An Improved Over-Speed Deloading Control of Wind Power Systems for Primary Frequency Regulation Considering Turbulence Characteristics
Abstract
1. Introduction
- the influence mechanism of turbulent wind speed on the OSD control is analyzed;
- the relationship between the reserve capacity of OSD control and deloading power coefficient under turbulent wind speed is analyzed, and the quantitative relationship between the turbulence characteristics and the deloading power coefficient is obtained;
- based on the relationships above, the range of the deloading power coefficient of the OSD control is obtained, and a reasonable algorithm for setting the coefficient is designed, therefore the OSD control is improved to respond to turbulence characteristics.
2. The Model and Control Strategy
2.1. The Model of Wind Power Participating in Primary Frequency Regulation
2.2. OSD Control
3. Analysis of Difficulties and Mechanism of OSD Control under Turbulent Wind Speed
4. Improved OSD Control Considering Turbulence Characteristics
4.1. Analysis of the Influence of on Frequency Regulation
4.1.1. Relationship between and Frequency Deviation under Turbulent Wind Speed
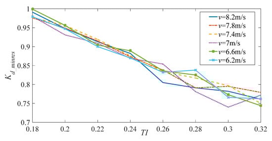
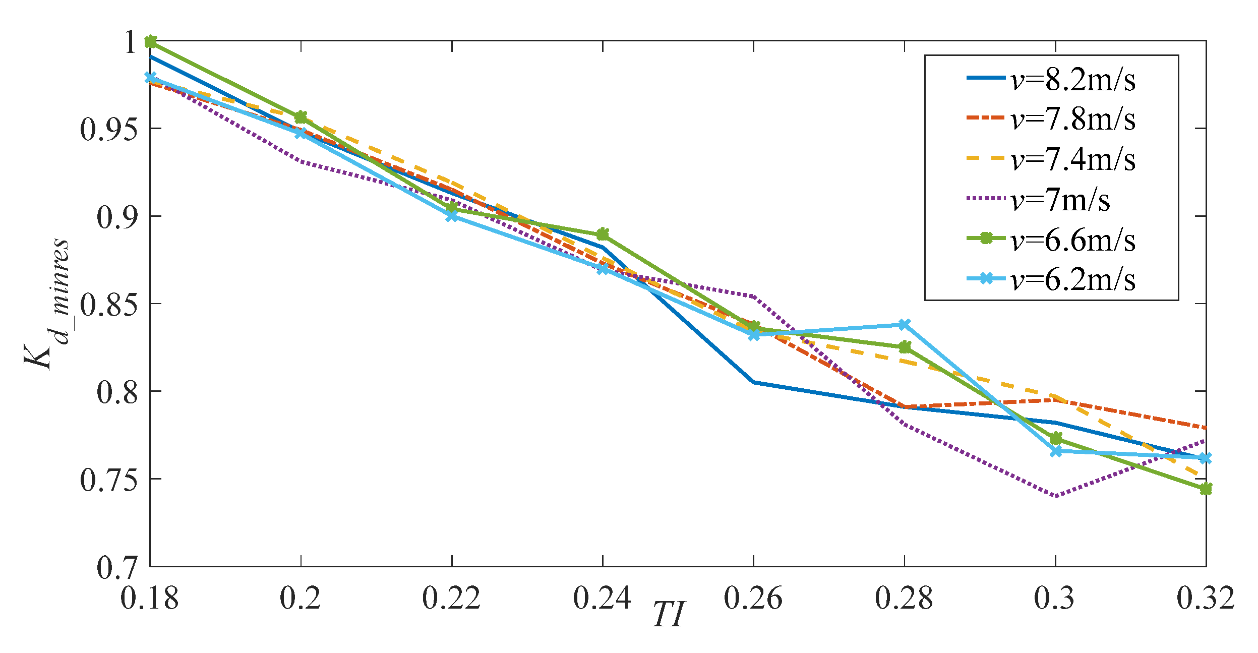
4.1.2. Mathematical Relationship between and Turbulence Characteristics
4.1.3. The Range of
4.2. Improved OSD Control Considering Turbulence Characteristics
- Step 1: initialize. Set the update cycle T of the deloading power coefficient, then put the number k of cycles into 0;
- Step 2: let k = k + 1, and use the wind speed prediction to obtain the average wind speed and turbulence intensity TI(k) of the wind speed during current cycle;
- Step 3: calculate the Kd(k) of the current cycle with Equation (12);
- Step 4: judge whether the current cycle is over. If it is over, return to step 2.
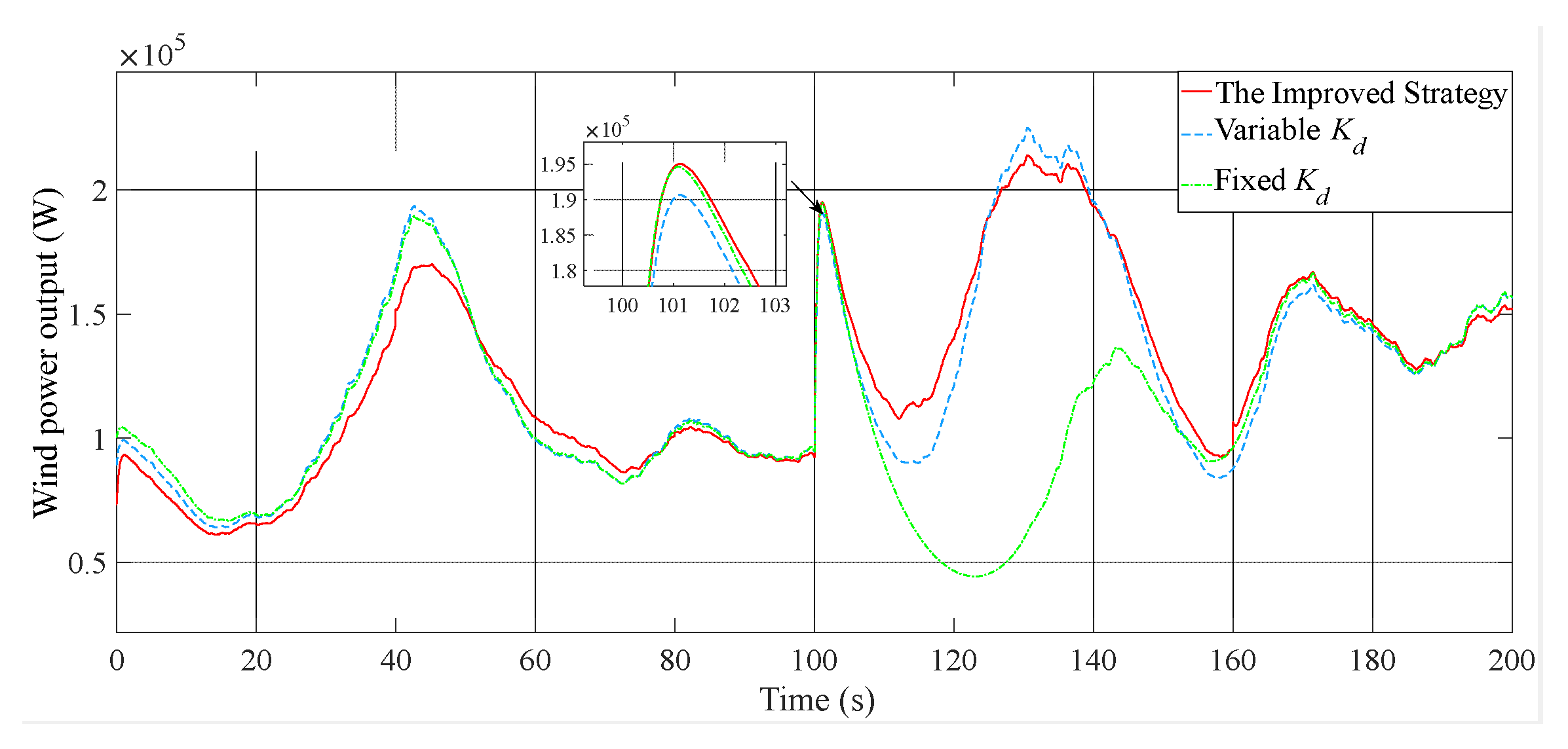
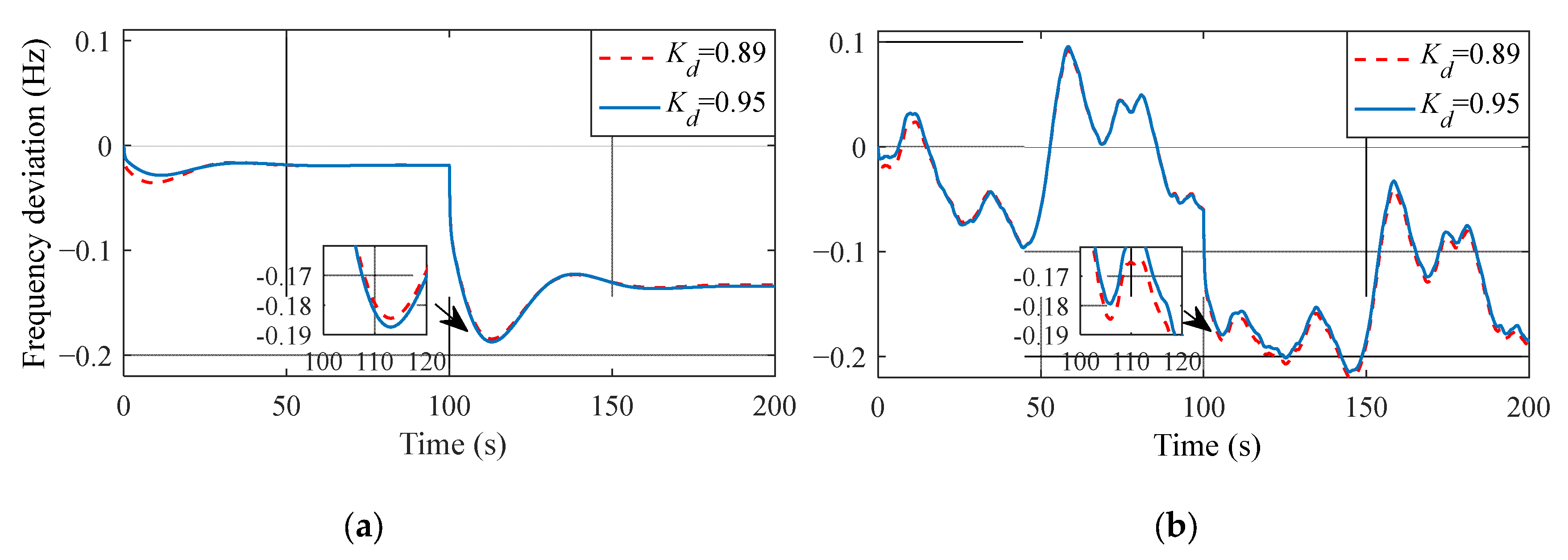
5. Example Analysis
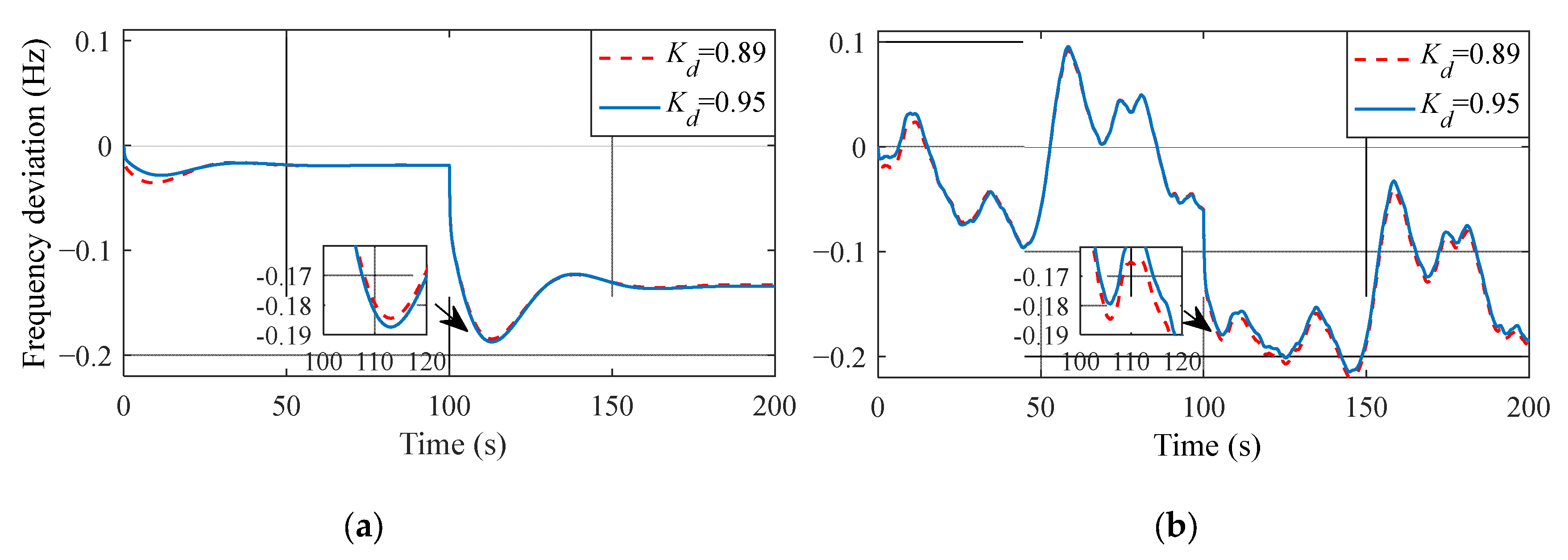
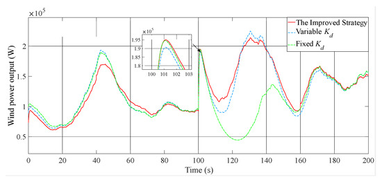
5.1. Simulation Analysis
- Simulation parameters
- 2.
- Analysis of simulation results
5.2. Experimental Analysis
6. Conclusions
- The mechanism of poor control effect of OSD control under turbulent wind speed is revealed; the OSD control has the effect of improving the output power of wind power system, thus reducing the reserved power and weakening the frequency regulation effect.
- The influence of deloading power coefficient on reserve capacity and frequency deviation is analyzed. It is found that there is an extreme value that minimizes the reserve capacity of the wind power system, and the extreme value will change with the turbulence characteristics of turbulent wind speed.
- The mathematical relationship between the deloading power coefficient corresponding to the minimum reserve capacity and the turbulence characteristic index is obtained, and the reasonable range of the deloading power coefficient under different wind conditions is proposed accordingly.
- An algorithm for optimizing deloading power coefficient based on turbulence characteristics is proposed, which can make wind turbines effectively respond to different wind conditions, provide reserve capacity stably and quickly, and improve the frequency regulation effect under turbulent wind speed.
Author Contributions
Funding
Data Availability Statement
Conflicts of Interest
References
- Lu, L.; Saborío-Romano, O.; Cutululis, N.A. Frequency Control in Power Systems with Large Share of Wind Energy. Energies 2022, 15, 1922. [Google Scholar] [CrossRef]
- Liu, H.; Wang, P.; Zhao, T.; Fan, Z.; Pan, H. A Group-Based Droop Control Strategy Considering Pitch Angle Protection to Deloaded Wind Farms. Energies 2022, 15, 2722. [Google Scholar] [CrossRef]
- Ding, L.; Yin, S.; Wang, T.X.; Liu, J. Active Rotor Speed Protection Strategy for DFIG-based Wind Turbines with Inertia Control. Autom. Electr. Power Syst. 2015, 39, 29–34. [Google Scholar]
- Chen, Y.; Wang, G.; Shi, Q.; Fu, L.J.; Jiang, W.T.; Huang, H. A New Coordinated Virtual Inertia Control Strategy for Wind Farms. Autom. Electr. Power Syst. 2015, 39, 27–33. [Google Scholar]
- Yan, X.; Cui, S.; Chang, W. Primary Frequency Regulation Control Strategy of Doubly-Fed Induction Generator Considering Supercapacitor SOC Feedback Adaptive Adjustment. Trans. China Electrotech. Soc. 2021, 36, 1027–1039. [Google Scholar] [CrossRef]
- Yan, X.; Cui, S.; Wang, D.; Wang, Y.; Li, T. Inertia and Primary Frequency Regulation Strategy of Doubly-fed Wind Turbine Based on Super-capacitor Energy Storage Control. Autom. Electr. Power Syst. 2020, 44, 111–129. [Google Scholar]
- De Almeida, R.G.; Pecas Lopes, J.A. Participation of Doubly Fed Induction Wind Generators in System Frequency Regulation. IEEE Trans. Power Syst. 2007, 22, 944–950. [Google Scholar] [CrossRef]
- Ghosh, S.; Kamalasadan, S.; Senroy, N.; Enslin, J. Doubly Fed Induction Generator (DFIG)-Based Wind Farm Control Framework for Primary Frequency and Inertial Response Application. IEEE Trans. Power Syst. 2016, 31, 1861–1871. [Google Scholar] [CrossRef]
- Hu, J.X.; Xu, G.Y.; Bi, T.S.; Cui, H.B. A strategy of frequency control for deloaded wind turbine generator based on coordination between rotor speed and pitch angle. Power Syst. Technol. 2019, 43, 3656–3662. [Google Scholar] [CrossRef]
- Boyle, J.; Littler, T.; Foley, A.M. Frequency Regulation and Operating Reserve Techniques for Variable Speed Wind Turbines. In Proceedings of the 2021 IEEE PowerTech, Madrid, Spain, 28 June–2 July 2021; pp. 1–5. [Google Scholar]
- Wang, R.; Gao, L.; Shen, J.; Wang, Q.; Deng, Y.; Li, H. Frequency Regulation Strategy with Participation of Variable-speed Wind Turbines Power System with High Wind Power Penetration. Autom. Electr. Power Syst. 2019, 43, 101–110. [Google Scholar]
- Cui, S.; Yan, X.; Wang, Y.; Li, R.; Li, T. A Smooth Adjustment Method for Primary Frequency of Doubly-fed Wind Generators Considering Random Fluctuation Characteristics of Source-load Power. Proc. CSEE 2021, 41, 143–154. [Google Scholar] [CrossRef]
- Zhang, X.; Zhang, Y.; Hao, S.; Wu, L.; Wei, W. An improved maximum power point tracking method based on decreasing torque gain for large scale wind turbines at low wind sites. Electr. Power Syst. Res. 2019, 176, 105942. [Google Scholar] [CrossRef]
- Zhang, X.; Huang, C.; Hao, S.; Chen, F.; Zhai, J. An Improved Adaptive-Torque-Gain MPPT Control for Direct-Driven PMSG Wind Turbines Considering Wind Farm Turbulences. Energies 2016, 9, 977. [Google Scholar] [CrossRef]
- Ye, H.; Pei, W.; Qi, Z. Analytical Modeling of Inertial and Droop Responses from a Wind Farm for Short-Term Frequency Regulation in Power Systems. IEEE Trans. Power Syst. 2016, 31, 3414–3423. [Google Scholar] [CrossRef]
- Wang, H.; Yang, J.; Chen, Z.; Ge, W.; Ma, Y.; Xing, Z.; Yang, L. Model Predictive Control of PMSG-Based Wind Turbines for Frequency Regulation in an Isolated Grid. IEEE Trans. Ind. Appl. 2018, 54, 3077–3089. [Google Scholar] [CrossRef]
- Zhang, X.; Lin, B.; Yin, M.; Hao, S.; Zhang, C.; Zuo, T. A Novel Frequency Control Method for Smart Buildings with Wind Power System Integration Considering Turbulence Characteristics. IEEE Trans. Ind. Appl. 2022, 59, 15–25. [Google Scholar] [CrossRef]
- Li, S.; Huang, Y.; Wang, L.; Lei, X.; Tang, H.; Deng, C. Modeling Primary Frequency Regulation Auxiliary Control System of Doubly Fed Induction Generator Based on Rotor Speed Control. Proc. CSEE 2017, 37, 7077–7086, 7422. [Google Scholar] [CrossRef]
- Yao, Q.; Liu, J.; Hu, Y.; Meng, H. Equivalent modeling and simulation for primary regulation of wind farm with asynchronous variable-speed wind turbine. Autom. Electr. Power Syst. 2019, 43, 185–192. [Google Scholar] [CrossRef]
- Huang, C.; Li, F.; Jin, Z. Maximum Power Point Tracking Strategy for Large-Scale Wind Generation Systems Considering Wind Turbine Dynamics. IEEE Trans. Ind. Electron. 2015, 62, 2530–2539. [Google Scholar] [CrossRef]
- Shi, Q.; Wang, G.; Li, H. Coordinated Virtual Inertia Control Strategy of Multiple Wind Turbines in Wind Farms Considering Frequency Regulation Capability. Power Syst. Technol. 2019, 43, 4005–4017. [Google Scholar]
- Committee, I.E. IEC 61400-1: Wind Turbines Part 1: Design Requirements; International Electrotechnical Commission: London, UK, 2005. [Google Scholar]
- Wang, Y.; Meng, J.; Zhang, X.; Xu, L. Control of PMSG-Based Wind Turbines for System Inertial Response and Power Oscillation Damping. IEEE Trans. Sustain. Energy 2015, 6, 565–574. [Google Scholar] [CrossRef]
- Yin, M.; Li, W.; Chung, C.Y.; Chen, Z.; Zou, Y. Inertia compensation scheme of WTS considering time delay for emulating large-inertia turbines. IET Renew. Power Gener. 2017, 11, 529–538. [Google Scholar] [CrossRef]





















| The Control Methods | Work Principle | Advantage | Disadvantage | |
|---|---|---|---|---|
| Rotor kinetic energy control | Droop control | Using the kinetic energy of wind turbine rotor | Simple, easy to carry out | Leading to a second drop in system frequency |
| Inertia control | Using the kinetic energy of wind turbine rotor | Simple, easy to carry out | Leading to a second drop in system frequency | |
| Power reserve control | The over-speed deloading control | Presetting reverse capacity by part-load operation | Easy to control, can provide more power | Reducing the wind power efficiency |
| Variable pitch control | Presetting reverse capacity by part-load operation | Can provide more power | Reducing the wind power efficiency | |
| Wind power-energy storage hybrid control | Cooperative control | Power support by both systems | Better performance than other methods | More complex and more expensive |
| Kd = 0.89 | Kd = 0.95 | MPPT | |
|---|---|---|---|
| The average wind energy capture efficiency | 0.4577 | 0.4575 | 0.4570 |
| Reserve capacity factor kres | 1.03351 | 1.03353 | 1.03419 |
| Average frequency deviation (Hz) | 0.09732 | 0.09596 | 0.09576 |
| Wind turbine | R/m | 20 |
| Hw/s | 5.54 | |
| λopt | 5.8 | |
| 0.4603 | ||
| The Grid | H/s | 4 |
| D | 1 | |
| Km | 0.95 | |
| FH | 0.3 | |
| TR/s | 8.0 | |
| RG | 0.05 | |
| Controller | Kpf | 2 × 105 |
| The Improved Strategy | |||
|---|---|---|---|
| Average frequency deviation (Hz) | 0.2510 | 0.2625 | 0.2994 |
| Improvement of the improved strategy | —— | 4.58% | 19.28% |
| The Improved Strategy | Variable Kd | Fixed Kd | |
|---|---|---|---|
| Average wind energy capture efficiency | 0.4321 | 0.4389 | 0.4084 |
| Parameters | The Value |
|---|---|
| Rated power of the wind turbine simulator | 15 kW |
| Starting generation speed of the wind turbine simulator | 0.48 rad/s |
| Rated power of the synchronous generator | 25 kW |
| Inertia time constants of the synchronous generator | 5.96 s |
| Rated speed of the synchronous generator | 1800 r/min |
| Droop coefficient of the synchronous generator | 0.05 |
| The rated frequency of the grid | 60 Hz |
| Rated power of feed-back loads | 37 kVA |
| Control cycle of PLC | 40 ms |
Disclaimer/Publisher’s Note: The statements, opinions and data contained in all publications are solely those of the individual author(s) and contributor(s) and not of MDPI and/or the editor(s). MDPI and/or the editor(s) disclaim responsibility for any injury to people or property resulting from any ideas, methods, instructions or products referred to in the content. |
© 2023 by the authors. Licensee MDPI, Basel, Switzerland. This article is an open access article distributed under the terms and conditions of the Creative Commons Attribution (CC BY) license (https://creativecommons.org/licenses/by/4.0/).
Share and Cite
Zhang, X.; Lin, B.; Xu, K.; Zhang, Y.; Hao, S.; Hu, Q. An Improved Over-Speed Deloading Control of Wind Power Systems for Primary Frequency Regulation Considering Turbulence Characteristics. Energies 2023, 16, 2813. https://doi.org/10.3390/en16062813
Zhang X, Lin B, Xu K, Zhang Y, Hao S, Hu Q. An Improved Over-Speed Deloading Control of Wind Power Systems for Primary Frequency Regulation Considering Turbulence Characteristics. Energies. 2023; 16(6):2813. https://doi.org/10.3390/en16062813
Chicago/Turabian StyleZhang, Xiaolian, Baocong Lin, Ke Xu, Yangfei Zhang, Sipeng Hao, and Qi Hu. 2023. "An Improved Over-Speed Deloading Control of Wind Power Systems for Primary Frequency Regulation Considering Turbulence Characteristics" Energies 16, no. 6: 2813. https://doi.org/10.3390/en16062813
APA StyleZhang, X., Lin, B., Xu, K., Zhang, Y., Hao, S., & Hu, Q. (2023). An Improved Over-Speed Deloading Control of Wind Power Systems for Primary Frequency Regulation Considering Turbulence Characteristics. Energies, 16(6), 2813. https://doi.org/10.3390/en16062813
