Optimization of the Thermal Environment of Large-Scale Open Space with Subzone-Based Temperature Setting Using BEM and CFD Coupling Simulation
Abstract
1. Introduction
2. Methodology
2.1. Subzone-Based Temperature Setpoint Setting Method
2.2. BEM-CFD Coupled Simulation
3. Simulation Case Study
3.1. Physical Modeling of the Cruise Ship
3.2. EnergyPlus Modeling
3.3. CFD Modeling
3.3.1. Meshing Scheme
3.3.2. Numerical Process
3.3.3. Boundary Conditions
4. Results and Discussion
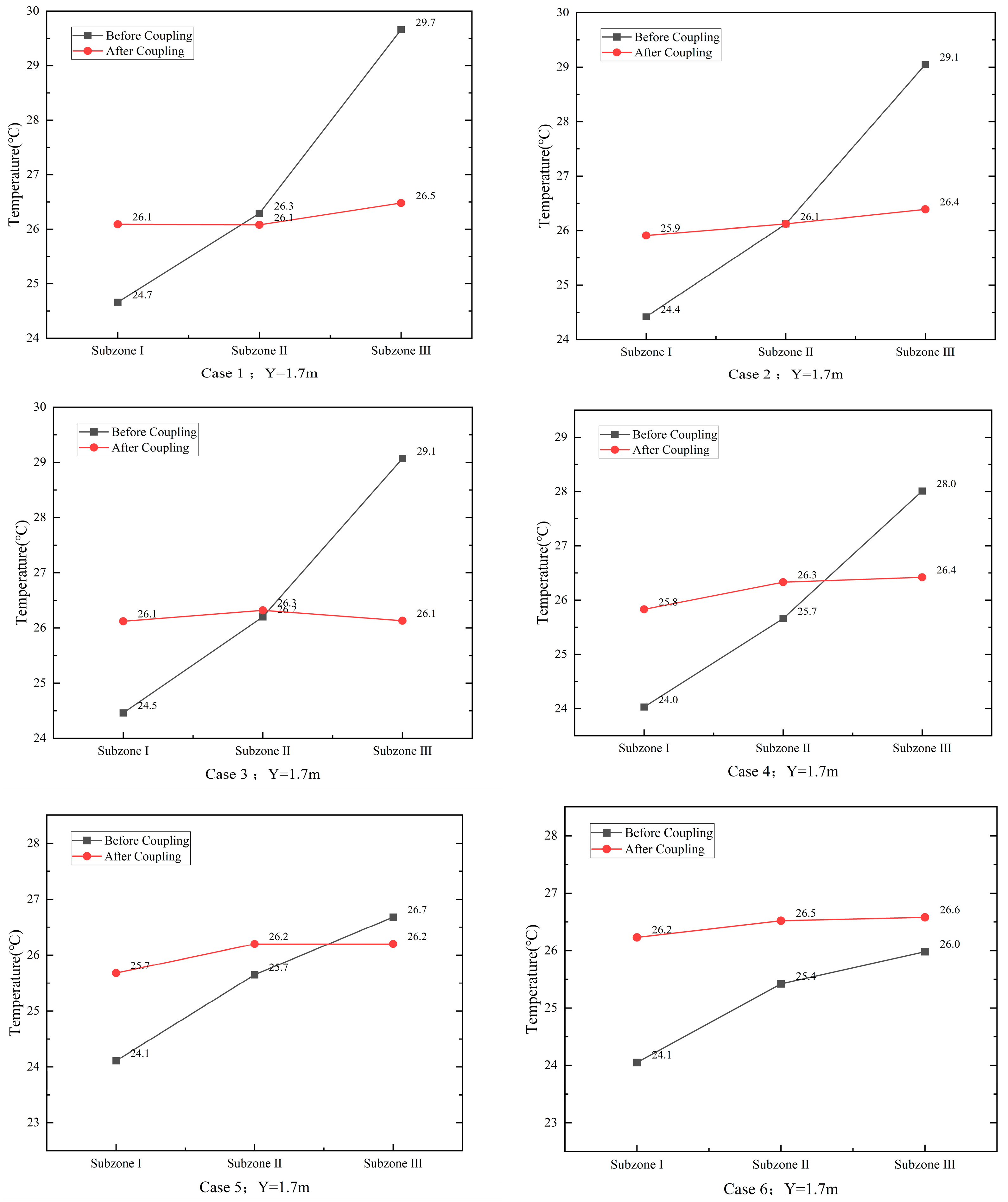
4.1. Temperature Comparison in the Subzones before and after Coupling Simulations
4.2. Mass Exchange Rate between Subzones
4.3. Analysis of Energy Consumption of HVAC Systems Considering Airflow Information
4.4. Verification of the Accuracy of the Coupled Simulation
5. Discussion
6. Conclusions
- Coupling simulation of EnergyPlus and Fluent can effectively solve the problem of uneven indoor temperature distribution in a large-space environment. By optimizing the indoor environment with the subzone-based temperature setpoint scheme, the temperature differences between the average temperature of the three subzones and the subzone-based thermostat range are within 1 °C, ranging from 0.4 °C to 0.7 °C.
- The temperature setting of the zone air conditioner is affected by two factors: the overall occupancy rate and the subzone occupancy rate. When the overall occupancy rate decreases by 0.37, the set temperature of the air conditioner in the large space increases by 0.5 °C. When the overall occupancy rate decreases by a certain value between 0.25 and 0.5, the set temperature of the air conditioner in the zone increases by 0.5 °C.
- With a decline in the occupancy rate of Subzone III, the direction of mass transmission from Subzone III to Subzone I changes to mass transmission from Subzone I to Subzone III. Changes occur when the occupancy rate of Subzone III is between 0.5 and 0.6. The change is possibly caused by the reduction in temperature differences between subzones and the decrease in supply air volumes in Subzone III, with declining occupancy rates.
- For large open spaces such as cruise public spaces, whether or not to consider the effects of zoning influences the size of the energy consumption simulation results. The direction of mass transfer and the temperature setpoint of the zone air conditioner, among other parameters, affect the simulation results.
- For the direction of mass transmission from the area with a low temperature setting value of the air conditioner to the area with a high-temperature set value, the energy consumption simulation result is less than the energy consumption simulation result without considering the mutual influence between partitions, and vice versa. To accurately reflect indoor energy consumption, the impact of the indoor environment on energy consumption should be considered in energy consumption simulations, and this rule may provide guidance for improving the accuracy of energy consumption estimates.
Author Contributions
Funding
Data Availability Statement
Conflicts of Interest
References
- Cehlin, M.; Karimipanah, T.; Larsson, U.; Ameen, A. Comparing thermal comfort and air quality performance of two active chilled beam systems in an open-plan office. J. Build. Eng. 2019, 22, 56–65. [Google Scholar] [CrossRef]
- Foucquier, A.; Robert, S.; Suard, F.; Stéphan, L.; Jay, A. State of the art in building modelling and energy performances prediction: A review. Renew. Sustain. Energy Rev. 2013, 23, 272–288. [Google Scholar] [CrossRef]
- Pérez-Lombard, L.; Ortiz, J.; Pout, C. A review on buildings energy consumption information. Energy Build. 2008, 40, 394–398. [Google Scholar] [CrossRef]
- Xie, D.; Li, K. Comprehensive Evaluation of Thermal Comfort in Ship Cabins: A Case Study of Ships in Yangtze River Basin, China. Buildings 2022, 12, 1766. [Google Scholar] [CrossRef]
- Zhou, P.; Huang, G.; Zhang, L.; Tsang, K.-F. Wireless sensor network based monitoring system for a large-scale indoor space: Data process and supply air allocation optimization. Energy Build. 2015, 103, 365–374. [Google Scholar] [CrossRef]
- Palella, B.I.; Quaranta, F.; Riccio, G. On the management and prevention of heat stress for crews onboard ships. Ocean Eng. 2016, 112, 277–286. [Google Scholar] [CrossRef]
- Kong, M.; Zhang, J.; Wang, J. Air and air contaminant flows in office cubicles with and without personal ventilation: A CFD modeling and simulation study. Build. Simul. 2015, 8, 381–392. [Google Scholar] [CrossRef]
- Oliveira, C.; Baptista, J.; Cerveira, A. Self-Sustainability Assessment for a High Building Based on Linear Programming and Computational Fluid Dynamics. Algorithms 2023, 16, 107. [Google Scholar] [CrossRef]
- Si, C.; Qi, F.; Ding, X.; He, F.; Gao, Z.; Feng, Q.; Zheng, L. CFD Analysis of Solar Greenhouse Thermal and Humidity Environment Considering Soil–Crop–Back Wall Interactions. Energies 2023, 16, 2305. [Google Scholar] [CrossRef]
- Sun, Z.; Wang, S. A CFD-based test method for control of indoor environment and space ventilation. Build. Environ. 2010, 45, 1441–1447. [Google Scholar] [CrossRef]
- Chen, Q. Ventilation performance prediction for buildings: A method overview and recent applications. Build. Environ. 2009, 44, 848–858. [Google Scholar] [CrossRef]
- Fletcher, C.A.J.; Mayer, I.F.; Eghlimi, A.; Wee, K.H.A. Cfd as a building services engineering tool. CANCES, University of New South Wales; CFD Research (S) Pte Ltd, Science Park II. Int. J. Archit. Sci. 2001, 2, 67–82. [Google Scholar]
- Tsou, J. Strategy on applying computational fluid dynamic for building performance evaluation. Autom. Constr. 2001, 10, 327–335. [Google Scholar] [CrossRef]
- Dahanayake, K.C.; Chow, C.L. Comparing reduction of building cooling load through green roofs and green walls by EnergyPlus simulations. Build. Simul. 2017, 11, 421–434. [Google Scholar] [CrossRef]
- Alghoul, S.K. A Comparative Study of Energy Consumption for Residential HVAC Systems Using EnergyPlus. Am. J. Mech. Ind. Eng. 2017, 2, 98–103. [Google Scholar] [CrossRef]
- Yu, T.; Heiselberg, P.; Lei, B.; Pomianowski, M. Validation and modification of modeling thermally activated building systems (TABS) using EnergyPlus. Build. Simul. 2014, 7, 615–627. [Google Scholar] [CrossRef]
- Zhang, K.; Blum, D.; Cheng, H.; Paliaga, G.; Wetter, M.; Granderson, J. Estimating ASHRAE Guideline 36 energy savings for multi-zone variable air volume systems using Spawn of EnergyPlus. J. Build. Perform. Simul. 2022, 15, 215–236. [Google Scholar] [CrossRef]
- Crawley, D.B.; Lawrie, L.K.; Pedersen, C.O.; Winkelmann, F.C. EnergyPlus: Energy simulation program. ASHRAE J. 2000, 42, 49–56. [Google Scholar]
- Clarke, J.A. Energy simulation in building design: By J. A. Clarke; published by Adam Hilger Ltd, Techno House, Redcliffe Way, Bristol BS1 6NX, England; price: £36/$49; pp. 388; ISBN 0-85274-786-1, distributed in North America by Adam Hilger Ltd., P.O. Box 230, Accord, MA 02018, U.S.A., June 1985. Energy Build. 1986, 9, 263–266. [Google Scholar]
- Clarke, J.A. The Implementation of a Computational Fluid Dynamics Algorithm within the ESP-r System; University of Strathclyde: Glasgow, Scotland, 2008. [Google Scholar]
- Moser, A.; Off, F.; Schaelin, A.; Yuan, X. Numerical Modeling of Heat Transfer by Radiation and Convection in an Atrium with Thermal Inertia. In 36th Hemophilia Symposium Hamburg 2005; Springer: Berlin/Heidelberg, Germany, 2007. [Google Scholar]
- Chen, Q.; Peng, X.; van Paassen, A.H.C. Prediction of Room Thermal Response by CFD Technique with Conjugate Heat Transfer and Radiation Models. In Proceedings of the 1995 ASHRAE Annual Meeting, San Diego, CA, USA, 24–28 June 1995; p. 11. [Google Scholar]
- Mccormick, S.F. Multigrid Methods: Theory, Applications, and Supercomputing; CRC Press: Boca Raton, FL, USA, 1988; p. 2020. [Google Scholar]
- Zhai, Z.; Chen, Q.; Haves, P.; Klems, J.H. On approaches to couple energy simulation and computational fluid dynamics programs. Build. Environ. 2002, 37, 857–864. [Google Scholar] [CrossRef]
- Negrão, C.O.R. Integration of computational fluid dynamics with building thermal and mass flow simulation. Energy Build. 1998, 27, 155–165. [Google Scholar] [CrossRef]
- Gijón-Rivera, M.; Xamán, J.; Álvarez, G.; Serrano-Arellano, J. Coupling CFD-BES Simulation of a glazed office with different types of windows in Mexico City. Build. Environ. 2013, 68, 22–34. [Google Scholar] [CrossRef]
- Du, Z.; Xu, P.; Jin, X.; Liu, Q. Temperature sensor placement optimization for VAV control using CFD–BES co-simulation strategy. Build. Environ. 2015, 85, 104–113. [Google Scholar] [CrossRef]
- Tian, W.; Zuo, W. Literature Review and Research Needs to Couple Building Energy and Airflow Simulation. In Proceedings of the APEC Conference on Low-Carbon Towns and Physical Energy Storage, Changsha, China, 25–26 May 2013. [Google Scholar]
- Djunaedy, E.; Hensen, J.L.M.; Loomans, M.G.L.C. Toward External Coupling of Building Energy and Airflow Modeling Programs. ASHRAE Trans. 2003, 109, 771–787. [Google Scholar]
- Manz, H.; Frank, T. Thermal simulation of buildings with double-skin facades. Energy Build. 2005, 37, 1114–1121. [Google Scholar] [CrossRef]
- Hien, W.N.; Liping, W.; Chandra, A.N.; Pandey, A.R.; Xiaolin, W. Effects of double glazed facade on energy consumption, thermal comfort and condensation for a typical office building in Singapore. Energy Build. 2005, 37, 563–572. [Google Scholar] [CrossRef]
- Yamamoto, T.; Ozaki, A.; Lee, M.; Kusumoto, H. Fundamental study of coupling methods between energy simulation and CFD. Energy Build. 2018, 159, 587–599. [Google Scholar] [CrossRef]
- Barbason, M.; Reiter, S. Coupling building energy simulation and computational fluid dynamics: Application to a two-storey house in a temperate climate. Build. Environ. 2014, 75, 30–39. [Google Scholar] [CrossRef]
- Zhang, R.; Mirzaei, P.A.; Jones, B. Development of a dynamic external CFD and BES coupling framework for application of urban neighbourhoods energy modelling. Build. Environ. 2018, 146, 37–49. [Google Scholar] [CrossRef]
- Allegrini, J.; Carmeliet, J. Simulations of local heat islands in Zürich with coupled CFD and building energy models. Urban Clim. 2018, 24, 340–359. [Google Scholar] [CrossRef]
- Ascione, F.; Bellia, L.; Capozzoli, A. A coupled numerical approach on museum air conditioning: Energy and fluid-dynamic analysis. Appl. Energy 2013, 103, 416–427. [Google Scholar] [CrossRef]
- Tian, W.; Han, X.; Zuo, W.; Sohn, M.D. Building energy simulation coupled with CFD for indoor environment: A critical review and recent applications. Energy Build. 2018, 165, 184–199. [Google Scholar] [CrossRef]
- Fan, Y.; Ito, K. Energy consumption analysis intended for real office space with energy recovery ventilator by integrating BES and CFD approaches. Build. Environ. 2012, 52, 57–67. [Google Scholar] [CrossRef]
- Shan, X.; Luo, N.; Sun, K.; Hong, T.; Lee, Y.-K.; Lu, W.-Z. Coupling CFD and building energy modelling to optimize the operation of a large open office space for occupant comfort. Sustain. Cities Soc. 2020, 60, 102257. [Google Scholar] [CrossRef]
- Zhang, R.; Mirzaei, P.A.; Jones, B.M. Dynamic simulation of cross-ventilated buildings with night-flush cooling in neighbourhood environment using integrated CFD-CFD-BES strategy. IOP Conf. Ser. Mater. Sci. Eng. 2019, 609, 072023. [Google Scholar] [CrossRef]
- Zhang, R.; Mirzaei, P.A. Fast and dynamic neighbourhood energy simulation using CFDf-CFDc-BES coupling method. Sustain. Cities Soc. 2020, 66, 102545. [Google Scholar] [CrossRef]
- Fabrizio, A.; Francesca, D.M.R.; Margherita, M.; Peter, V.G. The design of safe classrooms of educational buildings for facing contagions and transmission of diseases: A novel approach combining audits, calibrated energy models, building performance (BPS) and computational fluid dynamic (CFD) simulations. Energy Build. 2021, 230, 110533. [Google Scholar]
- Martin, P. CFD in the real world: HVAC&R applications; software and hardware; creating a CFD model; reducing project costs. ASHRAE J. 1999, 41, 20. [Google Scholar]
- Djunaedy, E. Selecting an appropriate tool for airflow simulation in buildings. Build. Serv. Eng. Res. Technol. 2004, 25, 269–278. [Google Scholar] [CrossRef]
- Djunaedy, E.; Hensen, J.L.M.; Loomans, M.G.L.C. External Coupling between CFD and Energy Simulation: Implementation and Validation. ASHRAE Trans. 2005, 111, 612–624. [Google Scholar]
- D’Ambrosio Alfano, F.R.; Olesen, B.W.; Pepe, D.; Palella, B.I. Working with Different Building Energy Performance Tools: From Input Data to Energy and Indoor Temperature Predictions. Energies 2023, 16, 743. [Google Scholar] [CrossRef]
- Rohdin, P.; Moshfegh, B. Numerical predictions of indoor climate in large industrial premises. A comparison between different k-ε models supported by field measurements. Build. Environ. 2007, 42, 3872–3882. [Google Scholar] [CrossRef]
















| Case No. | 1 | 2 | 3 | 4 | 5 | 6 |
|---|---|---|---|---|---|---|
| Number of people | 135 | 101 | 84 | 66 | 48 | 36 |
| Occupancy rates | 1 | 0.75 | 0.6 | 0.5 | 0.35 | 0.25 |
| Overall occupancy rate | 1 | 0.87 | 0.81 | 0.74 | 0.67 | 0.63 |
| Type | Subzone I | Subzone II | Subzone III |
|---|---|---|---|
| Dimension | 22.05 m × 10 m | 13.45 m × 10 m | 14.5 m × 10 m |
| Occupants | 70 × 100 W | 60 × 100 W | n × 216 W |
| HVAC system | FCU | FCU | FCU |
| Ventilation system | 0.00944 m3/s·per | 0.00944 m3/s·per | 0.00944 m3/s·per |
| Case No. | Thermostats of Different Subzones (°C) | ||
|---|---|---|---|
| Subzone I | Subzone II | Subzone III | |
| 1 | 27 | 27 | 24.5 |
| 2 | 27 | 26 | 24.5 |
| 3 | 27 | 26.5 | 24.5 |
| 4 | 27 | 26 | 25 |
| 5 | 27 | 26 | 25.5 |
| 6 | 27.5 | 26 | 26 |
| Name | Conditions |
|---|---|
| Models | Standard k-ε model |
| Methods | SIMPLE |
| Momentum | Second Order Upwind |
| Residual | continuity, momentum, turbulent flow energy, and turbulence dissipation rate are residuals < 1 × 10−3 energy < 1 × 10−6 (or the mass and energy errors of the entire system are less than 0.2%) |
| Name | Case No. | |||||
|---|---|---|---|---|---|---|
| 1 | 2 | 3 | 4 | 5 | 6 | |
| FCU-1 (each inlet) (m3/s) | 0.104 | 0.117 | 0.118 | 0.117 | 0.118 | 0.119 |
| FCU-2 (each inlet) (m3/s) | 0.243 | 0.242 | 0.215 | 0.243 | 0.217 | 0.193 |
| FCU-3 (each inlet) (m3/s) | 0.042 | 0.091 | 0.128 | 0.151 | 0.179 | 0.2 |
| Fresh air inlets (m3/s) | 1.56 | 1.85 | 2.02 | 2.181 | 2.36 | 2.502 |
| Occupants | 0.5 m × 1.75 m × 1.3 m | Heat flux rate: 52.631 W/m2 | ||||
| (Double seating) | ||||||
| Occupants | 0.5 m × 2.5 m × 1.3 m | Heat flux rate: 51.724 W/m2 | ||||
| (Three-seater) | ||||||
| Occupants | 0.5 m × 9 m × 1.3 m | Heat flux rate: 51.370 W/m2 | ||||
| (Round-table seating) | ||||||
| Occupants | 0.3 m × 0.5 m × 1.8 m | Heat flux rate: 71.260 W/m2 | ||||
| Entertainment) | ||||||
| Walls and Windows | Inside face temperature output from EnergyPlus | |||||
Disclaimer/Publisher’s Note: The statements, opinions and data contained in all publications are solely those of the individual author(s) and contributor(s) and not of MDPI and/or the editor(s). MDPI and/or the editor(s) disclaim responsibility for any injury to people or property resulting from any ideas, methods, instructions or products referred to in the content. |
© 2023 by the authors. Licensee MDPI, Basel, Switzerland. This article is an open access article distributed under the terms and conditions of the Creative Commons Attribution (CC BY) license (https://creativecommons.org/licenses/by/4.0/).
Share and Cite
Zhang, Q.; Deng, Q.; Shan, X.; Kang, X.; Ren, Z. Optimization of the Thermal Environment of Large-Scale Open Space with Subzone-Based Temperature Setting Using BEM and CFD Coupling Simulation. Energies 2023, 16, 3214. https://doi.org/10.3390/en16073214
Zhang Q, Deng Q, Shan X, Kang X, Ren Z. Optimization of the Thermal Environment of Large-Scale Open Space with Subzone-Based Temperature Setting Using BEM and CFD Coupling Simulation. Energies. 2023; 16(7):3214. https://doi.org/10.3390/en16073214
Chicago/Turabian StyleZhang, Qihang, Qinli Deng, Xiaofang Shan, Xin Kang, and Zhigang Ren. 2023. "Optimization of the Thermal Environment of Large-Scale Open Space with Subzone-Based Temperature Setting Using BEM and CFD Coupling Simulation" Energies 16, no. 7: 3214. https://doi.org/10.3390/en16073214
APA StyleZhang, Q., Deng, Q., Shan, X., Kang, X., & Ren, Z. (2023). Optimization of the Thermal Environment of Large-Scale Open Space with Subzone-Based Temperature Setting Using BEM and CFD Coupling Simulation. Energies, 16(7), 3214. https://doi.org/10.3390/en16073214

