Next Article in Journal
Enhancing the Energy Efficiency of Wastewater Treatment Plants through the Optimization of the Aeration Systems
Previous Article in Journal
A Two-Layer Optimization Strategy for Battery Energy Storage Systems to Achieve Primary Frequency Regulation of Power Grid
 
 
Font Type:
Arial Georgia Verdana
Font Size:
Aa Aa Aa
Line Spacing:
Column Width:
Background:
Article

An Ageing Test Standards Analysis on Thermoplastic Liners of Type IV Composite Hydrogen Storage Tanks

1
China Special Equipment Inspection and Research Institute, Beijing 100029, China
2
Key Laboratory of Safety of Hydrogen Energy Storage and Transportation Equipment for State Market Regulation, Beijing 100029, China
*
Authors to whom correspondence should be addressed.
Energies 2023, 16(6), 2818; https://doi.org/10.3390/en16062818
Submission received: 27 January 2023 / Revised: 5 March 2023 / Accepted: 13 March 2023 / Published: 17 March 2023
(This article belongs to the Topic Hydrogen Generation, Storage, and Utilization)

Abstract

The liner of a carbon fiber fully reinforced composite tank with thermoplastic liner (type IV) works in a hydrogen environment with varying temperature and pressure profiles. The ageing performance of the thermoplastic liner may affect hydrogen permeability and the consequent storage capacity, degrade the mechanical properties, and even increase the leakage risks of type IV tanks. In this paper, both testing procedures and evaluation parameters of an ageing test in a hydrogen environment required in several standards are compared and analyzed. Hydrogen static exposure in a high-temperature condition with a constant temperature and pressure is suggested to be a reasonable way to accelerate the ageing reaction of thermoplastic materials. A total of 192 h is considered a superior ageing test duration to balance the test economy and safety. The ageing test temperature in the high-temperature condition is suggested as no lower than 85 °C, while the upper limit of test pressure is suggested to be 1.25 NWP. In addition, the hydrogen permeation coefficient and mechanical properties are recognized as important parameters in ageing performance evaluation. Considering the actual service conditions, the influence of temperature/pressure cycling, depressurization rate, and humidity on the ageing performance of thermoplastics in hydrogen are advised to be investigated experimentally.

1. Introduction

The hydrogen fuel cell vehicle (HFCV) is a crucial developing orientation in China’s hydrogen energy technology system [1]. Up to now, there are three mainstream hydrogen storage technologies, including high-pressure hydrogen storage [2,3], liquid hydrogen storage [4,5] and material-based hydrogen storage technologies [6,7,8,9], among which high-pressure hydrogen storage technology is the most mature and widely used one. A high-pressure hydrogen storage tank is one of the critical components of HFCV, which is required to work in various conditions for a long service life [2]. Improving hydrogen storage density and reducing the cost are two key points of the recent investigations on hydrogen storage tanks. The most widely employed onboard compressed hydrogen storage tanks include carbon fiber fully reinforced composite tanks with metallic liners (type III) and carbon fiber fully reinforced composite tanks with plastic liners (type IV). The comparisons between type III and type IV hydrogen tanks are shown in Table 1. Compared with the type III hydrogen tank, the barrier layer of the type IV hydrogen tank is a thermoplastic liner, which has numerous advantages, such as being lightweight, having high hydrogen storage density, fatigue resistance, and a low risk of hydrogen embrittlement [3].
Up to now, several countries achieved the quantitative production and marketing applications of type IV hydrogen tanks, including America, Japan, Korea, and Norway. The onboard 70 MPa high-pressure hydrogen storage tanks of HFCVs basically finished the transformation from type III to type IV [10]. At present, China’s high-pressure hydrogen storage tank mainly concentrates on type III and the mature manufacturers include Jiangsu Guofu Hydrogen Energy Equipment Co., Ltd., Sinoma Science & Technology Co., Ltd. and Beijing Chinatank Industry Co., Ltd., etc. Their products mainly concentrate on a pressure of 35 MPa and a hydrogen storage density that is higher than 4%. In 2017, a national standard corresponding to type III hydrogen tanks whose standard number is GB/T 35544-2017 [11] was published to normalize the test methods and acceptance criteria of type III hydrogen tanks. To obtain a higher hydrogen storage density, more attention was paid to type IV hydrogen tanks in China in recent years. However, it remains at the stage of laboratory and partial pilot instead of quantitative production, owing to the immature preparation technology and the consequent high production cost.
The international mainstream of the type IV hydrogen tank liner material is high-density polyethylene (HDPE), such as Q-LiteTM series type IV hydrogen tanks [12] manufactured by Quantum Fuel Systems LLC. and type IV tanks manufactured by Hexagon Lincoln. The Mirai series HFCVs developed by Toyota in Japan adopt PA6 as the liner material of type IV hydrogen tanks [13]. The Nexo series HFCVs launched by ILJIN Composite in Korea use polyethylene-clay nanocomposite as its liner material [14]. In general, HDPE and PA6 are two international mainstream materials used for molding the thermoplastic liner of type IV hydrogen storage tanks [15,16].
The primary function of the type IV hydrogen tank liner is the gas barrier, which determines the hydrogen retention effect of the liner in extreme ambient temperature and high operating pressure [17]. In high-pressure hydrogen storage and distributing applications, gas leakage through permeation raises concerns about safety and economic efficiency, therefore minimum permeation through liners in storage tanks and pipes is demanded. In this case, the hydrogen permeability coefficient is a crucial index to reflect the liner’s performance. Several relevant standards were published to specify the test methods and evaluation criteria of hydrogen permeation, such as ISO 11114-5 [18], SAE J2579 [19], CSA ANSI CHMC 2-19 [20], etc. An amount of experimental and numerical studies were also executed to investigate the permeability mechanism and influence factors [21,22,23,24,25,26]. However, the liner shall experience repetitive charging and discharging cycles of compressed hydrogen during its service life, which are accompanied by temperature cycling in an extreme range of −40–85 °C, pressure cycling in an extreme range of 1 atm~1.25 MOP (maximum operating pressure) and varying humidity values. Under the above-mentioned environment, the polymer liner may exhibit ageing behavior, which has unknown effects on the hydrogen permeation coefficient and the corresponding service life and maximum charging times of the aged type IV hydrogen storage tanks. Therefore, the ageing performance of thermoplastic liners in type IV hydrogen storage tanks should be taken into account to avoid latent risks. The ageing test conditions should match the practical service conditions of the liners on type IV storage tanks.
Some efforts were taken to understand the ageing behavior of polymers in hydrogen applications. Klopfferet et al. [27] experimentally studied the ageing performance of three different materials, including HDPE, PA11, and PAHM. The results show that the hydrogen permeation coefficients and tensile properties of HDPE had no significant change after 13 months of exposure to hydrogen. The authors concluded that the crystal structure of the material was not changed and the polymer liner did not age within the range of test parameters. Smith et al. [28] executed an experimental evaluation of the durability of type IV hydrogen tank liners during their designed service life, taking the hydrogen permeability of the material as an indicator. The results of the ageing test at 43 MPa show that the hydrogen permeability coefficient of the material decreased with the extension of the ageing test period. In addition, a prediction model of the hydrogen permeability coefficient of HDPE was presented based on the test results. The prediction results show that the hydrogen permeability coefficient of HDPE increased with the increase in the test temperature. The hydrogen permeability coefficient decreased with the increase in temperature cycles.
To conclude, the ageing behaviors of polymer materials in a hydrogen environment were scarcely investigated in the past years. In this paper, the ageing mechanism will be clarified at first, based on which, the ageing test methods required in the existing standards will be reviewed and analyzed. Then the different values for the same item or inconsistent parameters among the several standards will be discussed and some suggestions will be given to provide references for ageing tests in a hydrogen environment.

2. Accelerated Ageing Methods of Thermoplastics

Ageing of non-metallic materials in natural storage conditions is a long-term procedure, which may take many years [29]. To achieve the relationship between ageing performance and various environmental factors in a relatively short term by experiment, an accelerated ageing test should be conducted. It requires an understanding of the accelerated ageing mechanism.
Generally speaking, the temperature dependence of the rate of chemical reactions can be described by the Arrhenius equation [30]:
k = k 0 e E R T
where k is the temperature dependence rate of the chemical reaction, k 0 is the pre-exponential scaling factor, E is the activation energy, R is the universal gas constant, and T is the reaction temperature.
According to the inducement of ageing reaction, ageing performance can be divided into two types. The first type is the physical ageing of non-metallic materials that is closely related to temperature, in which the material relaxation is an intrinsic factor of the ageing reaction. In this case, the relationship between the ageing reaction rate and temperature can also be expressed by the Arrhenius law [31]:
τ ageing = τ ageing , 0 e E R T
where τ ageing = 1 k is the characteristic ageing time, τ ageing , 0 is a constant, and T is the ageing temperature. The ageing reaction rate increases with the growth of temperature. According to the equivalence principle between time and temperature, the increase in reaction temperature equals the decrease in characteristic ageing time. The dynamic curves of the two sets of reaction temperatures can be added by the mobile factor a T [32]:
a T = τ ageing τ ageing , s
where τ ageing and τ ageing , s are characteristic ageing times corresponding to temperature T and T s , respectively. The mobile factor a T satisfies the WLF equation:
lg a T = C 1 ( T T s ) C 2 + T T s
where C 1 and C 2 are constants related to material properties.
The second type of ageing is affected by environmental factors in addition to temperature, such as humidity and radiation intensity [33,34,35,36]. Similarly, the ageing data can be obtained in a relatively short time by enhancing the environmental factors. Generally speaking, most experimental studies about the ageing reaction of polymers are conducted based on the above two types of equivalent accelerated ageing methods.

3. Standards on the Ageing Test of Thermoplastics in Hydrogen Environment

Up to now, two standards are available abroad about the ageing test of thermoplastic liners on type IV hydrogen storage tanks, including ISO 11114-5 developed by the International Organization for Standardization (ISO) and CSA/ANSI CHMC 2:19 developed by the Canadian Standards Association (CSA Group). In China, ageing test relevant information can be found in T/CATSI 02007-2020 [37], which is a group standard published by the Cylinder Safety Standardization and Information Working Committee of China Technical Supervision Information Association.

3.1. ISO 11114-5

ISO 11114-5 was published by ISO in 2022 and the standard title is Gas Cylinders-Compatibility of Cylinder and Valve Materials with Gas Contents-Part 5: Test Methods for Evaluating Plastic Liners. This international standard mainly concentrates on the compatibility test of the thermoplastic liner on type IV tanks in hydrogen applications, in which Clause 5.3 introduces the information about ageing test methods. The test procedures are as follows:
Two samples from the same batch shall be prepared, degassed and dehumidified at first. The recommended method is heating to 65 °C under vacuum (~10 to 50 mbar) until a mass loss of less than 0.1% over a period of 24 h is observed. After degassing and dehumidifying, one sample shall be kept at ambient conditions, while the other is exposed to the aimed hydrogen environment at a temperature not less than the maximum expected temperature in service and the maximum developed pressure of the cylinder for a duration time of 1000 h. The tested sample shall be allowed to cool to ambient temperature before depressurization, and the depressurization rate should be adjusted to avoid blistering, e.g., 10 bar per hour, except if it is intended to investigate the cumulative influence of ageing. Both samples shall be kept in a dry environment for the whole process.
Then, both samples shall be subjected to the intended tests according to Table 2. Changes to the mechanical properties of the aged samples shall be checked and compared to the non-aged samples. A visual inspection shall also be performed to detect types of damage/degradation (e.g., discoloration, crazing, and blistering) or modification of size. These changes shall be photographed and compared with the non-aged samples.

3.2. CSA/ANSI CHMC 2:19

CSA/ANSI CHMC 2:19 was developed by the Technical Committee on Hydrogen Transportation and the Strategic Steering Committee on Transportation of Canada. It was published as a National Standard of Canada by CSA Group and approved by the American National Standards Institute (ANSI) as an American National Standard in 2019. The standard title is Test Methods for Evaluating Material Compatibility in Compressed Hydrogen Applications-Polymers. The ageing test method of polymers in a hydrogen environment is referred to in Clause 5.7, and the details are as follows:
Before the specimens are tested, they should be dehumidified until there is no observable decrease in mass. The recommended method is exposure to dry heat at 60 °C for 48 h or until weight loss of less than 0.5% is achieved over a 1 h measurement period. Then hydrogen static test, hydrogen initial cycling test, and hydrogen extended ageing test shall be conducted successively.
The hydrogen static exposure test shall be conducted as follows for one cycle and the total duration is 192 h: The temperature shall be controlled at 15 °C for a minimum of 24 h or until the apparatus is stabilized to ±1 °C. Increase the pressure to the MOP over a period of 0.1 h and then hold the pressure at the MOP and the temperature at 15 °C for 168 h. Decrease the pressure to ambient over a period of 0.1 h.
The hydrogen initial cycling test shall be conducted in the following manner for 20 cycles and the total duration is 740 h. In a single cycle, the temperature shall be controlled at 55 °C for 36 h at 113% NWP. Decrease pressure to 3% NWP over a period of 0.1 h and hold the pressure at 3% NWP for a period of 1 h. Then, increase the pressure to 113% NWP over a period of 0.1 h.
The hydrogen extended ageing test shall be conducted as follows for 10,000 cycles and the total duration is 3 . 6   ×   10 5   h : The first 1000 cycles shall be conducted in high-temperature condition (55 °C). Control the temperature at 55 °C for 36 h at 113% NWP. Then, decrease the pressure to 3% NWP over a period of 2 to 5 s and hold the pressure at 3% NWP for a period of 5 s. Increase the pressure to 113% NWP over a period of 15 s and hold the pressure at 113% NWP for a period of 5 s. The second 1000 cycles shall be conducted in a low-temperature condition (−40 °C). Control the temperature at −40 °C for 36 h at 80% NWP. Then, decrease the pressure to 3% NWP over a period of 2 to 5 s and hold the pressure at 3% NWP for a period of 5 s. Increase the pressure to 80% NWP over a period of 15 s and hold the pressure at 80% NWP for a period of 5 s. The last 8000 cycles shall be conducted in a nominal temperature condition (15 °C). Control the temperature at 15 °C for 36 h at the NWP. Then decrease the pressure to 3% NWP over a period of 2 to 5 s and hold the pressure at 3% NWP for a period of 5 s. Next, increase the pressure to the NWP over a period of 15 s and hold the pressure at the NWP for a period of 5 s.
After the above three sets of ageing tests, remove the specimen and inspect it for blistering and explosive decompression effects. Then, the following four items of material properties shall be measured to evaluate the ageing behavior: (1) hydrogen diffusion and permeability (gas transmission rates, diffusion coefficients, and permeability coefficients); (2) physical stability (dimensional, mass, and density); (3) material property changes (see Table 3); and (4) material contamination (volatile components in the headspace of a polymer).

3.3. T/CATSI 02007-2020

T/CATSI 02007-2020 was published by the Cylinder Safety Standardization and Information Working Committee of China Technical Supervision Information Association in 2020 and the standard title is Fully-wrapped Carbon Fiber Reinforced Cylinder with a Plastic Liner for on-board Storage of Compressed Hydrogen for Land Vehicles. Appendix A.3.1 illustrates the material tests of the thermoplastic liner, which involves the ageing test of polymer in a hydrogen environment.
Two samples shall be prepared for the ageing test, one of which is subjected to a tensile test and the tensile curve shall be recorded. The other sample shall be placed in the environment test chamber with a pressure of not less than 1.25 NWP and a temperature of not less than 85 °C for 1000 h in a hydrogen atmosphere. Then, the pressure shall be reduced to atmospheric pressure within 100 s. After the tested sample is cooled to room temperature, it is subjected to a tensile test. It is acceptable if the variation in tensile strength and tensile fracture strain is not larger than 20%.

4. Discussions on the Relevant Standards

Compared with ISO 11114-5 and T/CATSI 02007-2020, CSA/ANSI CHMC2:19 requires a longer duration of the ageing test, more evaluation indexes, and more repeated measurements. In this section, discussions are made on the three existing standards according to ageing test procedures, ageing test conditions, evaluation parameters, and acceptance criteria.

4.1. Ageing Test Procedures of Liners in Hydrogen Environment

A comparison of accelerated ageing test procedures of thermoplastic liners on type IV storage tanks in a hydrogen environment among the three existing standards is shown in Table 4. Both ISO 11114-5 and T/CATSI 02007-2020 require exposures in a hydrogen atmosphere in specified sets of temperature and pressure for specified time durations, which is also called a hydrogen static exposure test. CSA/ANSI CHMC2:19 requires an orderly series of ageing tests, including hydrogen static exposure, hydrogen initial cycling, and hydrogen extended ageing tests, among which the hydrogen static exposure test shares an identical operating method with ISO 11114-5 and T/CATSI 02007-2020, but different exposure temperature, pressure, and duration profiles. Both the hydrogen initial cycling and hydrogen extended ageing tests are required to conduct pressure cycles at specified test temperatures.
According to the Arrhenius equation, ageing behavior is closely related to temperature. Several published studies learned behaviors of thermoplastics in a high-pressure hydrogen atmosphere by using hydrogen static exposure, as Table 5 shows. Menon et al.’s [38] conducted hydrogen static exposure experiments on PTFE and HDPE specimens at a temperature of 25 °C and a pressure of 100 MPa for one week to obtain the aged PTFE and HDPE materials. Their ageing tests indicated that hydrogen exposure is possibly changing the polymer chain alignments sufficiently in the time frame of exposure (one week) and at room temperature. Castagnet et al. [39] conducted long-term hydrogen exposure tests for polymers including PE and PA11 and found that the influence of hydrogen was prevalent neither in the tensile behavior nor in microstructure changes.
Klopffer et al. [27] carried out hydrogen static exposure on HDPE and PA11 at the pressure of 0.5 MPa and 2 MPa and the temperature of 20–80 °C and obtained the Arrhenius curves, as Figure 1 shows. It indicates that with the increase in testing temperature, the hydrogen permeability coefficients of polymers increase, leading to a degradation of hydrogen barrier ability. It can be identified that hydrogen static exposure in the high-temperature condition is a reasonable way to accelerate the ageing reaction process of thermoplastic liners.
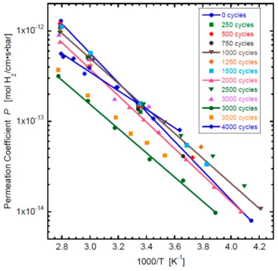
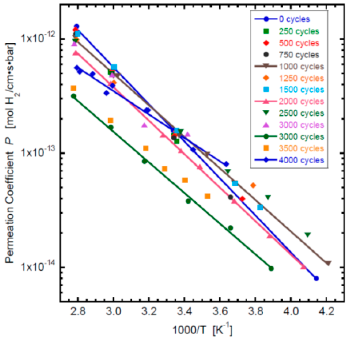
From the perspective of testing details, both the hydrogen initial cycling test and hydrogen extended ageing test defined in CSA/ANSI CHMC 2:19 are pressure cycling tests at different temperatures. According to the practical service conditions of type IV hydrogen tanks, the liners experience both temperature cycling and pressure cycling during processes of rapid charging and discharging. Therefore, the testing methods of temperature cycling and pressure cycling are well-matched with the practical working conditions. Smith et al. [28]’s experiment on an ageing test of HDPE at 43 MPa reveals that the number of temperature cycles has an effect on the ageing performance of thermoplastic materials and both the slope and pre-exponential scaling factor of the hydrogen permeation curves decrease with the increase in cycle numbers, as Figure 2 and Figure 3 show. To balance the cost and the effectiveness of ageing behaviors of temperature/pressure cycling tests, further studies referring to more polymers and test pressures are suggested to be executed.

4.2. Ageing Test Conditions of Liners in Hydrogen Environment

The ageing test conditions, such as exposure time, temperature, pressure, humidity, and depressurization rate are not consistent among the three existing standards, as Table 6 shows.
For the ageing test time in a hydrogen environment, both ISO 11114-5 and T/CATSI 02007-2020 share the same value of 1000 h, while CSA/ANSI CHMC 2:19 requires that the hydrogen static exposure, hydrogen initial cycling, and hydrogen extended ageing tests shall spend 192 h, 740 h, and 3 . 6   ×   10 5   h , respectively. According to Figure 3 obtained by Smith et al. [28], both the pre-exponential factor and activation energy of the Arrhenius equation decrease monotonically with the number of temperature cycles as well as the ageing time. Smith et al. [28] finished 5500 intervals (2200 h) of temperature cycling and the corresponding curve, in which the first three data points obtained by the first 480 temperature cycles (192 h) can be fitted to a monotonic curve owning a similar trend with the completed curve. Menon et al. [38] underlined that the exposure duration of one week (168 h) in their hydrogen static exposure experiment was based on diffusion calculations for the thermoplastics (HDPE and PTFE). The time for the hydrogen concentration to increase from effectively zero to equilibrium was determined for a 20 ksi external pressure at 25 °C. Calculations showed that 13 h were sufficient to achieve complete saturation in all polymers, but to be conservative, samples were exposed for 7 days (13 times more). To conclude, 192 h is considered a superior duration time that balances the economy and safety of the ageing test in a hydrogen atmosphere. The exposure temperatures should match the practical service conditions of the liners on type IV storage tanks. Table 7 lists the reference temperatures for typical applications, in which the referenced maximum, nominal, and minimum temperatures of type IV tank liners used in HFCVs are 85 °C, 15 °C, and −40 °C, respectively. The standard CSA/ANSI CHMC 2:19 requires that the testing temperatures of the hydrogen static exposure test, hydrogen initial cycling test, and hydrogen extended ageing test are 15 °C, 55 °C, and −40–55 °C, respectively. It is inferred that the standard developers considered setting the testing temperatures to fit the ambient temperature in North American countries. The group standard T/CATSI 02007-2020 states that the ageing test temperature is not lower than 85 °C, while the international standard ISO 11114-5 requires a test value not lower than the maximum service temperature of the liners. Because the maximum temperature can reach a value of 85 °C during the rapid charging process of type IV hydrogen storage tanks, the ageing test temperatures required in standards ISO 11114-5 and T/CATSI 02007-2020 are the same. According to Figure 1 and Figure 2, the hydrogen permeability coefficient of polymers increases with the ageing test temperature. This means that the high-temperature condition is the worst case in ageing test procedures and it is reasonable to conduct an ageing test in a hydrogen atmosphere whose temperature is not lower than 85 °C. However, extremely low temperatures may cause the material to become brittle [43] and degrade mechanical properties. Therefore, the influence of hydrogen static exposure in low-temperature conditions (−40 °C) and nominal-temperature conditions (15 °C) on material intensity needs a deeper discussion. What is more, the thermoplastic liners in hydrogen fuel cell vehicles are exposed to large pressure and temperature gradients during fuel consumption and refueling operations. Therefore, investigating the performance of thermoplastics under the effect of a dynamic environment, such as in high-pressure hydrogen cycling (0.1 MPa to 87.5 MPa to 0.1 MPa) with and without temperature cycling (−40 °C to 85 °C) was considered a crucial task that needed to be investigated. Whether the hydrogen static exposure test at a constant temperature and pressure or the temperature cycling test at a constant pressure or the pressure cycling test at a constant temperature is a reasonable way to conduct an ageing test on thermoplastics requires further study.
The ageing test pressures should also match the operating pressures of the objective environment. Table 8 lists the reference test pressures for typical applications, in which the referenced testing pressure of type IV tank liners used in HFCVs is the MOP. According to the definition of temperature-compensated fuel standard, the value of MOP equals 1.25 NWP. The standard ISO 11114-5 claims that the ageing test pressure is the maximum developed pressure of the cylinder, which is normally a little larger than the value of MOP. Considering the coincidence of testing pressure and the practical service conditions, the test pressure of MOP (1.25 NWP) required in T/CATSI 02007-2020 and the hydrogen static exposure test in CSA/ANSI CHMC 2:19 is a proper value of the upper-pressure limit in the ageing test. When it comes to the hydrogen initial cycling test and hydrogen extended ageing test in CSA/ANSI CHMC 2:19, the pressure ranges were provided for each set of testing temperatures. The limited values of pressure can be determined based on the constant density of hydrogen [20].
For the ageing test humidity, both ISO 11114-5 and CSA/ANSI CHMC 2:19 require degassing and dehumidifying the sample before testing and keeping it dry during the whole process. The standard ISO 11114-5 indicates that the moisture content and outgassing of the test specimen can affect the measurement results of the permeation test. The standard CSA/ANSI CHMC 2:19 also states that hydroscopic polymers often have vastly different mechanical and physical properties depending on the moisture content. The group standard T/CATSI 02007-2020 pays little attention to the humidity values in the ageing test in a hydrogen environment. It can be inferred that the moisture content is a non-negligible factor in the ageing test of polymers and further experiments are recommended.
For the depressurization rate, the international standard ISO 11114-5 states that the depressurization rate should be adjusted to avoid blistering. The standard CSA/ANSI CHMC 2:19 requires to decrease the pressure from 1.25 NWP to ambient for a period of 0.1 h (i.e., the average depressurization rate is 12.5 NWP/h) during the hydrogen static exposure test, decrease the pressure from 113% NWP to 3% NWP for a period of 0.1 h (i.e., the average depressurization rate is 11 NWP/h) during the hydrogen initial cycling test, and decrease the pressure from the upper limit to the lower limit over a period of 2–5 s (i.e., the average depressurization rate is 792–1980 NWP/h). The group standard T/CATSI 02007-2020 declares that the pressure should be controlled from 1.25 NWP to ambient for a period of 100 s, which equals an average depressurization rate of 45 NWP/h. It is found that the values of the depressurization rate are different for the three existing standards. A reasonable depressurization rate in an ageing test should meet the practical depressurization rate in service and avoid blistering. Therefore, discharging tests are suggested to help determine a reasonable depressurization rate in the ageing test.

4.3. Evaluation Items and Acceptance Criteria of Ageing Tests

After the accelerated ageing test in a hydrogen environment, material properties shall be tested to evaluate the ageing behavior of thermoplastics, as Table 9 shows. Among the three existing standards, only CSA/ANSI CHMC 2:19 requires measuring the hydrogen permeability coefficient. Both Klopfferet et al. [27] and Smith et al. [28] set the hydrogen permeability coefficient as a critical evaluation parameter of the ageing test in their investigations and the experimental data also indicate that the hydrogen permeation coefficients of thermoplastics vary with testing temperature values and temperature cycling intervals. Smith et al. [28] observed that repetitive temperature cycling decreased H2 permeability in specimens of extruded HDPE by increasing the size of the crystalline regions in the thermoplastics. In addition, the primary function of the liner in type IV is the hydrogen barrier, which is closely related to hydrogen permeation. Therefore, it is considered essential to measure the hydrogen permeability coefficient of polymers after the ageing test.
All three existing standards require measuring mechanical properties of the material after the ageing test. According to the stress condition of the thermoplastic liners of type IV composite tanks in practical service conditions, the liner materials will be subjected to extrusion stresses along the thickness direction and tensile stresses along the spanwise direction. In addition, the liner may be subjected to bending stresses due to uneven stresses in the process of charging and discharging. The above stresses may cause the discontinuity of the local structure of the liner, and the effect of this phenomenon on the liner’s performance is not clear. The degradation of material properties by high-pressure hydrogen is an important factor in determining the safety and reliability of materials used in high-pressure hydrogen storage and delivery. Menon et al. [38]’s study indicates that the aged specimens of both PTFE and HDPE behave similarly, showing an increase in Young’s modulus and a change in the stiffness with hydrogen exposure. Castagnet et al. [39] found that the influence of hydrogen was prevalent neither in the tensile behavior nor in microstructure changes. They concluded that the design of hydrogen-dedicated parts could be based on the data obtained in atmosphere air, even for long-term use. They also carried out tensile tests on polymers including PE, PA11, and multi-layer systems in air, nitrogen, and hydrogen atmospheres to point out the effects of gas and pressure [40]. However, all the above studies adapt ex situ measurements of mechanical properties, which is problematic, as hydrogen damage mechanisms have a time dependence linked to hydrogen outgassing after exposure to the hydrogen atmosphere. In this case, Alvine et al. [42] designed a solenoid-based in situ tensile tester under high-pressure hydrogen environments up to 42 MPa and carried out tensile tests on the aged HDPE specimens with three testing pressures of 28 MPa, 31 MPa, and 35 MPa, respectively. They observed decreasing ultimate tensile strength (UTS) with the increasing testing pressure. The modulus data from HDPE samples tested under high-pressure hydrogen at 35 MPa (5000 psi) are also reported as compared to baseline measurements taken in the air. To conclude, there are two suggestions for the next works. One is that more in situ mechanical properties testers should be developed to help understand the relationship between the ageing parameters and all kinds of mechanical damages. The other is that further experimental studies are suggested to determine whether the mechanical properties, such as tensile properties, bending properties, and compression properties of materials should be set as evaluating items of the ageing tests in a hydrogen environment.
The qualified indexes in each standard corresponding to the evaluating items in Table 9 are listed in Table 10. For the hydrogen permeability of materials, only CSA/ANSI CHMC 2:19 gives a qualified hydrogen leakage index of 6 NmL/(h·L), which is consistent with the value of the hydrogen leakage rate for onboard high-pressure hydrogen storage tanks required in GTR13 [44] and ISO19881 [45]. The calculation method of the hydrogen leakage qualification index can be found in the literatures of Adams et al. [46] and Guo et al. [47].
As for the mechanical properties of materials, it is stipulated in T/CATSI 02007-2020 that the change in average tensile strength and average nominal strain at tensile fracture (i.e., elongation) of materials shall not exceed 20%. Another two standards care about the above two items but do not give a qualifying indicator. The relationship between the tensile, bending, and compression properties of the polymers and the ageing behaviors of the liner needs further investigation.

5. Conclusions and Suggestions

The primary function of the type IV hydrogen tank liner is the gas barrier, which determines the hydrogen retention effect of the liner in extreme ambient temperatures and high operating pressure conditions. Owing to repeated temperature/pressure cycles during service life, the ageing effect may occur in the thermoplastic liners and lead to a series of degraded characteristics, such as hydrogen permeability coefficient and mechanical properties and even increase the leakage risks of type IV tanks. To ensure the safety of the type IV tank, ageing tests in the hydrogen atmosphere are necessary. However, the ageing test methods are inconsistent among the several current standards at home and abroad, leading to difficulties in conducting ageing tests on thermoplastic liners. This paper focuses on the ageing behaviors of thermoplastic liners for on-aboard type IV tanks of HFCVs in hydrogen applications. Testing methods and acceptance criteria of ageing behaviors for thermoplastics in the existing three standards are compared and analyzed. Combining the experimental data in the literature, some conclusions are obtained and several suggestions are provided as follows:
To simulate and restore the real service conditions of the liners of type IV hydrogen storage tanks with a relatively small cost, hydrogen static exposure in high-temperature conditions with constant temperature and pressure is suggested to be a reasonable way to accelerate the ageing reaction of thermoplastic liner materials. A time of 192 h is considered a superior ageing test duration time to balance the test economy and safety. The ageing test temperature in the high-temperature condition is suggested to be not lower than 85 °C, while the upper limit of the test pressure is suggested to be 1.25 NWP. In addition, the permeability coefficient in hydrogen is recognized as an important parameter in the ageing performance evaluation of the polymers and the qualified hydrogen leakage of 6 NmL/(h·L) is recommended.
The performance of thermoplastics under the influence of a dynamic environment, such as in high-pressure cycling of hydrogen (0.1 MPa to 87.5 MPa to 0.1 MPa) with and without temperature cycling (−40 °C to 85 °C) is suggested to closely mimic actual application conditions of the liners of type IV hydrogen tanks. The influence of temperature cycling/pressure cycling, depressurization rate, and humidity on the ageing performance of polymers in hydrogen applications is advised to be investigated experimentally. The influence of hydrogen static exposure in low-temperature condition (−40 °C) and nominal-temperature condition (15 °C) on material intensity is suggested to be discussed more intensely. Once the ageing test conditions are determined, the parameter influence investigations on tensile, flexural, and compressed properties are suggested to be developed to obtain the relationship between the mechanical property degradations and the ageing behaviors in the hydrogen atmosphere. The conclusions and advice could be used as references for ageing test methods of thermoplastic liners on type IV composite tanks in hydrogen applications.

Author Contributions

Conceptualization, J.L. (Jun Li) and R.L.; methodology, X.L.; formal analysis, R.L. and J.L. (Jiepu Li); investigation, J.L. (Jun Li), X.L. and Y.L.; data curation, C.G.; writing—original draft preparation, R.L.; writing—review and editing, J.L. (Jun Li); supervision, X.L.; project administration, X.L. All authors have read and agreed to the published version of the manuscript.

Funding

This research was funded by the National Key Research & Development Program of China, grant number 2019YFB1504805, and the Key Project Plan of China Special Equipment Inspection and Research Institute, Key technology and equipment for performance test of high-pressure IV hydrogen storage cylinder, grant number 2022 Key Project Plan 10.

Data Availability Statement

The original data is unavailable due to privacy or ethical restrictions.

Conflicts of Interest

The authors declare no conflict of interest. The funders had no role in the design of the study; in the collection, analyses, or interpretation of data; in the writing of the manuscript; or in the decision to publish the results.

References

  1. Mcdowall, W.; Eames, M. Forecasts, scenarios, visions, backcasts and roadmaps to the hydrogen economy: A review of the hydrogen futures literature. Energy Policy 2006, 34, 1236–1250. [Google Scholar] [CrossRef]
  2. Zheng, J.; Li, J.; Huang, Q.; Ou, K.; Zhao, Y.; Kiu, P. Technology trends of high pressure vehicle fuel tanks and challenges for China. Press. Vessel 2014, 31, 43–51. (In Chinese) [Google Scholar]
  3. Wang, D.L.; Liao, B.B.; Zheng, J.Y.; Huang, G.; Hua, Z.L.; Gu, C.H.; Xu, P. Development of regulations, codes and standards on composite tanks for on-board gaseous hydrogen storage. Int. J. Hydrog. Energy 2019, 44, 22643–22653. [Google Scholar] [CrossRef]
  4. Choi, Y.; Kim, J.; Park, S.; Park, H.; Chang, D. Design and analysis of liquid hydrogen fuel tank for heavy duty truck. Int. J. Hydrog. Energy 2022, 32, 47. [Google Scholar] [CrossRef]
  5. Xu, W.; Li, Q.; Huang, M. Design and analysis of liquid hydrogen storage tank for high-altitude long-endurance remote-ly-operated aircraft. Int. J. Hydrog. Energy 2015, 40, 16578–16586. [Google Scholar] [CrossRef]
  6. Singh, S.B.; De, M. Thermally exfoliated graphene oxide for hydrogen storage—ScienceDirect. Mater. Chem. Phys. 2020, 239, 122102. [Google Scholar] [CrossRef]
  7. Schneemann, A.; White, J.L.; Kang, S.; Jeong, S.; Wan, L.F.; Cho, E.S.; Heo, T.W.; Prendergast, D.; Urban, J.J.; Wood, B.C.; et al. Nanostructured Metal Hydrides for Hydrogen Storage. Chem. Rev. 2018, 118, 10775–10839. [Google Scholar] [CrossRef]
  8. Singh, S.B.; De, M. Scope of doped mesoporous (<10 nm) surfactant-modified alumina templated carbons for hydrogen storage applications. Int. J. Energy Res. 2019, 43, 4264–4280. [Google Scholar]
  9. Hirscher, M.; Panella, B.; Schmitz, B. Metal-organic frameworks for hydrogen storage. Microporous Mesoporous Mater. 2010, 129, 335–339. [Google Scholar] [CrossRef]
  10. Zheng, J.Y.; Hu, J.; Han, W.L.; Hua, Z.L.; Ye, S. Risk analysis and come countermeasures of pressure equipment for hydrogen energy in China. Press. Vessel 2020, 37, 39–47. (In Chinese) [Google Scholar]
  11. GB/T 35544-2017; Carbon Fiber Full—Wrapped with Aluminum Liner Hydrogen Cylinder for Vehicle. State Administration for Market Regulation: Beijing, China, 2017.
  12. Quantum Fuel Systems. Advanced CNG Fuel Storage Tanks. Available online: http://www.qtww.com/ (accessed on 12 March 2023).
  13. Yoshida, T.; Kojima, K. Toyota MIRAI fuel cell vehicle and progress toward a future hydrogen society. Electrochem. Soc. Interface 2015, 24, 45–49. [Google Scholar] [CrossRef]
  14. ILJIN Composites. Composite High Pressure Tank. Available online: http://www.composite.co.kr:8088/ (accessed on 12 March 2023).
  15. Ahluwalia, R.K.; Hua, T.Q.; Peng, J.K.; Lasher, S.; McKenney, K.; Sinha, J.; Gardiner, M. Technical assessment of compressed hydrogen storage tank systems for automotive applications. Int. J. Hydrog. Energy 2010, 35, 4171–4184. [Google Scholar] [CrossRef]
  16. Eberle, U.; Müller, B.; Helmolt, R.V. Fuel cell electric vehicles and hydrogen infrastructure: Status 2012. Energy Environ. Sci. 2012, 5, 8780–8798. [Google Scholar] [CrossRef]
  17. Wang, X.; Tian, M.; Chen, X.; Xie, P.; Yang, J.; Chen, J.; Yang, W. Advances on materials design and manufacture technology of plastic liner of type IV hydrogen storage vessel. Int. J. Hydrog. Energy 2022, 47, 8382–8408. [Google Scholar] [CrossRef]
  18. ISO 11114-5; Gas Cylinders-Compatibility of Cylinder and Valve Materials with Gas Contents. ISO: Geneva, Switzerland, 2022.
  19. SAE J2579; Standard for Fuel Systems in Fuel Cell and Other Hydrogen Vehicles. SAE: Warrendale, PA, USA, 2018.
  20. CSA ANSI CHMC 2-19; Test Methods for Evaluating Material Compatibility in Compressed Hydrogen Applications-Polymers. CSA Gas Standards (CSA/AM): Toronto, ON, Canada, 2019.
  21. Jung, J.K.; Kim, I.G.; Kim, K.-T.; Baek, U.B.; Nahm, S.H. Novel volumetric analysis technique for characterizing the solubility and diffusivity of hydrogen in rubbers. Curr. Appl. Phys. 2021, 26, 9–15. [Google Scholar] [CrossRef]
  22. Jung, J.K.; Kim, K.T.; Chung, K.S. Two volumetric techniques for determining the transport properties of hydrogen gas in polymer. Mater. Chem. Phys. 2022, 276, 125364. [Google Scholar] [CrossRef]
  23. Prewitz, M.; Gaber, M.; Müller, R.; Marotztke, C.; Holtappels, K. Polymer coated glass capillaries and structures for high-pressure hydrogen storage: Permeability and hydrogen tightness. Int. J. Hydrog. Energy 2018, 43, 5637–5644. [Google Scholar] [CrossRef]
  24. Firpo, G.; Setina, J.; Angeli, E.; Repetto, L.; Valbusa, U. High-vacuum setup for permeability and diffusivity measurements by membrane techniques. Vacuum 2021, 191, 110368. [Google Scholar] [CrossRef]
  25. Yersak, T.A.; Baker, D.R.; Yanagisawa, Y.; Slavik, S.; Immel, R.; Mack-Gardner, A.; Herrmann, M.; Cai, M. Predictive model for depressurization-induced blistering of type IV tank liners for hydrogen storage. Int. J. Hydrog. Energy 2017, 42, 28910–28917. [Google Scholar] [CrossRef]
  26. Yukawa, H.; Morinaga, M.; Nambu, T.; Matsumoto, Y. A new concept for alloy design of Nb-based hydrogen permeable alloys with high hydrogen permeability and strong resistance to hydrogen embrittlement. Mater. Sci. Forum 2010, 654–656, 2827–2830. [Google Scholar] [CrossRef]
  27. Klopffer, M.H.; Berne, P.; Weber, M.; Castagnet, S.; Hochstetter, G.; Espuche, E. New Materials for Hydrogen Distribution Networks: Materials Development & Technico-Economic Benchmark. Defect Diffus. Forum 2012, 323–325, 407–412. [Google Scholar]
  28. Smith, B.; Anovitz, L.M. Lifecycle Verification of Tank Liner Polymers; Oak Ridge National Lab. (ORNL): Oak Ridge, TN, USA, 2014. [Google Scholar]
  29. Mayandi, K.; Rajini, N.; Ayrilmis, N.; Devi, M.I.; Siengchin, S.; Mohammad, F.; Al-Lohedan, H.A. An overview of endurance and ageing performance under various environmental conditions of hybrid polymer composites. J. Mater. Res. Technol. 2020, 9, 15962–15988. [Google Scholar] [CrossRef]
  30. Li, A. Ageing and life estimation of rubber (continued)-Chapter 10: Prediction of rubber storage period or property variations. Rubber Ref. 2009, 39, 29–71. (In Chinese) [Google Scholar]
  31. Lellinger, D.; Alig, I.; Oehler, H.; Rode, K.; Malz, F.; Herkenrath, L.M.; Youn, J.Y. Accelerated thermal aging of thermoplastic materials for the motor compartment: Characterization, degradation model and lifetime prediction—ScienceDirect. In Service Life Prediction of Polymers and Coatings; William Andrew Publishing: Norwich, CT, USA, 2020; pp. 117–161. [Google Scholar]
  32. He, M.J.; Chen, W.X.; Dong, X.X. Polymer Physics; Fudan University Press: Shanghai, China, 2000. (In Chinese) [Google Scholar]
  33. Pecht, M. Aging of thermoplastics. Mech. Res. Commun. 1985, 12, 11–18. [Google Scholar]
  34. Loubens, J.; Chahinian, M.; Thomas, L.C. Measurement of Physical Aging and Initial Crystallinity in Thermoplastics Polymers. In Proceedings of the Society of Plastics Engineers-EUROTECH, Lyon, France, 4–5 July 2013; pp. 610–614. [Google Scholar]
  35. Dao, N.L.; Lewin, P.L.; Hosier, I.L.; Swingler, S.G. A comparison between LDPE and HDPE cable insulation properties following lightning impulse ageing. In Proceedings of the IEEE International Conference on Solid Dielectrics, Potsdam, Germany, 4–9 July 2010. [Google Scholar]
  36. Alghamdi, M.N. Performance for Fly Ash Reinforced HDPE Composites over the Ageing of Material Components. Polymers 2022, 14, 2913. [Google Scholar] [CrossRef]
  37. T/CATSI 02007-2020; Carbon Fiber Full—Wrapped with Plastic Liner Hydrogen Cylinder for Vehicle. China Technical Supervision and Intelligence Association: Beijing, China, 2020.
  38. Menon, N.C.; Kruizenga, A.M.; Alvine, K.J.; San Marchi, C.; Nissen, A.; Brooks, K. Behaviour of Polymers in High Pressure Environments as Applicable to the Hydrogen Infrastructure. In Proceedings of the ASME 2016 Pressure Vessels and Piping Conference, Vancouver, BC, Canada, 17–21 July 2016; American Society of Mechanical Engineers: New York, NY, USA, 2016; Volume 6B, p. 63713. [Google Scholar]
  39. Castagnet, S.; Grandidier, J.-C.; Comyn, M.; Benoît, G. Effect of Long-Term Hydroge Exposure on the Mechanical Properties of Polymers Used for Pipes and Tested in Pressurized Hydrogen. Int. J. Press. Vessel. Pip 2012, 89, 203–209. [Google Scholar] [CrossRef]
  40. Castagnet, S.; Grandidier, J.-C.; Comyn, M.; Benoît, G. Hydrogen Influence on the Tensile Properties of Mono and Multi-Layer Polymers for Gas Distribution. Int. J. Hydrog. Energy 2010, 35, 7633–7640. [Google Scholar] [CrossRef]
  41. Castagnet, S.; Grandidier, J.-C.; Comyn, M.; Benoît, G. Mechanical Testing of Polymers in Pressurized Hydrogen: Tension, Creep and Ductile Fracture. Exp. Mech. 2012, 52, 229–239. [Google Scholar] [CrossRef]
  42. Alvine, K.J.; Kafentzis, T.A.; Pitman, S.G.; Johnson, K.I.; Skorski, D.; Tucker, J.C.; Roosendaal, T.J.; Dahl, M.E. An in Situ Tensile Test Apparatus for Polymers in High Pressure hydrogen. Rev. Sci. Instrum. 2014, 85, 105110. [Google Scholar] [CrossRef]
  43. Jia, Z.; Li, T.; Chiang, F.P.; Wang, L. An experimental investigation of the temperature effect on the mechanics of carbon fiber reinforced polymer composites. Compos. Sci. Technol. 2018, 154, 53–63. [Google Scholar] [CrossRef]
  44. Zheng, J.Y.; Ou, K.S.; Shao, Z.Y.; He, Y.T. Introduction for the Draft of Global Technical Regulation for Hydrogen Fuel Cell Vehicles. Stand. Sci. 2010, 12, 52–57. (In Chinese) [Google Scholar]
  45. ISO 19881; Gaseous Hydrogen-Land Vehicle Fuel Containers. ISO: Geneva, Switzerland, 2018.
  46. Adams, P.; Bengaouer, A.; Cariteau, B.; Molkov, V.; Venetsanos, A. Allowable hydrogen permeation rate from road vehicles. Int. J. Hydrog. Energy 2011, 36, 2742–2749. [Google Scholar] [CrossRef]
  47. Guo, S.; Lv, J.; Gao, Z.; Xue, H.; Liang, J.; Sun, F. Discussion on permeability parameters of fully-wrapped hydrogen storage cylinder with non-metal liner. Low Temp. Spec. Gases 2020, 38, 16–18. (In Chinese) [Google Scholar]
Figure 1. Arrhenius curves for 3 polymers [27].
Figure 1. Arrhenius curves for 3 polymers [27].
Energies 16 02818 g001
Figure 2. Arrhenius curves for HDPE [28].
Figure 2. Arrhenius curves for HDPE [28].
Energies 16 02818 g002
Figure 3. Relationship of pre-exponential scaling factor and activation energy of Arrhenius equation with temperature cycling intervals [28].
Figure 3. Relationship of pre-exponential scaling factor and activation energy of Arrhenius equation with temperature cycling intervals [28].
Energies 16 02818 g003
Table 1. Comparisons between two kinds of compressed hydrogen storage tanks.
Table 1. Comparisons between two kinds of compressed hydrogen storage tanks.
Hydrogen Storage Tank TypePressure
(MPa)
Temperature
(°C)
Costs
(Dollars)
Mass Hydrogen Storage Density (wt%)Life Cycles
(Years)
References
Type III35−40–853085≤4.815[2,3]
703920
Type IV35−40–852865≤6.815[2,3,10]
703488
Table 2. Mechanical property testing items in ISO 11114-5 [18].
Table 2. Mechanical property testing items in ISO 11114-5 [18].
Material PropertyStandardRecommended Specimen Type
Tensile strength, modulus, elongationISO 527ISO 3167 type A (4 mm thick)
Flexural modulusISO 178 80   ×   10   ×   4   mm
Notched Charpy impact strength or
Tensile impact
ISO 179-2/1eA
ISO 8256
80   ×   10   ×   4   mm
ISO 8256 type III
Table 3. Mechanical tests and methods for thermoplastics [20].
Table 3. Mechanical tests and methods for thermoplastics [20].
Material PropertyStandardRecommended Specimen Type
Tensile strengthASTM D638, ISO 527ISO 3167 type A (4 mm thick)
Tensile modulusASTMD638, ISO 527ISO 3167 type A (4 mm thick)
Flexural modulusASTMD638, ISO 178 80 × 10 × 4   mm
Notched Charpy impact strength or
tensile impact
ISO 179/1eA
ISO 8256
80 × 10 × 4   mm
ISO 8256 type II
Table 4. Comparison of accelerated ageing test procedures among three existing standards.
Table 4. Comparison of accelerated ageing test procedures among three existing standards.
Ageing Test ItemHydrogen Static ExposureHydrogen Initial CyclingHydrogen Extended Ageing
Standard Number
ISO/FDIS 11114-5××
CSA/ANSI CHMC 2:19
T/CATSI 02 007-2020××
Table 5. Investigations on ageing behaviors of thermoplastics in a compressed hydrogen environment.
Table 5. Investigations on ageing behaviors of thermoplastics in a compressed hydrogen environment.
NumberMaterialTemperaturePressureDurationTesting ItemsPhenomenonLiterature
1PTFE (used as seals in compressors)25 °C100 MPa1 weekMechanical properties (Young’s modulus, yield stress, strength)Improved mechanical properties (Young’s modulus, yield stress, and strength values are increased)Menon et al. [38]
2HDPE (used as tank liners)25 °C100 MPa1 weekModulus; Tg; compression set properties; density; outgassing characteristics; Tensile strengthImproved mechanical properties (Young’s modulus, yield stress, and strength values are increased)Menon et al. [38]
3PE100
PA11
80 °C2 MPa9 monthsCrystallinity ratios; mechanical propertiesIncreased crystallinity ratios; no change in mechanical properties Castagnet et al. [39,40,41]
20 °C2 MPa13 months
80 °C0.5 MPa13 months
80 °C2 MPa1 month
50 °C2 MPa13 months
20 °C0.5 MPa13 months
4HDPENot concerned0 MPa,
28 MPa,
31 MPa,
35 MPa
20 hUltimate tensile strength (UTS)Decreased ultimate tensile strength (UTS) with increasing testing pressure Alvine et al. [42]
5HDPE, PA11, PAHM20, 50, 80 °C0.5 MPa,
2 MPa
1 yearPermeation coefficient (in situ method)Unchanged permeation coefficient; irrespective of the aged pressure and temperatureKlopffer et al. [27]
6HDPEThermal cycling between −40 and 85 °C43 MPa1200 h (4000 cycles and 0.3 h/cycle)Permeation coefficient (periodic measurements); porosityProgressive changes in the permeation curves; significant structural changes in porositySmith et al. [28]
Table 6. Comparison of ageing test conditions among the three existing standards.
Table 6. Comparison of ageing test conditions among the three existing standards.
Test Conditions Test DurationTest TemperatureTest PressureTest HumidityDepressurization Rate
Standard Number
ISO 11114-5 1000 h≥Maximum expected temperature in serviceMaximum developed pressure of the cylinderdry--
CSA/ANSI CHMC 2:19Hydrogen static exposure192 h15 °C1.25 NWPdry12.5 NWP/h
Hydrogen initial cycling740 h55 °C113% NWP–3% NWP11 NWP/h
Hydrogen extended ageing 3 . 6   ×   10 5   h 55 °C
−40 °C
15 °C
113% NWP–3% NWP,
80% NWP–3% NWP,
NWP–3% NWP
Pmax to Pmin
in 2–5 s
T/CATSI 02 007-2020 1000 h≥85 °C≥1.25 NWP--45 NWP/h
Table 7. Reference temperatures for selected applications [20].
Table 7. Reference temperatures for selected applications [20].
Application TypeRecommended Test Temperatures
On-board fuel cell automotive or material handling vehicle, on-board internal combustion engine (ICE) vehicle (except engine compartment), or fuelling stationMaximum: 85 °C
Nominal: 15 °C
Minimum: −40 °C
Table 8. Reference test pressures for selected applications [20].
Table 8. Reference test pressures for selected applications [20].
Application TypeRecommended Test Pressures
On-board hydrogen storage system for fuel cell vehicles, material handling vehicles, or internal combustion engine (ICE) vehicleMOP: 87.5 MPa [ 1 . 25   ×   NWP as defined by temperature compensation fuelling standards]
NWP: 70 MPa
Table 9. Comparison of evaluating parameters among the three existing standards.
Table 9. Comparison of evaluating parameters among the three existing standards.
Ageing Test ItemsHydrogen Permeability CoefficientTensile
Strength
Tensile
Modulus
ElongationFlexural Modulus
Standard Number
ISO/FDIS 11114-5×
CSA/ANSI CHMC 2:19×
T/CATSI 02 007-2020×××
Table 10. Comparison of the acceptance criteria of ageing behaviors among the three existing standards.
Table 10. Comparison of the acceptance criteria of ageing behaviors among the three existing standards.
Ageing Test ItemsHydrogen Permeability CoefficientTensile
Strength
Tensile
Modulus
ElongationFlexural Modulus
Standard Number
ISO/FDIS 11114-5------
CSA/ANSI CHMC 2:19 6   NmL / ( h · L ) ------
T/CATSI 02 007-2020--≤20%--≤20%--
Disclaimer/Publisher’s Note: The statements, opinions and data contained in all publications are solely those of the individual author(s) and contributor(s) and not of MDPI and/or the editor(s). MDPI and/or the editor(s) disclaim responsibility for any injury to people or property resulting from any ideas, methods, instructions or products referred to in the content.

Share and Cite

MDPI and ACS Style

Li, J.; Lv, R.; Gu, C.; Liu, Y.; Li, J.; Li, X. An Ageing Test Standards Analysis on Thermoplastic Liners of Type IV Composite Hydrogen Storage Tanks. Energies 2023, 16, 2818. https://doi.org/10.3390/en16062818

AMA Style

Li J, Lv R, Gu C, Liu Y, Li J, Li X. An Ageing Test Standards Analysis on Thermoplastic Liners of Type IV Composite Hydrogen Storage Tanks. Energies. 2023; 16(6):2818. https://doi.org/10.3390/en16062818

Chicago/Turabian Style

Li, Jun, Rongrong Lv, Chunlin Gu, Yitao Liu, Jiepu Li, and Xiang Li. 2023. "An Ageing Test Standards Analysis on Thermoplastic Liners of Type IV Composite Hydrogen Storage Tanks" Energies 16, no. 6: 2818. https://doi.org/10.3390/en16062818

APA Style

Li, J., Lv, R., Gu, C., Liu, Y., Li, J., & Li, X. (2023). An Ageing Test Standards Analysis on Thermoplastic Liners of Type IV Composite Hydrogen Storage Tanks. Energies, 16(6), 2818. https://doi.org/10.3390/en16062818

Note that from the first issue of 2016, this journal uses article numbers instead of page numbers. See further details here.

Article Metrics

Back to TopTop