Abstract
Based on the key module-lifting arm system, based on the principle of similarity and the hydrodynamic experimental method of a multi-dimension vibration test platform, an experimental platform for dismantling equipment is designed and built. Subsequently, the motion control model of the six-degrees-of-freedom platform is established. The three-ring control model of a servo electric cylinder is established, and the active heave compensation control of a servo electric cylinder is realized by combining position control theory. Based on the co-simulation of ADAMS and Simulink, the co-simulation system of the integrated dismantling equipment experimental platform is designed and built, and the simulation system is tested and verified. Finally, simulation and experimental verification are carried out based on the experimental platform and co-simulation system. The results show that the heave compensation rate reaches 58.3% in third-class sea conditions, 61.2% in fourth-class sea conditions, and 62.4% in fifth-class sea conditions. The integrated dismantling scheme of super large offshore oilfield facilities is feasible but, in order to ensure the safety and reliability of the operation, a heave compensation system needs to be added. The error between the simulation results and the experimental results is about 15%. Based on the analysis of external interference factors in the experiment, the error results are within a reasonable range, which proves that the experimental platform, the co-simulation system of the experimental platform, and the heave compensation strategy are accurate and effective. This study, for the first time in China, provides an effective experimental platform and co-simulation platform for the design and optimization of the integrated dismantling equipment of super large offshore oilfield facilities and lays a good research foundation for the construction and engineering demonstration of subsequent equipment.
1. Introduction
Due to the long-term exploitation of offshore oil and gas, there are many oil and gas fields that cannot meet the production capacity requirements, causing great potential harm to the marine environment, national defense, maritime traffic, and fishery resources, etc. Countries around the world have formulated relevant laws and regulations, and dismantled abandoned platforms and shafts, offshore pipelines and cables, and other offshore oil and gas facilities [1] to realize permanent well-sealing. As offshore operation is greatly affected by wind, waves, and currents, it is easy to roll or damage and fracture the lifting arm under statically indeterminate conditions in the operation process, which brings great safety risks to dismantling operations. Since it is impossible to carry out real ship experiments for the integrated dismantling of ultra-large offshore oilfield facilities, it is urgent to carry out experimental research [2] on the model of the integrated dismantling equipment of ultra-large offshore oilfield facilities, so as to provide a reliable and accurate research platform for the subsequent development of the equipment.
At present, domestic and foreign research on various types of large offshore equipment provides a strong reference for this paper.
There are many research works concerning the assembly and disassembly of large marine equipment. The important problems involved in the disassembly of marine equipment include heave compensation, proportional integral differential (PID) algorithms, automatic simulation, and so on. The current heave compensation system can be generally divided into passive and active [3,4]. The former has a simple structure and poor compensation accuracy, while the latter has a complex structure, high energy consumption, and a good compensation accuracy. Zhou et al. [5] conducted a study on the winch-type heave compensation simulation test bench. Zhan et al. [6] conducted nonlinear modeling and simulation for the semi-active heave compensation system. Yuan [7] studied the active heave compensation model control with a hydraulic drive. In order to better simulate the real sea wave conditions, Wang et al. [8] designed and studied the heave compensation system experimental platform. Duan [9] analyzed and studied the active heave compensation and anti-swing control system of marine hoisting. Most of the above scholars’ research on heave compensation systems involve mechanical innovations. Some scholars are committed to the research of heave compensation algorithms, especially fuzzy PID algorithms. Li et al. [10] adopted a fuzzy PID algorithm to study the anti-roll of a bridge crane. Tong et al. [11] analyzed and studied the ship–shore grid-connection system by using the fuzzy internal model double loop control algorithm. Some scholars [12,13,14] have studied the design of fuzzy logic systems. Some people [15,16,17,18] have conducted in-depth research on the application of a PID algorithm. Teng [19] proposed a fuzzy PID control strategy to reduce compensation errors and improve control accuracy under heave interference. Algorithm research improves the heave compensation effect. Simulation tools such as ADAMS (automatic dynamic analysis of mechanical systems) and Simulink have been widely used in all walks of life [20,21,22,23,24,25,26,27], providing convenient conditions for the experimental simulation of disintegrating integrated equipment. At present, most of the research on offshore equipment dismantling focuses on a single-heave compensation system, and there are few research works on the collaborative operation of multiple-heave compensation systems. In addition, this kind of disassembly scheme has been proposed for the first time at home and abroad, the size of the object of study is huge, and there is no relevant research basis. Therefore, it is urgent to carry out research on the co-simulation experimental platform and model experimental platform, which can greatly save scientific research costs and improve research efficiency.
Based on the integrated dismantling scheme of a very large offshore platform, this paper designed and built an integrated dismantling equipment experiment platform based on the principle of similarity [28] and the hydrodynamic experimental method of a multi-dimensional vibration test platform, centering on its key module-lifting arm system. Aiming at the designed experimental platform, based on ADAMS and Simulink software, the co-simulation system of the integrated dismantling equipment experimental platform was designed and built, and tested and verified. Based on the experimental platform and the co-simulation system, the simulation results are compared with the experimental results. The work of this paper lays a good research foundation for the design, optimization, construction, and engineering demonstration of the integrated disassembly equipment of super-large offshore oilfield facilities.
2. Design and Construction of Integrated Dismantling Equipment Experimental Platform
In the actual disassembly process, due to the complex working sea environment, great external influence, and the large volume of disassembly equipment, it is difficult to analyze the system characteristics. Therefore, it is necessary to establish a scale model of disassembly equipment and explore the system characteristics and main parameters of disassembly equipment through the research means of model experimental research, so as to provide effective information for the design of prototype disassembly equipment. The scaled model simulation experiment can make the experimental process more idealized by strictly controlling the relevant parameters of the experiment, so as to obtain accurate results and realize the purpose of highlighting the main contradictions and simplifying the experiment. The design of a scale model saves money, manpower, and time. Model experiments are used to predict the performance of systems that have not yet appeared or are not yet understood.
2.1. Experimental Platform Design
Decommissioning solution for the integrated equipment of the very large offshore oilfield facilities: The decommissioning equipment consists of three semi-submersible barges equipped with the DP3 positioning system, two of which are decommissioning and one of which is transporting. The three ships have the same size (200 m in length, 45 m in width, and 9.5 m in draft), with a deck area of about 6000 m2 and a displacement of 65,000 t. During the operation, two of the semi-submersible barges responsible for the dismantling work will be equipped with four lifting arms that can be deployed at the same time up to 100 m, and the two vessels can provide a total lifting force of more than 32,000 t, while the other ship will be responsible for the delivery of the platform. The effect drawing of the integrated dismantling device and the hoisting schematic diagram are shown in Figure 1.
Figure 1.
Effect diagram of the integrated dismantling device and schematic diagram of the hoisting principle.
The lifting arm is connected internally by a movable structure. Each lifting arm can work independently and can be flexibly used to install and disassemble the upper construction, support, and undersea structure of the drilling and production platform. The hull is closely connected with the lifting arm and the internal structure is stable. The hoisting principle is shown as follows: the buoyancy box of the lifting arm provides the upward moment (orange arrow), the ballast box provides the downward moment (yellow arrow), and the two ships are used as support points (white arrow) to form the upward lifting force at the end of the lifting arm (green arrow), thus lifting the target platform.
According to the above disassembly scheme, based on the multi-dimensional experimental platform hydrodynamic experimental method, the experimental platform adopts a six-degrees-of-freedom motion platform to simulate the movement of a semi-submersible barge deck under the corresponding sea conditions, and the servo electric cylinder provides lifting torque to realize the role of the floating tank and ballast tank in the actual working conditions, so as to simplify the disassembly process, design the scale model of integrated disassembly equipment, and build the corresponding control system. In addition, the scheme design of the experimental platform is strictly based on the similitude principle, which ensures the accuracy and effectiveness of the experimental platform.
2.2. Construction of Experimental Platform
According to the experimental site and equipment, the geometric similarity ratio of the experimental platform is determined as CL = 50. The hardware of the experimental platform includes: six-degrees-of-freedom vibration platform, lifting arm system, servo electric cylinder, industrial computer, attitude sensor, analog object lifted, cross coupling, buffer, switch, level, proximity switch, 24 V power supply, etc. Among them, the positioning accuracy of the electric cylinder is ±0.02 mm and the maximum working speed is 250 mm/s. The retractable servo electric cylinder (model 4120-65-190) is selected. The servo driver model is Delta ASD-B2-0221-B. The industrial computer is equipped with an Intel I3 CPU, 4G memory, 128G solid state drive, matching 15-inch industrial touch screen and 485 bus expansion; the attitude sensor model is WT901C485; the models of data acquisition modules are R-3402 and R-1080. R-3402 is an AI analog acquisition module with four differential inputs and eight single-ended inputs, and the sampling rate is 1000 times per second for a single channel. R-1080 is an isolated digital input and output module, supporting 16 channels for digital isolation. The switch model is TL-SF1008. Figure 2 shows the model experimental device of the integrated dismantling scheme.
Figure 2.
Model experimental device of the integrated dismantling scheme. In the schematic: 1—the first lifting arm; 2—the second lifting arm; 3—analog object lifted; 4—attitude sensor; 5—the third lifting arm; 6—the fourth lifting arm; 7—the second six-degrees-of-freedom vibration platform; 8—the first six-degrees-of-freedom vibration platform; 9—industrial control computer; 10—servo electric cylinder.
3. Co-Simulation System of Integrated Dismantling Equipment Experimental Platform
3.1. Modeling and Simulation Verification of the Six-Degrees-of-Freedom Motion Platform
Under working conditions, the disassembly ship will be affected by wind, wave, and current, etc., resulting in rolling, pitching, heave, roll, pitch, and yaw motions with six degrees of freedom [29]. Therefore, the six-degrees-of-freedom motion platform is adopted to simulate the deck motion of a semi-submersible barge. However, in the actual construction process, the ship anchor and DP3 positioning system greatly weaken the motions of the roll, pitch and bow, so the movement of these three degrees of freedom can be ignored; thus, the main movements of the deck are roll, pitch, and heave. The coordinate matrix of the upper hinge points of the six electric cylinders on the six-degrees-of-freedom movement platform in the inertial coordinate system is A, and the coordinate matrix of the lower hinge points of the six electric cylinders in the inertial coordinate system is B. The change in space attitude of the upper moving platform is used to simulate the movement of a semi-submersible barge deck. In this context, a represents the translation of the moving platform along the positive direction of the X axis, b represents the positive direction of the Y axis, c represents the positive direction of the Z axis, α represents the rotation angle of the upper moving platform around the X axis, β represents the rotation angle around the Y axis, and γ represents the rotation angle around the Z axis, that is, a, b, c, α, β, and γ represents the motion of the upper motion platform.
According to the mathematical model of the six-degrees-of-freedom motion platform, its control model is established in Simulink. Its principle is that according to the input of translation or rotation of the upper motion platform, it is converted into the spatial coordinate changes of the upper hinge points of the six electric cylinders. The distance formula between two space points is used to solve the real-time trajectory of the change in the length of the electric cylinder rod. The movement of the upper motion platform is controlled by the trajectory of the rod length change in the output six electric cylinders. A single six-degrees-of-freedom motion platform control model is built in Simulink, which includes an input module, coordinate conversion module, matrix calculation module, rod length change trajectory calculation module, and output module. The physical object of the six-degrees-of-freedom motion platform is shown in Figure 3.
Figure 3.
The physical object of the six-degrees-of-freedom motion platform.
The input test signal to the platform is the sinusoidal wave of the roll angle radian (β = 0.0361), the period is 6s, a, b, c, α, β, and γ are all 0. The six electric cylinders obtained by Simulink simulation are expansion data figures, as shown in Figure 4.
Figure 4.
Simulation results of telescopic capacity of electric cylinder.
3.2. Control Modeling and Simulation Verification of Electric Cylinder Heave Compensation System
The heave compensation system is added to the lifting arm system to weaken the situation of the object being lifted during the lifting process, reduce the amplitude of the object being lifted, and achieve the purpose of controlling the object being lifted smoothly and providing the lifting arm with even force, which lays a good foundation for the later design of the collaborative control of two ships. The heave compensation of the experimental bench is realized by a servo electric cylinder, and a servo system controlled by three rings is the key. The three-loop control servo system is based on the double closed-loop of the speed loop and the current loop, and a position loop is added, so that the servo motor has the characteristics of good following, fast response, and good robustness. Through the split modeling of the speed loop, the current loop, and the position loop of the motor servo system, the parameters of each link are determined, and finally the control loop of the whole motor servo system is set. The key to this servo control system is the parameter setting of the position loop. After setting the parameters of the servo motor transfer function, current loop, and speed loop, all the parameters of the double loop control can be obtained. The position ring filtering time constant, position detection proportionality constant, and the three-ring control model were established in MATLAB/Simulink, and the three-ring control model of the servo motor was obtained, as shown in Figure 5.
Figure 5.
Three-ring control model of a servo electric cylinder.
The function of the position ring is to quickly respond to the change of the instruction value, and its main indexes are tracking error and position ring gain. Because of the motion characteristics of the electric cylinder, position overshooting is absolutely not allowed, so the position ring adopts fuzzy PID (proportional integral differential)regulator. Astep signal is inputed to the system, and the regulator coefficient Kp, Ki, and Kd are constantly modified. The three-ring control system can achieve a better stability and rapidity. At this time, the simulation results of the system are shown in Figure 6.
Figure 6.
Simulation diagram of step signal.
As can be seen from Figure 6, when the step signal is input at 1 s, the system response time is extremely short, the displacement output value of the electric cylinder system is less than one, no position overshoot occurs, and the rise time is short, meeting the position loop control requirements.
Based on the mathematical model of mechanical transmission of the electric cylinder and the three-ring control model of the servo motor, the control model of the electric cylinder heave compensation system is built in Simulink software. In order to simulate the displacement compensation of the electric cylinder in the experiment, the input test signal is as follows: the period of the sinusoidal signal is 12.5 s, the amplitude is 150 mm, and the simulation time is 20 s. The simulation results are shown in Figure 7.
Figure 7.
Sinusoidal signal simulation diagram.
As can be seen from Figure 7, when the input amplitude is 150 mm and the period T is 12.5 s, the output signal obtained for the amplitude attenuation of the electric cylinder is 0.385 dB and the phase lags 2.884°, meeting the control index requirements of the experimental electric cylinder, that is, the mathematical model of the heave compensation system meets the control requirements.
3.3. Build and Test the Co-Simulation System of the Experimental Platform for Integrated Dismantling Equipment
In order to realize the simulation of an integrated disassembly equipment experimental platform, the method of ADAMS (automatic dynamic analysis of mechanical systems) and Simulink joint control simulation is used, based on the data exchange between ADAMS and the Simulink control program. The solver of ADAMS is used to solve the system motion equation, and the control equation is solved by Simulink, completing the calculation of the whole motion control process together. The three-dimensional assembly model of the integrated disassembly equipment experimental platform is imported into ADAMS, and corresponding constraints and drivers are added according to the actual working conditions. The ADAMS model of the integrated dismantling equipment experimental platform is shown in Figure 8.
Figure 8.
ADAMS model of the integrated dismantling equipment experimental platform.
The motion model in ADAMS is imported into MATLAB/Simulink to realize the data exchange between ADAMS and Simulink. The co-simulation system of the integrated dismantling experimental platform mainly includes the co-simulation mechanical system model, the six-degrees-of-freedom platform control model, and the three-ring control model of the heave compensation servo electric cylinder.
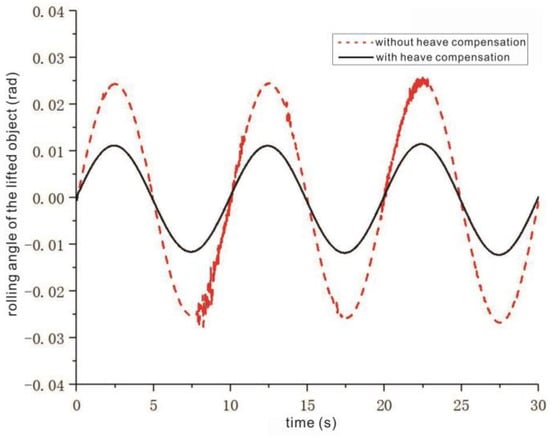
The co-simulation system of the integrated disassembly equipment experimental platform was tested. The historical deck movement data of a semi-submersible barge measured under a certain sea condition were converted by similarity criteria, and the data in the 30 s were selected as the input of the co-simulation system and solved by the Simulink model. The displacement of each electric cylinder of the six-degrees-of-freedom platform was obtained, as shown in Figure 9. Figure 10 shows the longitudinal displacement of the object to be lifted by connecting the heave compensation system, Figure 11 shows the pitch angle of the object to be lifted, and Figure 12 shows the roll angle of the object to be lifted.
Figure 9.
Displacement diagram of the platform electric cylinder.
Figure 10.
Longitudinal displacement of the lifted object before and after compensation.
Figure 11.
Pitching angle of the lifted object before and after compensation.
Figure 12.
Rolling angle of the lifted object before and after compensation.
As can be seen from Figure 10, under the premise of rigid contact, active compensation can not only cushion the longitudinal displacement of the object being lifted but also greatly eliminate the vibration of the object being lifted, so that the object being lifted can remain more stable after wave excitation. As can be seen from Figure 11 and Figure 12, after active compensation is adopted, the peak values of the pitch and roll angles of the object being lifted decrease obviously, and the shaking condition of the object being lifted is alleviated. It can be seen from the simulation results that the integrated dismantling scheme of super-large offshore oilfield facilities is feasible, but in order to ensure the safety and reliability of the operation, a heave compensation system needs to be added. The accuracy of the model motion and the effectiveness of the control strategy and heave compensation strategy of the co-simulation system of the integrated dismantling equipment experimental platform are hereby proved.
4. Verification and Analysis of the Co-Simulation System of the Integrated Dismantling Equipment Experiment Platform
According to the design indexes of disassembly equipment, the historical deck motion data of a semi-submersible barge measured at levels three, four, and five sea conditions were selected and converted by similarity criteria. The motion parameters of the simulated deck of a six-degrees-of-freedom moving platform under each sea condition are shown in Table 1. In each sea-state level, five groups of PID parameters were selected for co-simulation and experimental verification. In actual working conditions, due to the large volume and mass of the dismantled ship, and the oscillation of the hull is mainly in the vertical direction, it focuses on the analysis of the variation of the tilt Angle of the lifted object relative to the horizontal plane due to the sag motion of the deck. The simulation parameters under different sea states are shown in Table 1. The specific PID parameters used in the simulations are shown in Table 2.
Table 1.
Simulation parameters of a six-degrees-of-freedom moving platform under different sea conditions.
Table 2.
PID parameters.
Under different PID parameters of the third-level sea state, the variation curve of the dip angle of the object being lifted is shown in Figure 13. In Figure 13, the black curve represents the variation curve of the dip angle of the object being lifted without heave compensation during the experiment, while the red curve represents the variation curve of the dip angle of the object being lifted with heave compensation during the experiment. The blue curve represents the simulation change curve of the dip angle of the object being lifted with heave compensation in the co-simulation process. When the PID parameters of the second group are 440, 76, and 5.4, respectively, the compensation efficiency is the best, and the compensation efficiency is 58.3%. Compared with references [15,16,17,18,19], when discussing PID control, this paper divides not only into three sea states but also into five groups. The response values without compensation in the experiment, with compensation in the experiment, and with compensation in the co-simulation are compared, which intuitively and powerfully proves the effectiveness of compensation.

Figure 13.
Simulation results in third-level sea state.
Similarly, the simulation of a level four sea state and level five sea state is carried out. The third group of PID parameters (570, 76, 5.4, respectively) has the best compensation effect in quaternary sea condition. In class five sea conditions, the PID parameters of the fourth group (440, 71, 5.4, respectively) are selected to achieve the best compensation efficiency.
The test results show that the experimental platform realizes the linkage of four sets of lifting arm systems. When there is no heave compensation system, the lifting ends of the four lifting arms cannot be in the same horizontal plane at the same time. If the center of gravity of the lifted object is high and its mass volume is large, it is easy to capsize. When active heave compensation is adopted in both co-simulation and experiments, there is an obvious heave compensation trend, and the heave compensation strategy is effective and feasible. The compensation effect of different PID parameters is different. Under the same heave compensation strategy, different sea-state compensation rates are observed. During the experiment, due to the interference of external factors such as vibration and the influence of communication and control factors on the heave compensation system, the three curves show that the phase is different, and there will be a relative phase lead or lag. The co-simulation results are ideal because there is no interference from external factors, but there is little difference from the experimental results, and the error is within the acceptable range. The control accuracy and heave compensation accuracy need to be further improved due to the limitation of the control strategy, the performance of the electric cylinder servo driver, and the precision of the attitude sensor on the experimental platform.
5. Conclusions
(1) An integrated dismantling scheme of super-large offshore oilfield facilities is proposed, and an indoor experimental scheme of the integrated dismantling equipment is developed. According to the experimental scheme and the similarity principle, an integrated dismantling equipment experimental device was built. A six-degrees-of-freedom moving platform was used to simulate the deck motion of a semi-submersible barge, replacing the function of the floating tank and ballast tank with a servo electric cylinder and adding an active heave compensation function. The model experimental structure of the lifting arm was optimized and simplified so that the function and strength of the lifting arm could meet the requirements of the dismantling operation of the model experiment.
(2) The mathematical model and control model of the relevant components were established for the experimental device of the integrated dismantling equipment. The reliability of the six-degrees-of-freedom movement platform in simulating the deck motion of a semi-submersible barge, the three-ring control model of the servo electric cylinder, and the effectiveness of the active heave compensation control were proved by ADAMS and Simulink simulation. The motion accuracy, control strategy, and heave compensation strategy of the whole experiment platform of the integrated dismantling equipment were verified.
(3) The simulation results of the integrated dismantling equipment experimental device show that: according to different sea conditions, by optimizing PID parameters, the heave compensation rate can reach 58.3% in third-level sea conditions, 61.2% in fourth-level sea conditions, and 62.4% in fifth-level sea conditions. The solution of integrated dismantling of very large offshore facilities is feasible, and a heave compensation system is needed to ensure the safety and reliability of dismantling operations.
(4) This paper is an experimental study on integrated disassembly equipment for very large offshore oil fields. By comparing the co-simulation results of ADAMS and Simulink with the experimental results of the experimental device, the effectiveness of the integrated dismantling control strategy and heave compensation strategy is proved. In practical application, appropriate control and compensation parameters should be selected according to the operating sea conditions and the volume and mass of the object to be dismantled to ensure the safety and effectiveness of dismantling.
Author Contributions
Conceptualization, W.X. and C.L.; methodology, W.X. and C.L.; software, C.L. and J.C.; validation, C.L., J.C. and W.X.; formal analysis, C.L., J.C., L.F. and W.X.; investigation, Q.L.; resources, Q.L.; data curation, L.T.; writing—original draft preparation, W.X. and C.L.; writing—review and editing, C.L.; supervision, W.X.; project administration, W.X. and C.L. All authors have read and agreed to the published version of the manuscript.
Funding
This work was financially supported by the Ministry of Industry and Information Technology of China (Grant No. MC-201713-H02; Funder ID: 10.13039/501100006579) through the project “Research on Key Technologies of Integrated Dismantling Equipment for Super Large Offshore Oilfield Facilities”.
Data Availability Statement
The research data is unavailable due to privacy.
Conflicts of Interest
The authors declare no conflict of interest.
Nomenclature
| PID | Proportional integral differential |
| Kp | Proportionality coefficient of PID |
| Ki | Integral time constant of PID |
| Kd | Differential time constant of PID |
| ADAMS | Automatic dynamic analysis of mechanical systems |
| Simulink | A simulation tool |
References
- Vidal, P.D.; González, M.O.; de Vasconcelos, R.M.; de Melo, D.C.; de Oliveira Ferreira, P.; Sampaio, P.G.; da Silva, D.R. Decommissioning of offshore oil and gas platforms: A systematic literature review of factors involved in the process. Ocean. Eng. 2022, 255, 111428. [Google Scholar] [CrossRef]
- Tian, Q.; Wang, T.; Wang, Y.; Wang, Z.; Liu, C. A two-level optimization algorithm for path planning of bionic robotic fish in the three-dimensional environment with ocean currents and moving obstacles. Ocean. Eng. 2022, 266, 112829. [Google Scholar] [CrossRef]
- Hatleskog, J.T.; Dunnigan, M.W. An impedance approach to reduce the contact-instability whilst drilling with active heavecompensation. Ocean. Eng. 2012, 49, 25–32. [Google Scholar] [CrossRef]
- Woodacre, J.K.; Bauer, R.J.; Irani, R.A. A review of vertical motion heave compensation systems. Ocean. Eng. 2015, 104, 140–154. [Google Scholar] [CrossRef]
- Zhou, Q.; Xiao, T.B.; Liu, J.Q.; Zhang, Y.K.; Zou, D.P. Virtual prototype of winch type heave compensation simulation test bench. Chin. Hydraul. Pneum. 2022, 46, 58–64. [Google Scholar]
- Zhou, Y.; Wu, S.-F.; Fu, J.-S.; Xu, J.-A.; Di, Y.-R. Nonlinear modeling and simulation of semi-active heave compensation system. Chin. Hydraul. Pneum. 2021, 45, 86–93. [Google Scholar]
- Yuan, J. Research on active heave compensation model control based on hydraulic drive. Mach. Des. Manuf. 2021, 162–165, 171. [Google Scholar]
- Wang, Y.; Du, H.; Xu, C.; Li, H.; Liang, X. Design of heave compensation system experimental platform. Exp. Technol. Manag. 2021, 38, 88–92+98. [Google Scholar]
- Duan, Y. Research on Active Heave Compensation and Antiswing Control System for Offshore Lifting. Master’s Thesis, Jiangsu University of Science and Technology, Lianyungang, China, 2021. [Google Scholar]
- Li, F.; Cao, X. Research on fuzzy PID anti-rolling control method for bridge crane. Hoisting Conveying Mach. 2021, 18, 29–35+52. [Google Scholar]
- Tong, X.; Hu, A.; Liu, H.; Huang, P.; Meng, J.; Li, S. Ship shore grid connection system based on fuzzy internal model double loop control. Sci. Technol. Eng. 2021, 21, 14561–14569. [Google Scholar]
- Sun, J.; Liu, X.; Zhao, G.; Zhou, Q. Fuzzy feedback incremental proportional integral differential hydro-pneumatic suspension control. Sci. Technol. Eng. 2021, 21, 14814–14820. [Google Scholar]
- Lu, J.; Sun, Y.; Dong, D. Automatic positioning and anti sway control of shore bridge based on virtual prototype. Sci. Technol. Eng. 2020, 20, 1092–1098. [Google Scholar]
- Sun, Y.; Dong, D.; Qiang, H.; Teng, Y. Research on trolley position tracking and lifting weight anti swing control of offshore floating container crane. Vib. Shock. 2018, 37, 207–215+245. [Google Scholar]
- Li, W. Research on Electro-Hydraulic Control System of Secondary Regulation Wave Heave Compensation for Marine Draw Work. Master’s Thesis, Shandong University, Qingdao, China, 2021. [Google Scholar]
- Sun, Y.; Li, W.; Liu, X. Simulation and research of wave compensation system for offshore floating crane platform operation. Chin. J. Constr. Mach. 2016, 14, 198–205. [Google Scholar]
- Wang, M. Design of one-dimensional fuzzy PID controller. Inf. Technol. Informatiz. 2021, 3, 71–72. [Google Scholar]
- Wu, W.; Liu, X.; Guo, Z.; Wang, H. Research on real-time time delay control of marine crane active heave compensation system. Chin. Hydraul. Pneum. 2021, 45, 167–174. [Google Scholar]
- Teng, Y.; Chen, L.; Sun, Y.; Xie, Y. Mining ship heave compensation control method based on fuzzy logic system. Sci. Technol. Eng. 2022, 22, 10444–10450. [Google Scholar]
- Song, M.; Wang, X.; Peng, W. Characteristic Analysis of the Steering System of Articulated Mining Truck Based on ADAMS and Simulink. Mach. Des. Manuf. 2022, 7, 239–245. [Google Scholar]
- Wu, W.; Yang, H.; Wei, M.; Zeng, X.; Wen, W. Design of barycenter modulate system for airship based on ADAMS and Simulink co-simulation. J. Hefei Univ. Technol. (Nat. Sci.) 2021, 44, 865–868. [Google Scholar]
- Jiao, J.; Wu, Y.; Yu, K. Cooperative Simulation based on ADAMS and SIMULINK for a Stewart Active Vibration Control Platform. Noise Vib. Control. 2018, 38, 234–238. [Google Scholar]
- Zou, W.; Cheng, S.; Yang, L.; Zhou, H. EDEM-Adams-Simulink dynamic co-simulation of power shovel manipulator. Comput. Aided Eng. 2020, 29, 42–45. [Google Scholar]
- Chen, Z.; Xue, Z.; Zhang, S.; Li, L. Closing Effort Analysis of Sliding Doors Based on Co-simulation of ADAMS and Simulink. China Mech. Eng. 2020, 31, 924–930. [Google Scholar]
- Li, S.; Liu, P.; Wang, Y.; Zhang, W. Analysis of pantograph and catenary vibration control based on co-simulation of ADAMS and Simulink. Electr. Locomot. Mass Transit Veh. 2011, 34, 35–37. [Google Scholar]
- Liu, P.; Liu, Y.; Wei, X.; Xin, C.; Sun, Q.; Wu, X. Performance analysis and optimal design based on dynamic characteristics for pressure compensated subsea all-electric valve actuator. Ocean. Eng. 2019, 191, 106568. [Google Scholar] [CrossRef]
- Duyun, T.; Duyun, I.; Rybak, L.; Perevuznik, V. Simulation of the structural and force parameters of a robotic platform using co-simulation. Procedia Comput. Sci. 2022, 213, 720–727. [Google Scholar] [CrossRef]
- Zhu, Y.; Wang, Y.; Luo, Z.; Han, Q.; Wang, D. Similitude design for the vibration problems of plates and shells: A review. Front. Mech. Eng. 2017, 12, 253–264. [Google Scholar] [CrossRef]
- Hao, R.-B.; Lu, Z.-Q.; Ding, H.; Chen, L.-Q. Orthogonal six-DOFs vibration isolation with tunable high-static-low-dynamic stiffness: Experiment and analysis. Int. J. Mech. Sci. 2022, 222, 107237. [Google Scholar] [CrossRef]
Disclaimer/Publisher’s Note: The statements, opinions and data contained in all publications are solely those of the individual author(s) and contributor(s) and not of MDPI and/or the editor(s). MDPI and/or the editor(s) disclaim responsibility for any injury to people or property resulting from any ideas, methods, instructions or products referred to in the content. |
© 2023 by the authors. Licensee MDPI, Basel, Switzerland. This article is an open access article distributed under the terms and conditions of the Creative Commons Attribution (CC BY) license (https://creativecommons.org/licenses/by/4.0/).