Oscillating-Foil Turbine Performance Improvement by the Addition of Double Gurney Flaps and Kinematics Optimization
Abstract
1. Introduction
1.1. Power-Extraction
1.2. Hydrodynamic Performance Improvements
1.3. Geometric Modifications
1.4. Scope
2. Methodology
2.1. Equations of Motion
2.2. Geometry and Physical Parameters
2.3. Power Extraction and Efficiency
2.4. Numerics and Meshing
2.5. Validation and Independence of Numerical Parameters
3. Results and Discussion
3.1. Impact of Double Gurney Flaps
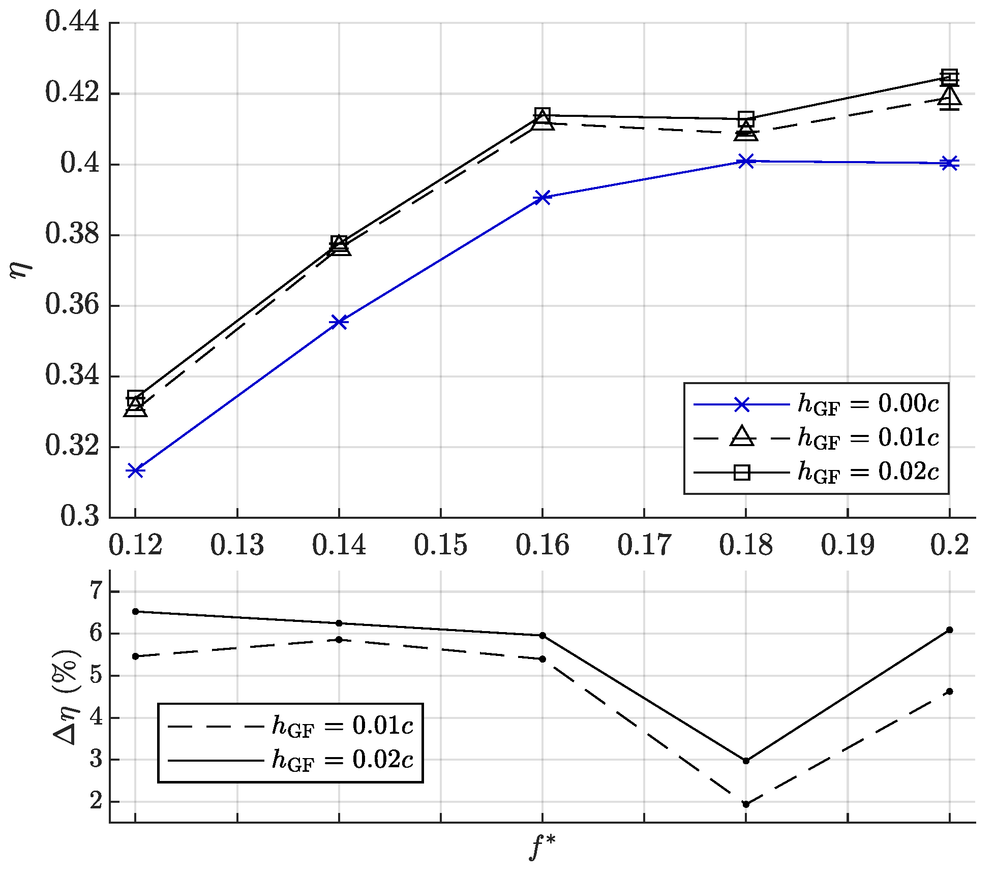
3.2. Operating Frequency
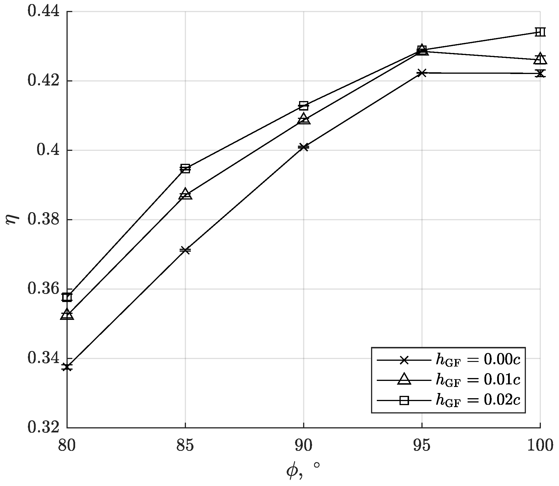
3.3. Pivot-Point Location
3.4. Motion Phase
3.5. Maximum Effective Angle of Attack
3.6. Discussion
4. Conclusions
- Overall, the effect of adding double GFs remains modest, but has been shown to always be beneficial if its height is kept within the prescribed limits found (max ). This limit suggests that the optimal double GFs for OFT performance are the ones yielding the highest lift coefficient on static airfoils, regardless of airfoil performance ().
- Selecting a maximum effective angle of attack is not a sufficient criterion to avoid LEVS. Indeed, changing motion phase has shown that leading edge vortices can start to appear, yet remain attached and are not being shed.
- Changing pivot-point location also has an important effect on performance, yet the impact of double GFs still remains qualitatively the same.
- Adding double GFs is a passive modification, applicable even to the highest-performing OFTs, that offers a good potential for making the OFT an even more attractive concept in the development of hydrokinetic turbines.
Author Contributions
Funding
Data Availability Statement
Acknowledgments
Conflicts of Interest
Abbreviations
| GF | Gurney flap |
| LEVS | Leading-edge vortex shedding |
| OFT | Oscillating-foil turbine |
| TS | time-step |
| URANS | Unsteady Reynolds-averaged Navier–Stokes |
References
- Lemonis, G.; Cutler, J. Wave and Tidal Energy Conversion. In Encyclopedia of Energy; Elsevier: Amsterdam, The Netherlands, 2004; pp. 385–396. [Google Scholar] [CrossRef]
- McKinney, W.; DeLaurier, J. The Wingmill: An Oscillating-Wing Windmill. J. Energy 1981, 5, 109–115. [Google Scholar] [CrossRef]
- Kinsey, T.; Dumas, G.; Lalande, G.; Ruel, J.; Méhut, A.; Viarouge, P.; Lemay, J.; Jean, Y. Prototype testing of a hydrokinetic turbine based on oscillating hydrofoils. Renew. Energy 2011, 36, 1710–1718. [Google Scholar] [CrossRef]
- Jiang, W.; Zhang, D.; Xie, Y. Numerical investigation into the effects of arm motion and camber on a self-induced oscillating hydrofoil. Energy 2016, 115, 1010–1021. [Google Scholar] [CrossRef]
- Sitorus, P.E.; Ko, J.H. Power extraction performance of three types of flapping hydrofoils at a Reynolds number of 1.7E6. Renew. Energy 2019, 132, 106–118. [Google Scholar] [CrossRef]
- Peng, Z.; Zhu, Q. Energy harvesting through flow-induced oscillations of a foil. Phys. Fluids 2009, 21, 123602. [Google Scholar] [CrossRef]
- Veilleux, J.C.; Dumas, G. Numerical optimization of a fully-passive flapping-airfoil turbine. J. Fluids Struct. 2017, 70, 102–130. [Google Scholar] [CrossRef]
- Boudreau, M.; Dumas, G.; Rahimpour, M.; Oshkai, P. Experimental investigation of the energy extraction by a fully-passive flapping-foil hydrokinetic turbine prototype. J. Fluids Struct. 2018, 82, 446–472. [Google Scholar] [CrossRef]
- Shimizu, E.; Isogai, K.; Obayashi, S. Multiobjective Design Study of a Flapping Wing Power Generator. J. Fluids Eng. 2008, 130, 021104. [Google Scholar] [CrossRef]
- Zhu, Q.; Peng, Z. Mode coupling and flow energy harvesting by a flapping foil. Phys. Fluids 2009, 21, 033601. [Google Scholar] [CrossRef]
- Boudreau, M.; Gunther, K.; Dumas, G. Investigation of the energy-extraction regime of a novel semi-passive flapping-foil turbine concept with a prescribed heave motion and a passive pitch motion. J. Fluids Struct. 2019, 84, 368–390. [Google Scholar] [CrossRef]
- Picard-Deland, M.; Olivier, M.; Dumas, G.; Kinsey, T. Oscillating-Foil Turbine Operating at Large Heaving Amplitudes. AIAA J. 2019, 57, 5104–5113. [Google Scholar] [CrossRef]
- Dumas, G.; Kinsey, T. Eulerian simulations of oscillating airfoils in power extraction regime. Adv. Fluid Mech. VI 2006, 52, 10. [Google Scholar]
- Kinsey, T.; Dumas, G. Parametric Study of an Oscillating Airfoil in a Power-Extraction Regime. AIAA J. 2008, 46, 1318–1330. [Google Scholar] [CrossRef]
- Kinsey, T.; Dumas, G. Optimal operating parameters for an oscillating foil turbine at Reynolds number 500,000. AIAA J. 2014, 52, 1885–1895. [Google Scholar] [CrossRef]
- Kinsey, T.; Dumas, G. Three-Dimensional Effects on an Oscillating-Foil Hydrokinetic Turbine. J. Fluids Eng. 2012, 134, 071105. [Google Scholar] [CrossRef]
- Kinsey, T.; Dumas, G. Optimal Tandem Configuration for Oscillating-Foils Hydrokinetic Turbine. J. Fluids Eng. 2012, 134, 031103. [Google Scholar] [CrossRef]
- Kinsey, T.; Dumas, G. Computational Fluid Dynamics Analysis of a Hydrokinetic Turbine Based on Oscillating Hydrofoils. J. Fluids Eng. 2012, 134, 021104. [Google Scholar] [CrossRef]
- Young, J.; Ashraf, M.A.; Lai, J.C.S.; Platzer, M.F. Numerical Simulation of Fully Passive Flapping Foil Power Generation. AIAA J. 2013, 51, 2727–2739. [Google Scholar] [CrossRef]
- Drofelnik, J.; Campobasso, M.S. Comparative turbulent three-dimensional Navier–Stokes hydrodynamic analysis and performance assessment of oscillating wings for renewable energy applications. Int. J. Mar. Energy 2016, 16, 100–115. [Google Scholar] [CrossRef]
- Jeanmonod, G.; Olivier, M. Effects of chordwise flexibility on 2D flapping foils used as an energy extraction device. J. Fluids Struct. 2017, 70, 327–345. [Google Scholar] [CrossRef]
- Liu, W.; Xiao, Q.; Zhu, Q. Passive Flexibility Effect on Oscillating Foil Energy Harvester. AIAA J. 2016, 54, 1172–1187. [Google Scholar] [CrossRef]
- Dang, H.N.L.; Jeong, D.; Ko, J.H. Study of the power performance of a variable-camber hydrofoil used in a flapping tidal stream turbine. J. Mar. Sci. Technol. 2022, 27, 1148–1162. [Google Scholar] [CrossRef]
- Liu, G.; Tian, C.; Wu, L.; Liu, X. Energy extraction of oscillating foil with an active deflecting trailing-edge flap. J. Renew. Sustain. Energy 2021, 13, 064501. [Google Scholar] [CrossRef]
- Sun, G.; Wang, Y.; Xie, Y.; Ma, P.; Zhang, Y. Hydrodynamic and energy extraction properties of oscillating hydrofoils with a trailing edge flap. Appl. Ocean Res. 2021, 110, 102530. [Google Scholar] [CrossRef]
- Xie, Y.; Jiang, W.; Lu, K.; Zhang, D. Numerical investigation into energy extraction of flapping airfoil with Gurney flaps. Energy 2016, 109, 694–702. [Google Scholar] [CrossRef]
- Zhu, B.; Huang, Y.; Zhang, Y. Energy harvesting properties of a flapping wing with an adaptive Gurney flap. Energy 2018, 152, 119–128. [Google Scholar] [CrossRef]
- Sun, G.; Wang, Y.; Xie, Y.; Lv, K.; Sheng, R. Research on the effect of a movable gurney flap on energy extraction of oscillating hydrofoil. Energy 2021, 225, 120206. [Google Scholar] [CrossRef]
- Wu, X.; Zhang, X.; Tian, X.; Li, X.; Lu, W. A review on fluid dynamics of flapping foils. Ocean Eng. 2020, 195, 106712. [Google Scholar] [CrossRef]
- The Engineering Business Limited. Stingray Tidal Energy Device—Phase 3; Tech. Rep.; Crown Copyright; The Engineering Business Limited: Stocksfield, UK, 2005. [Google Scholar]
- Anderson, J.M.; Streitlien, K.; Barrett, D.S.; Triantafyllou, M.S. Oscillating foils of high propulsive efficiency. J. Fluid Mech. 1998, 360, 41–72. [Google Scholar] [CrossRef]
- Jones, K.; Platzer, M. Numerical computation of flapping-wing propulsion and power extraction. In Proceedings of the 35th Aerospace Sciences Meeting and Exhibit, Reno, NV, USA, 6–9 January 1997. [Google Scholar] [CrossRef]
- Davids, S.T. A Computational and Experimental Investigation of a Flutter Generator. Master’s Thesis, Naval Postgraduate School, Monterey, CA, USA, 1999. [Google Scholar]
- Giguère, P.; Dumas, G.; Lemay, J. Gurney Flap Scaling for Optimum Lift-to-Drag Ratio. AIAA J. 1997, 35, 1888–1890. [Google Scholar] [CrossRef]
- Genest, B.; Dumas, G. Numerical Investigation into Single and Double Gurney Flaps for Improving Airfoils Performance. J. Aircr. 2023; in press. [Google Scholar]
- Betz, A. Das Maximum der theoretisch möglichen Ausnützung des Windes durch Windmotoren. Z. Gesamte Turbinenwesen 1920, 26, 307–309. [Google Scholar]















| Case | Time Steps/ Cycle | Cells (Near-Foil) | |||
|---|---|---|---|---|---|
| Reference [18] | 2000 | – | 3.168 (+2.64%) | 0.613 (−0.75%) | 1.023 (+2.02%) |
| Coarse mesh | 2000 | 35,000 | 3.016 (−2.28%) | 0.618 (+0.06%) | 0.988 (−1.51%) |
| Standard (Medium mesh) | 2000 | 66,600 | 3.087 | 0.618 | 1.003 |
| Fine mesh | 2000 | 145,000 | 3.099 (+0.41%) | 0.618 (+0.04%) | 1.006 (+0.30%) |
| Coarse TS/cycle | 1000 | 66,600 | 3.126 (+1.29%) | 0.616 (−0.20%) | 1.002 (−0.07%) |
| Fine TS/cycle | 4000 | 66,600 | 3.069 (−0.58%) | 0.619 (+0.18%) | 1.003 (−0.01%) |
Disclaimer/Publisher’s Note: The statements, opinions and data contained in all publications are solely those of the individual author(s) and contributor(s) and not of MDPI and/or the editor(s). MDPI and/or the editor(s) disclaim responsibility for any injury to people or property resulting from any ideas, methods, instructions or products referred to in the content. |
© 2023 by the authors. Licensee MDPI, Basel, Switzerland. This article is an open access article distributed under the terms and conditions of the Creative Commons Attribution (CC BY) license (https://creativecommons.org/licenses/by/4.0/).
Share and Cite
Genest, B.; Dumas, G. Oscillating-Foil Turbine Performance Improvement by the Addition of Double Gurney Flaps and Kinematics Optimization. Energies 2023, 16, 2885. https://doi.org/10.3390/en16062885
Genest B, Dumas G. Oscillating-Foil Turbine Performance Improvement by the Addition of Double Gurney Flaps and Kinematics Optimization. Energies. 2023; 16(6):2885. https://doi.org/10.3390/en16062885
Chicago/Turabian StyleGenest, Benoît, and Guy Dumas. 2023. "Oscillating-Foil Turbine Performance Improvement by the Addition of Double Gurney Flaps and Kinematics Optimization" Energies 16, no. 6: 2885. https://doi.org/10.3390/en16062885
APA StyleGenest, B., & Dumas, G. (2023). Oscillating-Foil Turbine Performance Improvement by the Addition of Double Gurney Flaps and Kinematics Optimization. Energies, 16(6), 2885. https://doi.org/10.3390/en16062885

