Can Carbon Trading Promote Low-Carbon Transformation of High Energy Consumption Enterprises?—The Case of China
Abstract
1. Introduction
2. Methodology
2.1. Model Assumptions
2.2. Game Model Construction
3. System Stability Analysis
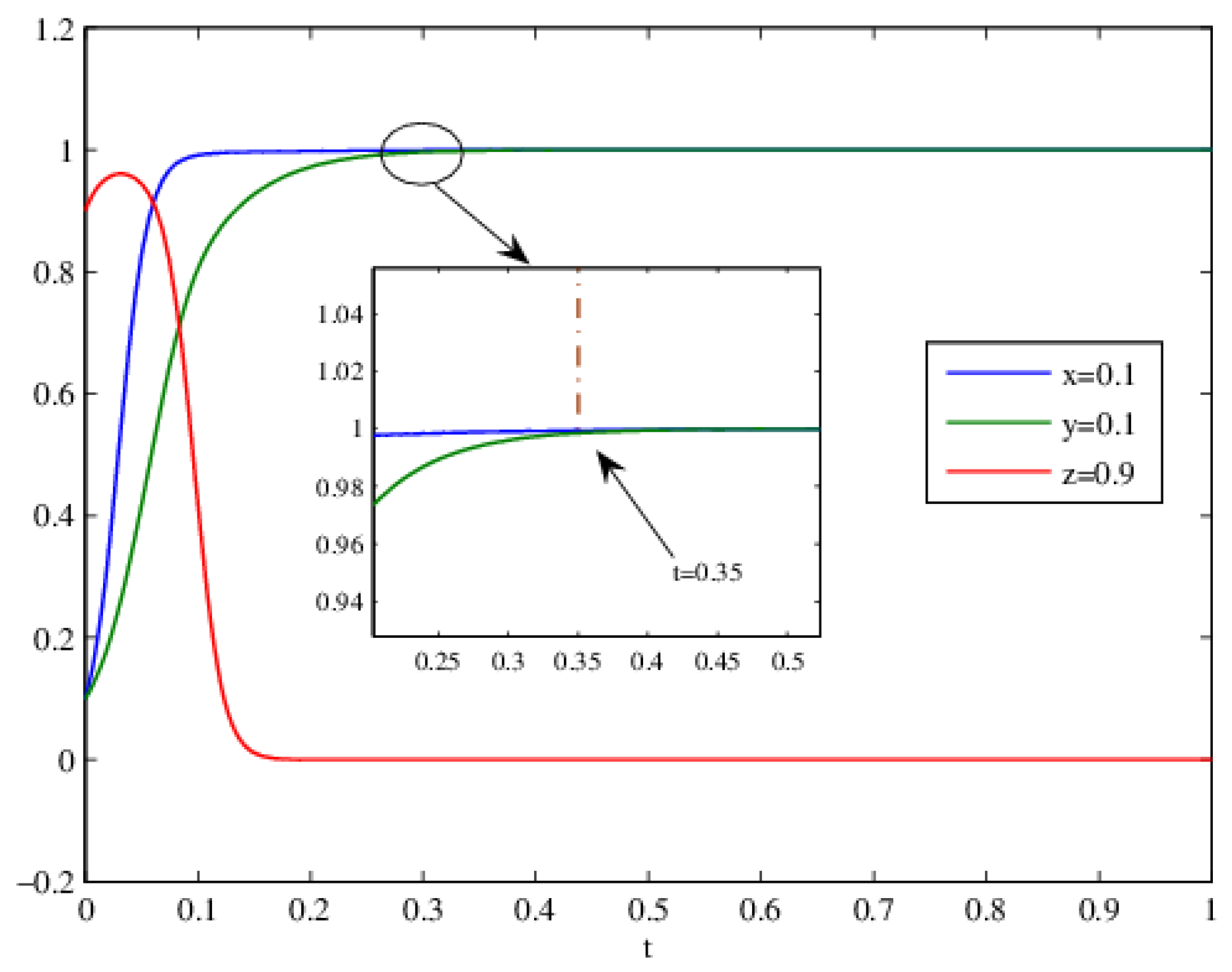
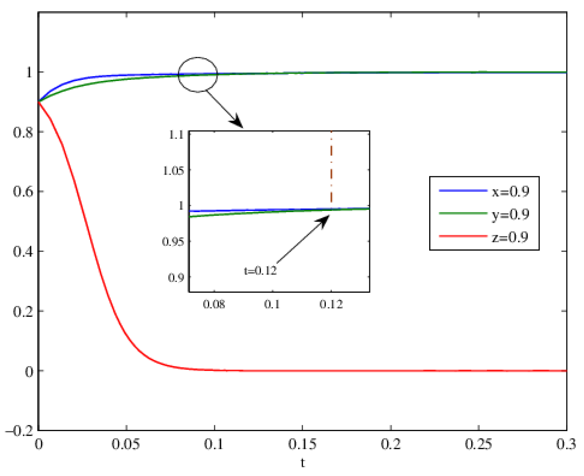
4. Scenario Analysis
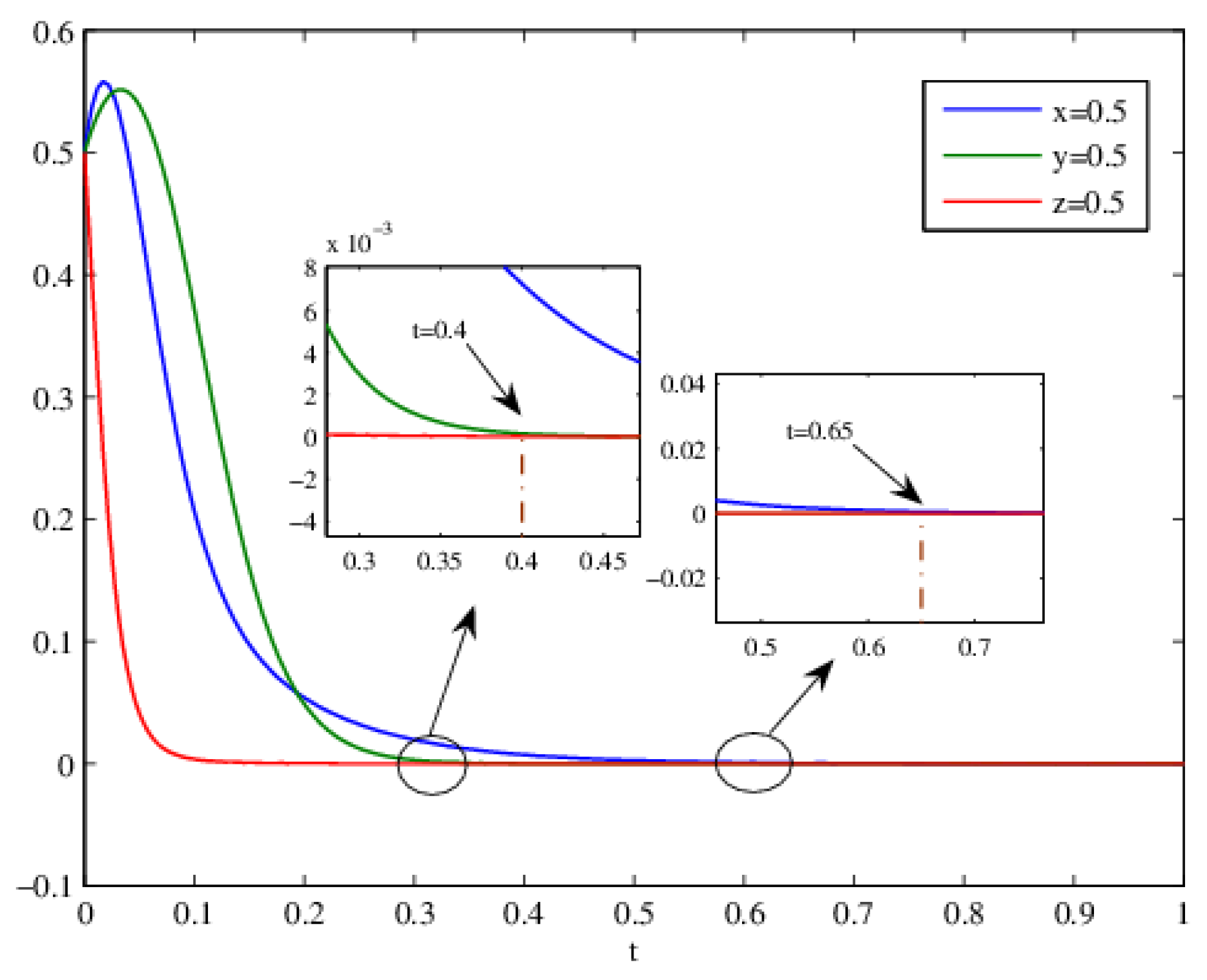
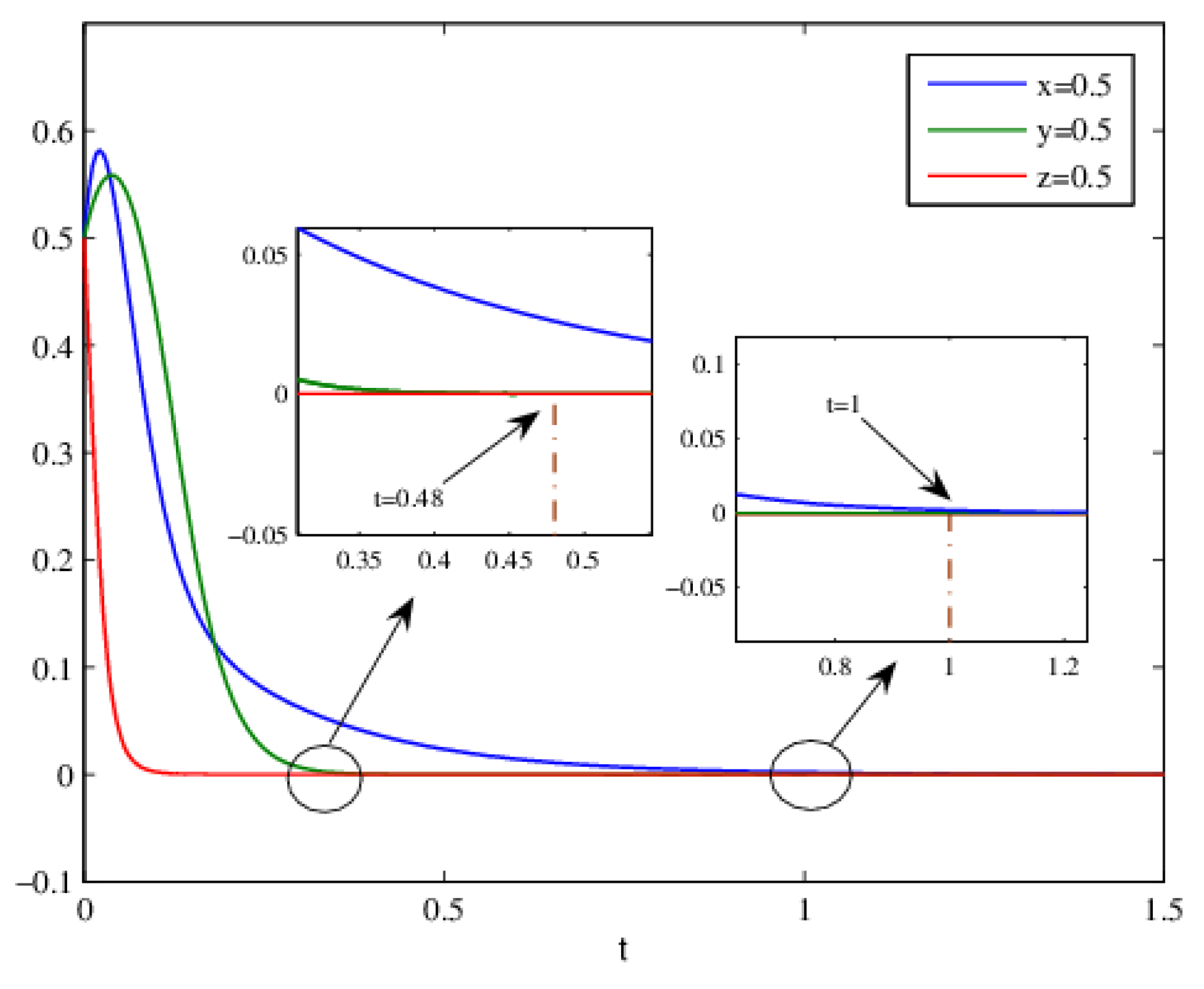
4.1. Tripartite Negative Strategies
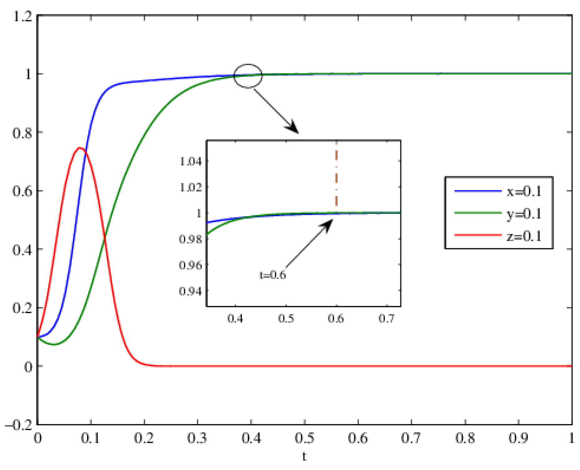
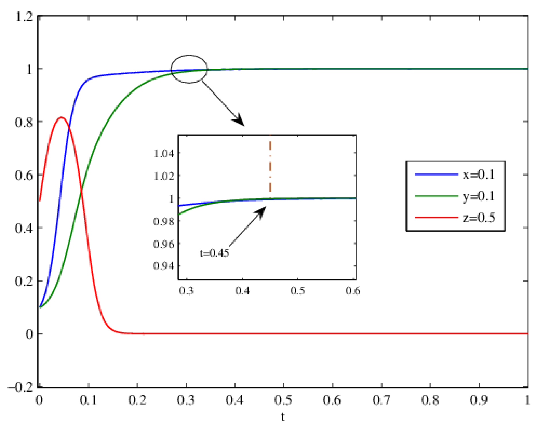
4.2. Situations of Active Strategies
5. Conclusions and Enlightenment
Author Contributions
Funding
Data Availability Statement
Conflicts of Interest
References
- Brown, P.T.; Caldeira, K. Greater future global warming inferred from Earth’s recent energy budget. Nature 2017, 552, 45–50. [Google Scholar] [CrossRef]
- Niamir, L.; Filatova, T.; Voinov, A.; Bressers, H. Transition to low-carbon economy: Assessing cumulative impacts of individual behavioral changes. Energy Policy 2018, 118, 325–345. [Google Scholar] [CrossRef]
- Zhu, B.; Tang, J.J.; Zhang, L. Exploring the drivers of carbon market risk: A meta regression analysis. J. Clean. Prod. 2022, 352, 131538. [Google Scholar] [CrossRef]
- Xie, R.; Fu, W.; Yao, S.L.; Zhang, Q. Effects of financial agglomeration on green total factor productivity in Chinese cities: Insights from an empirical spatial Durbin model. Energy Econ. 2021, 101, 105449. [Google Scholar] [CrossRef]
- Tian, G.L.; Yu, S.W.; Wu, Z.; Xia, Q. Study on the Emission Reduction Effect and Spatial Difference of Carbon Emission Trading Policy in China. Energies 2022, 15, 1921. [Google Scholar] [CrossRef]
- Dong, Z.; Xia, C.Y.; Fang, K.; Zhang, W.W. Effect of the carbon emissions trading policy on the co-benefits of carbon emissions reduction and air pollution control. Energy Policy 2022, 165, 112998. [Google Scholar] [CrossRef]
- Chen, J.N.; Abou-Elwafa, S.F.; Huang, M. Dynamic changes in the fossil energy use efficiency in crop production: A case study from Hunan province of China. J. Clean. Prod. 2022, 371, 133627. [Google Scholar] [CrossRef]
- Wang, B.; Wang, L.M.; Zhong, S.A.; Ning, X.; Qu, Q.S. Low-Carbon Transformation of Electric System against Power Shortage in China: Policy Optimization. Energies 2022, 15, 1574. [Google Scholar] [CrossRef]
- Liu, J.; Ding, X.; Song, X.Q.; Dong, T.; Zhao, A.W.; Tan, M. Research on the Spillover Effect of China’s Carbon Market from the Perspective of Regional Cooperation. Energies 2023, 16, 740. [Google Scholar] [CrossRef]
- Zhou, Y.; Shan, Y.; Liu, G.; Guan, D. Emissions and low-carbon development in Guangdong-Hong Kong-Macao Greater Bay Area cities and their surroundings. Appl. Energy 2018, 228, 1683–1692. [Google Scholar] [CrossRef]
- Duan, F.M.; Wang, Y.; Wang, Y.; Zhao, H. Estimation of marginal abatement costs of CO2 in chinese provinces under 2020 carbon emission rights allocation: 2005–2020. Environ. Sci. Pollut. Res. 2018, 25, 24445–24468. [Google Scholar] [CrossRef]
- Sun, C.; Ding, D.; Fang, X.; Zhang, H.; Li, J. How do fossil energy prices affect the stock prices of new energy companies? Evidence from Divisia energy price index in China’s market. Energy 2019, 169, 637–645. [Google Scholar] [CrossRef]
- Xian, Y.J.; Wang, K.; Wei, Y.M.; Huang, Z.M. Would China’s power industry benefit from nationwide carbon emission permit trading? An optimization model-based ex post analysis on abatement cost savings. Appl. Energy 2019, 235, 978–986. [Google Scholar] [CrossRef]
- Ouyang, X.; Mao, X.; Sun, C.; Du, K. Industrial energy efficiency and driving forces behind efficiency improvement: Evidence from the Pearl River Delta urban agglomeration in China. J. Clean. Prod. 2019, 220, 899–909. [Google Scholar] [CrossRef]
- Lin, X.G.; Jin, K.N.; Fu, W.H.; Lin, Q. Horizontal Mergers between Asymmetric Low-Carbon Manufacturers. J. Syst. Sci. Syst. Eng. 2022, 31, 619–647. [Google Scholar] [CrossRef]
- Hong, Z.T.; Peng, Z.; Zhang, L.M. Game analysis on the choice of emission trading among industrial enterprises driven by data. Energy 2022, 239, 122447. [Google Scholar] [CrossRef]
- Wu, X.F.; Zhao, S.J.; Shen, Y.; Hatef, M.; Chen, Y. A Combined Multi-Level Perspective and Agent-Based Modeling in Low-Carbon Transition Analysis. Energies 2020, 13, 5050. [Google Scholar] [CrossRef]
- Lou, Y.L.; Jayantha, L.M.; Shen, L.Y.; Liu, Z.; Shu, T.H. The application of low-carbon city (LCC) indicators—A comparison between academia and practice. Sustain. Cities Soc. 2019, 51, 101677. [Google Scholar] [CrossRef]
- Shari, B.E.; Moumouni, Y.; Momodu, A.S. Low Carbon Transition of Residential Electricity Consumption in Nigeria: A System Dynamics Modeling Approach. Int. J. Energy Power Eng. 2020, 9, 11–21. [Google Scholar] [CrossRef]
- Li, Y.Q.; Yang, W.G.; Tian, L.X.; Yang, J. An Evaluation of Investment in a PV Power Generation Project in the Gobi Desert Using a Real Options Model. Energies 2018, 11, 257. [Google Scholar] [CrossRef]
- Yin, Y.; Jiang, Z.; Liu, Y.; Yu, Z. Factors Affecting Carbon Emission Trading Price: Evidence from China. Emerg. Mark. Financ. Trade 2019, 55, 3433–3451. [Google Scholar] [CrossRef]
- Wang, H.; Li, Y.; Bu, G. How carbon trading policy should be integrated with carbon tax policy—Laboratory evidence from a model of the current state of carbon pricing policy in China. Environ. Sci. Pollut. Res. 2023, 30, 23851–23869. [Google Scholar] [CrossRef] [PubMed]
- Feng, Y.; Qu, J.; Zhu, Y.; Wu, B.; Wu, Y.; Xiao, Z.; Liu, J. Progress and prospect of the novel integrated SOFC-ICE hybrid power system: System design, mass and heat integration, system optimization and techno-economic analysis. Energy Convers. Manag. X 2023, 18, 100350. [Google Scholar] [CrossRef]
- Li, M.; Liu, Y.Q.; Yue, W.Z. Evolutionary Game of Actors in China’s Electric Vehicle Charging Infrastructure Industry. Energies 2022, 15, 8806. [Google Scholar] [CrossRef]
- Zhang, W.B.; Niu, X.L.; Zhang, G.Y.; Tian, L.X. Dynamic Rebalancing of the Free-Floating Bike-Sharing System. Sustainability 2022, 14, 13521. [Google Scholar] [CrossRef]
- Lee, H.S.; Venkata, M.S. Low-Carbon Circular Bioeconomy: Opportunities and Challenges. Bioresour. Technol. 2022, 365, 128122. [Google Scholar] [CrossRef]
- Zhou, Y.; Lv, S.; Wang, J.; Tong, J.; Fang, Z. The Impact of Green Taxes on the Carbon Emission Efficiency of China’s Construction Industry. Sustainability 2022, 14, 5402. [Google Scholar] [CrossRef]
- Song, Y.; Wei, Y.; Zhu, J.; Liu, J.; Zhang, M. Environmental regulation and economic growth: A new perspective based on technical level and healthy human capital. J. Clean. Prod. 2021, 318, 128520. [Google Scholar] [CrossRef]
- Friedman, D. Evolutionary Game in Economics. Econometrica 1991, 9, 637–666. [Google Scholar] [CrossRef]
- Friedman, D. On economic applications of evolutionary game theory. J. Evol. Econ. 1998, 8, 15–43. [Google Scholar] [CrossRef]
- Lăzăroiu, G.; Androniceanu, A.; Grecu, I.; Grecu, G.; Neguriță, O. Artificial Intelligence-based Decision-Making Algorithms, Internet of Things Sensing Networks, and Sustainable Cyber-Physical Management Systems in Big Data-driven Cognitive Manufacturing. Oeconomia Copernic. 2022, 13, 1045–1078. [Google Scholar] [CrossRef]
- Lăzăroiu, G.; Andronie, M.; Iatagan, M.; Geamănu, M.; Ștefănescu, R.; Dijmărescu, I. Deep Learning-Assisted Smart Process Planning, Robotic Wireless Sensor Networks, and Geospatial Big Data Management Algorithms in the Internet of Manufacturing Things. ISPRS Int. J. Geo-Inf. 2022, 11, 277. [Google Scholar] [CrossRef]
- Qin, Y.B.; Wang, Y.P. Research on Ecological Compensation Mechanism for Energy Economy Sustainable Based on Evolutionary Game Model. Energies 2022, 15, 2895. [Google Scholar] [CrossRef]
- Liu, C.Y.; Song, Y.D.; Wang, W.; Shi, X.P. The governance of manufacturers’ greenwashing behaviors: A tripartite evolutionary game analysis of electric vehicles. Appl. Energy 2023, 333, 120498. [Google Scholar] [CrossRef]
- Meng, L.P.; Liu, K.M.; He, J.L.; Han, C.F.; Liu, P.H. Carbon emission reduction behavior strategies in the shipping industry under government regulation: A tripartite evolutionary game analysis. J. Clean. Prod. 2022, 378, 134556. [Google Scholar] [CrossRef]
- Zhu, B.; Ye, S.; Wang, P.; Chevallier, J.; Wei, Y. Forecasting carbon price using a multi-objective least squares support vector machine with mixture kernels. J. Forecast. 2022, 41, 100–117. [Google Scholar] [CrossRef]
- Sun, C.W.; Chen, L.T.; Tian, Y. Study on the Urban State Carrying Capacity for Unbalanced Sustainable Development Regions: Evidence from the Yangtze River Economic Belt. Ecol. Indic. 2018, 89, 150–158. [Google Scholar] [CrossRef]
- Cui, F.; Han, C.F.; Liu, P.H.; Teng, M.M. Green Credit of China’s Coal Power Enterprises during Green Transformation: A Tripartite Evolutionary Game Analysis. Energies 2022, 15, 5911. [Google Scholar] [CrossRef]
- Pop, R.A.; Dabija, D.C.; Pelău, C.; Dinu, V. Usage Intentions, Attitudes, and Behaviors towards Energy-Efficient Applications during the COVID-19 Pandemic. J. Bus. Econ. Manag. 2022, 23, 668–689. [Google Scholar] [CrossRef]
- Zhu, B.; Xu, C.; Wang, P.; Zhang, L. How does internal carbon pricing affect corporate environmental performance? J. Bus. Res. 2022, 145, 65–77. [Google Scholar] [CrossRef]









| Verification Agency | |||
|---|---|---|---|
| Verification (y) | No Verification (1 − y) | ||
| enterprise | low-carbon transformation (x) | ||
| maintain the status quo (1 − x) | |||
| Verification Agency | |||
|---|---|---|---|
| Verification (y) | No Verification (1 − y) | ||
| enterprise | low-carbon transformation (x) | ||
| maintain the status quo (1 − x) | |||
| Equilibrium Point | Eigenvalue | Stability |
|---|---|---|
| When < , , , it is a stable point | ||
| > 0 | unstable point | |
| unstable point | ||
| > 0 | ||
| > 0 | unstable point | |
| unstable point | ||
| > 0 | ||
| unstable point | ||
| > 0 | ||
| When ,, it is a stable point | ||
| unstable point | ||
| > 0 |
Disclaimer/Publisher’s Note: The statements, opinions and data contained in all publications are solely those of the individual author(s) and contributor(s) and not of MDPI and/or the editor(s). MDPI and/or the editor(s) disclaim responsibility for any injury to people or property resulting from any ideas, methods, instructions or products referred to in the content. |
© 2023 by the authors. Licensee MDPI, Basel, Switzerland. This article is an open access article distributed under the terms and conditions of the Creative Commons Attribution (CC BY) license (https://creativecommons.org/licenses/by/4.0/).
Share and Cite
Chen, P.; He, Y.; Yue, K.; Fang, G. Can Carbon Trading Promote Low-Carbon Transformation of High Energy Consumption Enterprises?—The Case of China. Energies 2023, 16, 3438. https://doi.org/10.3390/en16083438
Chen P, He Y, Yue K, Fang G. Can Carbon Trading Promote Low-Carbon Transformation of High Energy Consumption Enterprises?—The Case of China. Energies. 2023; 16(8):3438. https://doi.org/10.3390/en16083438
Chicago/Turabian StyleChen, Peishu, Yu He, Kai Yue, and Guochang Fang. 2023. "Can Carbon Trading Promote Low-Carbon Transformation of High Energy Consumption Enterprises?—The Case of China" Energies 16, no. 8: 3438. https://doi.org/10.3390/en16083438
APA StyleChen, P., He, Y., Yue, K., & Fang, G. (2023). Can Carbon Trading Promote Low-Carbon Transformation of High Energy Consumption Enterprises?—The Case of China. Energies, 16(8), 3438. https://doi.org/10.3390/en16083438
