Simulation of Particle Trajectories in Gas Turbine Components and Assessment of Unsteady Effects Using an Efficient Eulerian-Lagrangian Technique
Abstract
1. Introduction
2. Numerical Modelling
2.1. Governing Equations for the Continuous and the Discrete Phase
2.2. The Harmonic Balance Method
2.3. Turbomachinery Boundary Conditions
3. Coupling the HBM and Lagrangian Tracking
4. Validation of the Method
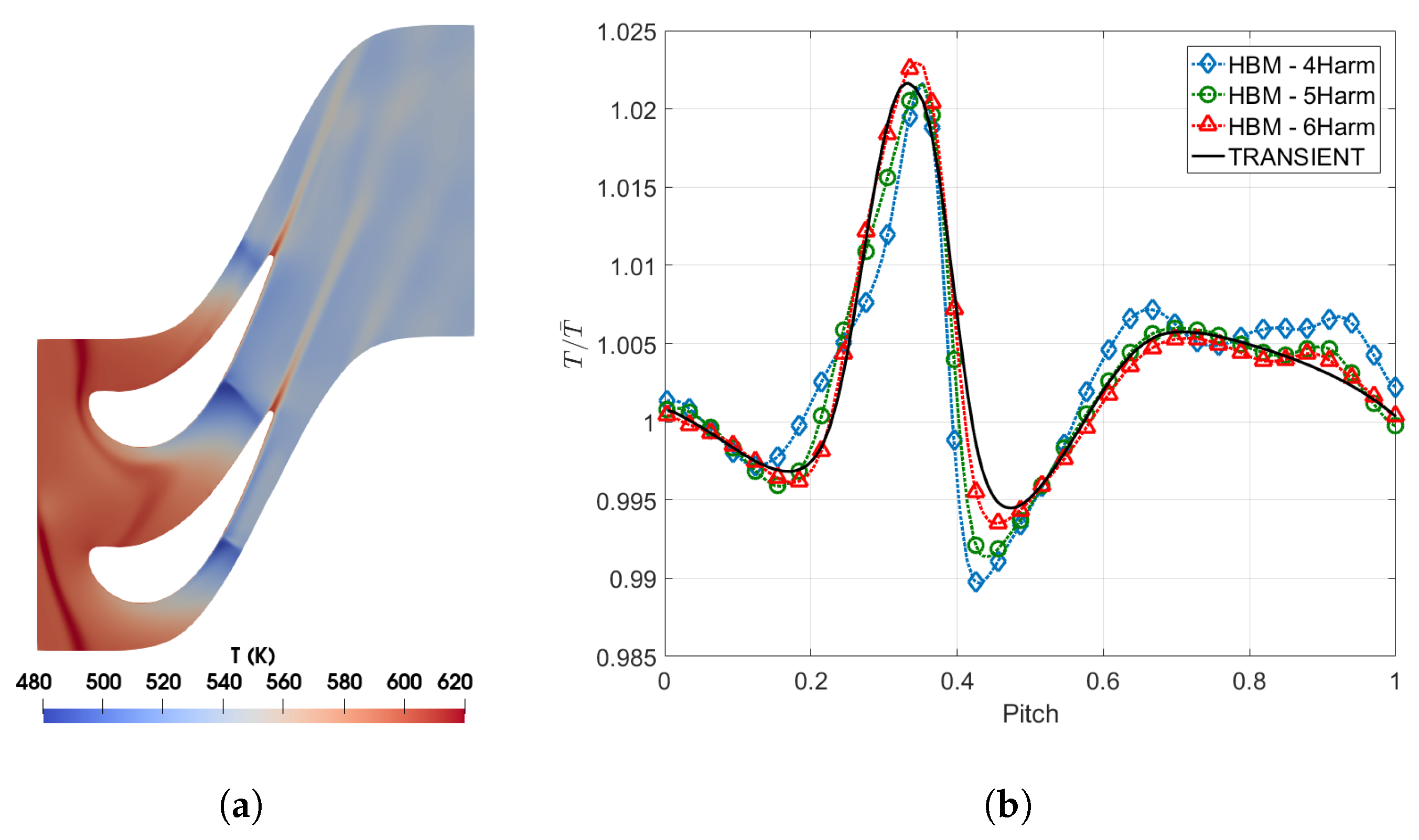
5. Results
5.1. NASA Stage 37
5.2. 1.5 Axial Turbine Stage
6. Conclusions
Author Contributions
Funding
Data Availability Statement
Conflicts of Interest
Nomenclature
| Domain angular velocity vector | |
| Vector of fluxes | |
| Matrix of the equations system | |
| Vector of conservative variables | |
| Discretised fluxes residual term | |
| Velocity | |
| m-th Fourier coefficient of Q | |
| Time derivative operator | |
| Harmonic balance operator | |
| Discrete Fourier transform matrix | |
| Angular frequency corresponding to a known flow periodicity | |
| Interblade phase angle | |
| Azimuthal coordinate | |
| Number of blades in a row | |
| Number of snapshots for the HBM simulation | |
| V | Control volume |
References
- Wilcox, M.; Kurz, R.; Brun, K. Technology Review of Modern Gas Turbine Inlet Filtration Systems. Int. J. Rotating Mach. 2012, 2012, 128134. [Google Scholar] [CrossRef]
- Dunn, M.G. Operation of gas turbine engines in an environment contaminated with volcanic ash. J. Turbomach. 2012, 134, 051001. [Google Scholar] [CrossRef]
- Suman, A.; Casari, N.; Fabbri, E.; Pinelli, M.; Di Mare, L.; Montomoli, F. Gas Turbine Fouling Tests: Review, Critical Analysis, and Particle Impact Behavior Map. J. Eng. Gas Turbines Power 2019, 141, 032601. [Google Scholar] [CrossRef]
- Suman, A.; Casari, N.; Fabbri, E.; Di Mare, L.; Montomoli, F.; Pinelli, M. Generalization of particle impact behavior in gas turbine via non-dimensional grouping. Prog. Energy Combust. Sci. 2019, 74, 103–151. [Google Scholar] [CrossRef]
- Hamed, A.; Tabakoff, W.; Wenglarz, R. Erosion and Deposition in Turbomachinery. J. Propuls. Power 2006, 22, 350–360. [Google Scholar] [CrossRef]
- Ghenaiet, A. Prediction of erosion in an axial turbine with initial position of blade. In Proceedings of the 13th European Turbomachinery Conference, ETC2019-111, Lausanne, Switzerland, 8–12 April 2019. [Google Scholar]
- Hamed, A.A.; Tabakoff, W.; Rivir, R.B.; Das, K.; Arora, P. Turbine Blade Surface Deterioration by Erosion. J. Turbomach. 2004, 127, 445–452. [Google Scholar] [CrossRef]
- Tabakoff, W.; Hamed, A.; Metwally, M. Effect of Particle Size Distribution on Particle Dynamics and Blade Erosion in Axial Flow Turbines. J. Eng. Gas Turbines Power 1991, 113, 607–615. [Google Scholar] [CrossRef]
- Mustafa, Z.; Pilidis, P.; Amaral Teixeira, J.; Ahmad, K. CFD Aerodynamic Investigation of Air-Water Trajectories on Rotor-Stator Blade of an Axial Compressor for Online Washing. In Proceedings of the Turbo Expo: Power for Land, Sea, and Air, Barcelona, Spain, 8–11 May 2006; pp. 1385–1394. [Google Scholar]
- Yang, H.; Boulanger, J. The Whole Annulus Computations of Particulate Flow and Erosion in an Axial Fan. J. Turbomach. 2012, 135, 011040. [Google Scholar] [CrossRef]
- Zagnoli, D.; Prenter, R.; Ameri, A.; Bons, J.P. Numerical Study of Deposition in a Full Turbine Stage Using Steady and Unsteady Methods. In Proceedings of the ASME Turbo Expo 2015: Turbomachinery Technical Conference and Exposition, Montreal, QC, Canada, 15–19 June 2015. Paper No: GT2015-43613. [Google Scholar]
- Prenter, R.; Ameri, A.; Bons, J.P. Computational Simulation of Deposition in a Cooled High-Pressure Turbine Stage with Hot Streaks. ASME J. Turbomach. 2017, 139, 091005. [Google Scholar] [CrossRef]
- Aldi, N.; Morini, M.; Pinelli, M.; Spina, P.R.; Suman, A. An Innovative Method for the Evaluation of Particle Deposition Accounting for Rotor/Stator Interaction. J. Eng. Gas Turbines Power 2016, 139, 052401. [Google Scholar] [CrossRef]
- Oliani, S.; Friso, R.; Casari, N.; Pinelli, M.; Suman, A.; Carnevale, M. Progresses in Particle-Laden Flows Simulations in Multistage Turbomachinery with OpenFOAM. J. Turbomach. 2022, 144, 101007. [Google Scholar] [CrossRef]
- Hall, K.C.; Thomas, J.P.; Clark, W.S. Computation of Unsteady Nonlinear Flows in Cascades Using a Harmonic Balance Technique. AIAA J. 2002, 40, 879–886. [Google Scholar] [CrossRef]
- Oliani, S.; Casari, N.; Carnevale, M. ICSFoam: An OpenFOAM library for implicit coupled simulations of high-speed flows. Comput. Phys. Commun. 2023, 286, 108673. [Google Scholar] [CrossRef]
- Saad, Y.; Schultz, M.H. GMRES: A generalized minimal residual algorithm for solving nonsymmetric linear systems. Siam J. Sci. Stat. Comput. 1986, 7, 856–869. [Google Scholar] [CrossRef]
- Yoon, S.; Jameson, A. Lower-upper Symmetric-Gauss-Seidel method for the Euler and Navier–Stokes equations. AIAA J. 1988, 26, 1025–1026. [Google Scholar] [CrossRef]
- Macpherson, G.B.; Nordin, N.; Weller, H.G. Particle tracking in unstructured, arbitrary polyhedral meshes for use in CFD and molecular dynamics. Commun. Numer. Methods Eng. 2009, 25, 263–273. [Google Scholar] [CrossRef]
- Oliani, S.; Casari, N.; Pinelli, M.; Suman, A.; Carnevale, M. Numerical study of a centrifugal pump using Harmonic Balance Method in OpenFOAM. In Proceedings of the Taormina, Italy: The 34th International Conference on Efficiency, Cost, Optimization, Simulation and Environmental Impact of Energy Systems, Taormina, Italy, 27 June–2 July 2021. [Google Scholar]
- Oliani, S.; Casari, N.; Carnevale, M. A New Framework for the Harmonic Balance Method in OpenFOAM. Machines 2022, 10, 279. [Google Scholar] [CrossRef]
- Guédeney, T.; Gomar, A.; Gallard, F.; Sicot, F.; Dufour, G.; Puigt, G. Non-uniform time sampling for multiple-frequency harmonic balance computations. J. Comput. Phys. 2013, 236, 317–345. [Google Scholar] [CrossRef]
- Gopinath, A.; van der Weide, E.; Alonso, J.; Jameson, A.; Ekici, K.; Hall, K. Three-Dimensional Unsteady Multi-stage Turbomachinery Simulations Using the Harmonic Balance Technique. In Proceedings of the 45th AIAA Aerospace Sciences Meeting and Exhibit, Reno, NV, USA, 8–11 January 2007. [Google Scholar]
- Nimmagadda, S.; Economon, T.D.; Alonso, J.J.; da Silva, C.R.I. Robust uniform time sampling approach for the harmonic balance method. In Proceedings of the 46th AIAA Fluid Dynamics Conference, Washington, DC, USA, 13–17 June 2016. [Google Scholar]
- Tyler, J.M.; Sofrin, T.G. Axial Flow Compressor Noise Studies. In Proceedings of the SAE Technical Paper; SAE International: Warrendale, PA, USA, 1962. [Google Scholar]
- Sicot, F.; Dufour, G.; Gourdain, N. A time-domain harmonic balance method for rotor/stator interactions. J. Turbomach. 2012, 134. [Google Scholar] [CrossRef]
- Ekici, K.; Hall, K.C. Nonlinear Analysis of Unsteady Flows in Multistage Turbomachines Using Harmonic Balance. AIAA J. 2007, 45, 1047–1057. [Google Scholar] [CrossRef]
- Crespo, J.; Contreras, J. On the Development of a Synchronized Harmonic Balance Method for Multiple Frequencies and its Application to LPT Flows. In Proceedings of the ASME Turbo Expo 2020: Turbomachinery Technical Conference and Exposition, Virtual, 21–25 September 2020. Paper No: GT2020-14952. [Google Scholar]
- Erdos, J.I.; Alzner, E.; McNally, W. Numerical Solution of Periodic Transonic Flow through a Fan Stage. AIAA J. 1977, 15, 1559–1568. [Google Scholar] [CrossRef]
- Gerolymos, G.A.; Michon, G.J.; Neubauer, J. Analysis and Application of Chorochronic Periodicity in Turbomachinery Rotor/Stator Interaction Computations. J. Propuls. Power 2002, 18, 1139–1152. [Google Scholar] [CrossRef]
- Oliani, S.; Friso, R.; Casari, N.; Pinelli, M.; Suman, A.; Carnevale, M. A comparative analysis of particle-mixing plane interaction in multistage turbomachinery simulations. In Proceedings of the European Turbomachinery Conference 14, Gdansk, Poland, 12–16 April 2021. [Google Scholar]
- Thulin, R.D.; Howe, D.C.; Singer, I.D. High-Pressure Turbine Detailed Design Report; Technical Report CR-165608; NASA Report; Lewis Research Center: Cleveland, OH, USA, 1982. [Google Scholar]
- Launder, B.; Spalding, D. The numerical computation of turbulent flows. Comput. Methods Appl. Mech. Eng. 1974, 3, 269–289. [Google Scholar] [CrossRef]
- Jacobs, G.; Don, W.S.; Dittmann, T. High-order resolution Eulerian–Lagrangian simulations of particle dispersion in the accelerated flow behind a moving shock. Theor. Comput. Fluid Dyn. 2012, 26, 37–50. [Google Scholar] [CrossRef]
- Reid, L.; Moore, R.D. Design and Overall Performance of Four Highly Loaded, High Speed Inlet Stages for an Advanced High-Pressure-Ratio Core Compressor; Technical Report 1337; NASA Technical Paper; Lewis Research Center: Cleveland, OH, USA, 1978. [Google Scholar]
- Mei, R.; Klausner, J. Shear lift force on spherical bubbles. Int. J. Heat Fluid Flow 1994, 15, 62–65. [Google Scholar] [CrossRef]
- Kurz, R.; Brun, K. Degradation in Gas Turbine Systems. J. Eng. Gas Turbines Power 2000, 123, 70–77. [Google Scholar] [CrossRef]
- Tian, L.; Ahmadi, G. Particle deposition in turbulent duct flows–comparisons of different model predictions. J. Aerosol Sci. 2007, 38, 377–397. [Google Scholar] [CrossRef]
- Forder, A.; Thew, M.; Harrison, D. A numerical investigation of solid particle erosion experienced within oilfield control valves. Wear 1998, 216, 184–193. [Google Scholar] [CrossRef]
- Poppe, T.; Blum, J.; Henning, T. Analogous Experiments on the Stickiness of Micron-sized Preplanetary Dust. Astrophys. J. 2000, 533, 454–471. [Google Scholar] [CrossRef]
- Suman, A.; Morini, M.; Kurz, R.; Aldi, N.; Brun, K.; Pinelli, M.; Ruggero Spina, P. Quantitative Computational Fluid Dynamic Analyses of Particle Deposition on a Transonic Axial Compressor Blade—Part II: Impact Kinematics and Particle Sticking Analysis. J. Turbomach. 2014, 137, 021010. [Google Scholar] [CrossRef]
- Morini, M.; Pinelli, M.; Spina, P.R.; Venturini, M. Numerical Analysis of the Effects of Nonuniform Surface Roughness on Compressor Stage Performance. J. Eng. Gas Turbines Power 2011, 133, 072402. [Google Scholar] [CrossRef]
- Kurz, R.; Brun, K. Fouling Mechanisms in Axial Compressors. J. Eng. Gas Turbines Power 2012, 134, 032401. [Google Scholar] [CrossRef]
- Cosmo, G.D.; Scobie, J.A.; Lock, G.D.; Sangan, C.M.; Carnevale, M. Fluid Dynamics of Turbine Rim Seal Structures: A Physical Interpretation Using URANS. J. Eng. Gas Turbines Power 2022, 145, 031009. [Google Scholar] [CrossRef]















| [m] | Rotor | ||||
|---|---|---|---|---|---|
| 1 | 2 | 8 | 32 | ||
| 0.5 | 8 | ||||
| 25 | 98 | 394 | |||
| [m] | Stator | ||||
| 0.7 | 11 | ||||
| 19 | 77 | 309 | |||
| Parameter | Value |
|---|---|
| Flow coefficient, | 0.41 |
| Inlet total temperature | 300 K |
| Outlet static pressure | 99,300 Pa |
| Disc rotational speed | 3000 rpm |
| Inlet turbulent intensity k | 3% |
| Inlet turbulent length scale |
| [m] | Stator1 | Rotor | Stator2 | |
|---|---|---|---|---|
| 1 | ||||
| 2 | 0.12 | |||
| 8 | 0.44 | 1.85 | 0.47 | |
| 32 | 6.99 | 29.5 | 7.47 |
Disclaimer/Publisher’s Note: The statements, opinions and data contained in all publications are solely those of the individual author(s) and contributor(s) and not of MDPI and/or the editor(s). MDPI and/or the editor(s) disclaim responsibility for any injury to people or property resulting from any ideas, methods, instructions or products referred to in the content. |
© 2023 by the authors. Licensee MDPI, Basel, Switzerland. This article is an open access article distributed under the terms and conditions of the Creative Commons Attribution (CC BY) license (https://creativecommons.org/licenses/by/4.0/).
Share and Cite
Oliani, S.; Casari, N.; Pinelli, M.; Carnevale, M. Simulation of Particle Trajectories in Gas Turbine Components and Assessment of Unsteady Effects Using an Efficient Eulerian-Lagrangian Technique. Energies 2023, 16, 2810. https://doi.org/10.3390/en16062810
Oliani S, Casari N, Pinelli M, Carnevale M. Simulation of Particle Trajectories in Gas Turbine Components and Assessment of Unsteady Effects Using an Efficient Eulerian-Lagrangian Technique. Energies. 2023; 16(6):2810. https://doi.org/10.3390/en16062810
Chicago/Turabian StyleOliani, Stefano, Nicola Casari, Michele Pinelli, and Mauro Carnevale. 2023. "Simulation of Particle Trajectories in Gas Turbine Components and Assessment of Unsteady Effects Using an Efficient Eulerian-Lagrangian Technique" Energies 16, no. 6: 2810. https://doi.org/10.3390/en16062810
APA StyleOliani, S., Casari, N., Pinelli, M., & Carnevale, M. (2023). Simulation of Particle Trajectories in Gas Turbine Components and Assessment of Unsteady Effects Using an Efficient Eulerian-Lagrangian Technique. Energies, 16(6), 2810. https://doi.org/10.3390/en16062810

