duan, J.; Bi, S. Insights into deNOx processing over Ce-modified Cu-BTC catalysts for the CO-SCR reaction at low temperature by in situ DRIFTS. Sep. Purif. Technol. 2020, 234, 2568. [Google Scholar] [CrossRef]
- Pan, K.; Yu, F.; Liu, Z.; Zhou, X.; Sun, R.; Li, W.; Zhao, H.; Liu, M.; Guo, X.; Dai, B. Enhanced low-temperature CO-SCR denitration performance and mechanism of two-dimensional CuCoAl layered double oxide. J. Environ. Chem. Eng. 2022, 10, 108030. [Google Scholar] [CrossRef]
- Suhong, L.; Fan, W.; Chen, C.; Huang, F.; Li, K. Catalytic oxidation of formaldehyde over CeO2-Co3O4 catalysts. J. Rare Earths 2017, 35, 867–874. [Google Scholar]
- Pan, Y.; Li, N.; Li, K.; Ran, S.; Wu, C.; Zhou, Q.; Liu, J.; Li, S. Enhanced low-temperature behavior of selective catalytic reduction of NOx by CO on Fe-based catalyst with looping oxygen vacancy. Chem. Eng. J. 2023, 461, 141814. [Google Scholar] [CrossRef]
- Wang, L.; Cheng, X.; Wang, Z.; Ma, C.; Qin, Y. Investigation on Fe-Co binary metal oxides supported on activated semi-coke for NO reduction by CO. Appl. Catal. B Environ. 2017, 201, 636–651. [Google Scholar] [CrossRef]
- Han, Y.; Wen, B.; Zhu, M.; Dai, B. Lanthanum incorporated in MCM-41 and its application as a support for a stable Ni-based methanation catalyst. J. Rare Earths 2018, 36, 367–373. [Google Scholar] [CrossRef]
- Guo, M.; Liu, Q.; Liu, C.; Wang, X.; Bi, Y.; Fan, B.; Ma, D.; Liang, X.; Li, Z. Rational design of novel CrZrOx catalysts for efficient low temperature SCR of NOx. Chem. Eng. J. 2021, 413, 127554. [Google Scholar] [CrossRef]
- Chen, R.; Zhang, T.; Guo, Y.; Wang, J.; Wei, J.; Yu, Q. Recent advances in simultaneous removal of SO2 and NOx from exhaust gases: Removal process, mechanism and kinetics. Chem. Eng. J. 2021, 420, 127588. [Google Scholar] [CrossRef]
- Li, J.; Zhu, J.; Fu, S.; Tao, L.; Chu, B.; Qin, Q.; Wang, J.; Li, B.; Dong, L. Insight into copper-cerium catalysts with different Cu valence states for CO-SCR and in-situ DRIFTS study on reaction mechanism. Fuel 2023, 339, 126962. [Google Scholar] [CrossRef]
- Liu, Z.; Yu, F.; Dong, D.; Gui, R.; Li, W.; Sun, R.; Wan, Y.; Dan, J.; Wang, Q.; Dai, B. Transition-metal-doped ceria carried on two-dimensional vermiculite for selective catalytic reduction of NO with CO: Experiments and density functional theory. Appl. Surf. Sci. 2021, 566, 20–23. [Google Scholar] [CrossRef]
- Heck, R.M. Catalytic abatement of nitrogen oxides–stationary applications. Catal. Today 1999, 53, 519–523. [Google Scholar] [CrossRef]
- Niu, C.; Shi, X.; Liu, K.; You, Y.; Wang, S.; He, H. A novel one-pot synthesized CuCe-SAPO-34 catalyst with high NH3-SCR activity and H2O resistance. Catal. Commun. 2016, 81, 20–23. [Google Scholar] [CrossRef]
- Gui, R.; Yan, Q.; Xue, T.; Gao, Y.; Li, Y.; Zhu, T.; Wang, Q. The promoting/inhibiting effect of water vapor on the selective catalytic reduction of NOx. J. Hazard. Mater. 2022, 439, 129665. [Google Scholar] [CrossRef]
- Souza, M.S.; Martins, A.J.; Ribeiro, J.A.S.; Campos, A.; Oliveira, A.C.; Juca, R.F.; Saraiva, G.D.; Torres, M.A.M.; Rodriguez-Castellon, E.; Araujo, R.S. Selective Catalytic Reduction of NOx by CO over Cu (Fe)/SBA-15 Catalysts: Effects of the Metal Loading on the Catalytic Activity. Catalysts 2023, 13, 527. [Google Scholar] [CrossRef]













| Component | Content (%) | Component | Content (%) |
|---|---|---|---|
| SiO2 | 37.22 | Na2O | 3.37 |
| Al2O3 | 17.27 | K2O | 0.96 |
| Fe2O3 | 7.35 | TiO2 | 0.7 |
| CaO | 16.11 | SO3 | 9.92 |
| MgO | 6.66 | MnO2 | 0.058 |
| Catalyst Sample | Specific Area m2/g | Pore Volume cm3/g |
|---|---|---|
| Mn-Fe1:1 | 24.8229 | 0.083 |
| Mn-Ce1:1 | 25.8125 | 0.079 |
| Fe | 24.4014 | 0.081 |
| Mn | 26.9566 | 0.076 |
| Ce | 29.3274 | 0.085 |
| FA | 20.7536 | 0.066 |
Disclaimer/Publisher’s Note: The statements, opinions and data contained in all publications are solely those of the individual author(s) and contributor(s) and not of MDPI and/or the editor(s). MDPI and/or the editor(s) disclaim responsibility for any injury to people or property resulting from any ideas, methods, instructions or products referred to in the content. |
© 2023 by the authors. Licensee MDPI, Basel, Switzerland. This article is an open access article distributed under the terms and conditions of the Creative Commons Attribution (CC BY) license (https://creativecommons.org/licenses/by/4.0/).
Share and Cite
Xia, Z.; Zhang, R.; Duan, J.; Liu, Y.; Li, Z.; Gou, X. Performance of Mn-Ce-Fe/FA Catalysts on Selective Catalytic Reduction of NOX with CO under Different Atmospheres. Energies 2023, 16, 3859. https://doi.org/10.3390/en16093859
Xia Z, Zhang R, Duan J, Liu Y, Li Z, Gou X. Performance of Mn-Ce-Fe/FA Catalysts on Selective Catalytic Reduction of NOX with CO under Different Atmospheres. Energies. 2023; 16(9):3859. https://doi.org/10.3390/en16093859
Chicago/Turabian StyleXia, Zheng, Ruiping Zhang, Jixin Duan, Yanxing Liu, Zhengyuan Li, and Xiang Gou. 2023. "Performance of Mn-Ce-Fe/FA Catalysts on Selective Catalytic Reduction of NOX with CO under Different Atmospheres" Energies 16, no. 9: 3859. https://doi.org/10.3390/en16093859
APA StyleXia, Z., Zhang, R., Duan, J., Liu, Y., Li, Z., & Gou, X. (2023). Performance of Mn-Ce-Fe/FA Catalysts on Selective Catalytic Reduction of NOX with CO under Different Atmospheres. Energies, 16(9), 3859. https://doi.org/10.3390/en16093859
